Persulfate–Based Advanced Oxidation Process for Chlorpyrifos Degradation: Mechanism, Kinetics, and Toxicity Assessment
Abstract
1. Introduction
2. Computational Methods
2.1. Mechanism Calculations
2.2. Kinetics Calculations
2.3. Eco-Toxicity Assessment
3. Results and Discussion
3.1. CPY Structure Analysis
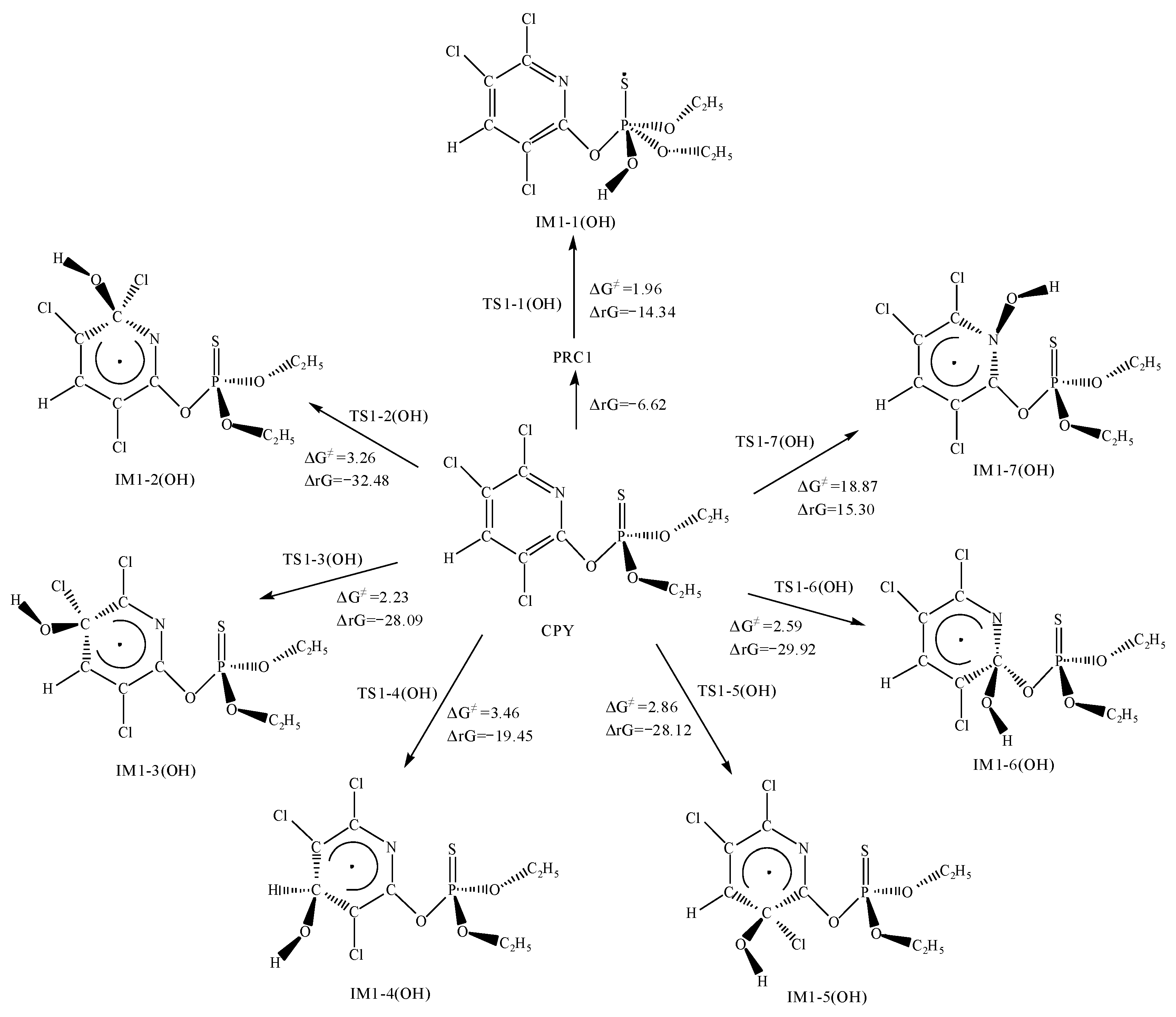
3.2. The Reaction of CPY with the ·OH
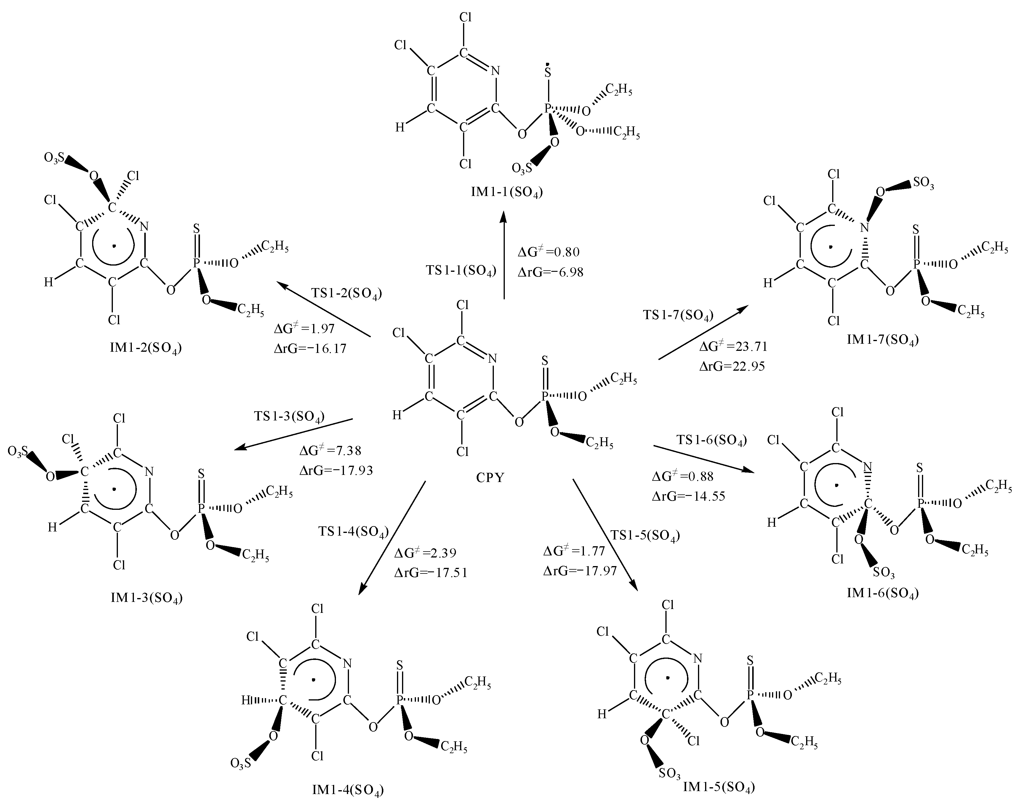
3.3. The Reaction between CPY and the SO4•−
3.4. Rate Constants Calculation
3.5. Subsequent Reactions
3.5.1. Subsequent Reactions of IM1-1(OH)
3.5.2. Subsequent Reactions of IM1-8, IM1-9, and IM1-13
3.6. Toxicity Assessment
4. Conclusions
Supplementary Materials
Author Contributions
Funding
Institutional Review Board Statement
Informed Consent Statement
Data Availability Statement
Conflicts of Interest
References
- Wołejko, E.; Łozowicka, B.; Jabłońska-Trypuć, A.; Pietruszyńska, M.; Wydro, U. Chlorpyrifos occurrence and toxicological risk assessment: A review. Int. J. Environ. Res. Public. Health 2022, 19, 12209. [Google Scholar] [CrossRef] [PubMed]
- Bose, S.; Kumar, P.S.; Dai-Viet, N.V. A review on the microbial degradation of chlorpyrifos and its metabolite TCP. Chemosphere 2021, 283, 131447. [Google Scholar] [CrossRef] [PubMed]
- Sud, D.; Kumar, J.; Kaur, P.; Bansal, P. Toxicity, natural and induced degradation of chlorpyrifos. J. Chil. Chem. Soc. 2020, 65, 4807–4816. [Google Scholar] [CrossRef]
- Huang, X.; Cui, H.; Duan, W. Ecotoxicity of chlorpyrifos to aquatic organisms: A review. Ecotox. Environ. Safe. 2020, 200, 110731. [Google Scholar] [CrossRef] [PubMed]
- Gül, A. Investigation of acute toxicity of chlorpyrifos-methyl on Nile tilapia (Oreochromis niloticus L.) larvae. Chemosphere 2005, 59, 163–166. [Google Scholar] [CrossRef] [PubMed]
- Foong, S.Y.; Ma, N.L.; Lam, S.S.; Peng, W.; Low, F.; Lee, B.H.K.; Alstrup, A.K.O.; Sonne, C. A recent global review of hazardous chlorpyrifos pesticide in fruit and vegetables: Prevalence, remediation and actions needed. J. Hazard. Mater. 2020, 400, 123006. [Google Scholar] [CrossRef] [PubMed]
- Mackay, D.; Giesy, J.P.; Solomon, K.R. Fate in the Environment and Long-Range Atmospheric Transport of the Organophosphorus Insecticide, Chlorpyrifos and Its Oxon. Rev. Environ. Contam. Toxicol. 2014, 231, 35–76. [Google Scholar]
