Freshwater Mussels Show Elevated Viral Richness and Intensity during a Mortality Event
Abstract
1. Introduction
2. Materials and Methods
2.1. Experimental Design and Field Sampling
2.2. Viral Nucleic Acid Extraction and Sequencing
2.3. Sequence Analysis and Phylogenetics
2.4. Statistical Analysis
3. Results
3.1. Virus Characterization
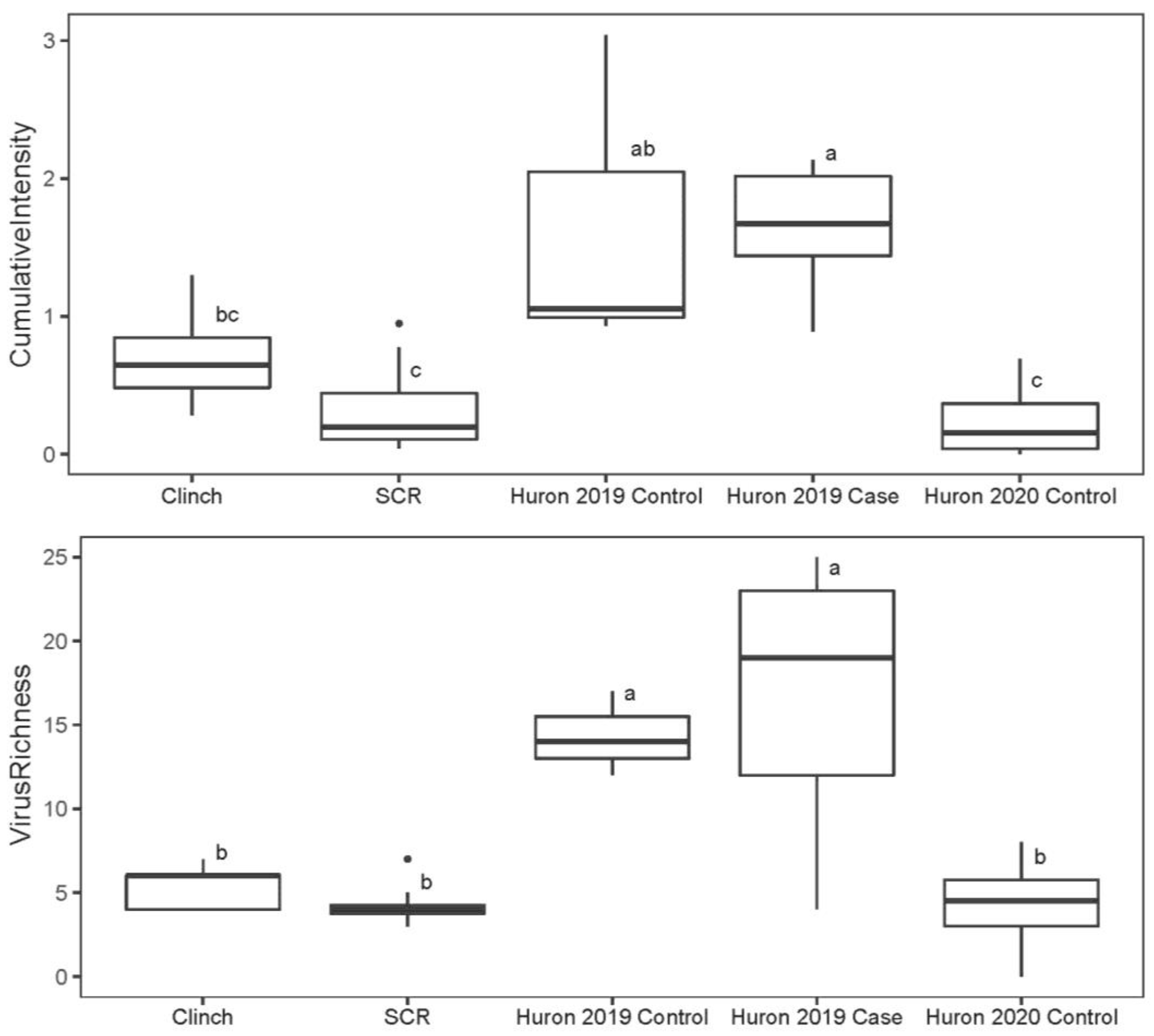
3.2. Virus Richness, Read Depths, and Intensity Statistics
3.3. Comparisons of Virome Composition within and between Populations
3.4. Correlations among Read Depths of Different Viruses
4. Discussion
Supplementary Materials
Author Contributions
Funding
Institutional Review Board Statement
Informed Consent Statement
Data Availability Statement
Acknowledgments
Conflicts of Interest
References
- Haag, W.R.; Williams, J.D. Biodiversity on the Brink: An Assessment of Conservation Strategies for North American Freshwater Mussels. Hydrobiologia 2014, 735, 45–60. [Google Scholar] [CrossRef]
- Williams, J.D.; Warren, M.L.; Cummings, K.S.; Harris, J.L.; Neves, R.J. Conservation Status of Freshwater Mussels of The United States and Canada. Fisheries 1993, 18, 6–22. [Google Scholar] [CrossRef]
- Bogan, A.E. Global Diversity of Freshwater Mussels (Mollusca, Bivalvia) in Freshwater. Hydrobiologia 2008, 595, 139–147. [Google Scholar] [CrossRef]
- Atkinson, C.L.; Vaughn, C.C.; Forshay, K.J.; Cooper, J.T. Aggregated Filter-Feeding Consumers Alter Nutrient Limitation: Consequences for Ecosystem and Community Dynamics. Ecology 2013, 94, 1359–1369. [Google Scholar] [CrossRef]
- Vaughn, C.C.; Nichols, S.J.; Spooner, D.E. Community and Foodweb Ecology of Freshwater Mussels. J. N. Am. Benthol. Soc. 2008, 27, 409–423. [Google Scholar] [CrossRef]
- Vaughn, C.C.; Hakenkamp, C.C. The Functional Role of Burrowing Bivalves in Freshwater Ecosystems. Freshw. Biol. 2001, 46, 1431–1446. [Google Scholar] [CrossRef]
- Strayer, D.L. Effects of Alien Species on Freshwater Mollusks in North America. J. N. Am. Benthol. Soc. 1999, 18, 74–98. [Google Scholar] [CrossRef]
- Haag, W.R. North American Freshwater Mussels: Natural History, Ecology, and Conservation; Cambridge University Press: Cambridge, UK, 2012; ISBN 9781139048217. [Google Scholar]
