Synthesis and Characterization of Copolymers with Fluorene-di-2-thienyl-2,1,3-benzothiadiazole Units for Application in Optoelectronic Devices
Abstract
1. Introduction
2. Experimental Section
2.1. Materials
2.2. D-A Copolymer Synthesis
2.2.1. Synthetic Procedures of Copolymers
Synthesis of PFDTBT Copolymer (48 h, Without Aliquat 336)—P1
Synthesis of PFDTBT Copolymer (24 h, with Aliquat 336)—P2 and P3
2.2.2. Characterization Methods
3. Result and Discussion
3.1. Molar Mass
3.2. Fourier Transform Infrared (FTIR) Spectroscopy
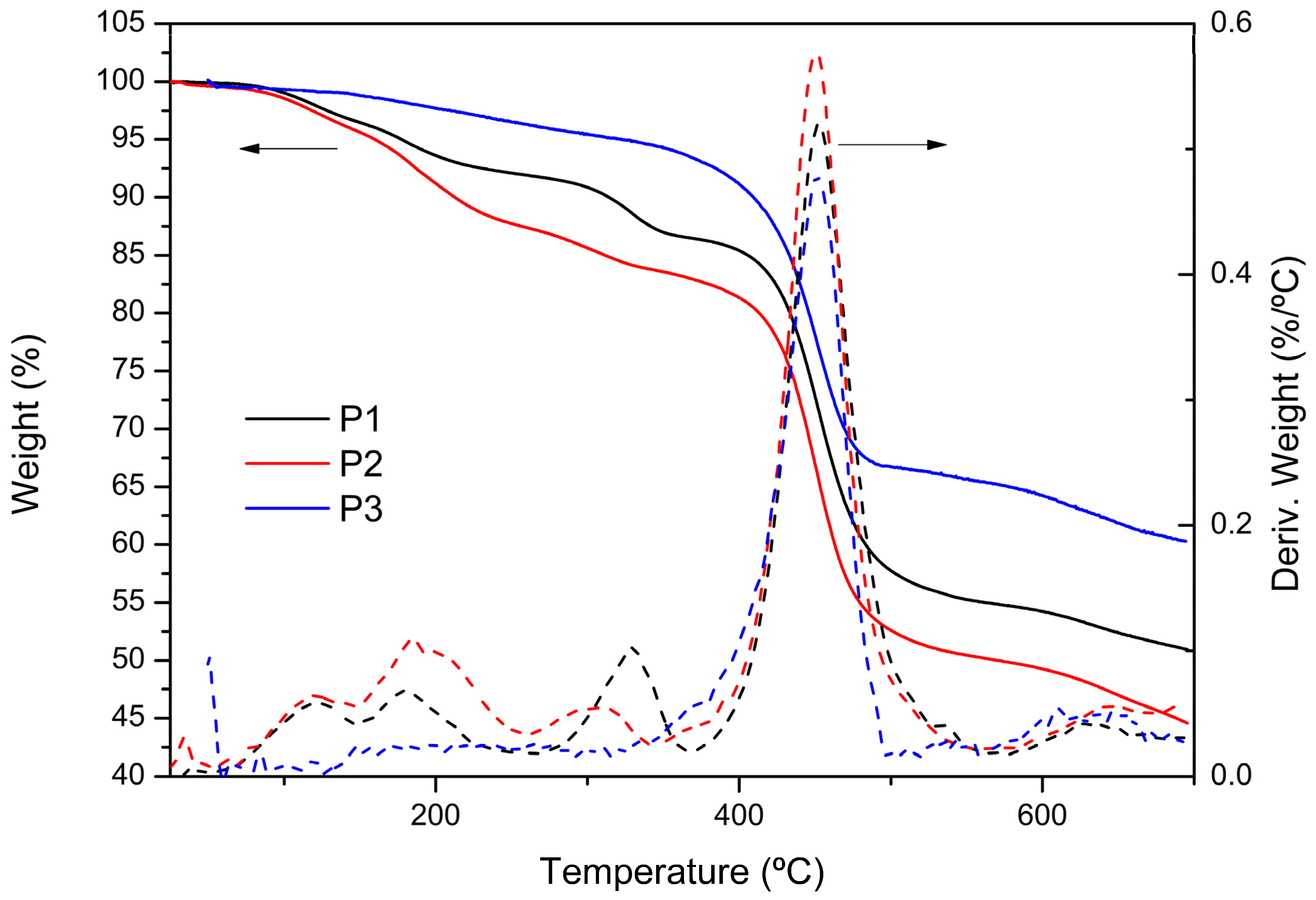
3.3. Thermal Properties and XRD Studies
3.4. Absorption and Photoluminescence Measurements
3.5. Electrochemical Properties
3.6. Morphology of Films
3.7. Application in Light-Emitting Devices
4. Conclusions
Supplementary Materials
Author Contributions
Funding
Institutional Review Board Statement
Data Availability Statement
Conflicts of Interest
References
- Pankow, R.M.; Thompson, B.C. The development of conjugated polymers as the cornerstone of organic electronics. Polymer 2020, 207, 122874. [Google Scholar] [CrossRef]
- Qiu, Z.; Hammer, B.A.G.; Müllen, K. Conjugated polymers—Problems and promises. Prog. Polym. Sci. 2020, 100, 101179. [Google Scholar] [CrossRef]
- Thorley, K.J. Estimation of Polaron Delocalization Lengths in Conjugated Organic Polymers. J. Phys. Chem. B 2023, 127, 5102–5114. [Google Scholar] [CrossRef]
- Zhao, X.; Qiu, X.; Xue, H.; Liu, S.; Liang, D.; Yan, C.; Chen, W.; Wang, Y.; Zhou, G. Conjugated and Non-conjugated Polymers Containing Two-Electron Redox Dihydrophenazines for Lithium-Organic Batteries. Angew. Chem. 2023, 135, e202216713. [Google Scholar] [CrossRef]
- Boivin, L.P.; Dupont, W.; Gendron, D.; Leclerc, M. Biosourced Monomers: Toward Sustainable Conjugated Polymers for Organic Electronics. Macromol. Chem. Phys. 2023, 224, 2200378. [Google Scholar] [CrossRef]
- Liu, C.; Shao, L.; Chen, S.; Hu, Z.; Cai, H.; Huang, F. Recent Progress in π-Conjugated Polymers for Organic Photovoltaics: Solar Cells and Photodetectors. Prog. Polym. Sci. 2023, 143, 101711. [Google Scholar] [CrossRef]
- Guan, C.; Xiao, C.; Liu, X.; Hu, Z.; Wang, R.; Wang, C.; Xie, C.; Cai, Z.; Li, W. Non-Covalent Interactions between Polyvinyl Chloride and Conjugated Polymers Enable Excellent Mechanical Properties and High Stability in Organic Solar Cells. Angew. Chem. 2023, 135, e202312357. [Google Scholar] [CrossRef]
- Abbel, R.; Schenning, A.P.H.J.; Meijer, E.W. Molecular weight optimum in the mesoscopic order of chiral fluorene (Co)polymer films. Macromolecules 2008, 41, 7497–7504. [Google Scholar] [CrossRef]
- Monkman, A.; Rothe, C.; King, S.; Dias, F. Polyfluorene photophysics. Adv. Polym. Sci. 2008, 212, 187–225. [Google Scholar] [CrossRef]