- Sumon, K.A.; Rashid, H.; Peeters, E.T.; Bosma, R.H.; Van den Brink, P.J. Environmental monitoring and risk assessment of organophosphate pesticides in aquatic ecosystems of north-west Bangladesh. Chemosphere 2018, 206, 92–100. [Google Scholar] [CrossRef]
- Stalin, A.; Suganthi, P.; Mathivani, S.; Paray, B.A.; Al-Sadoon, M.K.; Gokula, V.; Musthafa, M.S. Impact of chlorpyrifos on behavior and histopathological indices in different tissues of freshwater fish Channa punctatus (Bloch). Environ. Sci. Pollut. Control Ser. 2019, 26, 17623–17631. [Google Scholar] [CrossRef]
- Bootharaju, M.S.; Pradeep, T. Understanding the Degradation Pathway of the Pesticide, Chlorpyrifos by Noble Metal Nanoparticles. Langmuir 2012, 28, 2671–2679. [Google Scholar] [CrossRef]
- Perry, J.; Cotton, J.; Rahman, M.A.; Brumby, S. Organophosphate Exposure and the Chronic Effects on Farmers: A Narrative Review. Rural. Remote Health 2020, 20, 4508. [Google Scholar] [CrossRef] [PubMed]
- Hazarika, J.; Ganguly, M.; Borgohain, G.; Sarma, S.; Bhuyan, P.; Mahanta, R. Disruption of androgen receptor signaling by chlorpyrifos (CPF) and its environmental degradation products: A structural insight. J. Biomol. Struct. Dyn. 2022, 40, 6027–6038. [Google Scholar] [CrossRef] [PubMed]
- Jiang, F.; Wu, W.Q.; Zhu, Z.W.; Zhu, S.S.; Wang, H.X.; Zhang, L.; Fan, Z.Y.; Chen, Y.Q. Structure identification and toxicity evaluation of one newly-discovered dechlorinated photoproducts of chlorpyrifos. Chemosphere 2022, 301, 134822. [Google Scholar] [CrossRef] [PubMed]
- Aswathi, A.; Pandey, A.; Sukumaran, R.K. Rapid degradation of the organophosphate pesticide–Chlorpyrifos by a novel strain of Pseudomonas nitroreducens AR-3. Bioresour. Technol. 2019, 292, 122025. [Google Scholar] [CrossRef] [PubMed]
- Xu, Z.; Chen, X.Y.; Jin, X.; Hu, S.H.; Lan, Y.; Xi, W.H.; Han, W.; Cheng, C. Study on the effective removal of chlorpyrifos from water by dielectric barrier discharge (DBD) plasma: The influence of reactive species and different water components. Chem. Eng. J. 2023, 473, 144755. [Google Scholar] [CrossRef]
- Esfandian, H.; Cherati, M.R.; Khatirian, M. Electrochemical behavior and photocatalytic performance of chlorpyrifos pesticide decontamination using Ni-doped ZnO-TiO2 nanocomposite. Inorg. Chem. Commun. 2024, 159, 111750. [Google Scholar] [CrossRef]
- Jacob, M.M.; Ponnuchamy, M.; Kapoor, A.; Sivaraman, P. Bagasse based biochar for the adsorptive removal of chlorpyrifos from contaminated water. J. Environ. Chem. Engin. 2020, 8, 103904. [Google Scholar] [CrossRef]