- Downing, J.A.; Van Meter, P.; Woolnough, D.A. Suspects and Evidence: A Review of the Causes of Extirpation and Decline in Freshwater Mussels. Anim. Biodivers. Conserv. 2010, 33, 151–185. [Google Scholar] [CrossRef]
- Haag, W.R. Reassessing Enigmatic Mussel Declines in the United States. Freshw. Mollusk Biol. Conserv. 2019, 22, 43. [Google Scholar] [CrossRef]
- Haag, W.R.; Culp, J.J.; McGregor, M.A.; Bringolf, R.; Stoeckel, J.A. Growth and Survival of Juvenile Freshwater Mussels in Streams: Implications for Understanding Enigmatic Mussel Declines. Freshw. Sci. 2019, 38, 753–770. [Google Scholar] [CrossRef]
- Patterson, M.A.; Mair, R.A.; Eckert, N.L.; Gatenby, C.M.; Brady, T.; Jones, J.W.; Simmons, B.R.; Devers, J.L. Freshwater Mussel Propagation for Restoration; Cambridge University Press: Cambridge, UK, 2018; ISBN 9781108551120. [Google Scholar]
- Richard, J.C.; Leis, E.; Dunn, C.D.; Agbalog, R.; Waller, D.; Knowles, S.; Putnam, J.; Goldberg, T.L. Mass Mortality in Freshwater Mussels (Actinonaias Pectorosa) in the Clinch River, USA, Linked to a Novel Densovirus. Sci. Rep. 2020, 10, 14498. [Google Scholar] [CrossRef]
- Grizzle, J.M.; Brunner, C.J. Infectious Diseases of Freshwater Mussels and Other Freshwater Bivalve Mollusks. Rev. Fish. Sci. 2009, 17, 425–467. [Google Scholar] [CrossRef]
- Zhang, Z.; Din, S.; Xu, Y.; Wang, J. Studies on the Mussel Hyriopsis Cumingii Plague I. A New Viral Infectious Disease. Acta Microbiol. Sin. 1986, 26, 308–312, (in Chinese with English Summary). [Google Scholar]
- Rosani, U.; Shapiro, M.; Venier, P.; Allam, B. A Needle in a Haystack: Tracing Bivalve-Associated Viruses in High-Throughput Transcriptomic Data. Viruses 2019, 11, 205. [Google Scholar] [CrossRef]
- Toohey-Kurth, K.; Sibley, S.D.; Goldberg, T.L. Metagenomic Assessment of Adventitious Viruses in Commercial Bovine Sera. Biologicals 2017, 47, 64–68. [Google Scholar] [CrossRef] [PubMed]
- Nurk, S.; Meleshko, D.; Korobeynikov, A.; Pevzner, P.A. MetaSPAdes: A New Versatile Metagenomic Assembler. Genome Res. 2017, 27, 824–834. [Google Scholar] [CrossRef]
- Naccache, S.N.; Hackett, J.; Delwart, E.L.; Chiu, C.Y. Concerns over the Origin of NIH-CQV, a Novel Virus Discovered in Chinese Patients with Seronegative Hepatitis. Proc. Natl. Acad. Sci. USA 2014, 111, 2014. [Google Scholar] [CrossRef] [PubMed]
