Sign in to use this feature.

Years

Between: -

Subjects

remove_circle_outline
remove_circle_outline
remove_circle_outline
remove_circle_outline

Journals

Article Types

Countries / Regions

Search Results (11)

Search Parameters:
Keywords = CHRIS/PROBA

Order results
Result details
Results per page
Select all
Export citation of selected articles as:
31 pages, 32175 KB  
Article
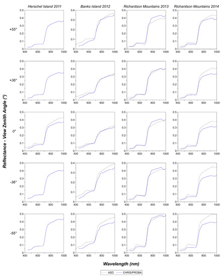
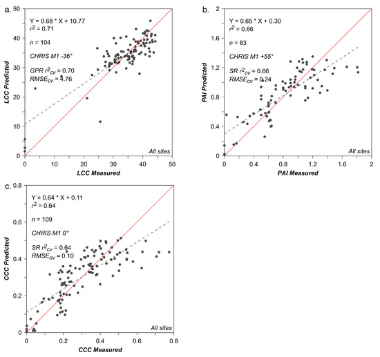
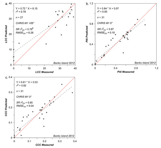
Retrieval of Arctic Vegetation Biophysical and Biochemical Properties from CHRIS/PROBA Multi-Angle Imagery Using Empirical and Physical Modelling
by Blair E. Kennedy, Doug J. King and Jason Duffe
Remote Sens. 2021, 13(9), 1830; https://doi.org/10.3390/rs13091830 - 7 May 2021
Cited by 7 | Viewed by 2870
Abstract
Mapping and monitoring of Arctic vegetation biochemical and biophysical properties is gaining importance as global climate change is disproportionately affecting this region. Previous studies using remote sensing to model Arctic vegetation biochemical and biophysical properties have generally involved empirical modelling with nadir looking [...] Read more.
Mapping and monitoring of Arctic vegetation biochemical and biophysical properties is gaining importance as global climate change is disproportionately affecting this region. Previous studies using remote sensing to model Arctic vegetation biochemical and biophysical properties have generally involved empirical modelling with nadir looking broadband sensors and have typically been conducted at the field scale in one study area. Satellite hyperspectral remote sensing has not been previously investigated for retrieving leaf and canopy biochemical and biophysical properties of Arctic vegetation across multiple sites using either empirical or physically-based modelling approaches. Furthermore, multi-angle hyperspectral sensors (CHRIS/PROBA), which can provide insight into vegetation reflectance anisotropy and potentially improve vegetation parameter estimation, have also not been investigated for this purpose. In this study, three modelling approaches previously investigated with field spectroscopy data (Kennedy et al., 2020) were used with CHRIS Mode-1 imagery to predict leaf chlorophyll content, plant area index and canopy chlorophyll content across a bioclimatic gradient in the Western Canadian Arctic. Modelling approaches included: parametric linear regression based on vegetation indices (VI), non-parametric machine learning Gaussian processes regression (GPR) and inversion of the PROSAIL radiative transfer model using a look-up table approach (LUT). CHRIS imagery was acquired with −55°, −36°, 0°, +36°, +55° view zenith angles (VZA) between 2011 and 2014 over three field sites extending from the Richardson Mountains in central Yukon, Canada to the north end of Banks Island, Northwest Territories, Canada. Field measurements were acquired within several weeks of satellite acquisitions. GPR had the best model fit (mean cross-validated (cv) coefficient of determination, r2cv = 0.61 across all vegetation variables, sites and VZAs vs. 0.59 for the simple ratio, SR) and predictive performance (normalized root mean square error, NRMSEcv = 0.13 vs. 0.14 for SR). The revised optimized soil adjusted VI (ROSAVI) performance was slightly poorer (r2cv = 0.51; NRMSEcv = 0.15). The physically-based PROSAIL model performed poorer than all empirical models (r2 = 0.50; NRMSE = 0.18). This ranking of model performance is similar to that found in the previous field spectroscopy study, where empirical model fits and predictive performance were only slightly worse. With respect to view angle performance, NRMSE varied only slightly, indicating no distinct advantage for any one VZA. Overall, strong potential has been demonstrated for empirical modelling of Arctic vegetation chlorophyll and plant area index using hyperspectral data combined with band selection/optimization procedures in the Arctic. Recently launched and future hyperspectral satellites, including next generation airborne sensors, will likely provide improvements to the model performance reported here. Full article
Show Figures

