A Study on Mortality Predictors in Hemodialysis Patients Infected with COVID-19: Impact of Vaccination Status
Abstract
:1. Introduction
2. Materials and Methods
2.1. Study Protocol
2.2. Measurement Instruments
2.3. Statistical Analysis
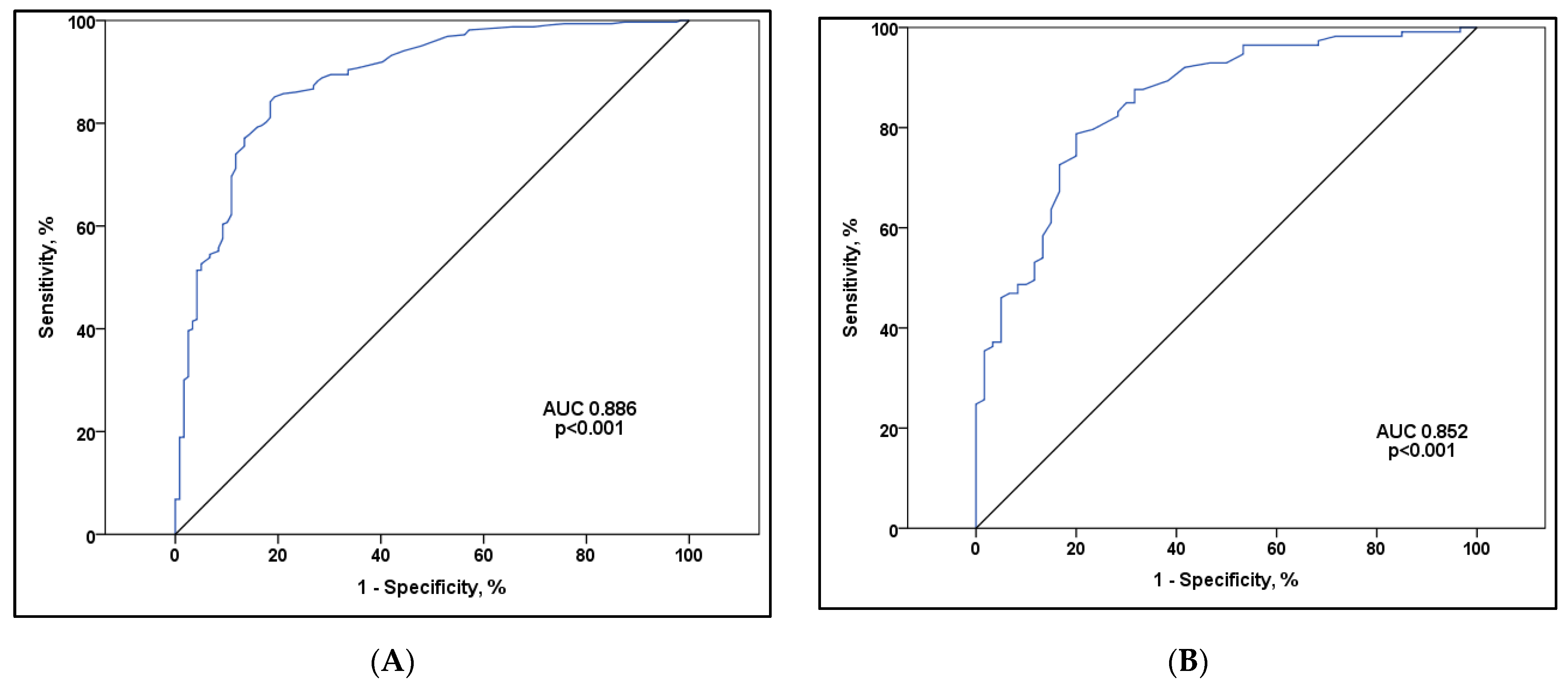
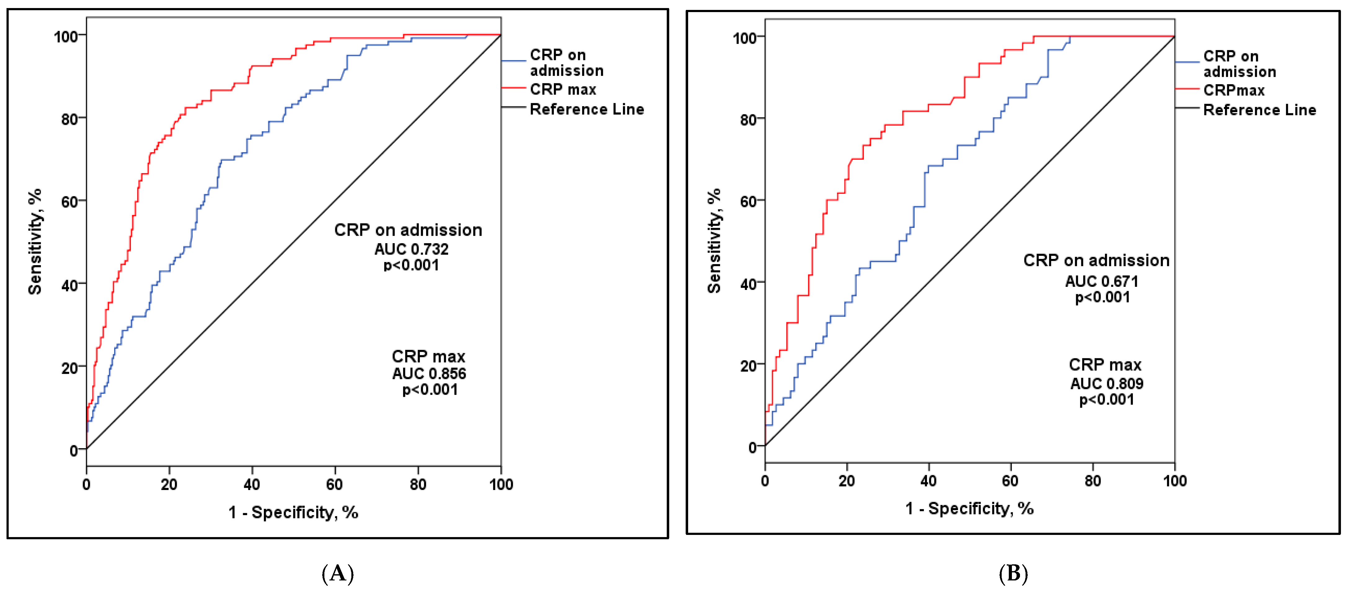
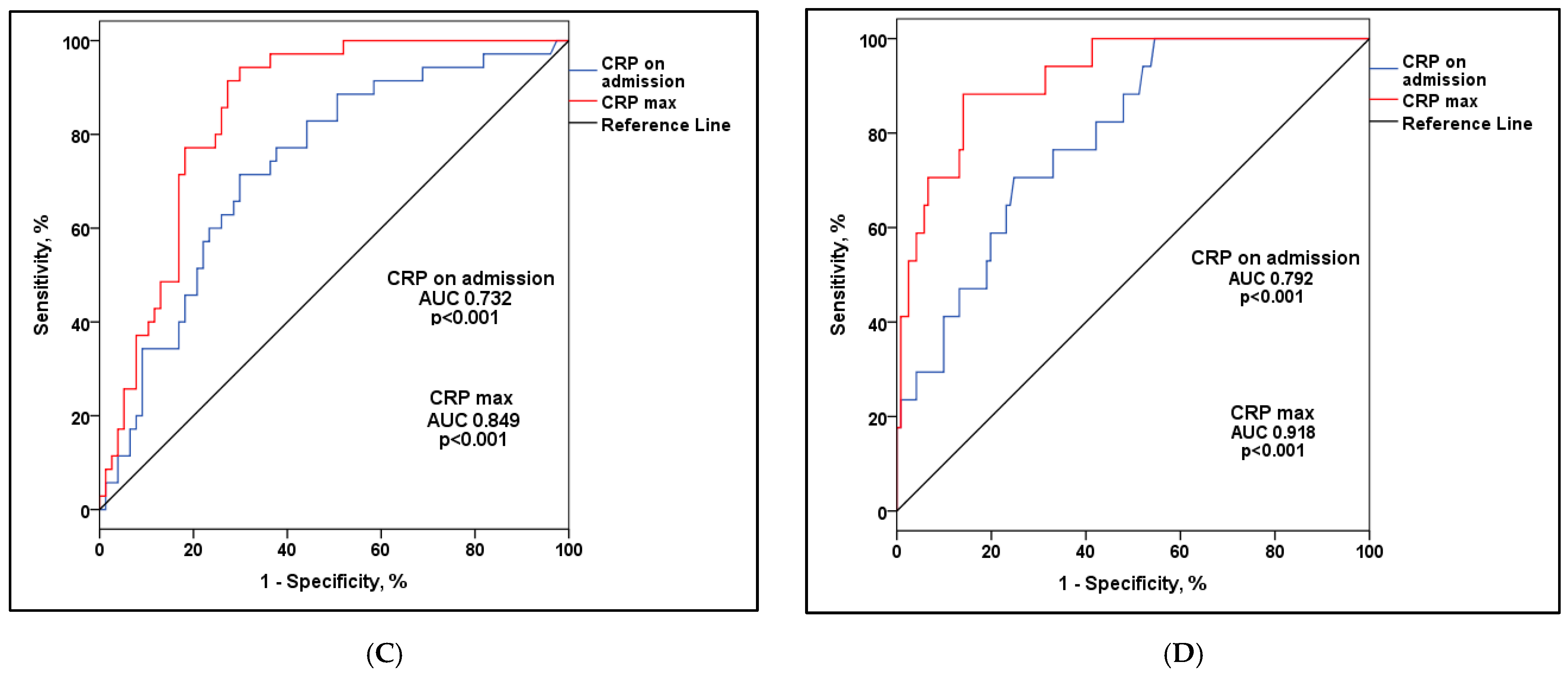
3. Results
4. Discussion
5. Conclusions
Author Contributions
Funding
Institutional Review Board Statement
Informed Consent Statement
Data Availability Statement
Acknowledgments
Conflicts of Interest
References
- Abd El-Aziz, T.M.; Stockand, J.D. Recent progress and challenges in drug development against COVID-19 coronavirus (SARS-CoV-2)—An update on the status. Infect. Genet. Evol. 2020, 83, 104327. [Google Scholar] [CrossRef]
- Sharma, A.; Tiwari, S.; Deb, M.K.; Marty, J.L. Severe acute respiratory syndrome coronavirus-2 (SARS-CoV-2): A global pandemic and treatment strategies. Int. J. Antimicrob. Agents 2020, 56, 106054. [Google Scholar] [CrossRef]
- Mohanty, S.K.; Satapathy, A.; Naidu, M.M.; Mukhopadhyay, S.; Sharma, S.; Barton, L.M.; Stroberg, E.; Duval, E.J.; Pradhan, D.; Tzankov, A.; et al. Severe acute respiratory syndrome coronavirus-2 (SARS-CoV-2) and coronavirus disease 19 (COVID-19)—Anatomic pathology perspective on current knowledge. Diagn. Pathol. 2020, 15, 103. [Google Scholar] [CrossRef] [PubMed]
- Chatterjee, P.; Nagi, N.; Agarwal, A.; Das, B.; Banerjee, S.; Sarkar, S.; Gupta, N.; Gangakhedkar, R.R. The 2019 novel coronavirus disease (COVID-19) pandemic: A review of the current evidence. Indian J. Med. Res. 2020, 151, 147–159. [Google Scholar] [CrossRef]
- Arshad Ali, S.; Baloch, M.; Ahmed, N.; Arshad Ali, A.; Iqbal, A. The outbreak of Coronavirus Disease 2019 (COVID-19)-An emerging global health threat. J. Infect. Public Health 2020, 13, 644–646. [Google Scholar] [CrossRef] [PubMed]
- Sohrabi, C.; Alsafi, Z.; O’Neill, N.; Khan, M.; Kerwan, A.; Al-Jabir, A.; Iosifidis, C.; Agha, R. World Health Organization declares global emergency: A review of the 2019 novel coronavirus (COVID-19). Int. J. Surg. 2020, 76, 71–76. [Google Scholar] [CrossRef] [PubMed]
