Characterization of the Response of Magnetron Sputtered In2O3−x Sensors to NO2
Abstract
1. Introduction
Sensing Mechanism
2. Sensing Film Deposition and Sensor Preparation
2.1. Sensor Preparation
2.2. Film Deposition
3. Sensing Material Characterization
4. Gas Sensing Properties Characterization
4.1. Measurement Setup
4.2. Experimental Results and Discussion
4.2.1. Baseline Resistance
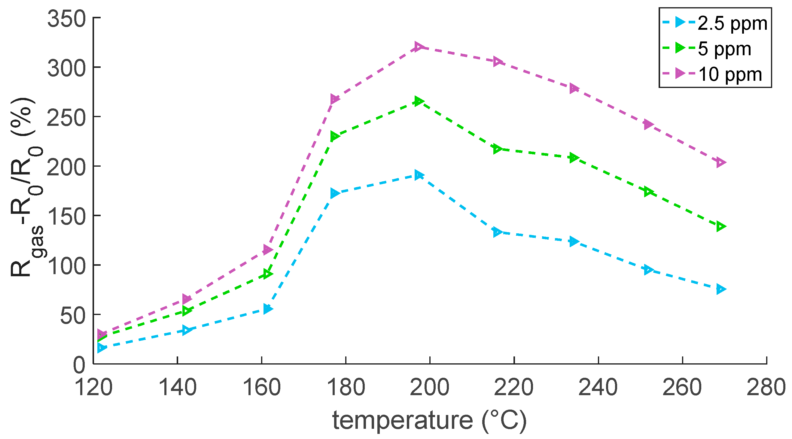
4.2.2. Response to NO2
5. Conclusions
Author Contributions
Funding
Institutional Review Board Statement
Informed Consent Statement
Data Availability Statement
Conflicts of Interest
References
- Zandalinas, S.I.; Fritschi, F.B.; Mittler, R. Global Warming, Climate Change, and Environmental Pollution: Recipe for a Multifactorial Stress Combination Disaster. Trends Plant Sci. 2021, 26, 588–599. [Google Scholar] [CrossRef] [PubMed]
- Dhall, S.; Mehta, B.R.; Tyagi, A.K.; Sood, K. A review on environmental gas sensors: Materials and technologies. Sens. Int. 2021, 2, 100116. [Google Scholar] [CrossRef]
- Raju, P.; Li, Q. Review—Semiconductor Materials and Devices for Gas Sensors. J. Electrochem. Soc. 2022, 169, 057518. [Google Scholar] [CrossRef]
- Dey, A. Semiconductor metal oxide gas sensors: A review. Mater. Sci. Eng. B 2018, 229, 206–217. [Google Scholar] [CrossRef]
- Mirzaei, A.; Lee, J.-H.; Majhi, S.M.; Weber, M.; Bechelany, M.; Kim, H.W.; Kim, S.S. Resistive gas sensors based on metal-oxide nanowires. J. Appl. Phys. 2019, 126, 241102. [Google Scholar] [CrossRef]
- Nikolic, M.V.; Milovanovic, V.; Vasiljevic, Z.Z.; Stamenkovic, Z. Semiconductor Gas Sensors: Materials, Technology, Design, and Application. Sensors 2020, 20, 6694. [Google Scholar] [CrossRef]
- Abbatangelo, M.; Núñez-Carmona, E.; Sberveglieri, V.; Zappa, D.; Comini, E.; Sberveglieri, G. An Array of MOX Sensors and ANNs to Assess Grated Parmigiano Reggiano Cheese Packs’ Compliance with CFPR Guidelines. Biosensors 2020, 10, 47. [Google Scholar] [CrossRef]
- Essl, C.; Seifert, L.; Rabe, M.; Fuchs, A. Early Detection of Failing Automotive Batteries Using Gas Sensors. Batteries 2021, 7, 25. [Google Scholar] [CrossRef]
- Han, D.; Zhai, L.; Gu, F.; Wang, Z. Highly sensitive NO2 gas sensor of ppb-level detection based on In2O3−x nanobricks at low temperature. Sens. Actuators B Chem. 2018, 262, 655–663. [Google Scholar] [CrossRef]
- Cappelli, I.; Fort, A.; Mugnaini, M.; Panzardi, E.; Pozzebon, A.; Tani, M.; Vignoli, V. Battery-Less HF RFID Sensor Tag for Soil Moisture Measurements. IEEE Trans. Instrum. Meas. 2021, 70, 9249048. [Google Scholar] [CrossRef]
- Tan, X.Q.; Liu, J.Y.; Niu, J.R.; Liu, J.Y.; Tian, J.Y. Recent Progress in Magnetron Sputtering Technology Used on Fabrics. Materials 2018, 11, 1953. [Google Scholar] [CrossRef]