Graphical abstract

20 pages, 5398 KB  
Article
A Fast Iterative Procedure for Adjacency Effects Correction on Remote Sensed Data
by Donatella Guzzi, Vanni Nardino, Cinzia Lastri and Valentina Raimondi
Remote Sens. 2021, 13(9), 1799; https://doi.org/10.3390/rs13091799 - 5 May 2021
Cited by 4 | Viewed by 2759
Abstract
This paper describes a simple, iterative atmospheric correction procedure based on the MODTRAN®5 radiative transfer code. Such a procedure receives in input a spectrally resolved at-sensor radiance image, evaluates the different contributions to received radiation, and corrects the effect of adjacency [...] Read more.
This paper describes a simple, iterative atmospheric correction procedure based on the MODTRAN®5 radiative transfer code. Such a procedure receives in input a spectrally resolved at-sensor radiance image, evaluates the different contributions to received radiation, and corrects the effect of adjacency from surrounding pixels permitting the retrieval of ground reflectance spectrum for each pixel of the image. The procedure output is a spectral ground reflectance image obtained without the need of any user-provided a priori hypothesis. The novelty of the proposed method relies on its iterative approach for evaluating the contribution of surrounding pixels: a first run of the atmospheric correction procedure is performed by assuming that the spectral reflectance of the surrounding pixels is equal to that of the pixel under investigation. Such information is used in the subsequent iteration steps to estimate the spectral radiance of the surrounding pixels, in order to make a more accurate evaluation of the reflectance image. The results are here presented and discussed for two different cases: synthetic images produced with the hyperspectral simulation tool PRIMUS and real images acquired by CHRIS–PROBA sensor. The retrieved reflectance error drops after a few iterations, providing a quantitative estimate for the number of iterations needed. Relative error after the procedure converges is in the order of few percent, and the causes of remaining uncertainty in retrieved spectra are discussed. Full article
(This article belongs to the Section Remote Sensing Image Processing)
Show Figures

Graphical abstract

22 pages, 10287 KB  
Article
Functional Phenology of a Texas Post Oak Savanna from a CHRIS PROBA Time Series
by Michael J. Hill, Andrew Millington, Rebecca Lemons and Cherie New
Remote Sens. 2019, 11(20), 2388; https://doi.org/10.3390/rs11202388 - 15 Oct 2019
Cited by 5 | Viewed by 4041
Abstract
Remnant midwestern oak savannas in the USA have been altered by fire suppression and the encroachment of woody evergreen trees and shrubs. The Gus Engeling Wildlife Management Area (GEWMA) near Palestine, Texas represents a relatively intact southern example of thickening and evergreen encroachment [...] Read more.
Remnant midwestern oak savannas in the USA have been altered by fire suppression and the encroachment of woody evergreen trees and shrubs. The Gus Engeling Wildlife Management Area (GEWMA) near Palestine, Texas represents a relatively intact southern example of thickening and evergreen encroachment in oak savannas. In this study, 18 images from the CHRIS/PROBA (Compact High-Resolution Imaging Spectrometer/Project for On-Board Autonomy) sensor were acquired between June 2009 and October 2010 and used to explore variation in canopy dynamics among deciduous and evergreen trees and shrubs, and savanna grassland in seasonal leaf-on and leaf-off conditions. Nadir CHRIS images from the 11 useable dates were processed to surface reflectance and a selection of vegetation indices (VIs) sensitive to pigments, photosynthetic efficiency, and canopy water content were calculated. An analysis of temporal VI phenology was undertaken using a fishnet polygon at 90 m resolution incorporating tree densities from a classified aerial photo and soil type polygons. The results showed that the major differences in spectral phenology were associated with deciduous tree density, the density of evergreen trees and shrubs—especially during deciduous leaf-off periods—broad vegetation types, and soil type interactions with elevation. The VIs were sensitive to high densities of evergreens during the leaf-off period and indicative of a photosynthetic advantage over deciduous trees. The largest differences in VI profiles were associated with high and low tree density, and soil types with the lowest and highest available soil water. The study showed how time series of hyperspectral data could be used to monitor the relative abundance and vigor of desirable and less desirable species in conservation lands. Full article
(This article belongs to the Special Issue Remote Sensing of Savannas and Woodlands)
Show Figures

