Sign in to use this feature.

Years

Between: -

Subjects

remove_circle_outline
remove_circle_outline
remove_circle_outline
remove_circle_outline
remove_circle_outline
remove_circle_outline

Journals

Article Types

Countries / Regions

Search Results (76)

Search Parameters:
Keywords = µ-TAS

Order results
Result details
Results per page
Select all
Export citation of selected articles as:
22 pages, 2836 KB  
Article
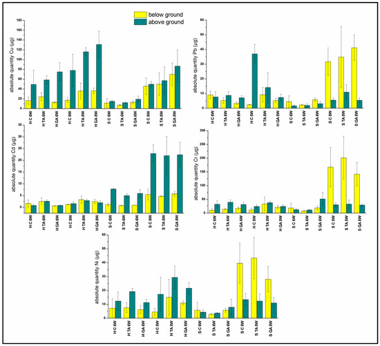
Phytoremediation Efficiency of Hemp and Sorghum Grown in Contaminated Sediment: The Role of Organic Acids
by Nina Đukanović, Jelena Beljin, Tijana Zeremski, Nadežda Stojanov, Stanko Milić, Marijana Kragulj Isakovski and Snežana Maletić
Agronomy 2025, 15(12), 2863; https://doi.org/10.3390/agronomy15122863 - 12 Dec 2025
Viewed by 196
Abstract
The sustainable management of dredged sediments contaminated with heavy metals represents a major environmental challenge. This study evaluated the phytoremediation potential of hemp (Cannabis sativa L.) and sorghum (Sorghum bicolor L.) cultivated in metal-enriched sediment from the Bega Canal (Cu = [...] Read more.
The sustainable management of dredged sediments contaminated with heavy metals represents a major environmental challenge. This study evaluated the phytoremediation potential of hemp (Cannabis sativa L.) and sorghum (Sorghum bicolor L.) cultivated in metal-enriched sediment from the Bega Canal (Cu = 204 mg kg−1, Pb = 171 mg kg−1, Cr = 281 mg kg−1, Ni = 56 mg kg−1, Cd = 6.8 mg kg−1) and examined the effects of glutamic (GA) and tartaric (TA) acids (20 mmol kg−1) on sediment properties and metal uptake. Pot experiments under natural conditions (n = 3, 6–8 weeks) showed that GA treatment resulted in cation exchange capacity (CEC) values ranging from 31.0 to 58.5 cmolc kg−1, which were lower than in the initial sediment (60.7 cmolc kg−1) but still higher than in the corresponding controls and TA treatments. GA also increased electrical conductivity from 435 to 1189 µS cm−1, which may indicate enhanced ion mobility and be consistent with redox-related processes, whereas TA maintained near-neutral pH (8.0–8.2) and caused only minor changes in CEC and EC, preserving overall structural stability. Hemp produced up to 40% more biomass than sorghum and allocated a relatively larger share of Cu, Pb and Cd to shoots, whereas sorghum retained up to 80% of total Cr and Ni in roots. Bioaccumulation factors ranged from 4.3 for Cu in hemp (GA) to 20.8 for Cu in sorghum (GA), while translocation factors remained <1.0 in both species, indicating that root-based phytostabilization was the dominant mechanism. The results demonstrate that combining low-molecular-weight organic acids with energy crops can effectively enhance metal mobility and plant uptake, offering a viable route for sediment remediation and biomass valorization within circular economy strategies. Full article
(This article belongs to the Section Agricultural Biosystem and Biological Engineering)
Show Figures

Figure 1

16 pages, 3370 KB  
Article
A New Hope for All-Diamond Electrodes? The Interdigitated Double Diamond Electrode
by Manuel Zulla, Carolin Messerschmidt, Hanadi Ghanem, Johannes Bähr, Lukas Hegemann and Stefan Rosiwal
Electrochem 2025, 6(4), 41; https://doi.org/10.3390/electrochem6040041 - 22 Nov 2025
Viewed by 470
Abstract
Nowadays, the development of efficient water treatment processes is increasingly driven by the need to provide solutions for contaminants of emerging concern. Electrochemical advanced oxidation processes (EAOPs) based on diamond electrodes can be part of innovative removal concepts. However, expensive substrates, energy-intensive chemical [...] Read more.
Nowadays, the development of efficient water treatment processes is increasingly driven by the need to provide solutions for contaminants of emerging concern. Electrochemical advanced oxidation processes (EAOPs) based on diamond electrodes can be part of innovative removal concepts. However, expensive substrates, energy-intensive chemical vapor deposition (CVD) of diamond, and market availability complicate matters for diamond electrodes to gain traction in the water treatment sector. In addition, it has to be stated that the mining and complex processing of necessary substrates like Si, Ti, Nb, or Ta need a significant amount of fresh water, which counteracts the need for more sustainability in the field of EAOPs. In this context, a ceramic-based boron-doped diamond (BDD) electrode is presented, which addresses this dilemma. The presented concept of the so-called interdigitated double diamond electrode (iDDE) consumes 14–46% less energy in batch-mode experiments to degrade an organic model molecule compared to standard BDD technology in a poorly conductive electrolyte (κ < 350 µS/cm). Laser-induced micro-structuring of the BDD layer reduces the interelectrode spacing (IES) of the iDDE to below 50 µm. The structuring approach at the micrometer scale enables the treatment of electrically low-conductivity electrolytes more energy efficiently, while reducing the need for a supporting electrolyte or a proton exchange membrane. Degradation experiments and Raman measurements reveal different properties of an iDDE compared to standard BDD technology. The iDDE concept highlights the need to understand the significance of non-uniform current density distributions on the general electrochemical activity of BDD electrodes. Full article
(This article belongs to the Special Issue Feature Papers in Electrochemistry)
Show Figures

