Sign in to use this feature.

Years

Between: -

Subjects

remove_circle_outline
remove_circle_outline

Journals

Article Types

Countries / Regions

Search Results (7)

Search Parameters:
Keywords = Antarctic glaciation

Order results
Result details
Results per page
Select all
Export citation of selected articles as:
17 pages, 2382 KB  
Article
Tracing Ice-Age Legacies: Phylogeography and Glacial Refugia of the Endemic Chiton Tonicina zschaui (Polyplacophora: Ischnochitonidae) in the West Antarctic Region
by M. Cecilia Pardo-Gandarillas, Carolina Márquez-Gajardo, Pamela Morales, Jennifer Catalán, Kristen Poni, Sebastián Rosenfeld, Angie Díaz, Kevin M. Kocot and Christian M. Ibáñez
Diversity 2025, 17(9), 626; https://doi.org/10.3390/d17090626 - 6 Sep 2025
Viewed by 664
Abstract
Phylogeographic studies in Antarctica allow us to understand the demographic events of populations during glacial periods. In this study, the polyplacophoran Tonicina zschaui was analyzed in several localities on the West Antarctic Coast using the mitochondrial gene cytochrome oxidase subunit I (COI). Two [...] Read more.
Phylogeographic studies in Antarctica allow us to understand the demographic events of populations during glacial periods. In this study, the polyplacophoran Tonicina zschaui was analyzed in several localities on the West Antarctic Coast using the mitochondrial gene cytochrome oxidase subunit I (COI). Two genetically distinct populations were identified: one in the Weddell Sea and another across the Antarctic Peninsula and South Shetland Islands. Genetic diversity was generally low to moderate, suggesting limited gene flow and the influence of historical climatic events. Star-like haplotype networks and demographic analyses indicate population contractions during the Last Glaciation followed by postglacial expansion, especially in the Antarctic Peninsula–South Shetland Islands population. Several sites in this region were identified as potential glacial refugia, exhibiting proportionally elevated genetic diversity and exclusive haplotypes. Conversely, the small Weddell Sea population displayed signs of long-term isolation, limited expansion, and low diversity, likely due to stronger environmental constraints and genetic drift. Ocean currents such as the Antarctic Coastal Current, the Antarctic Peninsula Coastal Current and the Weddell Gyre appear to restrict larval dispersal, reinforcing genetic discontinuities. These findings support the hypothesis of glacial survival in localized refugia and postglacial recolonization, a pattern observed in other Antarctic marine invertebrates. Full article
(This article belongs to the Section Marine Diversity)
Show Figures

Figure 1

44 pages, 7018 KB  
Review
Rethinking the Lake History of Taylor Valley, Antarctica During the Ross Sea I Glaciation
by Michael S. Stone, Peter T. Doran and Krista F. Myers
Geosciences 2025, 15(1), 9; https://doi.org/10.3390/geosciences15010009 - 4 Jan 2025
Cited by 3 | Viewed by 2162
Abstract
The Ross Sea I glaciation, marked by the northward advance of the Ross Ice Sheet (RIS) in the Ross Sea, east Antarctica, corresponds with the last major expansion of the West Antarctic Ice Sheet during the last glacial period. During its advance, the [...] Read more.
The Ross Sea I glaciation, marked by the northward advance of the Ross Ice Sheet (RIS) in the Ross Sea, east Antarctica, corresponds with the last major expansion of the West Antarctic Ice Sheet during the last glacial period. During its advance, the RIS was grounded along the southern Victoria Land coast, completely blocking the mouths of several of the McMurdo Dry Valleys (MDVs). Several authors have proposed that very large paleolakes, proglacial to the RIS, existed in many of the MDVs. Studies of these large paleolakes have been key in the interpretation of the regional landscape, climate, hydrology, and glacier and ice sheet movements. By far the most studied of these large paleolakes is Glacial Lake Washburn (GLW) in Taylor Valley. Here, we present a comprehensive review of literature related to GLW, focusing on the waters supplying the paleolake, signatures of the paleolake itself, and signatures of past glacial movements that controlled the spatial extent of GLW. We find that while a valley-wide proglacial lake likely did exist in Taylor Valley during the early stages of the Ross Sea I glaciation, during later stages two isolated lakes occupied the eastern and western sections of the valley, confined by an expansion of local alpine glaciers. Lake levels above ~140 m asl were confined to western Taylor Valley, and major lake level changes were likely driven by RIS movements, with climate variables playing a more minor role. These results may have major implications for our understanding of the MDVs and the RIS during the Ross Sea I glaciation. Full article
(This article belongs to the Section Cryosphere)
Show Figures