- Asplund, M.; Kjartansdóttir, K.R.; Mollerup, S.; Vinner, L.; Fridholm, H.; Herrera, J.A.R.; Friis-Nielsen, J.; Hansen, T.A.; Jensen, R.H.; Nielsen, I.B.; et al. Contaminating Viral Sequences in High-Throughput Sequencing Viromics: A Linkage Study of 700 Sequencing Libraries. Clin. Microbiol. Infect. 2019, 25, 1277–1285. [Google Scholar] [CrossRef]
- Abascal, F.; Zardoya, R.; Telford, M.J. TranslatorX: Multiple Alignment of Nucleotide Sequences Guided by Amino Acid Translations. Nucleic Acids Res. 2010, 38, W7–W13. [Google Scholar] [CrossRef]
- Löytynoja, A. Phylogeny-Aware Alignment with PRANK. In Multiple Sequence Alignment Methods; Russell, D., Ed.; Methods in Molecular Biology; Humana Press: Totowa, NJ, USA, 2014; Volume 1079, pp. 155–170. [Google Scholar]
- Talavera, G.; Castresana, J. Improvement of Phylogenies after Removing Divergent and Ambiguously Aligned Blocks from Protein Sequence Alignments. Syst. Biol. 2007, 56, 564–577. [Google Scholar] [CrossRef]
- Guindon, S.; Dufayard, J.-F.; Lefort, V.; Anisimova, M.; Hordijk, W.; Gascuel, O. New Algorithms and Methods to Estimate Maximum-Likelihood Phylogenies: Assessing the Performance of PhyML 3.0. Syst. Biol. 2010, 59, 307–321. [Google Scholar] [CrossRef]
- Tisza, M.J.; Belford, A.K.; Dominguez-Huerta, G.; Bolduc, B.; Buck, C.B. Cenote-Taker 2 Democratizes Virus Discovery and Sequence Annotation. Virus Evol. 2021, 7, veaa100. [Google Scholar] [CrossRef]
- Lu, S.; Wang, J.; Chitsaz, F.; Derbyshire, M.K.; Geer, R.C.; Gonzales, N.R.; Gwadz, M.; Hurwitz, D.I.; Marchler, G.H.; Song, J.S.; et al. CDD/SPARCLE: The Conserved Domain Database in 2020. Nucleic Acids Res. 2020, 48, D265–D268. [Google Scholar] [CrossRef]
- Roux, S.; Emerson, J.B.; Eloe-Fadrosh, E.A.; Sullivan, M.B. Benchmarking Viromics: An in Silico Evaluation of Metagenome-Enabled Estimates of Viral Community Composition and Diversity. PeerJ 2017, 2017, e3817. [Google Scholar] [CrossRef]
- Liaw, A.; Wiener, M. Classification and Regression by RandomForest. R News 2002, 2, 18–22. [Google Scholar]
- R Core Team. R: A Language and Environment for Statistical Computing; R Foundation for Statistical Computing: Vienna, Austria, 2020. [Google Scholar]
- Harrell, F.E., Jr.; Dupont, C. Hmisc: Harrell Miscellaneous. 2022. Available online: https://rdrr.io/cran/Hmisc/ (accessed on 21 September 2022).