Graphical abstract

22 pages, 629 KB  
Article
Determinants of Postharvest Quality in ‘Gala Schniga® SchniCo Red(s)’ Apples: The Role of Harvest Date, Storage Duration, and 1-MCP Application
by Maria Małachowska and Kazimierz Tomala
Agriculture 2025, 15(22), 2363; https://doi.org/10.3390/agriculture15222363 - 14 Nov 2025
Viewed by 576
Abstract
Poland, as a leading apple producer in the EU, must maintain high fruit quality during prolonged storage and distribution, which is crucial for exports to distant markets. Therefore, it is essential to clearly identify which factors most strongly affect quality and the magnitude [...] Read more.
Poland, as a leading apple producer in the EU, must maintain high fruit quality during prolonged storage and distribution, which is crucial for exports to distant markets. Therefore, it is essential to clearly identify which factors most strongly affect quality and the magnitude of their effects in order to make informed choices about pre- and postharvest practices, storage technology, and logistics. The objective of this study was to assess the effect of selected factors on the quality of apples of the ‘Gala Schniga® SchniCo Red(s)’ cultivar after long-term storage. The study analyzed the effects of harvest date (optimal and delayed), three variants of 1-methylcyclopropene application (control-0 µL·L−1 1-MCP, Harvista™, SmartFresh™, and Harvista™ + SmartFresh™), storage period (5, 7, and 9 months), simulated trading period (0 or 7 days at 20 °C) and storage technology (ULO: 1.2% CO2: 1.2% O2; DCA: 0.6% CO2: 0.6% O2) in two consecutive seasons (2022/2023 and 2023/2024). Five quality parameters were evaluated: flesh firmness (F), soluble solid content (SSC), titratable acidity (TA), SSC/TA ratio, and the concentration of 1-aminocyclopropane-1-carboxylic acid (ACC). Backward-elimination stepwise regression and partial eta squared (η2) calculations were used to analyze the data to determine the factors with the greatest impact. The post-harvest application of 1-MCP had the strongest effect in terms of maintaining firmness (η2 = 70.4%) and acidity (η2 = 38.0%) and reducing ACC content (η2 = 21.3%). Harvista™ preparation had a weaker or negligible effect on ACC content, but reduced SSC (η2 = 22.7%). Harvest date, storage duration, and shelf life significantly influenced all traits, with controlled-atmosphere regime further modulating outcomes. By integrating preharvest maturity with treatment timing and CA storage, we disentangled the relative contributions of harvest timing, treatment, and storage. The results provide actionable inputs for a decision-support tool to help producers maintain target quality—firmness, SSC, TA, SSC/TA, and ACC—through optimized practice, storage technology choice, and logistics. Full article
Show Figures