- Pei, Q.; Yang, Y. Efficient photoluminescence and electroluminescence from a soluble polyfluorene. J. Am. Chem. Soc. 1996, 118, 7416–7417. [Google Scholar] [CrossRef]
- Halls, J.J.M.; Arias, A.C.; MacKenzie, J.D.; Wu, W.; Inbasekaran, M.; Woo, E.P.; Friend, R.H. Photodiodes based on polyfluorene composites: Influence of morphology. Adv. Mater. 2000, 12, 498–502. [Google Scholar] [CrossRef]
- Guo, F.; Zhang, M.; Zhao, S.; Hu, L.; Xiao, B.; Ying, L.; Yang, R. Efficient polyfluorene derivatives for blue light-emitting diodes enabled by tuning conjugation length of bulky chromophores. Dye. Pigment. 2022, 199, 110059. [Google Scholar] [CrossRef]
- Mucur, S.P.; Kök, C.; Bilgili, H.; Canımkurbey, B.; Koyuncu, S. Conventional and inverted organic light emitting diodes based on bright green emmisive polyfluorene derivatives. Polymer 2018, 151, 101–107. [Google Scholar] [CrossRef]
- Peng, F.; Zhong, W.; He, J.; Zhong, Z.; Guo, T.; Ying, L. Effect of alkyl side chain length on the electroluminescent performance of blue light-emitting poly(fluorene-co-dibenzothiophene-S,S-dioxide). Dye. Pigment. 2021, 187, 109139. [Google Scholar] [CrossRef]
- Hu, J.; You, J.; Peng, C.; Qiu, S.; He, W.; Li, C.; Liu, X.; Mai, Y.; Guo, F. Polyfluorene Copolymers as High-Performance Hole-Transport Materials for Inverted Perovskite Solar Cells. Sol. RRL 2020, 4, 1900384. [Google Scholar] [CrossRef]
- Espinosa-Roa, A.; Cruz-Carrillo, M.d.J.; Ledesma-Juárez, A.; Montoya del Angel, A.; Romero-Borja, D.; Güizado-Rodríguez, M.; Rodríguez, M.; Galindo, R.; Maldonado, J.L.; Barba, V. Synthesis of polyfluorenes by oxidative polymerization, their characterization and implementation in organic solar cells. J. Mater. Sci. Mater. Electron. 2019, 30, 2716–2725. [Google Scholar] [CrossRef]
- Chen, N.; Lu, J.; Wang, D.; Zheng, C.; Wu, H.; Zhang, H.; Gao, D. A Double-Cable Poly(fluorene-alt-thiophene) with Bay-Substituted Perylenediimide Pendants: An Efficient Interfacial Material in Bulk-Heterojunction Solar Cells. Macromolecules 2018, 51, 80–90. [Google Scholar] [CrossRef]
- Zhang, Z.; Wu, Y.; Lin, N.; Yin, S.; Meng, Z. Monitoring Clinical-Pathological Grading of Hepatocellular Carcinoma Using MicroRNA-Guided Semiconducting Polymer Dots. ACS Appl. Mater. Interfaces 2022, 14, 7717–7730. [Google Scholar] [CrossRef]
- Christopherson, C.J.; Paisley, N.R.; Xiao, Z.; Algar, W.R.; Hudson, Z.M. Red-Emissive Cell-Penetrating Polymer Dots Exhibiting Thermally Activated Delayed Fluorescence for Cellular Imaging. J. Am. Chem. Soc. 2021, 143, 13342–13349. [Google Scholar] [CrossRef]
