Sign in to use this feature.

Years

Between: -

Subjects

remove_circle_outline
remove_circle_outline
remove_circle_outline
remove_circle_outline
remove_circle_outline
remove_circle_outline
remove_circle_outline
remove_circle_outline
remove_circle_outline

Journals

Article Types

Countries / Regions

Search Results (66)

Search Parameters:
Keywords = β-HgS

Order results
Result details
Results per page
Select all
Export citation of selected articles as:
15 pages, 562 KB  
Article
Alcohol Consumption Patterns and Peripheral Arterial Stiffness in Young Adults: Sex-Specific Findings from the EVA-Adic Study
by Alberto Vicente-Prieto, Cristina Lugones-Sánchez, Sara Vicente-Gabriel, Cristina Saldaña-Ruiz, Susana González-Sánchez, Sandra Conde-Martín, Emiliano Rodriguez-Sanchez, Luis García-Ortiz, Marta Gómez-Sánchez, Leticia Gómez-Sánchez, Manuel Angel Gómez-Marcos and EVA-Adic Investigators Group
Nutrients 2026, 18(3), 411; https://doi.org/10.3390/nu18030411 - 26 Jan 2026
Viewed by 133
Abstract
Background: The relationship between alcohol consumption and vascular function remains controversial. This study aimed to examine the association between total alcohol intake, type of alcoholic beverage, and arterial stiffness across different vascular territories in young Spanish adults, with special attention to sex-specific [...] Read more.
Background: The relationship between alcohol consumption and vascular function remains controversial. This study aimed to examine the association between total alcohol intake, type of alcoholic beverage, and arterial stiffness across different vascular territories in young Spanish adults, with special attention to sex-specific patterns. Methods: A descriptive cross-sectional study was conducted. Using consecutive non-probability sampling, 501 participants (222 men and 279 women) aged 18–34 years, were recruited from the urban population of Salamanca. Alcohol consumption was assessed using a standardized questionnaire and quantified in grams per week overall and by different types of drinks (wine, beer or spirits drinks). Arterial stiffness was evaluated using pulse pressure (PP), carotid–femoral pulse wave velocity (cf-PWV), brachial–ankle pulse wave velocity (ba-PWV), cardio–ankle vascular index (CAVI), and central augmentation index corrected to a heart rate of 75 beats per minute (CAIx75). Results: The mean age of the sample was 26.58 ± 4.40 years, and was significantly higher in men than in women (27.04 ± 4.41 vs. 26.22 ± 4.37 years; p = 0.040). The mean values for vascular function parameters were as follows: PP 42.86 ± 8.45 mmHg, cf-PWV 5.60 ± 1.29 m/s, ba-PWV 38 10.80 ± 1.01 m/s, CAVI 6.13 ± 0.75, and CAIx75 7.71 ± 19.74. Participants reporting alcohol consumption showed lower ba-PWV values compared with abstainers, while no consistent associations were observed for central arterial stiffness parameters. In sex-stratified analyses, higher total alcohol intake (β = −0.002, 95% CI: −0.004–−0.001), as well as beer (β = −0.004, 95% CI: −0.007–−0.001), and spirit consumption (β = −0.004, 95% CI: −0.006–−0.001), were inversely associated with ba-PWV exclusively in men. In women, spirit consumption was positively associated with CAIx75 (β = 0.044, 95% CI: 0.006–0.081). The magnitude of the observed differences in ba-PWV was modest and occurred in a predominantly low-risk population. Conclusions: In young adults, alcohol consumption was associated with differences in peripheral arterial stiffness, primarily reflected by ba-PWV, with clear sex-specific patterns. These findings do not support a causal or protective effect of alcohol consumption and should be interpreted cautiously due to the cross-sectional design of the study. The results highlight the importance of considering sex and vascular territory when evaluating early markers of vascular aging in young populations. Clinical trial registration: [ClinicalTrials.gov], identifier [NCT05819840]. Full article
(This article belongs to the Special Issue Alcohol Consumption and Human Health)
Show Figures

Graphical abstract

18 pages, 1237 KB  
Article
Comparative Microbiome and Functional Profiling of Cowpea Kimchi Fermented Using Korean and Sichuan Techniques
by Luwei Wang, Bo Sun, Sa-ouk Kang and Rui Liu
Fermentation 2026, 12(1), 10; https://doi.org/10.3390/fermentation12010010 - 23 Dec 2025
Viewed by 578
Abstract
Fermented vegetables host complex microbiomes that drive flavor and functionality. We compared cowpea pod fermentations produced by a Korean kimchi-style method (HG) versus a Sichuan paocai-style method (SC) to isolate technique-driven effects on community structure and functional potential. Cowpea pods were fermented for [...] Read more.
Fermented vegetables host complex microbiomes that drive flavor and functionality. We compared cowpea pod fermentations produced by a Korean kimchi-style method (HG) versus a Sichuan paocai-style method (SC) to isolate technique-driven effects on community structure and functional potential. Cowpea pods were fermented for 10 days in triplicate, profiled by 16S rRNA (V3-V4) amplicon sequencing, analyzed in QIIME2, and functionally inferred with PICRUSt2. SC exhibited higher alpha diversity (Shannon, Chao1, Simpson) than HG (p < 0.05), and beta-diversity (Bray-Curtis dissimilarity) showed clear separation by fermentation style (PERMANOVA p = 0.001), indicating method-dependent community assembly. Both styles were dominated by lactic acid bacteria, chiefly Leuconostoc, Lactobacillus, and Weissella, but their proportions differed: HG retained higher Leuconostoc/Weissella, whereas SC favored Lactobacillus. Predicted functions diverged accordingly: HG was enriched for carbohydrate-metabolism genes (e.g., β-galactosidase; dextransucrase), consistent with rapid sugar fermentation and possible exopolysaccharide formation; SC showed enrichment of amino-acid-related pathways (e.g., acetolactate synthase; glutamate dehydrogenase), heterolactic fermentation, and γ-aminobutyric acid (GABA) biosynthesis, suggesting broader metabolic outputs relevant to flavor development and potential health attributes. Overall, fermentation technique substantially shapes both the microbiome and its predicted repertoire, with HG prioritizing carbohydrate catabolism and SC showing expanded metabolic potential; these insights can inform starter selection and process control for targeted product qualities. Full article
(This article belongs to the Section Fermentation for Food and Beverages)
Show Figures