Figure 1

12 pages, 776 KB  
Article
Effects of Thymoquinone on Cell Proliferation, Oxidative Damage, and Toll-like Signaling Pathway Genes in H1650 Lung Adenocarcinoma Cell Line
by Selen Karaoğlanoğlu and Gonca Gülbay
Medicina 2025, 61(10), 1835; https://doi.org/10.3390/medicina61101835 - 14 Oct 2025
Viewed by 780
Abstract
Background and Objectives: Lung cancer is the leading cause of cancer-related mortality worldwide. In most cases, lung cancer is diagnosed at an advanced stage. For advanced-stage disease, treatment options are generally systemic and while novel treatment approaches offer hope, they may also [...] Read more.
Background and Objectives: Lung cancer is the leading cause of cancer-related mortality worldwide. In most cases, lung cancer is diagnosed at an advanced stage. For advanced-stage disease, treatment options are generally systemic and while novel treatment approaches offer hope, they may also lead to significant adverse effects. Therefore, alternative therapeutic strategies have been investigated for many years. Thymoquinone (TQ) is one such candidate. Previous studies have demonstrated its antioxidant, anti-inflammatory, antibacterial, and immunomodulatory properties. In our study, we aimed to evaluate the roles of TQ in the progression of H1650 lung adenocarcinoma cells. Materials and Methods: In this study, the antiproliferative effect of TQ on H1650 lung cancer cells was evaluated using MTT assay, its effect on oxidative damage was determined using 8-OHdG, and total antioxidant status (TAS), total oxidant status (TOS), and its effect on apoptosis were demonstrated using caspase-3 ELISA method. In addition, total RNA was extracted from both control and treatment groups, cDNA was synthesized, and mRNA expression changes of Toll-like receptor related genes (TLR) were analyzed using RT-PCR. Results: The decrease in the viability of H1650 lung cancer cells was observed in a time- and dose-dependent manner. The IC50 dose of TQ in the H1650 lung cancer cell line at 48 h was 26.59 µM. TQ treatment decreased the level of TOS and increased the level of TAS in H1650 lung cancer cells. Oxidative stress index decreased in the TQ-treated dose group in H1650 lung cancer cells. Elisa 8-OHdG and caspase-3 levels were not statistically significant. Compared to the control group, no statistically significant changes were observed in TLR1, TLR2, TLR3, TLR4, TLR6, TLR7, TLR8, and TLR9 gene expressions in the treatment group treated with 26.59 µM TQ for 48 h. Conclusions: TQ shows potential as an anticancer agent and may contribute to the development of therapeutic approaches for lung cancers. Full article
(This article belongs to the Section Pulmonology)
Show Figures

Figure 1

19 pages, 1906 KB  
Article
Bitter Taste Receptors TAS2R8 and TAS2R10 Reduce Proton Secretion and Differentially Modulate Cadmium Uptake in Immortalized Human Gastric Cells
by H. Noreen Orth, Philip Pirkwieser, Maya Giridhar, Valerie Boger, Mark M. Somoza, Andreas Dunkel and Veronika Somoza
Int. J. Mol. Sci. 2025, 26(18), 9166; https://doi.org/10.3390/ijms26189166 - 19 Sep 2025
Viewed by 753
Abstract
Beyond sensing bitter-tasting compounds, bitter taste receptors (TAS2Rs) have been demonstrated to play a functional role in proton secretion as a key mechanism of gastric acid secretion (GAS) and the cellular uptake of the zinc metal ion. Given its chemical similarity and comparable [...] Read more.
Beyond sensing bitter-tasting compounds, bitter taste receptors (TAS2Rs) have been demonstrated to play a functional role in proton secretion as a key mechanism of gastric acid secretion (GAS) and the cellular uptake of the zinc metal ion. Given its chemical similarity and comparable effects in GAS, we focused this work on cadmium and hypothesized that gastric TAS2Rs are involved in (i) cadmium-induced inhibition of proton secretion and (ii) in its cellular uptake. To test this hypothesis, immortalized human parietal HGT-1 cells were exposed to 62.5–1000 µM CdCl2 for 30 min to elucidate TAS2R-mediated proton secretory activity (PSA) using a fluorescence-based pH cell assay and to quantitate cellular cadmium uptake by ICP-MS. HGT-1 cells exposed to CdCl2 exhibited a dose-dependent decrease in PSA, accompanied by a corresponding increase in intracellular cadmium concentrations. Following a TAS2R RT-qPCR screening, the functional roles of TAS2R8 and TAS2R10 were clarified using a siRNA knockdown approach, demonstrating that TAS2R8 promotes and TAS2R10 mediates protection against excessive cellular cadmium accumulation. An additional cDNA microarray screening revealed, via gene ontology analysis, a distinct gene association of TAS2R8 and TAS2R10 with several metal ion transporters. These results provide the first evidence for a specific role of individual TAS2Rs beyond taste perception, particularly in metal ion homeostasis and gastric physiology. Full article
(This article belongs to the Special Issue Trace Elements, Metal Ions, Channels and Transporters in Metabolism)
Show Figures