Graphical abstract

17 pages, 2624 KB  
Article
Quantifying Changes on Forest Succession in a Dry Tropical Forest Using Angular-Hyperspectral Remote Sensing
by Virginia Garcia Millan and Arturo Sanchez-Azofeifa
Remote Sens. 2018, 10(12), 1865; https://doi.org/10.3390/rs10121865 - 22 Nov 2018
Cited by 12 | Viewed by 4291
Abstract
The tropical dry forest (TDF) is one the most threatened ecosystems in South America, existing on a landscape with different levels of ecological succession. Among satellites dedicated to Earth observation and monitoring ecosystem succession, CHRIS/PROBA is the only satellite that presents quasi-simultaneous multi-angular [...] Read more.
The tropical dry forest (TDF) is one the most threatened ecosystems in South America, existing on a landscape with different levels of ecological succession. Among satellites dedicated to Earth observation and monitoring ecosystem succession, CHRIS/PROBA is the only satellite that presents quasi-simultaneous multi-angular pointing and hyperspectral imaging. These two characteristics permit the study of structural and compositional differences of TDFs with different levels of succession. In this paper, we use 2008 and 2014 CHRIS/PROBA images from a TDF in Minas Gerais, Brazil to study ecosystem succession after abandonment. Using a −55° angle of observation; several classifiers including spectral angle mapper (SAM), support vector machine (SVM), and decision trees (DT) were used to test how well they discriminate between different successional stages. Our findings suggest that the SAM is the most appropriate method to classify TDFs as a function of succession (accuracies ~80 for % for late stage, ~85% for the intermediate stage, ~70% for early stage, and ~50% for other classes). Although CHRIS/PROBA cannot be used for large-scale/long-term monitoring of tropical forests because of its experimental nature; our results support the potential of using multi-angle hyperspectral data to characterize the structure and composition of TDFs in the near future. Full article
(This article belongs to the Special Issue Advances in Remote Sensing of Forest Structure and Applications)
Show Figures

Figure 1

17 pages, 8686 KB  
Article
The Potential of Forest Biomass Inversion Based on Vegetation Indices Using Multi-Angle CHRIS/PROBA Data
by Qiang Wang, Yong Pang, Zengyuan Li, Guoqing Sun, Erxue Chen and Wenge Ni-Meister
Remote Sens. 2016, 8(11), 891; https://doi.org/10.3390/rs8110891 - 28 Oct 2016
Cited by 16 | Viewed by 5752
Abstract
Multi-angle remote sensing can either be regarded as an added source of uncertainty for variable retrieval, or as a source of additional information, which enhances variable retrieval compared to traditional single-angle observation. However, the magnitude of these angular and band effects for forest [...] Read more.
Multi-angle remote sensing can either be regarded as an added source of uncertainty for variable retrieval, or as a source of additional information, which enhances variable retrieval compared to traditional single-angle observation. However, the magnitude of these angular and band effects for forest structure parameters is difficult to quantify. We used the Discrete Anisotropic Radiative Transfer (DART) model and the Zelig model to simulate the forest canopy Bidirectional Reflectance Distribution Factor (BRDF) in order to build a look-up table, and eight vegetation indices were used to assess the relationship between BRDF and forest biomass in order to find the sensitive angles and bands. Further, the European Space Agency (ESA) mission, Compact High Resolution Imaging Spectrometer onboard the Project for On-board Autonomy (CHRIS-PROBA) and field sample measurements, were selected to test the angular and band effects on forest biomass retrieval. The results showed that the off-nadir vegetation indices could predict the forest biomass more accurately than the nadir. Additionally, we found that the viewing angle effect is more important, but the band effect could not be ignored, and the sensitive angles for extracting forest biomass are greater viewing angles, especially around the hot and dark spot directions. This work highlighted the combination of angles and bands, and found a new index based on the traditional vegetation index, Atmospherically Resistant Vegetation Index (ARVI), which is calculated by combining sensitive angles and sensitive bands, such as blue band 490 nm/−55°, green band 530 nm/55°, and the red band 697 nm/55°, and the new index was tested to improve the accuracy of forest biomass retrieval. This is a step forward in multi-angle remote sensing applications for mining the hidden relationship between BRDF and forest structure information, in order to increase the utilization efficiency of remote sensing data. Full article
(This article belongs to the Special Issue Remote Sensing of Above Ground Biomass)
Show Figures