Figure 1

15 pages, 1401 KB  
Article
Effect of Urban Infrastructure on Physical Activity and Health Indicators: The Case of the City of Kaunas, Lithuania
by Aurimas Rapalavicius, Jone Vencloviene, Audrius Dėdelė and Sandra Andrusaityte
Sustainability 2025, 17(22), 10006; https://doi.org/10.3390/su172210006 - 9 Nov 2025
Viewed by 519
Abstract
Urban infrastructure is a key determinant of population health and physical activity. Well-planned environments support active lifestyles and reduce health risks. This study examined the relationship between urban infrastructure, physical activity, and health among 95 residents aged 40–75 in Kaunas, Lithuania, between 2019 [...] Read more.
Urban infrastructure is a key determinant of population health and physical activity. Well-planned environments support active lifestyles and reduce health risks. This study examined the relationship between urban infrastructure, physical activity, and health among 95 residents aged 40–75 in Kaunas, Lithuania, between 2019 and 2022, selected from a baseline cohort of 1086 participants. Data were collected through questionnaires assessing environmental perceptions and self-rated health, alongside objective indicators—daily step count, resting systolic (sBP) and diastolic (dBP) blood pressure, body mass index (BMI), waist circumference, and heart rate—measured using wearable devices. Participants living in areas with more favorable infrastructure showed lower sBP (130.84 vs. 153.68 mmHg), lower heart rate (62.64 vs. 74.01 bpm), reduced BMI, and higher weekly step counts (54,564 vs. 27,885). Regression analysis indicated that higher physical activity and better-perceived infrastructure (REIF) were significantly associated with improved cardiovascular health (β = −11.32 for sBP, p = 0.011). Interaction effects revealed that the positive impact of physical activity on self-rated health was more pronounced in supportive environments (β = −0.04, p = 0.006). These findings suggest that well-designed urban spaces with walkability, green areas, and low perceived pollution promote healthier lifestyles and reduce health risks, supporting health equity and long-term well-being. Full article
(This article belongs to the Section Health, Well-Being and Sustainability)
Show Figures

Figure 1

29 pages, 7216 KB  
Article
Thymoquinone Protective Effect Against Mercury-Induced Reproductive Derangement in Rats: In Vivo and In Silico Investigation
by Solomon Owumi, Moses Otunla, Pelumi Akindipe, Uche Arunsi, Jesutosin O. Babalola, Chioma E. Irozuru, Ahmad Altayyar, Bayode Oluwawibe, Olatunde Owoeye and Adegboyega K. Oyelere
Toxics 2025, 13(10), 896; https://doi.org/10.3390/toxics13100896 - 19 Oct 2025
Cited by 1 | Viewed by 1157
Abstract
Mercury exposure has been linked to male infertility. Given that mercury chloride (HgCl2) may promote an oxido-inflammatory milieu associated with pathophysiological derangements, it is hypothesised that Thymoquinone (TQ), an antioxidant and anti-inflammatory agent, may mitigate the gradual harmful effects of mercury [...] Read more.
Mercury exposure has been linked to male infertility. Given that mercury chloride (HgCl2) may promote an oxido-inflammatory milieu associated with pathophysiological derangements, it is hypothesised that Thymoquinone (TQ), an antioxidant and anti-inflammatory agent, may mitigate the gradual harmful effects of mercury exposure on rat testes, epididymis, and hypothalamus, as these organs are vital to reproductive function. To test this hypothesis, 40 rats (strain: Wistar; sex: male) were randomly assigned to five cohorts of eight rats each. After a 7-day acclimation, treatments were dispensed for 28 consecutive days accordingly: Cohort I: distilled water only, as control; Cohort II: HgCl2 only (20 µg/mL); Cohort III: TQ only (2.5 mg/kg); Cohort IV: HgCl2 + TQ (20 µg/mL + 2.5 mg/kg); and Cohort V: HgCl2 + TQ (20 µg/mL + 5 mg/kg). Co-treatment with TQ preserved the body and organ weight of the HgCl2 exposed animals. However, TQ did not reduce HgCl2-induced dysfunction in sperm function and morphology. The serum follicle-stimulating hormone (FSH), luteinising hormone (LH), and testosterone were increased significantly (p < 0.05) by TQ co-treatment, while decreasing the prolactin level. TQ administration also increased (p < 0.05) testicular enzymes, including alkaline phosphatase (ALP), lactate dehydrogenase (LDH), acid phosphatase (ACP), and glucose-6-phosphate dehydrogenase (G6PD) activities, which HgCl2 decreased. TQ administration increased (p < 0.05) HgCl2-induced decreases in catalase (CAT), superoxide dismutase (SOD), glutathione peroxidase (GPx), glutathione (GSH), glutathione-s-transferase (GST), and total sulfhydryl group (TSH) levels in the testes, epididymis, and hypothalamus of experimental rats. Further, TQ reduced HgCl2-mediated increases in RONS-reactive oxygen and nitrogen species; LPO–lipid peroxidation; PC–protein carbonyl formation; and XO–xanthine oxidase activity. Furthermore, levels of inflammatory biomarkers, including tumour necrosis factor alpha (TNF-α), nitric oxide (NO), interleukin-1 beta (IL-1β), and myeloperoxidase (MPO), were decreased (p < 0.05) in the co-treated groups, with a higher dose of TQ (5.0 mg/kg) showing a more pronounced protective effect. Additionally, TQ co-administration increased Bax and decreased Bcl-2 and p53 protein levels (p < 0.05), thereby protecting the rats’ testes, epididymis, and hypothalamus from HgCl2-induced apoptosis. Molecular docking simulation analysis revealed TQ interaction dynamics with PPAR-α and PPAR-δ to suppress NF-kB-mediated pro-inflammatory sequela as well as activate Nrf-2-mediated antioxidant defence system. These predicted biological effects of TQ resonate with the findings from the in vivo studies. Therefore, supplementation with TQ may help reduce chemical-induced toxicities, including HgCl2‘s reproductive toxicity. Full article
(This article belongs to the Section Novel Methods in Toxicology Research)
Show Figures