Figure 1

26 pages, 3958 KB  
Article
Nebulized Bacterioruberin/Astaxanthin-Loaded Nanovesicles: Antitumoral Activity and Beyond
by Victoria Rebeca Dana González Epelboim, Diego G. Lamas, Cristián Huck-Iriart, Ezequiel Nicolas Caputo, Maria Julia Altube, Horacio Emanuel Jerez, Yamila Roxana Simioni, Kajal Ghosal, Maria Jose Morilla, Leticia Herminia Higa and Eder Lilia Romero
Int. J. Mol. Sci. 2025, 26(17), 8607; https://doi.org/10.3390/ijms26178607 - 4 Sep 2025
Cited by 1 | Viewed by 1027
Abstract
The membranes of halophilic archaea are a source of novel biomaterials, mainly of isoprenoid nature, with therapeutic properties practically unraveled. Here, we explored the antitumoral activity of neutral archaeolipids (NAs, such as bacterioruberin, astaxanthin, and dihydrosqualene) present in the total archaeolipids (TAs) (a [...] Read more.
The membranes of halophilic archaea are a source of novel biomaterials, mainly of isoprenoid nature, with therapeutic properties practically unraveled. Here, we explored the antitumoral activity of neutral archaeolipids (NAs, such as bacterioruberin, astaxanthin, and dihydrosqualene) present in the total archaeolipids (TAs) (a fraction from the first step of lipid extraction by the modified Blight and Dyer technique) extracted from halophilic archaea Halorubrum tebenquichense, and formulated as TA-nanoarchaeosomes (TA: polar archaeolipids (PAs): Tween 80, 5:5:4 w:w:w, TA-nanoARC). The structure of 300.3 ± 84.2 nm TA-nanoARC of 0.59 ± 0.12 polydispersity index and −20 ± 3.7 mV ζ potential as determined by SAXS modelling, revealed that NA reduced the hydrophobic core and enlarged its hydrophilic section in comparison to TA-lacking bilayers (nanoARC), while preserving the width (~50 Å) and unilamellarity. Stable to storage and nebulization, TA-nanoARC was cytotoxic on A549 cells after 48 h, with an IC50 expressed as [bacterioruberin] of 0.15 μg/mL (~0.20 µM), comparable to or lower than the IC50 of docetaxel or cisplatin. Such cytotoxicity was exerted at a concentration harmless to macrophages (mTHP-1 cells). Besides, the conditioned medium from TA-nanoARC nebulized on A549 cells reduced the expression of the CD204/SRA-1, an M2 phenotype marker, and induced pro-inflammatory activity, comparable to or to a greater extent than that induced by lipopolysaccharide, including IL-6 and TNF-α, in mTHP-1 as a model of tumor-associated macrophages. The endocytosis of TA-nanoARC by A549 cells induced Lysotracker red fluorescence to fade and blur. This suggested the internalization of the highly viscous and ordered TA-nanoARC rich in NAs and subsequent lysosomal dysfunction (and not its antioxidant activity), as responsible for the selective damage on A549 cells. These are the first results showing that nebulized TA-nanoARC, lethal to A549 cells and modulating mTHP-1 cell phenotype, may act as antitumorals in the absence of cytotoxic drugs. Full article
Show Figures

Graphical abstract

22 pages, 6995 KB  
Article
NADES-Mediated Deposition of Potential Biomimetic Drug-Loaded Polypyrrole on Biomedical Ti20Zr5Ta2Ag
by Radu Nartita, Florentina Golgovici and Ioana Demetrescu
Biomimetics 2025, 10(9), 568; https://doi.org/10.3390/biomimetics10090568 - 25 Aug 2025
Viewed by 1017
Abstract
A natural deep eutectic solvent (NADES)-based electropolymerization strategy was developed to deposit polypyrrole (PPy) and Naproxen-doped PPy films onto a biomedical Ti–20Zr–5Ta–2Ag high-entropy alloy. Using cyclic voltammetry, chronoamperometry, and chronopotentiometry, coatings were grown potentiostatically (1.2–1.6 V) or galvanostatically (0.5–1 mA) to fixed charge [...] Read more.
A natural deep eutectic solvent (NADES)-based electropolymerization strategy was developed to deposit polypyrrole (PPy) and Naproxen-doped PPy films onto a biomedical Ti–20Zr–5Ta–2Ag high-entropy alloy. Using cyclic voltammetry, chronoamperometry, and chronopotentiometry, coatings were grown potentiostatically (1.2–1.6 V) or galvanostatically (0.5–1 mA) to fixed charge values (1.6–2.2 C). Surface morphology and composition were assessed by optical microscopy, SEM and FTIR, while wettability was quantified via static contact-angle measurements in simulated body fluid (SBF). Electrochemical performance in SBF was evaluated through open-circuit potential monitoring, potentiodynamic polarization, and electrochemical impedance spectroscopy. Drug-release kinetics were determined by UV–Vis spectrophotometry and analyzed using mathematical modelling. Compared to uncoated alloy, PPy and PPy–Naproxen coatings increased hydrophilicity (contact angles reduced from ~31° to <10°), and reduced corrosion current densities from 754 µA/cm2 to below 5.5 µA/cm2, with polarization resistances rising from 0.06 to up to 37.8 kΩ·cm2. Naproxen incorporation further enhanced barrier integrity (Rcoat up to 1.4 × 1011 Ω·cm2) and enabled sustained drug release (>90% over 8 days), with diffusion exponents indicating Fickian (n ≈ 0.51) and anomalous (n ≈ 0.67) transport for potentiostatic and galvanostatic coatings, respectively. These multifunctional PPy–Naproxen films combine robust corrosion protection with controlled therapeutic delivery, supporting their potential biomimetic role as smart coatings for next-generation implantable devices. Full article
Show Figures