- Jian, L.Y.; Lee, H.S.; Lee, C.H. Surface Morphology-Dependent Sensitivity of Thin-Film-Structured Indium Oxide-Based NO2 Gas Sensors. J. Electron. Mater. 2019, 48, 2391–2397. [Google Scholar] [CrossRef]
- Correia-Pires, J.M.; Teixeira, V.; Almeida, J.B. Deposition of SnO2-Based Thin Films By Reactive DC Magnetron Sputtering for Gas Sensing Applications. In Nanostructured Materials and Coatings for Biomedical and Sensor Applications, NATO Science Series, 102; Gogotsi, Y.G., Uvarova, I.V., Eds.; Springer: Dordrecht, The Netherlands, 2003. [Google Scholar] [CrossRef]
- Simonenko, N.P.; Fisenko, N.A.; Fedorov, F.S.; Simonenko, T.L.; Mokrushin, A.S.; Simonenko, E.P.; Korotcenkov, G.; Sysoev, V.V.; Sevastyanov, V.G.; Kuznetsov, N.T. Printing Technologies as an Emerging Approach in Gas Sensors: Survey of Literature. Sensors 2022, 22, 3473. [Google Scholar] [CrossRef]
- Zhu, C.; Lv, T.; Yang, H.; Li, X.; Wang, X.; Guo, X.; Xie, C.; Zeng, D. Influence of magnetron sputtering process on the stability of WO3-X thin film gas sensor. Mater. Today Commun. 2023, 34, 105116. [Google Scholar] [CrossRef]
- Rydosz, A.; Brudnik, A.; Staszek, K. Metal Oxide Thin Films Prepared by Magnetron Sputtering Technology for Volatile Organic Compound Detection in the Microwave Frequency Range. Materials 2019, 12, 877. [Google Scholar] [CrossRef]
- Nafarizal, N.; Jia, L.; Sahdan, M.; Khairul, A.M.; Veon, M.D.S.A.; Zakaria, A.; Ahmad, F. Influence of Oxygen Flow Rate on Sputter Deposition Rate and SEM Image of Copper Oxide Thin Films. Appl. Mech. Mater. 2015, 773–774, 711–715. [Google Scholar] [CrossRef]
- Yuan, Z.; Yang, F.; Meng, F. Research Progress on Coating of Sensitive Materials for Micro-Hotplate Gas Sensor. Micromachines 2022, 13, 491. [Google Scholar] [CrossRef] [PubMed]
- Zhang, C.; Luo, Y.; Xu, J.; Debliquy, M. Room temperature conductive type metal oxide semiconductor gas sensors for NO2 detection. Sens. Actuators A Phys. 2019, 289, 118–133. [Google Scholar] [CrossRef]
- Li, Q.; Zeng, W.; Li, Y. Metal oxide gas sensors for detecting NO2 in industrial exhaust gas: Recent developments. Sens. Actuators B Chem. 2022, 359, 131579. [Google Scholar] [CrossRef]
- Kumar, S.; Pavelyev, V.; Mishra, P.; Tripathi, N.; Sharma, P.; Calle, F. A review on 2D transition metal di-chalcogenides and metal oxide nanostructures based NO2 gas sensors. Mater. Sci. Semicond. Process. 2020, 107, 104865. [Google Scholar] [CrossRef]
- Mbaye, D.; Sankar, S.; Ni, P.; Florea, I.; Alpuim, P.; Capasso, A.; Yassar, A.; Bouanis, F.Z. Solution-Processed Functionalized Graphene Film Prepared by Vacuum Filtration for Flexible NO2 Sensors. Sensors 2023, 4, 1831. [Google Scholar]
- Al-Hashem, M.; Akbar, S.; Morris, P. Role of Oxygen Vacancies in Nanostructured Metal-Oxide Gas Sensors: A Review. Sens. Actuators B Chem. 2019, 301, 126845. [Google Scholar] [CrossRef]