Graphical abstract

15 pages, 1202 KB  
Article
Relationship Between the Duration of Intravenous Ketamine Anesthesia and Postoperative Oxidative Stress and Inflammatory Response in Rats
by Ramazan Ince, Habip Burak Ozgodek, Agah Abdullah Kahramanlar, Nurinisa Yucel, Cengiz Sarıgül and Halis Suleyman
Int. J. Mol. Sci. 2025, 26(19), 9465; https://doi.org/10.3390/ijms26199465 - 27 Sep 2025
Viewed by 940
Abstract
Surgical trauma triggers oxidative and inflammatory responses that contribute to postoperative complications. Although the antioxidant and anti-inflammatory effects of ketamine have been reported, the impact of anesthesia duration on these mechanisms remains unclear. Forty-two male Wistar rats were randomized into healthy control (HG), [...] Read more.
Surgical trauma triggers oxidative and inflammatory responses that contribute to postoperative complications. Although the antioxidant and anti-inflammatory effects of ketamine have been reported, the impact of anesthesia duration on these mechanisms remains unclear. Forty-two male Wistar rats were randomized into healthy control (HG), ketamine only (KET; 60 mg/kg, i.p.), or laparotomy plus ketamine with 0–4 additional ketamine doses at 20 min intervals (KET + L, KET + L1–L4). At 24 h, levels of MDA, tGSH, SOD, CAT, IL-1β, IL-6, TNF-α, adrenaline and noradrenaline were measured in tail-vein blood. One-way ANOVA with Tukey’s post hoc test was used. Laparotomy under single-dose ketamine increased MDA and pro-inflammatory cytokines and decreased tGSH, SOD, CAT, ADR, and NDR versus HG and KET (all p < 0.001). After laparotomy, repeated ketamine dosing produced graded decreases in MDA and cytokines and increases in tGSH, SOD, CAT, ADR, and NDR toward control levels; effects were most pronounced in KET + L4 (all p < 0.001). Ketamine alone did not differ significantly from HG. In rats, ketamine modulates postoperative biological stress in a duration-dependent manner; prolonging anesthesia reduces oxidative–inflammatory load and restores catecholaminergic tone. These findings strongly support revisiting dose–duration protocols and underscore the need for mechanistic and clinical studies. Full article
(This article belongs to the Section Molecular Pharmacology)
Show Figures

Figure 1

13 pages, 2207 KB  
Article
Regulatory Role of lncRNA MEG3 Silencing on PI3K/GSK3β/Tau Pathway in a High-Glucose-Induced Cell Model
by Lütfiye Ozpak
Int. J. Mol. Sci. 2025, 26(16), 7944; https://doi.org/10.3390/ijms26167944 - 18 Aug 2025
Viewed by 1025
Abstract
This study investigated the regulatory role of the long non-coding RNA maternally expressed gene 3 (MEG3) in tau hyperphosphorylation and insulin signaling (PI3K/AKT1/GSK3β) under high-glucose (HG)-induced neurotoxic conditions mimicking Alzheimer’s disease pathology. To explore the function of MEG3 within [...] Read more.
This study investigated the regulatory role of the long non-coding RNA maternally expressed gene 3 (MEG3) in tau hyperphosphorylation and insulin signaling (PI3K/AKT1/GSK3β) under high-glucose (HG)-induced neurotoxic conditions mimicking Alzheimer’s disease pathology. To explore the function of MEG3 within a hyperglycemic (Hyp) model, MEG3 was silenced using small interfering RNA (siRNA) assay, followed by Western blot analysis, qRT-PCR, and network analyses. The siMEG3 + Hyp group had lower levels of AKT1 (0.48-fold) and PI3K (0.52-fold) than did the Hyp group. In the siMEG3 + Hyp group, GSK3β (2.51-fold) and TNFα (2.38-fold) expressions were higher than were those in the Hyp group, while in the siMEG3 group, GSK3β (4.59-fold), microtubule-associated protein TAU (MAPT, TAU) (6.37-fold), interleukin (IL)1β (5.67-fold), IL6 (3.29-fold), and tumor necrosis factor-α (TNFα) (3.06-fold) were all significantly upregulated in comparison to the control group. A higher level of p-tau protein was seen in the siMEG3 group in comparison to the control group, as well as in the siMEG3 + Hyp group in comparison to the Hyp group. Gene ontology analysis following MEG3 administration showed that genes downstream of the PI3K pathway were suppressed, whereas genes regulating the neuroinflammatory response were upregulated. The results suggest that the lncRNA MEG3 may be a promising therapeutic target in HG-induced neurodegenerative AD. Full article
(This article belongs to the Special Issue Role of MicroRNAs in Human Diseases: 2nd Edition)
Show Figures