Figure 1

21 pages, 1921 KB  
Article
Liposomal Formulations for Efficient Delivery of a Novel, Highly Potent Pyrimidine-Based Anticancer Drug
by Sofia Teixeira, Débora Ferreira, Ana Rita O. Rodrigues, Ligia R. Rodrigues, Elisabete M. S. Castanheira and Maria Alice Carvalho
Pharmaceuticals 2025, 18(8), 1210; https://doi.org/10.3390/ph18081210 - 15 Aug 2025
Cited by 1 | Viewed by 1395
Abstract
Background/Objectives: Cancer is one of the deadliest diseases worldwide. Despite the existing treatments, the adverse side effects and the increasing drug resistance to the current therapies lead to a reduced quality of life for patients and poor prognosis. The pyrimido[5,4-d]pyrimidine compound [...] Read more.
Background/Objectives: Cancer is one of the deadliest diseases worldwide. Despite the existing treatments, the adverse side effects and the increasing drug resistance to the current therapies lead to a reduced quality of life for patients and poor prognosis. The pyrimido[5,4-d]pyrimidine compound (PP) was identified as a promising new anticancer drug due to its potent activity against colorectal and triple-negative breast cancers; however it showed poor aqueous solubility and safety profile. This study aimed the synthesis of compound PP, its encapsulation in liposomal formulations based on phosphatidylcholines (PC), the characterization of liposomal formulations and its biological evaluation. Methods: A new synthesis method for PP was developed. The compound was incorporated into different liposomal formulations. The hydrodynamic size, polydispersity, and zeta potential of loaded and non-loaded formulations were measured by DLS. The cytotoxic effects of compound PP, placebo nanoformulations, and PP-loaded nanoformulations were assessed in colorectal (HCT 116) and triple-negative breast cancer (MDA-MB-231) cell lines, as well as in non-tumor BJ-5ta cells. Results: The PP compound was efficiently synthesized. The PP-loaded liposomal formulations exhibit sizes below 150 nm, low polydispersity, and long-time stability upon storage at 4 °C. The antitumor compound was encapsulated with excellent efficiency, and sustained release profiles were obtained. The PP compound showed high activity against HCT 116 (IC50 = 2.04 ± 0.45 µM) and MDA-MB-231 (IC50 = 5.24 ± 0.24 µM) cell lines. DPPC-containing formulations were effective against cancer cells, but showed toxicity comparable to free PP in BJ-5ta normal cells. Conversely, PP-EggPC-Chol-L formulation displayed strong anticancer activity with residual toxicity to normal cells. Conclusions: The PP-loaded liposomal formulation, composed of 70% PC from egg yolk (EggPC) and 30% cholesterol (Chol), designated as PP-EggPC-Chol-L, was the most promising formulation, showing effective anticancer activity in both cancer cell lines and a significant improvement in the safety profile which is of utmost importance to progress to the next phase of drug development. Full article
(This article belongs to the Special Issue Drug Formulation: Solubilization and Controlled-Release Strategies)
Show Figures

Graphical abstract

21 pages, 3858 KB  
Article
Bitter Taste Receptor TAS2R43 Co-Regulates Mechanisms of Gastric Acid Secretion and Zinc Homeostasis
by H. Noreen Orth, Philip Pirkwieser, Julia Benthin, Melanie Koehler, Sonja Sterneder, Etkin Parlar, Erika Schaudy, Jory Lietard, Timm Michel, Valerie Boger, Andreas Dunkel, Mark M. Somoza and Veronika Somoza
Int. J. Mol. Sci. 2025, 26(13), 6017; https://doi.org/10.3390/ijms26136017 - 23 Jun 2025
Cited by 1 | Viewed by 2217
Abstract
The essential micronutrient zinc is known to inhibit gastric acid secretion (GAS), where its homeostasis is strictly regulated. We hypothesized that the gastric bitter taste receptors, TAS2Rs, regulate the following: (i) zinc-modulated proton secretory activity (PSA) as a key mechanism of GAS and [...] Read more.
The essential micronutrient zinc is known to inhibit gastric acid secretion (GAS), where its homeostasis is strictly regulated. We hypothesized that the gastric bitter taste receptors, TAS2Rs, regulate the following: (i) zinc-modulated proton secretory activity (PSA) as a key mechanism of GAS and (ii) zinc homeostasis in immortalized parietal cells. To confirm this hypothesis, human gastric tumor cells (HGT-1) were exposed to 100–1000 µM of zinc salts for 30 min in order to quantitate their TAS2R-dependent PSA and intracellular zinc concentration using a fluorescence-based pH sensor and ICP-MS, respectively. Thereby, we identified TAS2R43 as a key player in parietal cell PSA and zinc homeostasis, with both conclusions being verified by a CRISPR-Cas9 knockout approach. Moreover, by regulating the zinc importer protein ZIP14, TAS2R43 proved to perform a protective role against excessive zinc accumulation in immortalized parietal cells. Full article
(This article belongs to the Special Issue Transport of Nutrients and Ions Relevant to Human Pathophysiology)
Show Figures

