Sign in to use this feature.

Years

Between: -

Subjects

remove_circle_outline
remove_circle_outline
remove_circle_outline
remove_circle_outline

Journals

Article Types

Countries / Regions

Search Results (6)

Search Parameters:
Keywords = CEB-FIP 2010

Order results
Result details
Results per page
Select all
Export citation of selected articles as:
18 pages, 3174 KB  
Article
Analysis and Correction of the Shrinkage Prediction Model for Manufactured Sand Concrete
by Wei Fan, Yang Wei, Jiyang Yi, Kang Zhao, Binrong Zhu and Guofen Li
Materials 2025, 18(16), 3802; https://doi.org/10.3390/ma18163802 - 13 Aug 2025
Viewed by 575
Abstract
With the continuous depletion of natural river sand resources and the escalating ecological degradation caused by excessive sand mining, manufactured sand has emerged as a sustainable and environmentally favorable alternative aggregate, playing an increasingly important role in the advancement of green construction materials. [...] Read more.
With the continuous depletion of natural river sand resources and the escalating ecological degradation caused by excessive sand mining, manufactured sand has emerged as a sustainable and environmentally favorable alternative aggregate, playing an increasingly important role in the advancement of green construction materials. Nevertheless, the shrinkage behavior of manufactured sand concrete (MSC) exhibits significant deviations from that of conventional natural sand concrete due to differences in the material characteristics. Existing shrinkage prediction models—such as ACI 209, CEB-FIP 2010, B3, and GL 2000—fail to adequately incorporate the specific properties and substitution effects of manufactured sand, thereby limiting their predictive accuracy and applicability. To bridge this gap, the present study conducted a systematic evaluation of the four aforementioned classical shrinkage prediction models based on experimental data from MSC specimens incorporating varying replacement rates of manufactured sand. The findings revealed that models such as B3 and CEB-FIP 2010 neglected the influence of critical characteristics of manufactured sand—namely, particle morphology, gradation, and stone powder content—on the cementitious matrix and interfacial transition zone, which led to substantial prediction discrepancies. Accordingly, a nonlinear regression-based correction function was developed, introducing the manufactured sand content as a key influencing variable to recalibrate and enhance the ACI 209 and GL 2000 models for a more accurate application to MSC. The modified models exhibited markedly improved fitting performance and predictive robustness across the full range of manufactured sand replacement ratios (0–100%), thereby offering a more reliable framework for modeling the shrinkage development of MSC. Full article
(This article belongs to the Special Issue Advances in Sustainable Construction Materials, Third Edition)
Show Figures

Figure 1

22 pages, 4177 KB  
Article
Aspects of Modeling Prestressed Concrete Sleepers Subjected to Positive Moment Test at Midspan
by Ricardo P. Randi, Leandro M. Trautwein and Antônio C. dos Santos
Buildings 2024, 14(8), 2387; https://doi.org/10.3390/buildings14082387 - 2 Aug 2024
Cited by 1 | Viewed by 1314
Abstract
This paper aims to discuss aspects of modeling prestressed concrete sleepers based on experimental results. Midspan Positive Moment tests were performed on four prestressed sleepers. Using the ATENA 3D software, based on the Finite Element Method, numerical models were simulated through nonlinear analysis [...] Read more.
This paper aims to discuss aspects of modeling prestressed concrete sleepers based on experimental results. Midspan Positive Moment tests were performed on four prestressed sleepers. Using the ATENA 3D software, based on the Finite Element Method, numerical models were simulated through nonlinear analysis to adequately represent the behavior of the sleepers. To evaluate the influence of the crack model, the Young’s modulus, and the fracture energy, a parametric numerical analysis was performed, varying these parameters in stages to achieve a more realistic model. The crack model was evaluated by modifying the “fixed crack model” to a “rotated crack model” while the Young’s modulus and fracture energy were penalized by 0.00%, 5.00%, 10.00%, and 15.00% in relation to the value calculated according to the CEB FIP Model Code (2010). The numerical model with the “rotated crack model” and penalties of 0.00% and 5.00% for the Young’s modulus and fracture energy, respectively, presented a better approximation to the results presented in the experimental tests. Finally, from this calibrated model, an experimental versus numerical comparative analysis was performed, comparing the load versus displacement curves, failure loads, maximum displacements, and crack pattern behavior. In the future, constitutive models of bond slip and expansive reactions will be applied to the calibrated model. Full article
(This article belongs to the Section Building Structures)
Show Figures