- Dolatabadi, M.; Naidu, H.; Ahmadzadeh, S. Adsorption characteristics in the removal of chlorpyrifos from groundwater using magnetic graphene oxide and carboxy methyl cellulose composite. Sep. Purif. Technol. 2022, 300, 121919. [Google Scholar] [CrossRef]
- Hadibarata, T.; Kristanti, R.A.; Bilal, M.; Yilmaz, M.; Sathishkumar, P. Biodegradation mechanism of chlorpyrifos by halophilic bacterium Hortaea sp. B15. Chemosphere 2023, 312, 137260. [Google Scholar] [CrossRef] [PubMed]
- Liu, C.; Zhao, C.Y.; Wang, L.J.; Du, X.M.; Zhu, L.S.; Wang, J.; Kim, Y.M.; Wang, J.H. Biodegradation mechanism of chlorpyrifos by Bacillus sp. H27: Degradation enzymes, products, pathways and whole genome sequencing analysis. Environ. Res. 2023, 239, 117315. [Google Scholar] [CrossRef] [PubMed]
- Teymourinia, H.; Alshamsi, H.A.; Al-Nayili, A.; Gholami, M. Photocatalytic degradation of chlorpyrifos using Ag nanoparticles-doped g-C3N5 decorated with dendritic CdS. Chemosphere 2023, 344, 140325. [Google Scholar] [CrossRef]
- Zhang, Y.; Zhou, B.; Chen, H.; Yuan, R. Heterogeneous photocatalytic oxidation for the removal of organophosphorus pollutants from aqueous solutions: A review. Sci. Total Environ. 2023, 856, 159048. [Google Scholar] [CrossRef]
- Sheikhi, S.; Dehghanzadeh, R.; Aslani, H. Advanced oxidation processes for chlorpyrifos removal from aqueous solution: A systematic review. J. Environ. Health Sci. 2021, 19, 1249–1262. [Google Scholar] [CrossRef] [PubMed]
- Gandhi, K.; Lari, S.; Tripathi, D.; Kanade, G. Advanced oxidation processes for the treatment of chlorpyrifos, dimethoate and phorate inaqueous solution. J. Water Reuse Desal. 2016, 6, 195–203. [Google Scholar] [CrossRef]
- Shah, N.S.; Iqbal, J.; Sayed, M.; Ghfar, A.A.; Khan, J.A.; Khan, Z.U.H.; Murtaza, B.; Boczkaj, G.; Jamil, F. Enhanced solar light photocatalytic performance of Fe-ZnO in the presence of H2O2, S2O82−, and HSO5− for degradation of chlorpyrifos from agricultural wastes: Toxicities investigation. Chemosphere 2022, 287, 132331. [Google Scholar] [CrossRef] [PubMed]
- Xie, H.L.; Xu, W.G. Enhanced activation of persulfate by meso-CoFe2O4/SiO2 with ultrasonic treatment for degradation of chlorpyrifos. ACS Omega 2019, 4, 17177–17185. [Google Scholar] [CrossRef] [PubMed]
- Shang, X.; Liu, X.T.; Ren, W.B.; Huang, J.; Zhou, Z.; Lin, C.; He, M.C.; Ouyang, W. Comparison of peroxodisulfate and peroxymonosulfate activated by microwave for degradation of chlorpyrifos in soil: Effects of microwaves, reaction mechanisms and degradation products. Sep. Purif. Technol. 2023, 306, 122682. [Google Scholar] [CrossRef]