Figure 1

20 pages, 2897 KB  
Article
Behavioral and Biochemical Insights into the Therapeutic Potential of Mitocurcumin in a Zebrafish–Pentylenetetrazole (PTZ) Epilepsy Model
by Alin Dumitru Ciubotaru, Carmen-Ecaterina Leferman, Bogdan-Emilian Ignat, Anton Knieling, Irina Mihaela Esanu, Delia Lidia Salaru, Liliana Georgeta Foia, Bogdan Minea, Luminita Diana Hritcu, Cristina Daniela Dimitriu, Laura Stoica, Ioan-Adrian Ciureanu, Alin Stelian Ciobica, Andrei Neamtu, Bogdan Alexandru Stoica and Cristina Mihaela Ghiciuc
Pharmaceuticals 2025, 18(3), 382; https://doi.org/10.3390/ph18030382 - 7 Mar 2025
Cited by 3 | Viewed by 1975
Abstract
Background/Objectives: Epilepsy is a complex neurological disorder with a strong link to oxidative stress, which contributes to seizure susceptibility and neuronal damage. This study aims to investigate the effects of curcumin (Cur), sodium valproate (VPA), and mitocurcumin (MitoCur), a mitochondria-targeted curcumin, on [...] Read more.
Background/Objectives: Epilepsy is a complex neurological disorder with a strong link to oxidative stress, which contributes to seizure susceptibility and neuronal damage. This study aims to investigate the effects of curcumin (Cur), sodium valproate (VPA), and mitocurcumin (MitoCur), a mitochondria-targeted curcumin, on behavioral and oxidative stress parameters in a zebrafish model of pentylenetetrazole (PTZ)-induced seizures. Methods: Adult zebrafish were exposed to two concentrations (0.25 and 0.5 µM for Cur and MitoCur; 0.25 and 0.5 mM for VPA). Behavioral assessments, including locomotion, spatial exploration, and directional movement, were conducted using EthoVision XT tracking software. Oxidative stress markers, including superoxide dismutase (SOD), malondialdehyde (MDA), glutathione peroxidase (GPx), and total antioxidant status (TAS), were analyzed in brain homogenates. Results: Behavioral analyses indicated dose-dependent effects, with higher doses generally reducing activity. MitoCur at 0.25 µM enhanced antioxidant defenses and reduced oxidative damage, while higher doses exhibited a pro-oxidant shift. VPA at 0.25 mM improved TAS without significantly altering MDA levels. Conclusions: These findings emphasize the importance of dose optimization in antioxidant-based epilepsy treatments and highlight the potential of MitoCur as a targeted therapeutic option. Full article
Show Figures

Figure 1

14 pages, 3551 KB  
Article
Deciphering the Effect of Postharvest 1-MCP Treatment Coupled with Low-Temperature Storage on the Physiological Activities and Edible Quality of Melon
by Haofei Wang, Zhiyi Yang, Sikandar Amanullah, Huilin Wang, Bin Liu, Shi Liu, Tiantian Yang and Chaonan Wang
Plants 2025, 14(4), 586; https://doi.org/10.3390/plants14040586 - 14 Feb 2025
Cited by 1 | Viewed by 2820
Abstract
Fruits are an important source of a healthy diet due to their essential nutrients for daily intake. Melon is known as a significant fruit crop of the Cucurbitaceae family based on its various dietary benefits, but its shelf life needs to be maintained [...] Read more.
Fruits are an important source of a healthy diet due to their essential nutrients for daily intake. Melon is known as a significant fruit crop of the Cucurbitaceae family based on its various dietary benefits, but its shelf life needs to be maintained for long-term usage. 1-Methylcyclopropene (1-MCP) is a cyclopropene-derived synthetic plant growth regulator (PGR) that is used for significantly delaying the ripening process and maintaining the shelf life of climacteric fruits during storage. In this study, freshly harvested melon fruits were fumigated with various concentrations (1.0 µL·L−1, 2.0 µL·L−1, and 3.0 µL·L−1) of 1-MCP treatment for 12 h (h) and stored at low temperature (8 ± 1 °C) for 30 days (d). The obtained results showed that 1-MCP fumigation coupled with low-temperature treatment maintains the postharvest shelf life of melon fruit. It was noticed that the increase in color hue (a* (red/green), b* (blue/yellow), L* (lightness)) was slowed down and the external fresh color was effectively maintained. At the same time, the firmness, soluble solids, titratable acids (TAs), and vitamin C (VC) content seemed to be maintained at a high level; weight loss and cell permeability were reduced; respiratory intensity and ethylene emission were inhibited; and the accumulation of superoxide anions and malondialdehyde (MDA) was also reduced. In addition, an upsurge in the activities of superoxide dismutase (SOD), catalase (CAT), peroxidase (POD), and ascorbate peroxidase (APX) was noticed in melon fruits under the combined treatment of 1-MCP and low-temperature storage as compared with the control group (CK, without treatment), indicating that 1-MCP treatment can effectively enhance the antioxidant metabolism of melon fruits during storage. Overall, we can recommend that the 3.0 µL·L−1 concentration of 1-MCP had the best effect on maintaining the internal and external quality of sweet melon fruit during storage. Full article
Show Figures