- Dong, C.; Zhao, R.; Yao, L.; Ran, Y.; Zhang, X.; Wang, Y.E. A review on WO3 based gas sensors: Morphology control and enhanced sensing properties. J. Alloys Compd. 2020, 820, 153194. [Google Scholar] [CrossRef]
- Maksimova, N.; Malinovskaya, T.; Zhek, V.; Sergeychenko, N.; Chernikov, E.; Lapin, I.; Svetlichnyi, V. Hydrogen Sensors Based on In2O3-X Thin Films with Bimetallic Pt/Pd Catalysts on the Surface and Tin and Dysprosium Impurities in the Bulk. Chemosensors 2023, 11, 23. [Google Scholar] [CrossRef]
- Addabbo, T.; Bruzzi, M.; Fort, A.; Mugnaini, M.; Vignoli, V. Gas Sensing Properties of In2O3 Nano-Films Obtained by Low Temperature Pulsed Electron Deposition Technique on Alumina Substrates. Sensors 2018, 18, 4410. [Google Scholar] [CrossRef]
- Elouali, L.G.; Bloor, R.; Binions, I.P.; Parkin, C.J.; Carmalt, J.A.; Darr, J.A. Gas Sensing with Nano-Indium Oxides (In2O3) Prepared via Continuous Hydrothermal Flow Synthesis. Langmuir 2012, 28, 1879–1885. [Google Scholar] [CrossRef]
- Ali, M.; Wang, C.Y.; Röhlig, C.-C.; Cimalla, V.; Stauden, T.; Ambacher, O. NOx sensing properties of In2O3 thin films grown by MOCVD. Sens. Actuators B Chem. 2008, 129, 467–472. [Google Scholar] [CrossRef]
- Williams, G.; Coles, G.S.V. The influence of deposition parameters on the performance of tin dioxide NO2 sensors prepared by radio-frequency magnetron sputtering. Sens. Actuators B Chem. 1995, 25, 469–473. [Google Scholar] [CrossRef]
- Karthikeyan, S.; Hill, A.E.; Pilkington, R.D. The deposition of low temperature sputtered In2O3−x films using pulsed d.c magnetron sputtering from a powder target. Thin Solid Film. 2014, 550, 140–144. [Google Scholar] [CrossRef]
- Bierwagen, O. Indium oxide—A transparent, wide-band gap semiconductor for (opto)electronic applications. Semicond. Sci. Technol. 2015, 30, 024001. [Google Scholar] [CrossRef]
- Papadogianni, A.; Nagata, T.; Bierwagen, O. The electrical conductivity of cubic (In1−xGax)2O3-X films (x ≤ 0.18): Native bulk point defects, Sn-doping, and the surface electron accumulation layer. Jpn. J. Appl. Phys. 2022, 61, 045502. [Google Scholar] [CrossRef]
- Fort, A.; Panzardi, E.; Vignoli, V.; Hjiri, M.; Aida, M.S.; Mugnaini, M.; Addabbo, T. CO3O4/Al-ZnO Nano-composites: Gas Sensing Properties. Sensors 2019, 19, 760. [Google Scholar] [CrossRef] [PubMed]
- Fort, A.; Rocchi, S.; Serrano-Santos, M.B.; Spinicci, R.; Vignoli, V. Surface State Model for Conductance Responses During Thermal-Modulation of SnO2 Based Thick Film Sensors: Part I—Model Derivation. IEEE Trans. Instrum. Meas. 2006, 55, 2102–2106. [Google Scholar] [CrossRef]
- Fort, A.; Mugnaini, M.; Rocchi, S.; Serrano-Santos, M.B.; Spinicci, R.; Vignoli, V. Surface State Model for Conductance Responses during Thermal-Modulation of SnO2 Based Thick Film Sensors: Part II—Experimental Verification. IEEE Trans. Instrum. Meas. 2006, 55, 2107–2117. [Google Scholar] [CrossRef]