- Shi, M.; Lin, X.D.; Tian, J.H.; Chen, L.J.; Chen, X.; Li, C.X.; Qin, X.C.; Li, J.; Cao, J.P.; Eden, J.S.; et al. Redefining the Invertebrate RNA Virosphere. Nature 2016, 540, 539–543. [Google Scholar] [CrossRef] [PubMed]
- Caesar, L.; Cibulski, S.P.; Canal, C.W.; Blochtein, B.; Sattler, A.; Haag, K.L. The Virome of an Endangered Stingless Bee Suffering from Annual Mortality in Southern Brazil. J. Gen. Virol. 2019, 100, 1153–1164. [Google Scholar] [CrossRef] [PubMed]
- Zhao, L.; Rosario, K.; Breitbart, M.; Duffy, S. Eukaryotic Circular Rep-Encoding Single-Stranded DNA (CRESS DNA) Viruses: Ubiquitous Viruses with Small Genomes and a Diverse Host Range, 1st ed.; Elsevier Inc.: Amsterdam, The Netherlands, 2019; Volume 103, ISBN 9780128177228. [Google Scholar]
- Laffy, P.W.; Botté, E.S.; Wood-Charlson, E.M.; Weynberg, K.D.; Rattei, T.; Webster, N.S. Thermal Stress Modifies the Marine Sponge Virome. Environ. Microbiol. Rep. 2019, 11, 690–698. [Google Scholar] [CrossRef]
- Grasis, J.A.; Lachnit, T.; Anton-Erxleben, F.; Lim, Y.W.; Schmieder, R.; Fraune, S.; Franzenburg, S.; Insua, S.; Machado, G.M.; Haynes, M.; et al. Species-Specific Viromes in the Ancestral Holobiont Hydra. PLoS ONE 2014, 9, e109952. [Google Scholar] [CrossRef] [PubMed]
- Vega Thurber, R.L.; Barott, K.L.; Hall, D.; Liu, H.; Rodriguez-Mueller, B.; Desnues, C.; Edwards, R.A.; Haynes, M.; Angly, F.E.; Wegley, L.; et al. Metagenomic Analysis Indicates That Stressors Induce Production of Herpes-like Viruses in the Coral Porites Compressa. Proc. Natl. Acad. Sci. USA 2008, 105, 18413–18418. [Google Scholar] [CrossRef]
- Alfaro, A.C.; Nguyen, T.V.; Merien, F. The Complex Interactions of Ostreid Herpesvirus 1, Vibrio Bacteria, Environment and Host Factors in Mass Mortality Outbreaks of Crassostrea Gigas. Rev. Aquac. 2019, 11, 1148–1168. [Google Scholar] [CrossRef]
- Wendling, C.C.; Wegner, K.M. Relative Contribution of Reproductive Investment, Thermal Stress and Vibrio Infection to Summer Mortality Phenomena in Pacific Oysters. Aquaculture 2013, 412–413, 88–96. [Google Scholar] [CrossRef]




| Sample ID | Status | Date | River | Site |
|---|---|---|---|---|
| A26 | Control | 16 August 2018 | Clinch | WB |
| A45 | Control | 16 August 2018 | Clinch | KF |
| B16 | Control | 25 September 2018 | Clinch | SF |
| B29 | Control | 25 September 2018 | Clinch | SI |
| B48 | Control | 25 September 2018 | Clinch | WB |
| C21 | Control | 24 October 2018 | Clinch | SF |
| C26 | Control | 24 October 2018 | Clinch | SF |
| C49 | Control | 25 October 2018 | Clinch | SI |
| C79 | Control | 25 October 2018 | Clinch | KF |
| WM01 | Control | 21 August 2018 | St. Croix | Interstate |