- Cucinotta, D.; Vanelli, M. WHO Declares COVID-19 a Pandemic. Acta Biomed. 2020, 91, 157–160. [Google Scholar]
- Sanyaolu, A.; Okorie, C.; Marinkovic, A.; Patidar, R.; Younis, K.; Desai, P.; Hosein, Z.; Padda, I.; Mangat, J.; Altaf, M. Comorbidity and its Impact on Patients with COVID-19. SN Compr. Clin. Med. 2020, 2, 1069–1076. [Google Scholar] [CrossRef]
- Bajgain, K.T.; Badal, S.; Bajgain, B.B.; Santana, M.J. Prevalence of comorbidities among individuals with COVID-19: A rapid review of current literature. Am. J. Infect. Control 2021, 49, 238–246. [Google Scholar] [CrossRef]
- Mi, J.; Zhong, W.; Huang, C.; Zhang, W.; Tan, L.; Ding, L. Gender, age and comorbidities as the main prognostic factors in patients with COVID-19 pneumonia. Am. J. Transl. Res. 2020, 12, 6537–6548. [Google Scholar]
- Varikasuvu, S.R.; Dutt, N.; Thangappazham, B.; Varshney, S. Diabetes and COVID-19: A pooled analysis related to disease severity and mortality. Prim. Care Diabetes 2021, 15, 24–27. [Google Scholar] [CrossRef] [PubMed]
- Lippi, G.; Wong, J.; Henry, B.M. Hypertension in patients with coronavirus disease 2019 (COVID-19): A pooled analysis. Pol. Arch. Intern. Med. 2020, 130, 304–309. [Google Scholar] [PubMed]
- Cai, R.; Zhang, J.; Zhu, Y.; Liu, L.; Liu, Y.; He, Q. Mortality in chronic kidney disease patients with COVID-19: A systematic review and meta-analysis. Int. Urol. Nephrol. 2021, 53, 1623–1629. [Google Scholar] [CrossRef] [PubMed]
- Menon, T.; Gandhi, S.A.Q.; Tariq, W.; Sharma, R.; Sardar, S.; Arshad, A.M.; Adhikari, R.; Ata, F.; Kataria, S.; Singh, R. Impact of Chronic Kidney Disease on Severity and Mortality in COVID-19 Patients: A Systematic Review and Meta-analysis. Cureus 2021, 13, e14279. [Google Scholar] [CrossRef] [PubMed]
- Wu, Z.H.; Tang, Y.; Cheng, Q. Diabetes increases the mortality of patients with COVID-19: A meta-analysis. Acta Diabetol. 2021, 58, 139–144. [Google Scholar] [CrossRef] [PubMed]