Figure 1

13 pages, 5075 KB  
Article
The FT3/FT4 Ratio as a Metabolic Marker of Frailty and Prognosis in Older Adults with Heart Failure
by Chukwuma Okoye, Tessa Mazzarone, Filippo Niccolai, Alberto Finazzi, Emma Esposito, Giuseppe Bellelli and Agostino Virdis
J. Clin. Med. 2025, 14(14), 4840; https://doi.org/10.3390/jcm14144840 - 8 Jul 2025
Cited by 1 | Viewed by 1131
Abstract
Background/Objectives: Frailty is a key determinant of outcomes in older adults with heart failure (HF). The free triiodothyronine/free thyroxine (FT3/FT4) ratio has emerged as a promising frailty biomarker that reflects metabolic and systemic resilience. This study investigates its association [...] Read more.
Background/Objectives: Frailty is a key determinant of outcomes in older adults with heart failure (HF). The free triiodothyronine/free thyroxine (FT3/FT4) ratio has emerged as a promising frailty biomarker that reflects metabolic and systemic resilience. This study investigates its association with frailty, nutrition, muscle strength, inflammation, and one-year mortality in very old patients with HF. Methods: In this longitudinal, single-center study, we enrolled 193 older outpatients (mean age, 86.5 ± 6.1 years; 56% women) recently discharged after acute HF. All patients underwent physical examination, blood testing, and comprehensive geriatric assessment, including handgrip strength (HGS). Participants were stratified by FT3/FT4 ratio (<1.7 vs. ≥1.7). Associations with the Clinical Frailty Scale (CFS) were examined using multivariable linear regression. Spearman’s correlations assessed relationships with inflammatory and nutritional biomarkers. Cox regression evaluated the association with all-cause mortality. Results: Patients with a low FT3/FT4 ratio (31.1%) exhibited greater frailty (CFS: median [IQR], 6 [2] vs. 4 [3]; p = 0.020), poorer nutritional status (Mini Nutritional Assessment: 10 [4] vs. 12 [3]; p = 0.008), and lower HGS (mean ± SD, 16.8 ± 3.7 kg vs. 20.3 ± 4.8 kg; p = 0.002). An inverse association was identified between the FT3/FT4 ratio and frailty (adjusted β = −0.09; p = 0.019). Individuals with low FT3/FT4 also showed elevated inflammatory markers and had more than double the one-year mortality rate compared to those with higher ratios [HR 2.32 (95% CI, 1.24–4.34; p = 0.007)]. Conclusions: In very old adults recently hospitalized for HF, a lower FT3/FT4 ratio was associated with frailty, malnutrition, inflammation, and increased mortality, supporting its potential role as a marker of biological vulnerability. Full article
Show Figures

Figure 1

17 pages, 875 KB  
Article
Positional Profiling of Anthropometric, Baropodometric, and Grip Strength Traits in Male Volleyball Players: Insights from a National Colombian Study
by Adrián De la Rosa, María Alejandra Camacho-Villa, Fernando Millan-Domingo, Juan Carlos Saavedra, Marina Politi Okoshi and Luana Urbano Pagan
J. Funct. Morphol. Kinesiol. 2025, 10(2), 197; https://doi.org/10.3390/jfmk10020197 - 29 May 2025
Cited by 2 | Viewed by 2533
Abstract
Background: In volleyball, upper limb dimensions, handgrip strength (HGS), and baropodometric parameters are critical for executing offensive and defensive actions during the match. These movements demand not only physical precision but also carry a significant risk of injury, varying by playing position. Objectives: [...] Read more.
Background: In volleyball, upper limb dimensions, handgrip strength (HGS), and baropodometric parameters are critical for executing offensive and defensive actions during the match. These movements demand not only physical precision but also carry a significant risk of injury, varying by playing position. Objectives: This study aimed to determine the differences in specific upper limb anthropometric characteristics, HGS, and selected baropodometric variables among U-23 male volleyball players concerning playing position. Methods: The sample consisted of 92 U-23 male players who prepared for the U-23 Men’s Volleyball National Championship 2022 (20.39 (1.74) years, 184 (8.46) cm, 75.52 (10.20) kg). Playing positions analyzed were setters (n = 12), outside (n = 18), opposites (n = 19), middle blockers (n = 16), and liberos (n = 12). Results: player position differences in HGS and several anthropometric upper limb variables were observed. Middle blockers, outsides, and opposites exhibited superior anthropometric traits in most of the measurements compared to liberos and setters (p < 0.05). Differences in baropodometric parameters were only found between feet and their zones when the entire sample was evaluated. Finally, regression analysis identified dominant hand breadth (β = 3.42, 95%CI [0.43, 6.40], upper arm muscle area (β = 0.157, 95%CI [0.02, 0.29]), and wrist diameter (β = 3.59, IC 95% [0.49, 6.68]) as associated variables of HGS. Conclusions: The study underscores the importance of positional profiling in volleyball, revealing key physical traits linked to performance. The observed differences are likely attributable to the specific role and physical demands inherent to each playing position. These findings can guide targeted training and injury prevention strategies to enhance performance. Full article
Show Figures