Graphical abstract

19 pages, 3121 KB  
Article
A Multiscale Mapping Assessment of Lake Champlain Cyanobacterial Harmful Algal Blooms
by Nathan Torbick and Megan Corbiere
Int. J. Environ. Res. Public Health 2015, 12(9), 11560-11578; https://doi.org/10.3390/ijerph120911560 - 15 Sep 2015
Cited by 21 | Viewed by 7877
Abstract
Lake Champlain has bays undergoing chronic cyanobacterial harmful algal blooms that pose a public health threat. Monitoring and assessment tools need to be developed to support risk decision making and to gain a thorough understanding of bloom scales and intensities. In this research [...] Read more.
Lake Champlain has bays undergoing chronic cyanobacterial harmful algal blooms that pose a public health threat. Monitoring and assessment tools need to be developed to support risk decision making and to gain a thorough understanding of bloom scales and intensities. In this research application, Landsat 8 Operational Land Imager (OLI), Rapid Eye, and Proba Compact High Resolution Imaging Spectrometer (CHRIS) images were obtained while a corresponding field campaign collected in situ measurements of water quality. Models including empirical band ratio regressions were applied to map chlorophylla and phycocyanin concentrations; all sensors performed well with R2 and root-mean-square error (RMSE) ranging from 0.76 to 0.88 and 0.42 to 1.51, respectively. The outcomes showed spatial patterns across the lake with problematic bays having phycocyanin concentrations >25 μg/L. An alert status metric tuned to the current monitoring protocol was generated using modeled water quality to illustrate how the remote sensing tools can inform a public health monitoring system. Among the sensors utilized in this study, Landsat 8 OLI holds the most promise for providing exposure information across a wide area given the resolutions, systematic observation strategy and free cost. Full article
Show Figures

Figure 1

25 pages, 14614 KB  
Article
Effect of the Aerosol Model Assumption on the Atmospheric Correction over Land: Case Studies with CHRIS/PROBA Hyperspectral Images over Benelux
by Cecilia Tirelli, Gabriele Curci, Ciro Manzo, Paolo Tuccella and Cristiana Bassani
Remote Sens. 2015, 7(7), 8391-8415; https://doi.org/10.3390/rs70708391 - 26 Jun 2015
Cited by 12 | Viewed by 7724
Abstract
Surface reflectance has a central role in the analysis of land surface for a broad variety of Earth System studies. An accurate atmospheric correction, obtained by an appropriate selection of aerosol model, is the first requirement for reliable surface reflectance estimation. In the [...] Read more.
Surface reflectance has a central role in the analysis of land surface for a broad variety of Earth System studies. An accurate atmospheric correction, obtained by an appropriate selection of aerosol model, is the first requirement for reliable surface reflectance estimation. In the aerosol model, the type is defined by the physical and chemical properties, while the loading is usually described by the optical thickness at 550 nm. The aim of this work is to evaluate the radiative impact of the aerosol model on the surface reflectance obtained from Compact High Resolution Imaging Spectrometer (CHRIS) hyperspectral data over land by using the specifically developed algorithm CHRIS Atmospherically Corrected Reflectance Imagery (CHRIS@CRI) based on the 6SV radiative transfer model. We employed five different aerosol models: one provided by the AERONET inversion products (used as reference), three standard aerosol models in 6SV, and one obtained from the output of the GEOS-Chem global chemistry-transport model (CTM). The results obtained for the two case studies selected over Benelux show that in the absence of AERONET data on the scene, the best performing aerosol model is the one derived from CTM output. Full article
Show Figures