| WM02 | Control | 21 August 2018 | St. Croix | Interstate |
| WM03 | Control | 21 August 2018 | St. Croix | Interstate |
| WM04 | Control | 21 August 2018 | St. Croix | Interstate |
| WM05 | Control | 21 August 2018 | St. Croix | Interstate |
| WM06 | Control | 21 August 2018 | St. Croix | Interstate |
| WM07 | Control | 21 August 2018 | St. Croix | Interstate |
| WM08 | Control | 21 August 2018 | St. Croix | Interstate |
| 19016 | Case | 11 September 2019 | Huron | Flatrock |
| 19017 | Case | 11 September 2019 | Huron | Flatrock |
| 19018 | Case | 11 September 2019 | Huron | Flatrock |
| 19020 | Case | 11 September 2019 | Huron | Flatrock |
| 19021 | Case | 11 September 2019 | Huron | Flatrock |
| 19004 | Control | 11 September 2019 | Huron | Flatrock |
| 19007 | Control | 11 September 2019 | Huron | Flatrock |
| 19012 | Control | 11 September 2019 | Huron | Flatrock |
| 20004 | Control | 23 September 2020 | Huron | Flatrock |
| 20014 | Control | 23 September 2020 | Huron | Flatrock |
| 20017 | Control | 23 September 2020 | Huron | Flatrock |
| 20020 | Control | 23 September 2020 | Huron | Flatrock |
Publisher’s Note: MDPI stays neutral with regard to jurisdictional claims in published maps and institutional affiliations. |
© 2022 by the authors. Licensee MDPI, Basel, Switzerland. This article is an open access article distributed under the terms and conditions of the Creative Commons Attribution (CC BY) license (https://creativecommons.org/licenses/by/4.0/).
Share and Cite
Richard, J.C.; Leis, E.M.; Dunn, C.D.; Harris, C.; Agbalog, R.E.; Campbell, L.J.; Knowles, S.; Waller, D.L.; Putnam, J.G.; Goldberg, T.L. Freshwater Mussels Show Elevated Viral Richness and Intensity during a Mortality Event. Viruses 2022, 14, 2603. https://doi.org/10.3390/v14122603
Richard JC, Leis EM, Dunn CD, Harris C, Agbalog RE, Campbell LJ, Knowles S, Waller DL, Putnam JG, Goldberg TL. Freshwater Mussels Show Elevated Viral Richness and Intensity during a Mortality Event. Viruses. 2022; 14(12):2603. https://doi.org/10.3390/v14122603
Chicago/Turabian StyleRichard, Jordan C., Eric M. Leis, Christopher D. Dunn, Cleyo Harris, Rose E. Agbalog, Lewis J. Campbell, Susan Knowles, Diane L. Waller, Joel G. Putnam, and Tony L. Goldberg. 2022. "Freshwater Mussels Show Elevated Viral Richness and Intensity during a Mortality Event" Viruses 14, no. 12: 2603. https://doi.org/10.3390/v14122603
APA StyleRichard, J. C., Leis, E. M., Dunn, C. D., Harris, C., Agbalog, R. E., Campbell, L. J., Knowles, S., Waller, D. L., Putnam, J. G., & Goldberg, T. L. (2022). Freshwater Mussels Show Elevated Viral Richness and Intensity during a Mortality Event. Viruses, 14(12), 2603. https://doi.org/10.3390/v14122603