- Pranata, R.; Lim, M.A.; Huang, I.; Raharjo, S.B.; Lukito, A.A. Hypertension is associated with increased mortality and severity of disease in COVID-19 pneumonia: A systematic review, meta-analysis and meta-regression. J. Renin Angiotensin Aldosterone Syst. 2020, 21, 1470320320926899. [Google Scholar] [CrossRef]
- Jager, K.J.; Kramer, A.; Chesnaye, N.C.; Couchoud, C.; Sánchez-Álvarez, J.E.; Garneata, L.; Collart, F.; Hemmelder, M.H.; Ambühl, P.; Kerschbaum, J.; et al. Results from the ERA-EDTA Registry indicate a high mortality due to COVID-19 in dialysis patients and kidney transplant recipients across Europe. Kidney Int. 2020, 98, 1540–1548. [Google Scholar] [CrossRef]
- Wang, F.; Ao, G.; Wang, Y.; Liu, F.; Bao, M.; Gao, M.; Zhou, S.; Qi, X. Risk factors for mortality in hemodialysis patients with COVID-19: A systematic review and meta-analysis. Ren. Fail. 2021, 43, 1394–1407. [Google Scholar] [CrossRef]
- Li, J.; Li, S.X.; Zhao, L.F.; Kong, D.L.; Guo, Z.Y. Management recommendations for patients with chronic kidney disease during the novel coronavirus disease 2019 (COVID-19) epidemic. Chronic Dis. Transl. Med. 2020, 6, 119–123. [Google Scholar] [CrossRef]
- Nogueira, G.M.; Oliveira, M.S.; Moura, A.F.; Cruz, C.M.S.; Moura-Neto, J.A. COVID-19 in dialysis units: A comprehensive review. World J. Virol. 2021, 10, 264–274. [Google Scholar] [CrossRef]
- Ng, W.H.; Tipih, T.; Makoah, N.A.; Vermeulen, J.G.; Goedhals, D.; Sempa, J.B.; Burt, F.J.; Taylor, A.; Mahalingam, S. Comorbidities in SARS-CoV-2 Patients: A Systematic Review and Meta-Analysis. mBio 2021, 9, e03647-20. [Google Scholar] [CrossRef]
- Ali, E.T.; Sajid Jabbar, A.; Al Ali, H.S.; Shaheen Hamadi, S.; Jabir, M.S.; Albukhaty, S. Extensive Study on Hematological, Immunological, Inflammatory Markers, and Biochemical Profile to Identify the Risk Factors in COVID-19 Patients. Int. J. Inflam. 2022, 2022, 5735546. [Google Scholar] [CrossRef] [PubMed]