Figure 1

19 pages, 323 KB  
Article
Nonregular Physical Activity and Handgrip Strength as Indicators of Fatigue and Psychological Distress in Cancer Survivors
by Ilaria Pepe, Alessandro Petrelli, Francesco Fischetti, Carla Minoia, Stefania Morsanuto, Livica Talaba, Stefania Cataldi and Gianpiero Greco
Curr. Oncol. 2025, 32(5), 289; https://doi.org/10.3390/curroncol32050289 - 21 May 2025
Cited by 3 | Viewed by 1660
Abstract
Background: Cancer survivors who do not engage in regular physical activity often experience persistent psychological distress and fatigue, which can significantly impact their quality of life. While handgrip strength (HGS) is recognized as an indicator of overall health and physical resilience, the combined [...] Read more.
Background: Cancer survivors who do not engage in regular physical activity often experience persistent psychological distress and fatigue, which can significantly impact their quality of life. While handgrip strength (HGS) is recognized as an indicator of overall health and physical resilience, the combined role of HGS and physical inactivity in predicting psychological distress and fatigue in this population remains unclear. This study aimed to examine the relationships between self-reported physical inactivity, HGS, and psychological distress, specifically depressive symptoms, anxiety, and cancer-related fatigue (CRF), in physically inactive cancer survivors. Methods: This cross-sectional study included 42 physically inactive cancer survivors (mean age = 63.2 years, SD = 8.96) recruited from the Cancer Institute (IRCCS) in Bari, Italy. Physical inactivity was quantified based on self-reported weekly physical activity minutes, with all participants engaging in less than 150 min per week. The participants underwent HGS assessment and completed validated psychological measures, including the Beck Depression Inventory (BDI), the State-Trait Anxiety Inventory (STAI-Y1 and STAI-Y2), and the Fatigue Severity Scale (FSS). Results: Bivariate correlations were examined via Spearman’s rank correlation coefficients, and multiple linear regression analyses were performed to identify independent predictors of psychological distress and fatigue, adjusting for covariates such as age, sex, cancer type, and time since treatment completion. Both lower HGS and greater physical inactivity were significantly correlated with greater depressive symptoms (HGS: ρ = −0.524, p < 0.001; physical inactivity: ρ = −0.662, p < 0.001), greater fatigue severity (HGS: ρ = −0.599, p < 0.001; physical inactivity: ρ = −0.662, p < 0.001), and increased trait anxiety (HGS: ρ = −0.532, p < 0.001; physical inactivity: ρ = −0.701, p < 0.001). No significant associations were found between physical inactivity or HGS and state anxiety (p > 0.05). Multiple regression analyses confirmed that both HGS and physical inactivity independently predicted depressive symptoms (HGS: β = −0.435, p = 0.009; physical inactivity: β = −0.518, p = 0.002), trait anxiety (HGS: β = −0.313, p = 0.038; physical inactivity: β = −0.549, p < 0.001), and fatigue (HGS: β = −0.324, p = 0.033; physical inactivity: β = −0.565, p < 0.001), even after adjusting for covariates. Low physical activity and reduced muscle strength independently predict psychological distress and fatigue in cancer survivors. Conclusions: These findings highlight the potential exacerbating role of physical inactivity in both physical and psychological vulnerability, underscoring the need for interventions promoting regular exercise. Integrating strength assessments and structured physical activity programs may be key strategies in survivorship care to improve mental well-being and overall quality of life. Full article
(This article belongs to the Section Psychosocial Oncology)
17 pages, 1414 KB  
Article
Adherence to β-hydroxy-β-methylbutyrate-Enriched Oral Nutritional Supplements Enhances Survival and Nutritional Recovery in Malnourished Outpatients: Prognostic Insights
by Isabel Vegas-Aguilar, Rocío Fernández-Jiménez, Isabel Cornejo-Pareja, María Del Mar Amaya-Campos, Patricia Guirado-Peláez, Natalia Montero-Madrid, Álvaro Vidal-Suarez, Maria Angeles Martín-Fontalba, Victor Simon-Frapolli, Francisco J. Tinahones and José Manuel García-Almeida
Nutrients 2025, 17(9), 1601; https://doi.org/10.3390/nu17091601 - 7 May 2025
Cited by 2 | Viewed by 1943
Abstract
Background: Disease-related malnutrition (DRM) in outpatients is associated with increased mortality and functional decline. Morphofunctional assessments, including phase angle (PA), rectus femoris cross-sectional area (RF-CSA), and handgrip strength (HGS), provide valuable prognostic insights in the ambulatory setting. Nutritional recovery programs enriched with [...] Read more.
Background: Disease-related malnutrition (DRM) in outpatients is associated with increased mortality and functional decline. Morphofunctional assessments, including phase angle (PA), rectus femoris cross-sectional area (RF-CSA), and handgrip strength (HGS), provide valuable prognostic insights in the ambulatory setting. Nutritional recovery programs enriched with β-hydroxy-β-methylbutyrate (HMB) offer potential benefits in improving nutritional and functional outcomes. Objective: To evaluate the effects of a six-month nutritional recovery program combining HMB-enriched oral nutritional supplements (HMB-ONS), dietary recommendations, and exercise on survival, morphofunctional markers, and adherence in malnourished outpatients. Methods: This retrospective observational study included 135 malnourished outpatients diagnosed using GLIM criteria. Morphofunctional assessments included PA (bioimpedance analysis), RF-CSA (nutritional ultrasound), HGS (dynamometry), and the Timed Up and Go (TUG) test. Adherence was assessed using pharmacy retrieval records and a validated questionnaire. Changes in morphofunctional markers and their association with mortality were analyzed using multivariate Cox regression models. Results: After six months, significant improvements were observed in PA (+0.47°), RF-CSA (+0.90 cm2), HGS (+4.1 kg), and TUG (−0.93 s) (all p < 0.001). These improvements were more pronounced in the high-adherence group, which also exhibited a reduced mortality risk (HR 0.42, p < 0.05). Changes in PA and HGS were strongly associated with survival, with ΔPA showing an HR of 0.27 (95% CI: 0.15–0.50, p < 0.001) and ΔHGS showing an HR of 0.82 (95% CI: 0.75–0.89, p < 0.001). Conclusions: A nutritional recovery program with HMB-ONS significantly improves survival and morphofunctional markers in malnourished patients, with the greatest benefits observed in those with high adherence. These findings underscore the importance of adherence-support strategies in optimizing clinical outcomes and highlight the need for further research to confirm long-term benefits. Full article
(This article belongs to the Special Issue Nutritional Status and Lifestyle in Metabolic Disorders)
Show Figures