- Wang, H.; Ma, J.; Zhang, J.; Feng, Y.; Vijjapu, M.T.; Yuvaraja, S.; Surya, S.G.; Salama, K.N.; Dong, C.; Wang, Y. Gas sensing materials roadmap. J. Phys. Condens. Matter. 2021, 33, 303001. [Google Scholar] [CrossRef]
- Barsan, N.; Weimar, U. Conduction model of metal oxide gas sensors. J. Electroceramics 2001, 7, 143–167. [Google Scholar] [CrossRef]
- Comini, E. Metal oxide nano-crystals for gas sensing. Anal. Chim. Acta 2006, 568, 28–40. [Google Scholar] [CrossRef]
- Shah, S.; Han, S.; Hussain, S.; Liu, G.; Shi, T.; Shaheen, A.; Qiao, G. NO2 gas sensing responses of In2O3−x nanoparticles decorated on GO nanosheets. Ceram. Int. 2022, 48, 12291–12298. [Google Scholar] [CrossRef]
- Zhou, S.; Ji, J.; Qiu, T.; Wang, L.; Ni, W.; Li, S.; Yan, W.; Ling, M.; Liang, C. Boosting selective H2 sensing of ZnO derived from ZIF-8 by rGO functionalization. Inorg. Chem. Front. 2022, 9, 599–606. [Google Scholar] [CrossRef]
- Yan, W.; Chen, Y.; Zeng, X.; Wu, G.; Jiang, W.; Wei, D.; Ling, M.; Ng, K.W.; Qin, Y. Ultrasensitive ethanol sensor based on segregated ZnO-In2O3 porous nanosheets. Appl. Surf. Sci. 2021, 535, 147697. [Google Scholar] [CrossRef]
- Fort, A.; Panzardi, E.; Al-Hamry, A.; Vignoli, V.; Mugnaini, M.; Addabbo, T.; Kanoun, O. Highly Sensitive Detection of NO2 by Au and TiO2 Nanoparticles Decorated SWCNTs Sensors. Sensors 2020, 20, 12. [Google Scholar] [CrossRef] [PubMed]
- Addabbo, T.; Bertocci, F.; Fort, A.; Mugnaini, M.; Vignoli, V.; Shahin, L.; Rocchi, S. Versatile measurement system for the characterization of gas sensing materials. In Proceedings of the IEEE International Instrumentation and Measurement Technology Conference (I2MTC), Minneapolis, MN, USA, 6–9 May 2013; pp. 976–980. [Google Scholar]
- Suchea, M.; Katsarakis, N.; Christoulakis, S.; Nikolopoulou, S.; Kiriakidis, G. Low temperature indium oxide gas sensors. Sens. Actuators B Chem. 2006, 118, 135–141. [Google Scholar] [CrossRef]
- Naseem, S.; Rauf, I.A.; Hussain, K.; Malik, N.A. Effects of oxygen partial pressure on the properties of reactively evaporated thin films of indium oxide. Thin Solid Film. 1988, 156, 161–171. [Google Scholar] [CrossRef]
- Gagaoudakis, E.; Bender, M.; Douloufakis, E.; Katsarakis, N.; Natsakou, E.; Cimalla, V.; Kiriakidis, G. The influence of deposition parameters on room temperature ozone sensing properties of InOx films. Sens. Actuators B Chem. 2001, 80, 155–161. [Google Scholar] [CrossRef]
- Magari, Y.; Kataoka, T.; Yeh, W.; Furuta, M. High-mobility hydrogenated polycrystalline In2O3 (In2O3:H) thin-film transistors. Nat. Commun. 2022, 13, 1078. [Google Scholar] [CrossRef]
- Fort, A.; Mugnaini, M.; Panzardi, E.; Grasso, A.L.; Al Hamry, A.; Adiraju, A.; Vignoli, V.; Kanoun, O. Modeling the conductivity response to NO2 gas of films based on MWCNT networks. Sensors 2021, 21, 4723. [Google Scholar] [CrossRef]