Figure 1

18 pages, 2360 KB  
Article
Effects of Melatonin Pre- and Post-Drought Treatment on Oxidative Stress Markers and Expression of Proline-Related Transcripts in Young Wheat Plants
by Zornitsa Katerova, Dessislava Todorova, Irina I. Vaseva, Elena Shopova, Margarita Petrakova, Martin Iliev and Iskren Sergiev
Int. J. Mol. Sci. 2024, 25(22), 12127; https://doi.org/10.3390/ijms252212127 - 12 Nov 2024
Cited by 5 | Viewed by 1676
Abstract
Wheat can tolerate a mild water deficit, but prolonged drought causes a number of detrimental physiological changes resulting in a substantial decrease in productivity. The present study evaluates the potential of the natural plant growth regulator melatonin to alleviate the negative effects of [...] Read more.
Wheat can tolerate a mild water deficit, but prolonged drought causes a number of detrimental physiological changes resulting in a substantial decrease in productivity. The present study evaluates the potential of the natural plant growth regulator melatonin to alleviate the negative effects of moderate drought in two Bulgarian winter wheat cultivars at the early vegetative stage. Melatonin doses of 75 µM were root-supplemented 24 h before or after the stress period. The levels of several biometric parameters, osmolyte content and stress indicators as well as the expression of genes coding for key enzymes of the proline biosynthesis pathway were analyzed in leaves at the end of the drought stress and after two and four days of recovery. Applied alone, melatonin did not exert significant effects on most of the monitored parameters. Water deprivation negatively affected seedlings’ fresh weight and water content and increased the stress markers and osmolyte levels. These were accompanied by a high accumulation of TaP5CS and TaP5CR transcripts coding for the enzymes Δ-pyrroline-5-carboxylate synthase and Δ-pyrroline-5-carboxylate reductase, respectively. The effect of melatonin in reducing drought stress was similar whether applied before or after exposure, though slightly more effective when used as a pre-treatment. Full article
(This article belongs to the Special Issue Recent Research in Plant Abiotic Stress)
Show Figures

Figure 1

21 pages, 5897 KB  
Article
High-Throughput Sequencing Methods for the Detection of Two Strawberry Viruses in Post-Entry Quarantine
by Luciano Nunes-Leite, Lia W. Liefting, David W. Waite, Subuhi Khan and Jeremy R. Thompson
Viruses 2024, 16(10), 1550; https://doi.org/10.3390/v16101550 - 30 Sep 2024
Cited by 3 | Viewed by 2695
Abstract
High-throughput sequencing (HTS) technologies may be a useful tool for testing imported plant germplasm for multiple pathogens present in a sample, offering strain-generic detection not offered by most PCR-based assays. Metatranscriptomics (RNAseq) and tiled amplicon PCR (TA-PCR) were tested as HTS-based techniques to [...] Read more.
High-throughput sequencing (HTS) technologies may be a useful tool for testing imported plant germplasm for multiple pathogens present in a sample, offering strain-generic detection not offered by most PCR-based assays. Metatranscriptomics (RNAseq) and tiled amplicon PCR (TA-PCR) were tested as HTS-based techniques to detect viruses present in low titres. Strawberry mottle virus (SMoV), an RNA virus, and strawberry vein banding virus (SVBV), a DNA virus, were selected for comparison of RNAseq and TA-PCR with quantitative PCR assays. RNAseq of plant ribosomal RNA-depleted samples of low viral titre was used to obtain datasets from 3 M to 120 M paired-end (PE) reads. RNAseq demonstrated PCR-like sensitivity, able to detect as few as 10 viral copies/µL when 60 million (M) PE reads were generated. The custom TA-PCR primer panels designed for each virus were successfully used to recover most of the reference genomes for each virus. Single- and multiple-target TA-PCR allowed the detection of viruses in samples with around 10 viral copies/µL with a minimum continuous sequence length recovery of 500 bp. The limit of detection of the HTS-based protocols described here is comparable to that of quantitative PCR assays. This work lays the groundwork for an increased flexibility in HTS detection of plant viruses. Full article
(This article belongs to the Special Issue Advances in Plant Virus/Viroid Detection and Identification Methods)
Show Figures

