Sign in to use this feature.

Years

Between: -

Subjects

remove_circle_outline

Journals

Article Types

Countries / Regions

Search Results (6)

Search Parameters:
Authors = Binge Cui

Order results
Result details
Results per page
Select all
Export citation of selected articles as:
14 pages, 4604 KB  
Technical Note
Anisotropic Green Tide Patch Information Extraction Based on Deformable Convolution
by Binge Cui, Mengting Liu, Ruipeng Chen, Haoqing Zhang and Xiaojun Zhang
Remote Sens. 2024, 16(7), 1162; https://doi.org/10.3390/rs16071162 - 27 Mar 2024
Cited by 5 | Viewed by 2063
Abstract
Green tides are marine disasters caused by the explosive proliferation or high concentration of certain large algae in seawater, which causes discoloration of the water body. Accurate monitoring of its distribution area is highly important for early warning and the protection of marine [...] Read more.
Green tides are marine disasters caused by the explosive proliferation or high concentration of certain large algae in seawater, which causes discoloration of the water body. Accurate monitoring of its distribution area is highly important for early warning and the protection of marine ecology. However, existing deep learning methods have difficulty in effectively identifying green tides with anisotropic characteristics due to the complex and variable shapes of the patches and the wide range of scales. To address this issue, this paper presents an anisotropic green tide patch extraction network (AGE-Net) based on deformable convolution. The main structure of AGE-Net consists of stacked anisotropic feature extraction (AFEB) modules. Each AFEB module contains two branches for extracting green tide patches. The first branch consists of multiple connected dense blocks. The second branch introduces a deformable convolution module and a depth residual module based on a multiresolution feature extraction network for extracting anisotropic features of green tide patches. Finally, an irregular green tide patch feature enhancement module is used to fuse the high-level semantic features extracted from the two branches. To verify the effectiveness of the AGE-Net model, experiments were conducted on the MODIS Green Tide dataset. The results show that AGE-Net has better recognition performance, with F1-scores and IoUs reaching 0.8317 and 71.19% on multi-view test images, outperforming other comparison methods. Full article
(This article belongs to the Special Issue Artificial Intelligence and Big Data for Oceanography)
Show Figures

Graphical abstract

17 pages, 9054 KB  
Technical Note
MADANet: A Lightweight Hyperspectral Image Classification Network with Multiscale Feature Aggregation and a Dual Attention Mechanism
by Binge Cui, Jiaxiang Wen, Xiukai Song and Jianlong He
Remote Sens. 2023, 15(21), 5222; https://doi.org/10.3390/rs15215222 - 3 Nov 2023
Cited by 12 | Viewed by 3436
Abstract
Hyperspectral remote sensing images, with their continuous, narrow, and rich spectra, hold distinct significance in the precise classification of land cover. Deep convolutional neural networks (CNNs) and their variants are increasingly utilized for hyperspectral classification, but solving the conflict between the number of [...] Read more.
Hyperspectral remote sensing images, with their continuous, narrow, and rich spectra, hold distinct significance in the precise classification of land cover. Deep convolutional neural networks (CNNs) and their variants are increasingly utilized for hyperspectral classification, but solving the conflict between the number of model parameters, performance, and accuracy has become a pressing challenge. To alleviate this problem, we propose MADANet, a lightweight hyperspectral image classification network that combines multiscale feature aggregation and a dual attention mechanism. By employing depthwise separable convolution, multiscale features can be extracted and aggregated to capture local contextual information effectively. Simultaneously, the dual attention mechanism harnesses both channel and spatial dimensions to acquire comprehensive global semantic information. Ultimately, techniques such as global average pooling (GAP) and full connection (FC) are employed to integrate local contextual information with global semantic knowledge, thereby enabling the accurate classification of hyperspectral pixels. The results from the experiments conducted on representative hyperspectral images demonstrate that MADANet not only attains the highest classification accuracy but also maintains significantly fewer parameters compared to the other methods. Experimental results show that our proposed framework significantly reduces the number of model parameters while still achieving the highest classification accuracy. As an example, the model has only 0.16 M model parameters in the Indian Pines (IP) dataset, but the overall accuracy is as high as 98.34%. Similarly, the framework achieves an overall accuracy of 99.13%, 99.17%, and 99.08% on the University of Pavia (PU), Salinas (SA), and WHU Hi LongKou (LongKou) datasets, respectively. This result exceeds the classification accuracy of existing state-of-the-art frameworks under the same conditions. Full article
(This article belongs to the Special Issue Recent Advances in the Processing of Hyperspectral Images)
Show Figures