- Gao, Y.D.; Ding, M.; Dong, X.; Zhang, J.J.; Kursat Azkur, A.; Azkur, D.; Gan, H.; Sun, Y.L.; Fu, W.; Li, W.; et al. Risk factors for severe and critically ill COVID-19 patients: A review. Allergy 2021, 76, 428–455. [Google Scholar] [CrossRef] [PubMed]
- Mudatsir, M.; Fajar, J.K.; Wulandari, L.; Soegiarto, G.; Ilmawan, M.; Purnamasari, Y.; Mahdi, B.A.; Jayanto, G.D.; Suhendra, S.; Setianingsih, Y.A.; et al. Predictors of COVID-19 severity: A systematic review and meta-analysis. F1000Research 2020, 9, 1107. [Google Scholar] [CrossRef] [PubMed]
- Roedl, K.; Jarczak, D.; Thasler, L.; Bachmann, M.; Schulte, F.; Bein, B.; Weber, C.F.; Schäfer, U.; Veit, C.; Hauber, H.P.; et al. Mechanical ventilation and mortality among 223 critically ill patients with coronavirus disease 2019: A multicentric study in Germany. Aust. Crit. Care 2021, 2, 167–175. [Google Scholar] [CrossRef] [PubMed]
- Hou, Y.C.; Lu, K.C.; Kuo, K.L. The Efficacy of COVID-19 Vaccines in Chronic Kidney Disease and Kidney Transplantation Patients: A Narrative Review. Vaccines 2021, 9, 885. [Google Scholar] [CrossRef]
- Hartzell, S.; Bin, S.; Benedetti, C.; Haverly, M.; Gallon, L.; Zaza, G.; Riella, L.V.; Menon, M.C.; Florman, S.; Rahman, A.H.; et al. Evidence of potent humoral immune activity in COVID-19-infected kidney transplant recipients. Am. J. Transplant. 2020, 20, 3149–3161. [Google Scholar] [CrossRef]
- Candon, S.; Guerrot, D.; Drouot, L.; Lemoine, M.; Lebourg, L.; Hanoy, M.; Boyer, O.; Bertrand, D. T cell and antibody responses to SARS-CoV-2: Experience from a French transplantation and hemodialysis center during the COVID-19 pandemic. Am. J. Transplant. 2021, 2, 854–863. [Google Scholar] [CrossRef]
- Kato, S.; Chmielewski, M.; Honda, H.; Pecoits-Filho, R.; Matsuo, S.; Yuzawa, Y.; Tranaeus, A.; Stenvinkel, P.; Lindholm, B. Aspects of immune dysfunction in end-stage renal disease. Clin. J. Am. Soc. Nephrol. 2008, 5, 1526–1533. [Google Scholar] [CrossRef]
- SARS-CoV-2 Variant Classifications and Definitions. Available online: https://www.cdc.gov/coronavirus/2019-ncov/variants/variant-classifications.html (accessed on 8 December 2023).