Figure 1

14 pages, 2057 KB  
Article
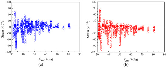
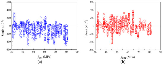
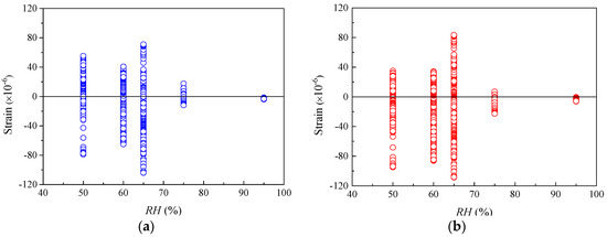
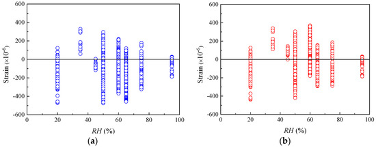
Statistical Evaluation of CEB-FIP 2010 Model for Concrete Creep and Shrinkage
by Zuanfeng Pan, Haipeng Zhang, Bin Zeng and Yuwei Wang
Materials 2023, 16(4), 1576; https://doi.org/10.3390/ma16041576 - 13 Feb 2023
Cited by 8 | Viewed by 3915
Abstract
An extensive experimental database consisting of 2838 shrinkage data points and 3598 creep data points is used to evaluate the accuracy of the newly proposed CEB-FIP 2010 model in predicting the creep and shrinkage of concrete structures. To study the applicability of the [...] Read more.
An extensive experimental database consisting of 2838 shrinkage data points and 3598 creep data points is used to evaluate the accuracy of the newly proposed CEB-FIP 2010 model in predicting the creep and shrinkage of concrete structures. To study the applicability of the model for high-strength concrete in general environments, the database was developed by only retaining the test data of concrete components with the average compressive strength greater than 30 MPa and the relative humidity in the test environment less than 95%. On this basis, combined with the B3 and CEB variation coefficient methods, the paper mainly adopts the residual method to assess the accuracy of the CEB-FIP 2010 model and compare it with the previous model, CEB-FIP 1990. The influences of several properties, such as the compressive strength, the age of concrete, the relative humidity, and the component size on the prediction accuracy of these two models are further studied. The results show that for the CEB-FIP 2010 model within the time interval of 0–9000 days, 52% and 48% of the shrinkage strain residuals of the total specimens are located in the negative and positive regions, respectively, while the positive and negative regions of the CEB-FIP 1990 model account for 73% and 27%, demonstrating the CEB-FIP 2010 model has better performance in predicting shrinkage strain than the CEB-FIP 1990 model, whereas the two models have comparable accuracy in predicting creep compliance. The CEB-FIP 2010 model is more reliable for considering the effects of compressive strength, relative humidity, and age at loading on shrinkage and creep than for considering the effect of member size. Full article
(This article belongs to the Section Construction and Building Materials)
Show Figures

Figure 1

14 pages, 2430 KB  
Article
Effect of Stress–Strength Ratio and Fiber Length on Creep Property of Polypropylene Fiber-Reinforced Alkali-Activated Slag Concrete
by Xianyu Zhou, Wenzhong Zheng and Yu Yan
Buildings 2022, 12(2), 91; https://doi.org/10.3390/buildings12020091 - 18 Jan 2022
Cited by 5 | Viewed by 2605
Abstract
Alkali-activated slag (AAS) is an environmentally friendly green cementitious material that can replace ordinary Portland cement (OPC) and has attracted extensive research by scholars all over the world. However, research regarding its creep performance has been lacking, which in turn affects its further [...] Read more.
Alkali-activated slag (AAS) is an environmentally friendly green cementitious material that can replace ordinary Portland cement (OPC) and has attracted extensive research by scholars all over the world. However, research regarding its creep performance has been lacking, which in turn affects its further application. The creep of alkali-activated slag concrete is large, and fiber addition has been shown to improve this problem. Polypropylene (PP) fiber has good alkali resistance and is economical. This paper studies the effect of the stress–strength ratio and fiber length on the creep property of PP fiber-reinforced alkali-activated slag (FRAAS) concrete. At the stress–strength ratio of 0.15, PP fiber addition is able to greatly reduce the creep of concrete. When the stress–strength ratio increases, the shorter fiber loses the anchoring force and the holes caused by the longer fiber crack. This in turn leads to the deterioration of the inhibition effect on concrete creep. The CEB-FIP 2010 model is highly accurate, but the final value prediction is small. The early prediction value of the GL2000 model is rather large and conservative. The creep coefficient of the prediction model and the measured secant modulus of PP FRAAS concrete with different fiber lengths under different stress–strength ratios may solve the issue of creep prediction. Full article
(This article belongs to the Special Issue Dynamic Response of Structures)
Show Figures