Graphical abstract

20 pages, 803 KB  
Article
Empirical and Physical Estimation of Canopy Water Content from CHRIS/PROBA Data
by Jesus Cernicharo, Aleixandre Verger and Fernando Camacho
Remote Sens. 2013, 5(10), 5265-5284; https://doi.org/10.3390/rs5105265 - 21 Oct 2013
Cited by 23 | Viewed by 11551
Abstract
Efficient monitoring of Canopy Water Content (CWC) is a central feature in vegetation studies. The potential of hyperspectral high spatial resolution CHRIS/PROBA satellite data for the retrieval of CWC was here investigated using empirical and physical based approaches. Special attention was paid to [...] Read more.
Efficient monitoring of Canopy Water Content (CWC) is a central feature in vegetation studies. The potential of hyperspectral high spatial resolution CHRIS/PROBA satellite data for the retrieval of CWC was here investigated using empirical and physical based approaches. Special attention was paid to the spectral band selection, inversion technique and training process. Performances were evaluated with ground measurements from the SEN3EXP field campaign over a range of crops. Results showed that the optimal band selection includes four spectral bands: one centered about 970 nm absorption feature which is sensible to Cw, and three bands in green, red and near infrared to estimate LAI and compensate from leaf- and canopy-level effects. A simple neural network with a single hidden layer of five tangent sigmoid transfer functions trained over PROSAIL radiative transfer simulations showed benefits in the retrieval performances compared with a look up table inversion approach (root mean square error of 0.16 kg/m2 vs. 0.22 kg/m2). The neural network inversion approach showed a good agreement and performances similar to an empirical up-scaling approach based on a multivariate iteratively re-weighted least squares algorithm, demonstrating the applicability of radiative transfer model inversion methods to CHRIS/PROBA for high spatial resolution monitoring of CWC. Full article
Show Figures

Graphical abstract

24 pages, 7599 KB  
Article
Mapping Vegetation Density in a Heterogeneous River Floodplain Ecosystem Using Pointable CHRIS/PROBA Data
by Jochem Verrelst, Erika Romijn and Lammert Kooistra
Remote Sens. 2012, 4(9), 2866-2889; https://doi.org/10.3390/rs4092866 - 24 Sep 2012
Cited by 120 | Viewed by 12639
Abstract
River floodplains in the Netherlands serve as water storage areas, while they also have the function of nature rehabilitation areas. Floodplain vegetation is therefore subject to natural processes of vegetation succession. At the same time, vegetation encroachment obstructs the water flow into the [...] Read more.
River floodplains in the Netherlands serve as water storage areas, while they also have the function of nature rehabilitation areas. Floodplain vegetation is therefore subject to natural processes of vegetation succession. At the same time, vegetation encroachment obstructs the water flow into the floodplains and increases the flood risk for the hinterland. Spaceborne pointable imaging spectroscopy has the potential to quantify vegetation density on the basis of leaf area index (LAI) from a desired view zenith angle. In this respect, hyperspectral pointable CHRIS data were linked to the ray tracing canopy reflectance model FLIGHT to retrieve vegetation density estimates over a heterogeneous river floodplain. FLIGHT enables simulating top-of-canopy reflectance of vegetated surfaces either in turbid (e.g., grasslands) or in 3D (e.g., forests) mode. By inverting FLIGHT against CHRIS data, LAI was computed for three main classified vegetation types, ‘herbaceous’, ‘shrubs’ and ‘forest’, and for the CHRIS view zenith angles in nadir, backward (−36°) and forward (+36°) scatter direction. The −36° direction showed most LAI variability within the vegetation types and was best validated, closely followed by the nadir direction. The +36° direction led to poorest LAI retrievals. The class-based inversion process has been implemented into a GUI toolbox which would enable the river manager to generate LAI maps in a semiautomatic way. Full article
Show Figures