Figure 1

26 pages, 2831 KB  
Article
Catalpol Protects Against Retinal Ischemia Through Antioxidation, Anti-Ischemia, Downregulation of β-Catenin, VEGF, and Angiopoietin-2: In Vitro and In Vivo Studies
by Howard Wen-Haur Chao, Windsor Wen-Jin Chao and Hsiao-Ming Chao
Int. J. Mol. Sci. 2025, 26(9), 4019; https://doi.org/10.3390/ijms26094019 - 24 Apr 2025
Cited by 2 | Viewed by 1335
Abstract
Retinal ischemic disorders present significant threats to vision, characterized by inadequate blood supply oxygen–glucose deprivation (OGD), oxidative stress, and cellular injury, often resulting in irreversible injury. Catalpol, an iridoid glycoside derived from Rehmannia glutinosa, has demonstrated antioxidative and neuroprotective effects. This study [...] Read more.
Retinal ischemic disorders present significant threats to vision, characterized by inadequate blood supply oxygen–glucose deprivation (OGD), oxidative stress, and cellular injury, often resulting in irreversible injury. Catalpol, an iridoid glycoside derived from Rehmannia glutinosa, has demonstrated antioxidative and neuroprotective effects. This study aimed at investigating the protective effects and mechanisms of catalpol against oxidative stress or OGD in vitro and retinal ischemia in vivo, focusing on the modulation of key biomarkers of retinal ischemia, including HIF-1α, vascular endothelial growth factor (VEGF), angiopoietin-2, MCP-1, and the Wnt/β-catenin pathway. Cellular viability was assessed using retinal ganglion cell-5 (RGC-5) cells cultured in DMEM; a 3-(4,5-Dimethylthiazol-2-yl)-2,5-diphenyltetrazolium bromide assay was performed. H2O2 (1 mM)/OGD was utilized. Vehicle or different catalpol concentrations were administered 15 min before the ischemic-like insults. The Wistar rat eyes’ intraocular pressure was increased to 120 mmHg for 60 min to induce retinal ischemia. Intravitreous injections of catalpol (0.5 or 0.25 mM), Wnt inhibitor DKK1 (1 μg/4 μL), anti-VEGF Lucentis (40 μg/4 μL), or anti-VEGF Eylea (160 μg/4 μL) were administered to the rats’ eyes 15 min before or after retinal ischemia. Electroretinogram (ERG), fluorogold retrograde labeling RGC, Western blotting, ELISA, RT-PCR, and TUNEL were utilized. In vitro, both H2O2 and OGD models significantly (p < 0.001/p < 0.001; H2O2 and OGD) induced oxidative stress/ischemic-like insults, decreasing RGC-5 cell viability (from 100% to 55.14 ± 2.19%/60.84 ± 4.57%). These injuries were insignificantly (53.85 ± 1.28% at 0.25 mM)/(63.46 ± 3.30% at 0.25 mM) and significantly (p = 0.003/p = 0.012; 64.15 ± 2.41%/77.63 ± 8.59% at 0.5 mM) altered by the pre-administration of catalpol, indicating a possible antioxidative and anti-ischemic effect of 0.5 mM catalpol. In vivo, catalpol had less effect at 0.25 mM for ERG amplitude ratio (median [Q1, Q3] 14.75% [12.64%, 20.48%]) and RGC viability (mean ± SE 63.74 ± 5.13%), whereas (p < 0.05 and p < 0.05) at 0.5 mM ERG’s ratio (35.43% [24.35%, 43.08%]) and RGC’s density (74.34 ± 5.10%) blunted the ischemia-associated significant (p < 0.05 and p < 0.01) reduction in ERG b-wave amplitude (6.89% [4.24%, 10.40%]) and RGC cell viability (45.64 ± 3.02%). Catalpol 0.5 mM also significantly protected against retinal ischemia supported by the increased amplitude ratio of ERG a-wave and oscillatory potential, along with recovering a delayed a-/b-wave response time ratio. When contrasted with DKK1 or Lucentis, catalpol exhibited similar protective effects against retinal ischemia via significantly (p < 0.05) blunting the ischemia-induced overexpression of β-catenin, VEGF, or angiopoietin-2. Moreover, ischemia-associated significant increases in apoptotic cells in the inner retina, inflammatory biomarker MCP-1, and ischemic indicator HIF-1α were significantly nullified by catalpol. Catalpol demonstrated antiapoptotic, anti-inflammatory, anti-ischemic (in vivo retinal ischemia or in vitro OGD), and antioxidative (in vitro) properties, counteracting retinal ischemia via suppressing upstream Wnt/β-catenin and inhibiting downstream HIF-1α, VEGF, and angiopoietin-2, together with its decreasing TUNEL apoptotic cell number and inflammatory MCP-1 concentration. Full article
(This article belongs to the Section Molecular Pathology, Diagnostics, and Therapeutics)
Show Figures