Figure 1

17 pages, 13073 KB  
Article
Numerical Investigation of the Strengthening Method by Circumferential Prestressing to Improve the Fatigue Life of Embedded-Ring Concrete Foundation for Onshore Wind Turbine Tower
by Junling Chen, Yiqing Xu and Jinwei Li
Energies 2020, 13(3), 533; https://doi.org/10.3390/en13030533 - 21 Jan 2020
Cited by 14 | Viewed by 4899
Abstract
An embedded-ring foundation connected to the steel tower above it by inserting the steel ring into the concrete foundation is a traditional and widely used form for wind turbine towers. An insufficiently embedded depth of the steel ring leads to stress concentration on [...] Read more.
An embedded-ring foundation connected to the steel tower above it by inserting the steel ring into the concrete foundation is a traditional and widely used form for wind turbine towers. An insufficiently embedded depth of the steel ring leads to stress concentration on the corner of the concrete above the windward-side T-shaped plate. A damage zone of concrete develops, leading to gaps between the steel ring and the foundation concrete and a decline in the restrain stiffness of the foundation pier, which induces a larger horizontal displacement of the steel tower and a decrease in the natural frequency for the wind turbine system. To improve the fatigue life of the concrete around the steel ring under the precondition of not destroying the original foundation, a strengthening method using a circumferential prestressing technique is proposed in this paper. A series of numerical analyses were carried out to analyze the stress state change in the foundation concrete before and after strengthening. The fatigue life of the concrete above the T-shaped plate was evaluated according to CEB-FIP model code (fib Model Code for Concrete Structures 2010). The results show that the strengthening method can effectively decrease the fatigue stress amplitude and improve the fatigue life of the concrete above the T-shaped plate. Full article
(This article belongs to the Section A3: Wind, Wave and Tidal Energy)
Show Figures

Graphical abstract

19 pages, 3794 KB  
Article
Testing and Prediction of the Strength Development of Recycled-Aggregate Concrete with Large Particle Natural Aggregate
by Changyong Li, Fei Wang, Xiangsheng Deng, Yizhuo Li and Shunbo Zhao
Materials 2019, 12(12), 1891; https://doi.org/10.3390/ma12121891 - 12 Jun 2019
Cited by 21 | Viewed by 3659
Abstract
In this paper, a new recycled aggregate concrete (RAC) was produced with composite coarse aggregate and fine recycled aggregate. The composite coarse aggregate was mixed into continuous gradation by large particle natural aggregate with small particle recycled aggregate. To explore the time-dependent developments [...] Read more.
In this paper, a new recycled aggregate concrete (RAC) was produced with composite coarse aggregate and fine recycled aggregate. The composite coarse aggregate was mixed into continuous gradation by large particle natural aggregate with small particle recycled aggregate. To explore the time-dependent developments of the compressive strength and splitting tensile strength of this new RAC, 320 groups of cubic specimens were tested at different curing ages from 3 days to 360 days to measure the compressive and splitting tensile strengths. The amount of large particle natural aggregate varied from zero to 70% in mass of the total coarse aggregate. The water/cement ratio was taken as 0.60, 0.49, 0.41 and 0.36 to represent four strength grades of the RAC at about C20, C30, C40 and C50. Based on the tested results, the curves of the compressive and tensile strengths of the RAC that changed with curing age are plotted, which clearly exhibit that the amount of large particle natural aggregate had a rational range in different strength grades of the RAC which had better aging strength. When the RAC was no larger than C30 with a water/cement ratio of 0.60 and 0.49, the amount of large particle natural aggregate should be no more than 30%; when the RAC was no less than C40 with a water/cement ratio of 0.41 and 0.36, the amount of large particle natural aggregate should be no less than 50%. Along with the general prediction of the strength development of all the tested RAC, the optimal predictive formulas are proposed for the strength development of RAC with a rational amount of natural aggregate. Meanwhile, the strength developments of RAC with a rational amount of natural aggregate are assessed by the time-dependent models proposed by the ACI Committee 209 and CEB-FIP MC 2010. Full article
(This article belongs to the Special Issue Concrete and Construction Materials)
Show Figures

Figure 1

Back to TopTop