- Zhang, C.X.; Xu, Y.X.; Liu, W.Y.; Zhou, H.Y.; Zhang, N.N.; Fang, Z.H.; Gao, J.P.; Sun, X.A.; Feng, D.; Sun, X.M. New insights into the degradation mechanism and risk assessment of HFPO-DA by advanced oxidation processes based on activated persulfate in aqueous solutions. Ecotoxicol. Environ. Saf. 2023, 263, 115298. [Google Scholar] [CrossRef]
- Quintano, M.M.; Rodrigues, G.L.; Chagas, M.A.; Rocha, W.R. Revisiting the tropospheric OH-initiated unimolecular decomposition of chlorpyrifos and chlorpyrifos-methyl: A theoretical perspective. J. Phys. Chem. A 2020, 124, 4280–4289. [Google Scholar] [CrossRef]
- Zhou, Q.; Sun, X.Y.; Gao, R.; Zhang, Q.Z.; Wang, W.X. Mechanism study on OH-initiated atmospheric degradation of the organophosphorus pesticide chlorpyrifos. J. Mol. Struc-Theochem. 2010, 952, 8–15. [Google Scholar] [CrossRef]
- Zhao, H.; Wang, S.J.; Zhang, Y.J.; Lu, C.G.; Tang, Y.Z. Degradation of mevinphos and monocrotophos by OH radicals in the environment: A computational investigation on mechanism, kinetic, and ecotoxicity. J. Hazard. Mater. 2023, 445, 130478. [Google Scholar] [CrossRef]
- Cao, X.S.; Zhu, F.P.; Zhang, C.X.; Sun, X.M. Degradation of UV-P mediated by hydroxyl radical, sulfate radical and singlet oxygen in aquatic solution: DFT and experimental studies. Environ. Pollut. 2022, 315, 120416. [Google Scholar] [CrossRef]
- Xu, Y.X.; Zhang, C.X.; Wang, Z.; Chen, B.; Sun, X.M.; Wang, S.G.; Tian, H.F. Novel insights into the dehalogenation mechanism and ecotoxicity assessment of 6:2 Cl-PFESA from density functional theory calculations. Emerg. Contam. 2024, 10, 100301. [Google Scholar] [CrossRef]
- Frisch, M.J.; Trucks, G.W.; Schlegel, H.B.; Scuseria, G.E.; Robb, M.A.; Cheeseman, J.R.; Scalmani, G.; Barone, V.; Petersson, G.A.; Nakatsuji, H.; et al. Gaussian 16 Rev. A.03; Gaussian: Wallingford, CT, USA, 2016. [Google Scholar]
- Zhao, Y.; Truhlar, D.G. The M06 suite of density functionals for main group thermochemistry, thermochemical kinetics, noncovalent interactions, excited states, and transition elements: Two new functionals and systematic testing of four M06- class functionals and 12 other functionals. Theor. Chem. Acc. 2008, 120, 215–241. [Google Scholar]
- Maeda, S.; Harabuchi, Y.; Ono, Y.; Taketsugu, T.; Morokuma, K. Intrinsic reaction coordinate: Calculation, bifurcation, and automated search. Int. J. Quantum Chem. 2015, 115, 258–269. [Google Scholar] [CrossRef]