Figure 1

15 pages, 6988 KB  
Article
Modulation of the S/HgCl2 Ratio for the Synthesis and Conversion of Cinnabar and Metacinnabar
by Qilong Hao, Zhehan Zhang, Wenyuan Zhang, Zongren Yu, Yanping Shi, Haixia Zhang and Bomin Su
Nanomaterials 2025, 15(3), 234; https://doi.org/10.3390/nano15030234 - 2 Feb 2025
Viewed by 2000
Abstract
Cinnabar has been used as a red pigment for centuries, but its degradation significantly impacts the aesthetic quality of historical paintings, particularly murals. Therefore, investigating the preparation method and transformation process of HgS is highly significant for mural research. In this study, we [...] Read more.
Cinnabar has been used as a red pigment for centuries, but its degradation significantly impacts the aesthetic quality of historical paintings, particularly murals. Therefore, investigating the preparation method and transformation process of HgS is highly significant for mural research. In this study, we compared different sulfur sources for HgS synthesis and precisely synthesized α-HgS and β-HgS by adjusting the S/HgCl2 ratio. SEM and XRD analyses under optimal conditions demonstrated that spherical β-HgS-1.2 exhibited significant morphological differences in comparison with α-HgS-1.0 and α-HgS-1.5. Elemental analysis of HgS was conducted using XPS and ICP-MS for qualitative and quantitative insights. Based on the potential mechanism of cinnabar discoloration, two strategies for converting black β-HgS to α-HgS were proposed and successfully implemented by adding sulfur or HgCl2. Full article
(This article belongs to the Special Issue Nanomaterials for Chemical Engineering (3rd Edition))
Show Figures

Graphical abstract

14 pages, 6818 KB  
Communication
UTRs and Ago-2/miR-335 Complex Restricts Amylin Translation in Insulinoma and Human Pancreatic β-Cells
by Zhanar Kudaibergenova, Satyabrata Pany, Elizabeth Placheril and Aleksandar M. Jeremic
Int. J. Mol. Sci. 2024, 25(17), 9614; https://doi.org/10.3390/ijms25179614 - 5 Sep 2024
Cited by 1 | Viewed by 1578
Abstract
Amylin promoter and transcriptional factors are well-established, inducible factors in the production of the main amyloidogenic pancreatic hormone, human islet amyloid peptide (hIAPP) or amylin. However, posttranscriptional mechanisms driving hIAPP expression in pancreas remain enigmatic, and hence were explored here. The translational assay [...] Read more.
Amylin promoter and transcriptional factors are well-established, inducible factors in the production of the main amyloidogenic pancreatic hormone, human islet amyloid peptide (hIAPP) or amylin. However, posttranscriptional mechanisms driving hIAPP expression in pancreas remain enigmatic, and hence were explored here. The translational assay revealed that both 5′ and 3′ untranslated regions (UTRs) of hIAPP restricted expression of the luciferase constructs only in constructs driven by the hIAPP promoter. Bioinformatics analysis revealed several putative seed sequences for a dozen micro RNAs (miRNAs) in hIAPP’s 3′ UTR. miR-182, miR-335, and miR-495 were the most downregulated miRNAs in stressed human islets exposed to endoplasmic reticulum (ER) or metabolic stressors, thapsigargin (TG) or high glucose (HG). Correspondingly, miR-335 mimics alone or in combination with miR-495 and miR-182 mimics significantly and potently (>3-fold) reduced hIAPP protein expression in HG-treated cultured human islets. siRNA-mediated silencing of Ago2 but not Ago1 significantly stimulated hIAPP expression and secretion from transfected, HG-treated human islets. Conversely, ectopic expression of Ago2 in hIAPP-expressing RIN-m5F cell line driven by CMV promoter reduced hIAPP intracellular protein levels. Collectively, the results point to a novel and synergistic role for hIAPP promoter, 5/3′ UTRs and Ago-2/miR-335 complex in post-transcriptional regulation of hIAPP gene expression in normal and metabolically active β-cells. Full article
(This article belongs to the Special Issue Molecular Research on Diabetes)
Show Figures