- Wilson, R.L.; Simion, C.E.; Blackman, C.S.; Carmalt, C.J.; Stanoiu, A.; Di Maggio, F.; Covington, J.A. The Effect of Film Thickness on the Gas Sensing Properties of Ultra-Thin TiO2 Films Deposited by Atomic Layer Deposition. Sensors 2018, 18, 735. [Google Scholar] [CrossRef]
- Sureshkumar, N.; Dutta, A. Environmental Gas Sensors Based on Nanostructured Thin Films. In Multilayer Thin Films—Versatile Applications for Materials Engineering; IntechOpen: London, UK, 2020. [Google Scholar]
- Zhao, Q.; Zhou, W.; Zhang, M.; Wang, Y.; Duan, Z.; Tan, C.; Liu, B.; Ouyang, F.; Yuan, Z.; Tai, H.; et al. Edge-Enriched Mo2TiC2Tx/MoS2 Heterostructure with Coupling Interface for Selective NO2 Monitoring. Adv. Funct. Mater. 2022, 32, 2270220. [Google Scholar] [CrossRef]
- Yan, W.; Harley-Trochimczyk, A.; Long, H.; Chan, L.; Pham, T.; Hu, M.; Qin, Y.; Zettl, A.; Carraro, C.; Worsley, M.A.; et al. Conductometric gas sensing behavior of WS2 aerogel. FlatChem 2017, 5, 1–8. [Google Scholar] [CrossRef]
- Afzal, A.M.; Iqbal, M.Z.; Dastgeer, G.; Nazir, G.; Mumtaz, S.; Usman, M.; Eom, J. WS2/GeSe/WS2 Bipolar Transistor-Based Chemical Sensor with Fast Response and Recovery Times. ACS Appl. Mater. Interfaces 2020, 12, 39524–39532. [Google Scholar] [CrossRef]
- Prajapati, C.S.; Bhat, N. Ppb level detection of NO2 using a WO3 thin film based sensor: Material optimization, device fabrication and packaging. RSC Adv. 2018, 8, 6590–6599. [Google Scholar] [CrossRef] [PubMed]
- Najafi-Ashtiani, H. The effect of different surface morphologies on WO3 and WO3-Au gas-sensors performance. J. Mater. Sci. Mater. Electron. 2019, 30, 12224–12233. [Google Scholar] [CrossRef]
- Fomekong, R.L.; Saruhan, B. Influence of Humidity on NO2-Sensing and Selectivity of Spray-CVD Grown ZnO Thin Film above 400 °C. Chemosensor 2019, 7, 42. [Google Scholar] [CrossRef]
- Sanchez-Martin, S.; Olaizola, S.M.; Castano, E.; Mandayo, G.G.; Ayerdi, I. Low temperature NO2 gas sensing with ZnO nanostructured by laser interference lithography. RSC Adv. 2021, 11, 34144–34151. [Google Scholar] [CrossRef]
- Mezher, S.J.; Dawood, M.O.; Beddai, A.A. NiO nanostructure by RF sputtering for gas sensing applications. Mater. Technol. 2020, 35, 60–68. [Google Scholar] [CrossRef]
- Nanda, A.; Singh, V.; Jha, R.K.; Sinha, J.; Avasthi, S.; Bhat, N. Growth-temperature dependent unpassivated oxygen bonds determine the gas sensing abilities of chemical vapor deposition-grown CuO thin films. ACS Appl. Mater. Interfaces 2021, 13, 21936–21943. [Google Scholar] [CrossRef]
- Mangalam, K.S.; Jose, A.S.; Prajwal, K.; Chowdhury, P.; Barshilia, H.C. Sputter deposited p-NiO/n-SnO2 porous thin film heterojunction based NO2 sensor with high selectivity and fast response. Sens. Actuators B-Chem. 2020, 310, 127830. [Google Scholar]