- Marenich, A.V.; Cramer, C.J.; Truhlar, D.G. Universal solvation model based on solute electron density and on a continuum model of the solvent defined by the bulk dielectric constant and atomic surface tensions. J. Phys. Chem. B. 2009, 113, 6378–6396. [Google Scholar] [CrossRef]
- Xu, M.M.; Yan, S.D.; Sun, S.M.; Ni, Z.R.; Wu, W.Z.; Sun, J.Y. N, N-diethyl-m-toluamide (DEET) degradation by •OH and SO4•−-assisted AOPs in wastewater treatment: Theoretical studies into mechanisms, kinetics and toxicity. J. Environ. Chem. Eng. 2022, 10, 108435. [Google Scholar] [CrossRef]
- Sun, J.; Chu, R.; Khan, Z.U.H. A Theoretical study on the degradation mechanism, kinetics, and ecotoxicity of metronidazole (MNZ) in •OH- and SO4•−-assisted advanced oxidation processes. Toxics 2023, 11, 796. [Google Scholar] [CrossRef]
- Canneaux, S.; Bohr, F.; Henon, E. KiSThelP: A program to predict thermodynamic properties and rate constants from quantum chemistry results. J. Comput. Chem. 2014, 35, 82–93. [Google Scholar] [CrossRef] [PubMed]
- Laidler, K.J. Theories of Chemical Reaction Rates; McGraw-Hill Book Company: New York, NY, USA, 1969. [Google Scholar]
- Shiroudi, A.; Deleuze, M.S. Theoretical study of the oxidation mechanisms of naphthalene initiated by hydroxyl radicals: The H abstraction pathway. J. Phys. Chem. A 2014, 118, 4593–4610. [Google Scholar] [CrossRef] [PubMed]
- U.S. EPA. Ecological Structure—Activity Relationships Program (ECOSAR) Operation Manual, v2.2; U.S. EPA: Washington, DC, USA, 2022. [Google Scholar]
- U.S. EPA. Toxicity Estimation Software Tool, version 5.1.1; U.S. EPA: Washington, DC, USA, 2022. [Google Scholar]
- Baughman, R.G.; Jorgenson, S.K.; Jacobson, R.A. The crystal and molecular structure of organophosphorus insecticides. 10. Chlorpyrifos. J. Agric. Food Chem. 1978, 26, 576–590. [Google Scholar] [CrossRef]
- Ding, X.Y.; Song, X.; Chen, X.; Ding, D.; Xu, C.; Chen, H. Degradation and mechanism of hexafluoropropylene oxide dimer acid by thermally activated persulfate in aqueous solutions. Chemosphere 2022, 286, 131720. [Google Scholar] [CrossRef]
- Shah, N.S.; Khan, J.A.; Sayed, M.; Khan, Z.U.H.; Iqbal, J.; Imran, M.; Murtaza, B.; Zakir, A.; Polychronopoulou, K. Nano zerovalent zinc catalyzed peroxymonosulfate based advanced oxidation technologies for treatment of chlorpyrifos in aqueous solution: A semi-pilot scale study. J. Clean. Prod. 2020, 246, 119032. [Google Scholar] [CrossRef]