- Allon, M.; Depner, T.A.; Radeva, M.; Bailey, J.; Beddhu, S.; Butterly, D.; Coyne, D.W.; Gassman, J.J.; Kaufman, A.M.; Kaysen, G.A.; et al. Impact of dialysis dose and membrane on infection-related hospitalization and death: Results of the HEMO Study. J. Am. Soc. Nephrol. 2003, 7, 1863–1870. [Google Scholar] [CrossRef]
- James, M.T.; Quan, H.; Tonelli, M.; Manns, B.J.; Faris, P.; Laupland, K.B.; Hemmelgarn, B.R. Alberta Kidney Disease Network. CKD and risk of hospitalization and death with pneumonia. Am. J. Kidney Dis. 2009, 1, 24–32. [Google Scholar] [CrossRef]
- Notarte, K.I.; Catahay, J.A.; Peligro, P.J.; Velasco, J.V.; Ver, A.T.; Guerrero, J.J.; Liu, J.; Lippi, G.; Benoit, S.W.; Henry, B.M.; et al. Humoral Response in Hemodialysis Patients Post-SARS-CoV-2 mRNA Vaccination: A Systematic Review of Literature. Vaccines 2023, 24, 724. [Google Scholar] [CrossRef]
- Rista, E.; Dervishi, D.; Cadri, V.; Akshija, I.; Saliaj, K.; Bino, S.; Puca, E.; Harxhi, A. Predictors of mortality in hemodialysis patients with COVID-19: A single-center experience. J. Infect. Dev. Ctries. 2023, 17, 454–460. [Google Scholar] [CrossRef] [PubMed]
- Selvaskandan, H.; Hull, K.L.; Adenwalla, S.; Ahmed, S.; Cusu, M.C.; Graham-Brown, M.; Gray, L.; Hall, M.; Hamer, R.; Kanbar, A.; et al. Risk factors associated with COVID-19 severity among patients on maintenance haemodialysis: A retrospective multicentre cross-sectional study in the UK. BMJ Open 2022, 5, e054869. [Google Scholar] [CrossRef] [PubMed]
- Kikuchi, K.; Nangaku, M.; Ryuzaki, M.; Yamakawa, T.; Yoshihiro, O.; Hanafusa, N.; Sakai, K.; Kanno, Y.; Ando, R.; Shinoda, T.; et al. COVID-19 Task Force Committee of the Japanese Association of Dialysis Physicians, the Japanese Society for Dialysis Therapy, and the Japanese Society of Nephrology. Survival and predictive factors in dialysis patients with COVID-19 in Japan: A nationwide cohort study. Ren. Replace Ther. 2021, 7, 59. [Google Scholar] [PubMed]
- Ashby, D.R.; Caplin, B.; Corbett, R.W.; Asgari, E.; Kumar, N.; Sarnowski, A.; Hull, R.; Makanjuola, D.; Cole, N.; Chen, J.; et al. Pan-London COVID-19 Renal Audit Group. Severity of COVID-19 after Vaccination among Hemodialysis Patients: An Observational Cohort Study. Clin. J. Am. Soc. Nephrol. 2022, 17, 843–850. [Google Scholar] [CrossRef]
- Turgutalp, K.; Ozturk, S.; Arici, M.; Eren, N.; Gorgulu, N.; Islam, M.; Uzun, S.; Sakaci, T.; Aydin, Z.; Sengul, E.; et al. Determinants of mortality in a large group of hemodialysis patients hospitalized for COVID-19. BMC Nephrol. 2021, 22, 29. [Google Scholar] [CrossRef] [PubMed]
- Tylicki, L.; Puchalska-Reglińska, E.; Tylicki, P.; Och, A.; Polewska, K.; Biedunkiewicz, B.; Parczewska, A.; Szabat, K.; Wolf, J.; Dębska-Ślizień, A. Predictors of Mortality in Hemodialyzed Patients after SARS-CoV-2 Infection. J. Clin. Med. 2022, 11, 285. [Google Scholar] [CrossRef]
- Hilbrands, L.B.; Duivenvoorden, R.; Vart, P.; Franssen, C.F.M.; Hemmelder, M.H.; Jager, K.J.; Kieneker, L.M.; Noordzij, M.; Pena, M.J.; Vries, H.; et al. COVID-19-related mortality in kidney transplant and dialysis patients: Results of the ERACODA collaboration. Nephrol. Dial. Transplant. 2020, 35, 1973–1983. [Google Scholar] [CrossRef]
- Giot, M.; Robert, T.; Brunet, P.; Resseguier, N.; Lano, G. Vaccination against COVID-19 in a haemodialysis centre: What is the risk of bleeding complications? Clin. Kidney J. 2021, 14, 1701–1703. [Google Scholar] [CrossRef]
- Ziadi, A.; Hachimi, A.; Admou, B.; Hazime, R.; Brahim, I.; Douirek, F.; Zarrouki, Y.; El Adib, A.R.; Younous, S.; Samkaoui, A.M. Lymphopenia in critically ill COVID-19 patients: A predictor factor of severity and mortality. Int. J. Lab. Hematol. 2021, 43, e38–e40. [Google Scholar] [CrossRef]
- Niu, J.; Sareli, C.; Mayer, D.; Visbal, A.; Sareli, A. Lymphopenia as a Predictor for Adverse Clinical Outcomes in Hospitalized Patients with COVID-19: A Single Center Retrospective Study of 4485 Cases. J. Clin. Med. 2022, 11, 700. [Google Scholar] [CrossRef]