Graphical abstract

16 pages, 4745 KB  
Article
SRSe-Net: Super-Resolution-Based Semantic Segmentation Network for Green Tide Extraction
by Binge Cui, Haoqing Zhang, Wei Jing, Huifang Liu and Jianming Cui
Remote Sens. 2022, 14(3), 710; https://doi.org/10.3390/rs14030710 - 2 Feb 2022
Cited by 41 | Viewed by 4995
Abstract
Due to the phenomenon of mixed pixels in low-resolution remote sensing images, the green tide spectral features with low Enteromorpha coverage are not obvious. Super-resolution technology based on deep learning can supplement more detailed information for subsequent semantic segmentation tasks. In this paper, [...] Read more.
Due to the phenomenon of mixed pixels in low-resolution remote sensing images, the green tide spectral features with low Enteromorpha coverage are not obvious. Super-resolution technology based on deep learning can supplement more detailed information for subsequent semantic segmentation tasks. In this paper, a novel green tide extraction method for MODIS images based on super-resolution and a deep semantic segmentation network was proposed. Inspired by the idea of transfer learning, a super-resolution model (i.e., WDSR) is first pre-trained with high spatial resolution GF1-WFV images, and then the representations learned in the GF1-WFV image domain are transferred to the MODIS image domain. The improvement of remote sensing image resolution enables us to better distinguish the green tide patches from the surrounding seawater. As a result, a deep semantic segmentation network (SRSe-Net) suitable for large-scale green tide information extraction is proposed. The SRSe-Net introduced the dense connection mechanism on the basis of U-Net and replaces the convolution operations with dense blocks, which effectively obtained the detailed green tide boundary information by strengthening the propagation and reusing features. In addition, the SRSe-Net reducs the pooling layer and adds a bridge module in the final stage of the encoder. The experimental results show that a SRSe-Net can obtain more accurate segmentation results with fewer network parameters. Full article
(This article belongs to the Special Issue Remote Sensing for Monitoring Harmful Algal Blooms)
Show Figures

Figure 1

21 pages, 16416 KB  
Article
A Sparse Representation-Based Sample Pseudo-Labeling Method for Hyperspectral Image Classification
by Binge Cui, Jiandi Cui, Yan Lu, Nannan Guo and Maoguo Gong
Remote Sens. 2020, 12(4), 664; https://doi.org/10.3390/rs12040664 - 17 Feb 2020
Cited by 22 | Viewed by 5257
Abstract
Hyperspectral image classification methods may not achieve good performance when a limited number of training samples are provided. However, labeling sufficient samples of hyperspectral images to achieve adequate training is quite expensive and difficult. In this paper, we propose a novel sample pseudo-labeling [...] Read more.
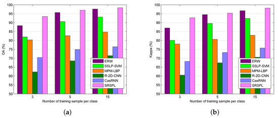
Hyperspectral image classification methods may not achieve good performance when a limited number of training samples are provided. However, labeling sufficient samples of hyperspectral images to achieve adequate training is quite expensive and difficult. In this paper, we propose a novel sample pseudo-labeling method based on sparse representation (SRSPL) for hyperspectral image classification, in which sparse representation is used to select the purest samples to extend the training set. The proposed method consists of the following three steps. First, intrinsic image decomposition is used to obtain the reflectance components of hyperspectral images. Second, hyperspectral pixels are sparsely represented using an overcomplete dictionary composed of all training samples. Finally, information entropy is defined for the vectorized sparse representation, and then the pixels with low information entropy are selected as pseudo-labeled samples to augment the training set. The quality of the generated pseudo-labeled samples is evaluated based on classification accuracy, i.e., overall accuracy, average accuracy, and Kappa coefficient. Experimental results on four real hyperspectral data sets demonstrate excellent classification performance using the new added pseudo-labeled samples, which indicates that the generated samples are of high confidence. Full article
Show Figures