Figure 1

12 pages, 2758 KB  
Article
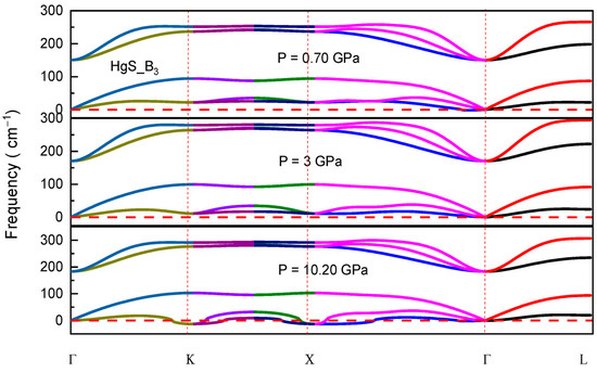
Ab Initio Study of the Crystalline Structure of HgS under Low and High Pressure
by Ahmed Amine Aidouni, Abdelkader Aissat, Mounir Ould-Mohamed, Mohamed El Amine Benamar, Samuel Dupont and Jean Pierre Vilcot
Crystals 2024, 14(9), 780; https://doi.org/10.3390/cryst14090780 - 31 Aug 2024
Viewed by 1341
Abstract
This study analyzes the lattice dynamics of HgS under various pressures using ab initio self-consistent calculations based on the plane-wave method (PW) and generalized gradient approximation (GGA). The static study, performed by enthalpy calculations, predicts that the transition from the cinnabar phase (α-HgS) [...] Read more.
This study analyzes the lattice dynamics of HgS under various pressures using ab initio self-consistent calculations based on the plane-wave method (PW) and generalized gradient approximation (GGA). The static study, performed by enthalpy calculations, predicts that the transition from the cinnabar phase (α-HgS) to the zinc-blende B3 (β-HgS) or wurtzite (2H) structures occurs at very low pressures, at 0.65 or 0.70 GPa, respectively. Furthermore, the transition from β-HgS to the rocksalt (B1) phase occurs at 7 GPa, and at high pressure, specifically at 110 GPa, HgS can adopt the CsCl (B2) phase. The mechanical study confirms the stability of the β and 2H phases at 0 GPa. Phonon calculations corroborate the results of the static and mechanical studies regarding stability (α0.7GPa2H0.9GPaβ), and the results indicate that the instabilities of the transverse acoustic (TA) modes, induced by the application of pressures of 10.5 GPa, 21 GPa, and 190 GPa, are responsible for the observed phase transitions in part of the Brillouin. Full article
(This article belongs to the Section Inorganic Crystalline Materials)
Show Figures

Figure 1

18 pages, 4292 KB  
Article
Ethyl Acetate Fractions of Salvia miltiorrhiza Bunge (Danshen) Crude Extract Modulate Fibrotic Signals to Ameliorate Diabetic Kidney Injury
by Yung-Chien Hsu, Ya-Hsueh Shih, Cheng Ho, Cheng-Chi Liu, Chia-Ching Liaw, Hui-Yi Lin and Chun-Liang Lin
Int. J. Mol. Sci. 2024, 25(16), 8986; https://doi.org/10.3390/ijms25168986 - 18 Aug 2024
Cited by 7 | Viewed by 3821
Abstract
Diabetic nephropathy, a leading cause of end-stage renal disease, accounts for significant morbidity and mortality. It is characterized by microinflammation in the glomeruli and myofibroblast activation in the tubulointerstitium. Salvia miltiorrhiza Bunge, a traditional Chinese medicine, is shown to possess anti-inflammatory and anti-fibrotic [...] Read more.
Diabetic nephropathy, a leading cause of end-stage renal disease, accounts for significant morbidity and mortality. It is characterized by microinflammation in the glomeruli and myofibroblast activation in the tubulointerstitium. Salvia miltiorrhiza Bunge, a traditional Chinese medicine, is shown to possess anti-inflammatory and anti-fibrotic properties, implying its renal-protective potential. This study investigates which type of component can reduce the damage caused by diabetic nephropathy in a single setting. The ethyl acetate (EtOAc) layer was demonstrated to provoke peroxisome proliferator-activated receptor (PPAR)-α and PPAR-γ activities in renal mesangial cells by dual luciferase reporter assay. In a high glucose (HG)-cultured mesangial cell model, the EtOAc layer substantially inhibited HG-induced elevations of interleukin-1β, transforming growth factor-β1 (TGF-β1), and fibronectin, whereas down-regulated PPAR-γ was restored. In addition, among the extracts of S. miltiorrhiza, the EtOAc layer effectively mitigated TGF-β1-stimulated myofibroblast activation. The EtOAc layer also showed a potent ability to attenuate renal hypertrophy, proteinuria, and fibrotic severity by repressing diabetes-induced proinflammatory factor, extracellular matrix accumulation, and PPAR-γ reduction in the STZ-induced diabetes mouse model. Our findings, both in vitro and in vivo, indicate the potential of the EtOAc layer from S. miltiorrhiza for future drug development targeting diabetic nephropathy. Full article
(This article belongs to the Section Molecular Plant Sciences)
Show Figures

Figure 1

Back to TopTop