Figure 1

12 pages, 1658 KB  
Article
Two-Step Glaciation of Antarctica: Its Tectonic Origin in Seaway Opening and West Antarctica Uplift
by Hsien-Wang Ou
Glacies 2024, 1(2), 80-91; https://doi.org/10.3390/glacies1020006 - 12 Oct 2024
Cited by 1 | Viewed by 1711
Abstract
The Cenozoic glaciation of Antarctica proceeded through two distinct steps around 35 and 15 million years ago. The first icing was attributed to thermal isolation due to the opening of the Drake/Tasman passages and the development of the Antarctic circumpolar current. I also [...] Read more.
The Cenozoic glaciation of Antarctica proceeded through two distinct steps around 35 and 15 million years ago. The first icing was attributed to thermal isolation due to the opening of the Drake/Tasman passages and the development of the Antarctic circumpolar current. I also subscribe to this “thermal isolation” but posit that, although the snowline was lowered below the Antarctic plateau for it to be iced over, the glacial line remains above sea level to confine the ice sheet to the plateau, a “partial” glaciation that would be sustained over time. The origin of the second icing remains unknown, but based on the sedimentary evidence, I posit that it was triggered when the isostatic rebound of West Antarctica caused by heightened erosion rose above the glacial line to be iced over by the expanding plateau ice, and the ensuing cooling lowered the glacial line to sea level to cause the “full” glaciation of Antarctica. To test these hypotheses, I formulate a minimal box model, which is nonetheless subjected to thermodynamic closure that allows a prognosis of the Miocene climate. Applying representative parameter values, the model reproduces the observed two-step icing followed by the stabilized temperature level, in support of the model physics. Full article
Show Figures

Figure 1

20 pages, 4119 KB  
Review
Evolutionary and Biogeographical History of Penguins (Sphenisciformes): Review of the Dispersal Patterns and Adaptations in a Geologic and Paleoecological Context
by Jonathan S. Pelegrín and Carolina Acosta Hospitaleche
Diversity 2022, 14(4), 255; https://doi.org/10.3390/d14040255 - 30 Mar 2022
Cited by 6 | Viewed by 19120
Abstract
Despite its current low diversity, the penguin clade (Sphenisciformes) is one of the groups of birds with the most complete fossil record. Likewise, from the evolutionary point of view, it is an interesting group given the adaptations developed for marine life and the [...] Read more.
Despite its current low diversity, the penguin clade (Sphenisciformes) is one of the groups of birds with the most complete fossil record. Likewise, from the evolutionary point of view, it is an interesting group given the adaptations developed for marine life and the extreme climatic occupation capacity that some species have shown. In the present contribution, we reviewed and integrated all of the geographical and phylogenetic information available, together with an exhaustive and updated review of the fossil record, to establish and propose a biogeographic scenario that allows the spatial-temporal reconstruction of the evolutionary history of the Sphenisciformes, discussing our results and those obtained by other authors. This allowed us to understand how some abiotic processes are responsible for the patterns of diversity evidenced both in modern and past lineages. Thus, using the BioGeoBEARS methodology for biogeographic estimation, we were able to reconstruct the biogeographical patterns for the entire group based on the most complete Bayesian phylogeny of the total evidence. As a result, a New Zealand origin for the Sphenisciformes during the late Cretaceous and early Paleocene is indicated, with subsequent dispersal and expansion across Antarctica and southern South America. During the Eocene, there was a remarkable diversification of species and ecological niches in Antarctica, probably associated with the more temperate climatic conditions in the Southern Hemisphere. A wide morphological variability might have developed at the beginning of the Paleogene diversification. During the Oligocene, with the trends towards the freezing of Antarctica and the generalized cooling of the Neogene, there was a turnover that led to the survival (in New Zealand) of the ancestors of the crown Sphenisciform lineages. Later these expanded and diversified across the Southern Hemisphere, strongly linked to the climatic and oceanographic processes of the Miocene. Finally, it should be noted that the Antarctic recolonization and its hostile climatic conditions occurred in some modern lineages during the Pleistocene, possibly due to exaptations that made possible the repeated dispersion through cold waters during the Cenozoic, also allowing the necessary adaptations to live in the tundra during the glaciations. Full article
Show Figures