- Liu, H.X.; Chen, J.; Wu, N.N.; Xu, X.X.; Qi, Y.M.; Jiang, L.J.; Wang, X.H.; Wang, Z.Y. Oxidative degradation of chlorpyrifos using ferrate (VI): Kinetics and reaction mechanism. Ecotox. Environ. Safe. 2019, 170, 259–266. [Google Scholar] [CrossRef]
- Rao, J.V. Brain acetylcholinesterase activity as a potential biomarker for the rapid assessment of chlorpyrifos toxicity in a euryhaline fish, Oreochromis mossambicus. Environ. Bioindic. 2008, 3, 11–22. [Google Scholar]
- Zalizniak, L.; Nugegoda, D. Effect of sublethal concentrations of chlorpyrifos on three successive generations of Daphnia carinata. Ecotox. Environ. Saf. 2006, 64, 207–214. [Google Scholar] [CrossRef] [PubMed]
- DeLorenzo, M.E.; Serrano, L. Individual and mixture toxicity of three pesticides; atrazine, chlorpyrifos, and chlorothalonil to the marine phytoplankton species Dunaliella tertiolecta. J. Environ. Sci. Health B 2003, 38, 529–538. [Google Scholar] [CrossRef] [PubMed]
- United Nations Economic Commission for Europe (UNECE). Globally Harmonized System of Classification and Labelling of Chemicals (GHS); UN: New York, NY, USA; Geneva, Switzerland, 2011. [Google Scholar]
- He, M.J.; Luo, X.J.; Chen, M.Y.; Sun, Y.X.; Chen, S.J.; Mai, B.X. Bioaccumulation of polybrominated diphenyl ethers and decabromodiphenyl ethane in fish from a river system in a highly industrialized area, South China. Sci. Total Environ. 2012, 419, 109–115. [Google Scholar] [CrossRef] [PubMed]








| Reaction | k298K (M−1 ·s−1 ) | Γ(%) | Reaction | k298K (M−1 ·s−1) | Γ(%) |
|---|---|---|---|---|---|
| CPY+·OH→vdW→IM1-1 | 3.11 × 108 | 20.12 | CPY+SO4•−→IM1-1(SO4) | 3.89 × 101 | 0 |
| CPY+·OH→IM1-2(OH) | 2.03 × 103 | 0 | CPY+SO4•−→IM1-2(SO4) | 9.62 × 102 | 0 |
| CPY+·OH→IM1-3(OH) | 5.93 × 102 | 0 | CPY+SO4•−→IM1-3(SO4) | 1.61 × 10−1 | 0 |
| CPY+·OH→IM1-4(OH) | 5.71 × 103 | 0 | CPY+SO4•−→IM1-4(SO4) | 3.30 | 0 |
| CPY+·OH→IM1-5(OH) | 8.12 × 103 | 0 | CPY+SO4•−→IM1-5(SO4) | 8.02 × 102 | 0 |
| CPY+·OH→IM1-6(OH) | 2.60 × 103 | 0 | CPY+SO4•−→IM1-6(SO4) | 7.58 | 0 |
| CPY+·OH→IM1-7(OH) | 2.30 × 10−8 | 0 | CPY+SO4•−→IM1-7(SO4) | 1.03 × 10−7 | 0 |
| 3.11 × 108 | 20.12 | 1.81 × 103 | 0 | ||
| CPY+·OH→IM1-8+H2O | 1.51 × 108 | 9.78 | CPY+SO4•−→IM1-8+HSO4·- | 1.76 × 108 | 11.36 |
| CPY+·OH→IM1-9+H2O | 7.80 × 107 | 5.05 | CPY+SO4•−→IM1-9+HSO4·- | 7.02 × 108 | 45.43 |
| CPY+·OH→IM1-10+H2O | 1.08 × 107 | 0.70 | CPY+SO4•−→IM1-10+HSO4·- | 2.94 | 0 |