Figure 1

14 pages, 2443 KB  
Article
New Findings Regarding the Effects of Selected Blue Food Colorants (Genipin, Patent Blue V, and Brilliant Blue FCF) on the Hemostatic Properties of Blood Components In Vitro
by Beata Olas, Bogdan Kontek, Natalia Sławińska and Jacek Białecki
Nutrients 2024, 16(13), 1985; https://doi.org/10.3390/nu16131985 - 21 Jun 2024
Cited by 3 | Viewed by 2624
Abstract
Natural and synthetic colorants present in food can modulate hemostasis, which includes the coagulation process and blood platelet activation. Some colorants have cardioprotective activity as well. However, the effect of genipin (a natural blue colorant) and synthetic blue colorants (including patent blue V [...] Read more.
Natural and synthetic colorants present in food can modulate hemostasis, which includes the coagulation process and blood platelet activation. Some colorants have cardioprotective activity as well. However, the effect of genipin (a natural blue colorant) and synthetic blue colorants (including patent blue V and brilliant blue FCF) on hemostasis is not clear. In this study, we aimed to investigate the effects of three blue colorants—genipin, patent blue V, and brilliant blue FCF—on selected parameters of hemostasis in vitro. The anti- or pro-coagulant potential was assessed in human plasma by measuring the following coagulation times: thrombin time (TT), prothrombin time (PT), and activated partial thromboplastin time (APTT). Moreover, we used the Total Thrombus formation Analysis System (T-TAS, PL-chip) to evaluate the anti-platelet potential of the colorants in whole blood. We also measured their effect on the adhesion of washed blood platelets to fibrinogen and collagen. Lastly, the cytotoxicity of the colorants against blood platelets was assessed based on the activity of extracellular lactate dehydrogenase (LDH). We observed that genipin (at all concentrations (1–200 µM)) did not have a significant effect on the coagulation times (PT, APTT, and TT). However, genipin at the highest concentration (200 µM) and patent blue V at the concentrations of 1 and 10 µM significantly prolonged the time of occlusion measured using the T-TAS, which demonstrated their anti-platelet activity. We also observed that genipin decreased the adhesion of platelets to fibrinogen and collagen. Only patent blue V and brilliant blue FCF significantly shortened the APTT (at the concentration of 10 µM) and TT (at concentrations of 1 and 10 µM), demonstrating pro-coagulant activity. These synthetic blue colorants also modulated the process of human blood platelet adhesion, stimulating the adhesion to fibrinogen and inhibiting the adhesion to collagen. The results demonstrate that genipin is not toxic. In addition, because of its ability to reduce blood platelet activation, genipin holds promise as a novel and valuable agent that improves the health of the cardiovascular system and reduces the risk of cardiovascular diseases. However, the mechanism of its anti-platelet activity remains unclear and requires further studies. Its in vivo activity and interaction with various anti-coagulant and anti-thrombotic drugs, including aspirin and its derivatives, should be examined as well. Full article
(This article belongs to the Section Phytochemicals and Human Health)
Show Figures

Figure 1

17 pages, 4169 KB  
Article
Simultaneous Determination of 23 Pyrrolizidine and Tropane Alkaloids in Infusions from Dry Edible Flowers Using Optimized μSPEed® Microextraction Prior to Their Analysis by UHPLC-IT-MS/MS
by Begoña Fernández-Pintor, Sonia Morante-Zarcero and Isabel Sierra
Foods 2024, 13(11), 1740; https://doi.org/10.3390/foods13111740 - 1 Jun 2024
Cited by 3 | Viewed by 2328
Abstract
A miniaturized solid-phase extraction of two tropane alkaloids (TAs) and twenty-one pyrrolizidine alkaloids (PAs) from infusions of dry edible flowers using optimized µSPEed® technique was developed. The optimization of the µSPEed® methodology involved testing different cartridges and comparing various volumes and [...] Read more.
A miniaturized solid-phase extraction of two tropane alkaloids (TAs) and twenty-one pyrrolizidine alkaloids (PAs) from infusions of dry edible flowers using optimized µSPEed® technique was developed. The optimization of the µSPEed® methodology involved testing different cartridges and comparing various volumes and numbers of loading cycles. The final conditions allowed for a rapid extraction, taking only 3.5 min. This was achieved using a C18-ODS cartridge, conditioning with 100 µL of methanol (two cycles), loading 100 µL of the infusion sample (seven cycles), and eluting the analytes with 100 µL of methanol (two cycles). Prior to their analysis by UHPLC-IT-MS/MS, the extracts were evaporated and reconstituted in 100 µL of water (0.2% formic acid)/methanol (0.2% ammonia) 95:5 (v/v), allowing for a preconcentration factor of seven times. The methodology was successfully validated obtaining recoveries ranging between 87 and 97%, RSD of less than 12%, and MQL between 0.09 and 0.2 µg/L. The validated methodology was applied to twenty samples of edible flower infusions to evaluate the safety of these products. Two infusion samples obtained from Acmella oleracea and Viola tricolor were contaminated with 0.16 and 0.2 µg/L of scopolamine (TA), respectively, while the infusion of Citrus aurantium was contaminated with intermedine and lycopsamine (PAs) below the MQL. Full article
Show Figures

Figure 1

Back to TopTop