- Hartantri, Y.; Debora, J.; Widyatmoko, L.; Giwangkancana, G.; Suryadinata, H.; Susandi, E.; Hutajulu, E.; Hakiman, A.P.A.; Pusparini, Y.; Alisjahbana, B. Clinical and treatment factors associated with the mortality of COVID-19 patients admitted to a referral hospital in Indonesia. Lancet Reg. Health Southeast Asia 2023, 11, 100167. [Google Scholar] [CrossRef]
- Zeng, B.; Zhou, J.; Peng, D.; Dong, C.; Qin, Q. The prevention and treatment of COVID-19 in patients treated with hemodialysis. Eur. J. Med. Res. 2023, 28, 410. [Google Scholar] [CrossRef] [PubMed]
- Sibbel, S.; McKeon, K.; Luo, J.; Wendt, K.; Walker, A.G.; Kelley, T.; Lazar, R.; Zywno, M.L.; Connaire, J.J.; Tentori, F.; et al. Real-World Effectiveness and Immunogenicity of BNT162b2 and mRNA-1273 SARS-CoV-2 Vaccines in Patients on Hemodialysis. J. Am. Soc. Nephrol. 2022, 33, 49–57. [Google Scholar] [CrossRef] [PubMed]
- Espi, M.; Charmetant, X.; Barba, T.; Mathieu, C.; Pelletier, C.; Koppe, L.; Chalencon, E.; Kalbacher, E.; Mathias, V.; Ovize, A.; et al. A prospective observational study for justification, safety, and efficacy of a third dose of mRNA vaccine in patients receiving maintenance hemodialysis. Kidney Int. 2022, 101, 390–402. [Google Scholar] [CrossRef] [PubMed]
- Ashby, D.R.; Caplin, B.; Corbett, R.W.; Asgari, E.; Kumar, N.; Sarnowski, A.; Hull, R.; Makanjuola, D.; Cole, N.; Chen, J.; et al. Outcome and effect of vaccination in SARS-CoV-2 Omicron infection in hemodialysis patients: A cohort study. Nephrol. Dial. Transplant. 2022, 37, 1944–1950. [Google Scholar] [CrossRef]
- Bell, S.; Campbell, J.; Lambourg, E.; Watters, C.; O’Neil, M.; Almond, A.; Buck, K.; Carr, E.J.; Clark, L.; Cousland, Z.; et al. The impact of vaccination on incidence and outcomes of SARS-CoV-2 infection in patients with kidney failure in Scotland. J. Am. Soc. Nephrol. 2022, 33, 677–686. [Google Scholar] [CrossRef]







| Overall, N = 442 | Unvaccinated, n = 173 | 1 dose, n = 19 | 2 doses, n = 112 | 3 doses, n = 138 | p | |
|---|---|---|---|---|---|---|
| Male sex, n (%) | 285 (64.5%) | 118 (68.2) | 9 (47.7) | 68 (60.7) | 90 (65.2) | 0.240 |
| Age, years ± SD | 63 ± 13.7 | 62 ± 14.3 | 63 ± 15.9 | 64 ± 13.9 | 65 ± 12.3 | 0.162 |
| Primary kidney disease, n (%) | 0.502 | |||||
| Hypertension | 169 (38.2) | 62 (35.8) | 9 (47.4) | 43 (38.4) | 55 (39.9) | |
| Diabetes | 115 (26.0) | 42 (24.3) | 3 (15.8) | 33 (29.5) | 37 (26.8) | |
| Glomerulonephritis | 36 (8.1) | 17 (9.8) | 2 (10.5) | 5 (4.5) | 12 (8.7) | |
| Lupus nephritis and vasculitis | 21 (4.8) | 9 (5.2) | 3 (15.8) | 4 (3.6) | 5 (3.6) | |
| Polycystic kidney disease | 27 (6.1) | 9 (5.2) | 1 (5.3) | 7 (6.3) | 10 (7.2) | |
| Others | 74 (16.7) | 34 (19.7) | 1 (5.3) | 20 (17.9) | 19 (13.8) | |
| Comorbidity, n (%) | ||||||
| Hypertension | 374 (84.6) | 144 (83.2) | 16 (84.2) | 94 (83.9) | 120 (87.0) | 0.831 |
| Diabetes | 125 (28.3) | 47 (27.2) | 3 (15.8) | 35 (31.3) | 40 (29.0) | 0.554 |
| Cardiomyopathy | 155 (35.1) | 64 (37.0) | 9 (47.4) | 32 (28.6) | 50 (36.2) | 0.295 |
| Cerebrovascular disease | 32 (7.2) | 14 (8.1) | 2 (10.5) | 9 (8.0) | 7 (5.1) | 0.668 |
| Malignancy | 45 (10.2) | 15 (8.7) | 2 (10.5) | 12 (10.7) | 16 (11.6) | 0.857 |
| COPD | 17 (3.8) | 7 (4.0) | 0 (0) | 5 (4.5) | 5 (3.6) | 0.822 |
| Duration of dialysis, years, median (IQR) | 4 (7) | 4.73 (8) | 3.75 (9) | 4 (7) | 4 (7) | 0.920 |
| Overall, N = 442 | Unvaccinated, n = 173 | 1 dose, n = 19 | 2 doses, n = 112 | 3 doses, n = 138 | p | |
|---|---|---|---|---|---|---|
| The X-ray signs of pneumonia, n (%) | ||||||
| Without pneumonia | 189 (42.8) | 50 (28.9) | 5 (26.3) | 46 (41.1) | 88 (63.8) | <0.001 |
| Unilateral pneumonia | 26 (5.9) | 16 (9.2) | 2 (10.5) | 5 (4.5) | 3 (2.2) | |
| Bilateral pneumonia | 227 (51.3) | 107 (61.8) | 12 (63.2) | 61 (54.5) | 47 (34.1) | |