Figure 1

17 pages, 4347 KB  
Article
Assessment of Contemporary Antarctic GIA Models Using High-Precision GPS Time Series
by Wenhao Li, Fei Li, C.K. Shum, Chanfang Shu, Feng Ming, Shengkai Zhang, Qingchuan Zhang and Wei Chen
Remote Sens. 2022, 14(5), 1070; https://doi.org/10.3390/rs14051070 - 22 Feb 2022
Cited by 2 | Viewed by 3289
Abstract
Past redistributions of the Earth’s mass resulting from the Earth’s viscoelastic response to the cycle of deglaciation and glaciation reflect the process known as glacial isostatic adjustment (GIA). GPS data are effective at constraining GIA velocities, provided that these data are accurate, have [...] Read more.
Past redistributions of the Earth’s mass resulting from the Earth’s viscoelastic response to the cycle of deglaciation and glaciation reflect the process known as glacial isostatic adjustment (GIA). GPS data are effective at constraining GIA velocities, provided that these data are accurate, have adequate spatial coverage, and account for competing geophysical processes, including the elastic loading of ice/snow ablation/accumulation. GPS solutions are significantly affected by common mode errors (CMEs) and the choice of optimal noise model, and they are contaminated by other geophysical signals due primarily to the Earth’s elastic response. Here, independent component analysis is used to remove the CMEs, and the Akaike information criterion is used to determine the optimal noise model for 79 GPS stations in Antarctica, primarily distributed across West Antarctica and the Antarctic Peninsula. Next, a high-resolution surface mass variation model is used to correct for elastic deformation. Finally, we use the improved GPS solution to assess the accuracy of seven contemporary GIA forward models in Antarctica. The results show that the maximal GPS crustal displacement velocity deviations reach 4.0 mm yr−1, and the mean variation is 0.4 mm yr−1 after removing CMEs and implementing the noise analysis. All GIA model-predicted velocities are found to systematically underestimate the GPS-observed velocities in the Amundsen Sea Embayment. Additionally, the GPS vertical velocities on the North Antarctic Peninsula are larger than those on the South Antarctic Peninsula, and most of the forward models underestimate the GIA impact on the Antarctic Peninsula. Full article
Show Figures