| Concentration (ppm) | tres (min) | trec (min) |
|---|---|---|
| 10 ppm (Air carrier) | 1.45 | 1.84 |
| 5 ppm (Air carrier) | 1.68 | 1.88 |
| 2.5 ppm (Air carrier) | 1.82 | 2.03 |
| 10 ppm (N2 carrier) | 1.14 | 1.90 |
| 5 ppm (N2 carrier) | 1.29 | 1.98 |
| 2.5 ppm (N2 carrier) | 1.98 | 2.27 |
| Material | Technology | NO2 Concentration (ppm) | Operating Temperature (°C) | Response (%) | Response/ Recovery time | Reference |
|---|---|---|---|---|---|---|
| WO3 | Reactive ion magnetron sputtering | 3 | 157 | 650 | 200 s/- | [54] |
| WO3 | PVD | 5 | 130 | 6000 | 100 s/300 s | [55] |
| ZnO | 200 | 450 | 94 | 162 s/134 s | [56] | |
| ZnO | DC magnetron sputtering + laser lithography | 4 | 175 | 600 | -/- | [57] |
| NiO | RF magnetron sputtering | 350 | 150 | 82 | 90 s/120 s | [58] |
| CuO | CVD | 4.5 | 200 | 220 | 51 s/124 s | [59] |
| In2O3 | RF magnetron sputtering | 1 | 150 | 91 | 195 s/285 s | [12] |
| In2O3 | Pulsed electron deposition | 24 | 300 | 600 | ~180 s/~180 s | [26] |
| In2O3−x | RF magnetron sputtering | 10 | 200 | 320 | 90 s/110 s | This work |
| SnO2/NiO | DC magnetron sputtering | 10 | 200 | 144 | 37 s/98 s | [60] |
Disclaimer/Publisher’s Note: The statements, opinions and data contained in all publications are solely those of the individual author(s) and contributor(s) and not of MDPI and/or the editor(s). MDPI and/or the editor(s) disclaim responsibility for any injury to people or property resulting from any ideas, methods, instructions or products referred to in the content. |
© 2023 by the authors. Licensee MDPI, Basel, Switzerland. This article is an open access article distributed under the terms and conditions of the Creative Commons Attribution (CC BY) license (https://creativecommons.org/licenses/by/4.0/).
Share and Cite
Panzardi, E.; Calisi, N.; Enea, N.; Fort, A.; Mugnaini, M.; Vignoli, V.; Vinattieri, A.; Bruzzi, M. Characterization of the Response of Magnetron Sputtered In2O3−x Sensors to NO2. Sensors 2023, 23, 3265. https://doi.org/10.3390/s23063265
Panzardi E, Calisi N, Enea N, Fort A, Mugnaini M, Vignoli V, Vinattieri A, Bruzzi M. Characterization of the Response of Magnetron Sputtered In2O3−x Sensors to NO2. Sensors. 2023; 23(6):3265. https://doi.org/10.3390/s23063265
Chicago/Turabian StylePanzardi, Enza, Nicola Calisi, Nicoleta Enea, Ada Fort, Marco Mugnaini, Valerio Vignoli, Anna Vinattieri, and Mara Bruzzi. 2023. "Characterization of the Response of Magnetron Sputtered In2O3−x Sensors to NO2" Sensors 23, no. 6: 3265. https://doi.org/10.3390/s23063265
APA StylePanzardi, E., Calisi, N., Enea, N., Fort, A., Mugnaini, M., Vignoli, V., Vinattieri, A., & Bruzzi, M. (2023). Characterization of the Response of Magnetron Sputtered In2O3−x Sensors to NO2. Sensors, 23(6), 3265. https://doi.org/10.3390/s23063265