| Oxigenation, n (%) | ||||||
| Ambient air | 268 (60.6) | 83 (48.0) | 10 (52.6) | 64 (57.1) | 111 (80.4) | <0.001 |
| Low flow nasal cannula | 83 (18.8) | 40 (23.1) | 7 (36.8) | 22 (19.6) | 14 (10.1) | |
| High Flow face mask | 10 (2.3) | 5 (2.9) | 0 (0) | 3 (2.7) | 2 (1.4) | |
| Noninvasive ventilation | 15 (3.4) | 11 (6.4) | 0 (0) | 1 (0.9) | 3 (2.2) | |
| Invasive mechanical ventilation | 66 (14.9) | 34 (19.7) | 2 (10.5) | 22 (19.6) | 8 (5.8) | |
| Antivirotic, n (%) | 59 (13.3) | 19 (11.0) | 1 (5.3) | 14 (12.5) | 25 (18.1) | 0.196 |
| Regen Cov, n (%) | 22 (5.0) | 6 (3.5) | 1 (5.3) | 6 (5.4) | 9 (6.5) | 0.667 |
| Time from the last vaccine dose to the onset of illness, day, median (IQR) | 141 (170) | - | 14 (225) | 168 (120) | 122.5 (171) | <0.001 |
| Time from illness onset to outcome, day, median (IQR) | 15 (11) min-max 1–61 | 15 (12) | 15 (18) | 17 (10) | 14 (11) | 0.137 |
| Oxygen saturation on admission, % ± SD | 96 ± 5.3 | 95 ± 6.6 | 95 ± 4.1 | 96 ± 4.9 | 96 ± 4.1 | 0.017 |
| Systolic blood pressure on admission, mm/Hg, mean ± SD | 130 ± 22.9 | 134 ± 25.4 | 130 ± 24.3 | 133 ± 17.7 | 130 ± 23.4 | 0.401 |
| Complication, n (%) | ||||||
| Without complication | 383 (86.7) | 140 (80.9) | 16 (84.2) | 98 (87.5) | 129 (93.5) | 0.022 |
| Major bleeding | 34 (7.7) | 20 (11.6) | 3 (15.8) | 6 (5.4) | 5 (3.6) | |
| Thrombosis | 21 (4.8) | 12 (6.9) | 0 (0) | 5 (4.5) | 4 (2.9) | |
| Bleeding + thrombosis | 4 (0.9) | 1 (0.6) | 0 (0) | 3 (2.7) | 0 (0) | |
| Death, n (%) | 119 (26.9) | 60 (34.7) | 7 (36.8) | 35 (31.3) | 17 (12.3) | <0.001 |
| Overall, n = 442 | Unvaccinated, n = 173 | 1 dose, n = 19 | 2 doses, n = 112 | 3 doses, n = 138 | p | |
|---|---|---|---|---|---|---|
| WBC count *, mean ± SD | 7.1 ± 3.77 | 7.3 ± 4.39 | 5.8 ± 1.82 | 7.1 ± 3.51 | 7.0 ± 3.30 | 0.371 |
| Ly count *, median (IQR) | 0.93 (0.70) | 0.84 (0.67) | 0.95 (0.54) | 0.91 (0.73) | 1.0 (0.66) | 0.207 |
| Hgb, g/L, mean ± SD | 104 ± 17.3 | 103 ± 19.6 | 99 ± 16.4 | 106 ± 16.0 | 104 ± 15.0 | 0.213 |
| D-dimer, mg/L, median (IQR) | 1.4 (1.72) | 1.89 (2.30) | 1.64 (1.59) | 1.30 (1.77) | 1.22 (1.05) | 0.073 |
| CRP, mg/L, median (IQR) | 43.1 (82.98) | 57.1 (98.05) | 45.9 (85.5) | 45.5 (72.5) | 25.9 (63.45) | <0.001 |
| Ferritin, µg/L, median (IQR) | 923.3 (1806.48) | 1108.0 (1801.80) | 1557.3 (1748.3) | 753.0 (1678.1) | 624.8 (1287.0) | <0.001 |
| Fibrinogen, g/L, mean ± SD | 4.9 ± 1.61 | 5.1 ± 1.76 | 5.5 ± 1.52 | 5.1 ± 1.5 | 4.8 ± 1.48 | 0.127 |
| Albumin, g/L, mean ± SD | 36 ± 5.8 | 34 ± 6.0 * | 36 ± 6.7 | 36 ± 6.0 | 37 ± 4.6 | <0.001 |
| Overall, N = 442 | Unvaccinated, n = 173 | 1 dose, n = 19 | 2 doses, n = 112 | 3 doses, n = 138 | p | |
|---|---|---|---|---|---|---|
| WBC max * count, mean ± SD | 12.4 ± 8.05 | 13.5 ± 7.95 | 12.8 ± 6.36 | 13.4 ± 9.06 | 10.2 ± 7.06 | 0.001 |
| Ly min ** counts, median (IQR) | 0.6 (0.69) | 0.49 (0.65) | 0.47 (0.59) | 0.56 (0.67) | 0.80 (0.62) | <0.001 |
| Ly max counts, median (IQR) | 1.25 (4.47) | 1.27 (1.05) | 1.18 (0.71) | 1.20 (0.83) | 1.25 (0.80) | 0.701 |
| D-dimer max, mg/L, median (IQR) | 2.16 (3.88) | 2.9 (4.81) | 2.19 (1.98) | 2.20 (3.80) | 1.42 (2.54) | 0.002 |
| CRP max, mg/L, median (IQR) | 78.6 (153.3) | 109.3 (149.30) | 100.3 (153.3) | 77.85 (181.88) | 37.8 (94.78) | <0.001 |
| Ferritin max, µg/L, median (IQR) | 1277.8 (3322.1) | 1976.2 (3853.70) | 2309.8 (3011.8) | 1104.4 (3448.8) | 766.3 (1893.4) | <0.001 |
| Fibrinogen max, g/L, mean ± SD | 5.6 ± 1.82 | 5.7 ± 1.89 | 6.4 ± 1.69 | 5.8 ± 1.78 | 5.1 ± 1.69 | 0.001 |
| IL6 max, pg/mL, median (IQR) | 49.1 (164.25) | 49.1 (231.25) | 51.75 (71.82) | 64.9 (186.84) | 36.2 (190.61) | 0.808 |
| B | p | HR | CI 95% | |
|---|---|---|---|---|
| Age | 0.025 | 0.001 | 1.025 | 1.010–1.040 |
| Male | −0.047 | 0.808 | 0.954 | 0.653–1.394 |
| Hypertension | 0.303 | 0.288 | 1.354 | 0.774–2.371 |
| Diabetes | 0.202 | 0.300 | 1.224 | 0.835–1.794 |
| Cardiomyopathy | 0.876 | <0.001 | 2.400 | 1.666–3.458 |