Figure 1

13 pages, 1670 KB  
Article
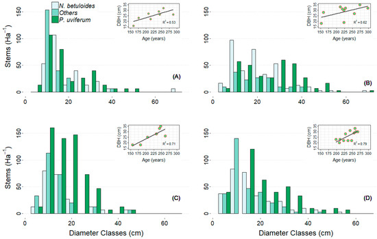
Structure, Diversity, and Environmental Determinants of High-Latitude Threatened Conifer Forests
by Carlos Esse, Francisco Correa-Araneda, Cristian Acuña, Rodrigo Santander-Massa, Patricio De Los Ríos-Escalante, Pablo Saavedra, Ximena Jaque-Jaramillo, Roberto Moreno, Paola Massyel García-Meneses and Daniel P. Soto
Forests 2021, 12(6), 775; https://doi.org/10.3390/f12060775 - 12 Jun 2021
Cited by 4 | Viewed by 3341
Abstract
Pilgerodendron uviferum (D. Don) Florin is an endemic, threatened conifer that grows in South America. In the sub-Antarctic territory, one of the most isolated places in the world, some forest patches remain untouched since the last glaciation. In this study, we analyze the [...] Read more.
Pilgerodendron uviferum (D. Don) Florin is an endemic, threatened conifer that grows in South America. In the sub-Antarctic territory, one of the most isolated places in the world, some forest patches remain untouched since the last glaciation. In this study, we analyze the tree structure and tree diversity and characterize the environmental conditions where P. uviferum-dominated stands develop within the Magellanic islands in Kawésqar National Park, Chile. An environmental matrix using the databases WorldClim and SoilGrids and local topography variables was used to identify the main environmental variables that explain the P. uviferum-dominated stands. PCA was used to reduce the environmental variables, and PERMANOVA and nMDS were used to evaluate differences among forest communities. The results show that two forest communities are present within the Magellanic islands. Both forest communities share the fact that they can persist over time due to the high water table that limits the competitive effect from other tree species less tolerant to high soil water table and organic matter. Our results contribute to knowledge of the species’ environmental preference and design conservation programs. Full article
(This article belongs to the Section Forest Ecology and Management)
Show Figures

Figure 1

25 pages, 11615 KB  
Article
Fluctuation of Glacial Retreat Rates in the Eastern Part of Warszawa Icefield, King George Island, Antarctica, 1979–2018
by Rafał Pudełko, Piotr Jan Angiel, Mariusz Potocki, Anna Jędrejek and Małgorzata Kozak
Remote Sens. 2018, 10(6), 892; https://doi.org/10.3390/rs10060892 - 7 Jun 2018
Cited by 50 | Viewed by 9752
Abstract
Antarctica is a region of the world where climate change is visible in the rapid melting of glaciers. This is particularly evident in marginal zones, where the pace of glacial retreat has systematically accelerated. The effective mapping of these changes is possible with [...] Read more.
Antarctica is a region of the world where climate change is visible in the rapid melting of glaciers. This is particularly evident in marginal zones, where the pace of glacial retreat has systematically accelerated. The effective mapping of these changes is possible with the use of remote sensing methods. This study assesses changes in glacier margin positions between 1979 and 2018 in the Antarctic Specially Protected Area 128 (ASPA-128) on King George Island, South Shetland Islands, Antarctica. In 1979, 19.8 km2 of the study area was glaciated. Over the following 39 years, an area of 6.1 km2 became ice-free, impacting local ecosystems both on land and in Admiralty Bay. The reduction in glacier extent was different in time and depended on the glacier type. Land-terminating glaciers had the fastest retreat rates below 200 m a.s.l. and were influenced mostly by surface melting. The reduction of tidewater glaciers occurred primarily in areas below 100 m a.s.l., with the most pronounced ice extent decreases occurring below 50 m a.s.l. The observed rates of front retreat suggest that glacier retreat rates were fastest between 1989–2001 and 2007–2011, with reduced retreat rates between 2001 and 2007. During the last 7 years, the lowest rate of regression was recorded in the entire analysed period (1979–2018). Changes in the areal extent of glaciers were compared with the climate record available for King George Island. The observed fluctuations in glacier retreat rates could be correlated to oscillations in annual Positive Degree-Days. The spatial analyses were based on aerial photographs (1956, 1979), theodolite measurements (1989), GPS survey (2001, 2007), and satellite images (2011, 2018). Full article
(This article belongs to the Section Remote Sensing in Geology, Geomorphology and Hydrology)
Show Figures

Graphical abstract

Back to TopTop