Graphical abstract

19 pages, 6592 KB  
Article
Extracting Raft Aquaculture Areas from Remote Sensing Images via an Improved U-Net with a PSE Structure
by Binge Cui, Dong Fei, Guanghui Shao, Yan Lu and Jialan Chu
Remote Sens. 2019, 11(17), 2053; https://doi.org/10.3390/rs11172053 - 1 Sep 2019
Cited by 80 | Viewed by 6537
Abstract
Remote sensing has become a primary technology for monitoring raft aquaculture products. However, due to the complexity of the marine aquaculture environment, the boundaries of the raft aquaculture areas in remote sensing images are often blurred, which will result in ‘adhesion’ phenomenon in [...] Read more.
Remote sensing has become a primary technology for monitoring raft aquaculture products. However, due to the complexity of the marine aquaculture environment, the boundaries of the raft aquaculture areas in remote sensing images are often blurred, which will result in ‘adhesion’ phenomenon in the raft aquaculture areas extraction. The fully convolutional network (FCN) based methods have made great progress in the field of remote sensing in recent years. In this paper, we proposed an FCN-based end-to-end raft aquaculture areas extraction model (which is called UPS-Net) to overcome the ‘adhesion’ phenomenon. The UPS-Net contains an improved U-Net and a PSE structure. The improved U-Net can simultaneously capture boundary and contextual information of raft aquaculture areas from remote sensing images. The PSE structure can adaptively fuse the boundary and contextual information to reduce the ‘adhesion’ phenomenon. We selected laver raft aquaculture areas in eastern Lianyungang in China as the research region to verify the effectiveness of our model. The experimental results show that compared with several state-of-the-art models, the proposed UPS-Net model performs better at extracting raft aquaculture areas and can significantly reduce the ‘adhesion’ phenomenon. Full article
(This article belongs to the Section Ocean Remote Sensing)
Show Figures

Graphical abstract

18 pages, 2009 KB  
Article
Semi-Supervised Classification of Hyperspectral Images Based on Extended Label Propagation and Rolling Guidance Filtering
by Binge Cui, Xiaoyun Xie, Siyuan Hao, Jiandi Cui and Yan Lu
Remote Sens. 2018, 10(4), 515; https://doi.org/10.3390/rs10040515 - 25 Mar 2018
Cited by 38 | Viewed by 6557
Abstract
Semi-supervised classification methods result in higher performance for hyperspectral images, because they can utilize the relationship between unlabeled samples and labeled samples to obtain pseudo-labeled samples. However, how generating an effective training sample set is a major challenge for semi-supervised methods, In this [...] Read more.
Semi-supervised classification methods result in higher performance for hyperspectral images, because they can utilize the relationship between unlabeled samples and labeled samples to obtain pseudo-labeled samples. However, how generating an effective training sample set is a major challenge for semi-supervised methods, In this paper, we propose a novel semi-supervised classification method based on extended label propagation (ELP) and a rolling guidance filter (RGF) called ELP-RGF, in which ELP is a new two-step process to make full use of unlabeled samples. The first step is to implement the graph-based label propagation algorithm to propagate the label information from labeled samples to the neighboring unlabeled samples. This is then followed by the second step, which uses superpixel propagation to assign the same labels to all pixels within the superpixels that are generated by the image segmentation method, so that some labels wrongly labeled by the above step can be modified. As a result, so obtained pseudo-labeled samples could be used to improve the performance of the classifier. Subsequently, an effective feature extraction method, i.e., RGF is further used to remove the noise and the small texture structures to optimize the features of the initial hyperspectral image. Finally, these produced initial labeled samples and high-confidence pseudo-labeled samples are used as a training set for support vector machine (SVM). The experimental results show that the proposed method can produce better classification performance for three widely-used real hyperspectral datasets, particularly when the number of training samples is relatively small. Full article
(This article belongs to the Special Issue Hyperspectral Imaging and Applications)
Show Figures

Graphical abstract

Back to TopTop