| Cerebrovascular disease | 0.471 | 0.115 | 1.604 | 0.892–2.874 |
| Malignancy | −0.044 | 0.877 | 0.957 | 0.546–1.676 |
| COPD | 0.021 | 0.968 | 1.021 | 0.375–2.776 |
| The X-ray signs of pneumonia, n (%) | ||||
| Without pneumonia | - | - | - | - |
| Unilateral pneumonia | 0.913 | 0.191 | 3.299 | 0.551–19.761 |
| Bilateral pneumonia | 0.586 | <0.001 | 19.888 | 6.312–62.664 |
| Vaccination: | ||||
| Unvaccinated | - | - | - | - |
| 1 dose | −0.216 | 0.603 | 0.806 | 0.357–1.817 |
| 2 doses | −0.180 | 0.399 | 0.836 | 0.550–1.268 |
| 3 doses | −0.923 | 0.001 | 0.397 | 0.231–0.683 |
| Antivirotic | −0.365 | 0.253 | 0.694 | 0.372–1.298 |
| RegenCov | −0.805 | 0.176 | 0.447 | 0.139–1.435 |
| Duration of dialysis | 0.015 | 0.323 | 1.015 | 0.968–1.044 |
| Complication | ||||
| Without complication | - | - | - | - |
| Hemorrhage | 0.876 | <0.001 | 2.401 | 1.539–3.745 |
| Thrombosis | 0.515 | 0.108 | 1.674 | 0.893–3.140 |
| Hemorrhage + thrombosis | 0.392 | 0.508 | 1.480 | 0.463–4.729 |
| WBC od admission | 0.075 | <0.001 | 1.077 | 1.038–1.118 |
| Ly on admission | −0.856 | <0.001 | 0.425 | 0.274–0.660 |
| CRP on admission | 0.006 | <0.001 | 1.006 | 1.004–1.007 |
| IL-6 on admission | 0.001 | 0.024 | 1.001 | 1.000–1.002 |
| Ferritin on admission | 0.001 | <0.001 | 1.001 | 1.001–1.002 |
| Fibrinogen on admission | 0.063 | 0.279 | 1.065 | 0.950–1.193 |
| D dimer on admission | 0.053 | <0.001 | 1.054 | 10.33–1.076 |
| Le max | 0.053 | <0.001 | 1.055 | 1.038–1.071 |
| Ly min | −2.781 | <0.001 | 0.062 | 0.027–0.143 |
| Ly max | −0.371 | 0.024 | 0.690 | 0.500–0.952 |
| D-dimer max | 0.022 | <0.001 | 1.022 | 1.012–1.033 |
| CRP max | 0.007 | <0.001 | 1.007 | 1.005–1.009 |
| Ferritin max | 0.001 | <0.001 | 1.001 | 1.001–1.002 |
| IL6 max | 0.001 | <0.001 | 1.001 | 1.001–1.002 |
| B | p | HR | CI 95% | |
|---|---|---|---|---|
| Cardiomyopathy | 1.213 | <0.001 | 3.364 | 1.874–6.040 |
| CRP on admission | 0.004 | 0.005 | 1.004 | 1.001–1.008 |
| CRP max | 0.006 | 0.003 | 1.006 | 1.002–1.010 |
| IL6 max | 0.001 | <0.001 | 1.001 | 1.001–1.002 |
Disclaimer/Publisher’s Note: The statements, opinions and data contained in all publications are solely those of the individual author(s) and contributor(s) and not of MDPI and/or the editor(s). MDPI and/or the editor(s) disclaim responsibility for any injury to people or property resulting from any ideas, methods, instructions or products referred to in the content. |
© 2023 by the authors. Licensee MDPI, Basel, Switzerland. This article is an open access article distributed under the terms and conditions of the Creative Commons Attribution (CC BY) license (https://creativecommons.org/licenses/by/4.0/).
Share and Cite
Brkovic, V.; Nikolic, G.; Baralic, M.; Kravljaca, M.; Milinkovic, M.; Pavlovic, J.; Lausevic, M.; Radovic, M. A Study on Mortality Predictors in Hemodialysis Patients Infected with COVID-19: Impact of Vaccination Status. Vaccines 2024, 12, 2. https://doi.org/10.3390/vaccines12010002
Brkovic V, Nikolic G, Baralic M, Kravljaca M, Milinkovic M, Pavlovic J, Lausevic M, Radovic M. A Study on Mortality Predictors in Hemodialysis Patients Infected with COVID-19: Impact of Vaccination Status. Vaccines. 2024; 12(1):2. https://doi.org/10.3390/vaccines12010002
Chicago/Turabian StyleBrkovic, Voin, Gorana Nikolic, Marko Baralic, Milica Kravljaca, Marija Milinkovic, Jelena Pavlovic, Mirjana Lausevic, and Milan Radovic. 2024. "A Study on Mortality Predictors in Hemodialysis Patients Infected with COVID-19: Impact of Vaccination Status" Vaccines 12, no. 1: 2. https://doi.org/10.3390/vaccines12010002
APA StyleBrkovic, V., Nikolic, G., Baralic, M., Kravljaca, M., Milinkovic, M., Pavlovic, J., Lausevic, M., & Radovic, M. (2024). A Study on Mortality Predictors in Hemodialysis Patients Infected with COVID-19: Impact of Vaccination Status. Vaccines, 12(1), 2. https://doi.org/10.3390/vaccines12010002