26 pages, 1350 KB  
Article
Comparison Between Fractional Vegetation Cover Retrievals from Vegetation Indices and Spectral Mixture Analysis: Case Study of PROBA/CHRIS Data Over an Agricultural Area
by Juan C. Jiménez-Muñoz, José A. Sobrino, Antonio Plaza, Luis Guanter, José Moreno and Pablo Martinez
Sensors 2009, 9(2), 768-793; https://doi.org/10.3390/s90200768 - 2 Feb 2009
Cited by 169 | Viewed by 17274
Abstract
In this paper we compare two different methodologies for Fractional Vegetation Cover (FVC) retrieval from Compact High Resolution Imaging Spectrometer (CHRIS) data onboard the European Space Agency (ESA) Project for On-Board Autonomy (PROBA) platform. The first methodology is based on empirical approaches using [...] Read more.
In this paper we compare two different methodologies for Fractional Vegetation Cover (FVC) retrieval from Compact High Resolution Imaging Spectrometer (CHRIS) data onboard the European Space Agency (ESA) Project for On-Board Autonomy (PROBA) platform. The first methodology is based on empirical approaches using Vegetation Indices (VIs), in particular the Normalized Difference Vegetation Index (NDVI) and the Variable Atmospherically Resistant Index (VARI). The second methodology is based on the Spectral Mixture Analysis (SMA) technique, in which a Linear Spectral Unmixing model has been considered in order to retrieve the abundance of the different constituent materials within pixel elements, called Endmembers (EMs). These EMs were extracted from the image using three different methods: i) manual extraction using a land cover map, ii) Pixel Purity Index (PPI) and iii) Automated Morphological Endmember Extraction (AMEE). The different methodologies for FVC retrieval were applied to one PROBA/CHRIS image acquired over an agricultural area in Spain, and they were calibrated and tested against in situ measurements of FVC estimated with hemispherical photographs. The results obtained from VIs show that VARI correlates better with FVC than NDVI does, with standard errors of estimation of less than 8% in the case of VARI and less than 13% in the case of NDVI when calibrated using the in situ measurements. The results obtained from the SMA-LSU technique show Root Mean Square Errors (RMSE) below 12% when EMs are extracted from the AMEE method and around 9% when extracted from the PPI method. A RMSE value below 9% was obtained for manual extraction of EMs using a land cover use map. Full article
(This article belongs to the Section Remote Sensors)
Show Figures

15 pages, 798 KB  
Article
Fine Resolution Air Quality Monitoring from a Small Satellite: CHRIS/PROBA
by Janet E. Nichol, Man Sing Wong and Yuk Ying Chan
Sensors 2008, 8(12), 7581-7595; https://doi.org/10.3390/s8127581 - 27 Nov 2008
Cited by 5 | Viewed by 11524
Abstract
Current remote sensing techniques fail to address the task of air quality monitoring over complex regions where multiple pollution sources produce high spatial variability. This is due to a lack of suitable satellite-sensor combinations and appropriate aerosol optical thickness (AOT) retrieval algorithms. The [...] Read more.
Current remote sensing techniques fail to address the task of air quality monitoring over complex regions where multiple pollution sources produce high spatial variability. This is due to a lack of suitable satellite-sensor combinations and appropriate aerosol optical thickness (AOT) retrieval algorithms. The new generation of small satellites, with their lower costs and greater flexibility has the potential to address this problem, with customised platform-sensor combinations dedicated to monitoring single complex regions or mega-cities. This paper demonstrates the ability of the European Space Agency’s small satellite sensor CHRIS/PROBA to provide reliable AOT estimates at a spatially detailed level over Hong Kong, using a modified version of the dense dark vegetation (DDV) algorithm devised for MODIS. Since CHRIS has no middle-IR band such as the MODIS 2,100 nm band which is transparent to fine aerosols, the longest waveband of CHRIS, the 1,019 nm band was used to approximate surface reflectance, by the subtraction of an offset derived from synchronous field reflectance spectra. Aerosol reflectance in the blue and red bands was then obtained from the strong empirical relationship observed between the CHRIS 1,019 nm, and the blue and red bands respectively. AOT retrievals for three different dates were shown to be reliable, when compared with AERONET and Microtops II sunphotometers, and a Lidar, as well as air quality data at ground stations. The AOT images exhibited considerable spatial variability over the 11 x 11km image area and were able to indicate both local and long distance sources. Full article
(This article belongs to the Section Remote Sensors)
Show Figures

Back to TopTop