| CPY+·OH→IM1-11+H2O | 3.52 × 105 | 0.02 | CPY+SO4•−→IM1-11+HSO4·- | 8.77 × 105 | 0.06 |
| CPY+·OH→IM1-12+H2O | 4.47 × 106 | 0.29 | CPY+SO4•−→IM1-12+HSO4·- | 3.35 × 106 | 0.22 |
| CPY+·OH→IM1-13+H2O | 6.78 × 107 | 4.39 | CPY+SO4•−→IM1-13+HSO4·- | 2.71 × 107 | 1.75 |
| CPY+·OH→IM1-14+H2O | 3.33 × 106 | 0.21 | CPY+SO4•−→IM1-14+HSO4·- | 4.52 × 106 | 0.29 |
| CPY+·OH→IM1-15+H2O | 3.04 × 106 | 0.20 | CPY+SO4•−→IM1-15+HSO4·- | 8.36 × 103 | 0 |
| CPY+·OH→IM1-16+H2O | 2.96 × 105 | 0.02 | CPY+SO4•−→IM1-16+HSO4·- | 2.03 × 103 | 0 |
| CPY+·OH→IM1-17+H2O | 1.68 × 106 | 0.11 | CPY+SO4•−→IM1-17+HSO4·- | 8.14 × 103 | 0 |
| CPY+·OH→IM1-18+H2O | 2.67 × 10−3 | 0 | CPY+SO4•−→IM1-18+HSO4·- | 1.75 × 10−4 | 0 |
| 3.21 × 108 | 20.77 | 9.14 × 108 | 59.11 |
Disclaimer/Publisher’s Note: The statements, opinions and data contained in all publications are solely those of the individual author(s) and contributor(s) and not of MDPI and/or the editor(s). MDPI and/or the editor(s) disclaim responsibility for any injury to people or property resulting from any ideas, methods, instructions or products referred to in the content. |
© 2024 by the authors. Licensee MDPI, Basel, Switzerland. This article is an open access article distributed under the terms and conditions of the Creative Commons Attribution (CC BY) license (https://creativecommons.org/licenses/by/4.0/).
Share and Cite
Xu, Y.; Zhang, C.; Zou, H.; Chen, G.; Sun, X.; Wang, S.; Tian, H. Persulfate–Based Advanced Oxidation Process for Chlorpyrifos Degradation: Mechanism, Kinetics, and Toxicity Assessment. Toxics 2024, 12, 207. https://doi.org/10.3390/toxics12030207
Xu Y, Zhang C, Zou H, Chen G, Sun X, Wang S, Tian H. Persulfate–Based Advanced Oxidation Process for Chlorpyrifos Degradation: Mechanism, Kinetics, and Toxicity Assessment. Toxics. 2024; 12(3):207. https://doi.org/10.3390/toxics12030207
Chicago/Turabian StyleXu, Youxin, Chenxi Zhang, Haobing Zou, Guangrong Chen, Xiaomin Sun, Shuguang Wang, and Huifang Tian. 2024. "Persulfate–Based Advanced Oxidation Process for Chlorpyrifos Degradation: Mechanism, Kinetics, and Toxicity Assessment" Toxics 12, no. 3: 207. https://doi.org/10.3390/toxics12030207
APA StyleXu, Y., Zhang, C., Zou, H., Chen, G., Sun, X., Wang, S., & Tian, H. (2024). Persulfate–Based Advanced Oxidation Process for Chlorpyrifos Degradation: Mechanism, Kinetics, and Toxicity Assessment. Toxics, 12(3), 207. https://doi.org/10.3390/toxics12030207