- Peng, J.; Li, X.; Liu, Y.; Zhuge, W.; Zhang, C.; Huang, Y. Photoelectrochemical sensor based on zinc phthalocyanine semiconducting polymer dots for ultrasensitive detection of dopamine. Sens. Actuators B Chem. 2022, 360, 131619. [Google Scholar] [CrossRef]
- Grobelny, A.; Lorenc, K.; Skowron, Ł.; Zapotoczny, S. Synthetic Route to Conjugated Donor–Acceptor Polymer Brushes via Alternating Copolymerization of Bifunctional Monomers. Polymers 2022, 14, 2735. [Google Scholar] [CrossRef]
- Ye, G.; Liu, J.; Qiu, X.; Stäter, S.; Qiu, L.; Liu, Y.; Yang, X.; Hildner, R.; Koster, L.J.A.; Chiechi, R.C. Controlling n-Type Molecular Doping via Regiochemistry and Polarity of Pendant Groups on Low Band Gap Donor-Acceptor Copolymers. Macromolecules 2021, 54, 3886–3896. [Google Scholar] [CrossRef]
- Lee, S.Y.; Yasuda, T.; Komiyama, H.; Lee, J.; Adachi, C. Thermally Activated Delayed Fluorescence Polymers for Efficient Solution-Processed Organic Light-Emitting Diodes. Adv. Mater. 2016, 28, 4019–4024. [Google Scholar] [CrossRef] [PubMed]
- Nobuyasu, R.S.; Ren, Z.; Griffiths, G.C.; Batsanov, A.S.; Data, P.; Yan, S.; Monkman, A.P.; Bryce, M.R.; Dias, F.B. Rational Design of TADF Polymers Using a Donor-Acceptor Monomer with Enhanced TADF Efficiency Induced by the Energy Alignment of Charge Transfer and Local Triplet Excited States. Adv. Opt. Mater. 2016, 4, 597–607. [Google Scholar] [CrossRef]
- Zhu, Y.; Zhang, Y.; Yao, B.; Wang, Y.; Zhang, Z.; Zhan, H.; Zhang, B.; Xie, Z.; Wang, Y.; Cheng, Y. Synthesis and Electroluminescence of a Conjugated Polymer with Thermally Activated Delayed Fluorescence. Macromolecules 2016, 49, 4373–4377. [Google Scholar] [CrossRef]
- Zhang, Y.; Du, H.; Yin, Y.; Dong, Y.; Zhao, J.; Xu, Z. Synthesis and characterization of soluble donor-acceptor type copolymers based on benzotriazole, quinoxaline and benzene units with multicolor electrochromism. Org. Electron. 2020, 77, 105514. [Google Scholar] [CrossRef]
- Perez, L.A.; Zalar, P.; Ying, L.; Schmidt, K.; Toney, M.F.; Nguyen, T.Q.; Bazan, G.C.; Kramer, E.J. Effect of backbone regioregularity on the structure and orientation of a donor-acceptor semiconducting copolymer. Macromolecules 2014, 47, 1403–1410. [Google Scholar] [CrossRef]
- Ying, L.; Hsu, B.B.Y.; Zhan, H.; Welch, G.C.; Zalar, P.; Perez, L.A.; Kramer, E.J.; Nguyen, T.Q.; Heeger, A.J.; Wong, W.Y.; et al. Regioregular pyridal[2,1,3]thiadiazole π-conjugated copolymers. J. Am. Chem. Soc. 2011, 133, 18538–18541. [Google Scholar] [CrossRef]
- Arumugam, S.; Li, Y.; Pearce, J.E.; Court, K.L.; Jackman, E.H.; Ward, O.J.; Tudor, J.; Harrowven, D.C.; Beeby, S.P. Synthesis and characterization of UV organic light-emitting electrochemical cells (OLECs) using phenanthrene fluorene derivatives for flexible applications. Org. Electron. 2024, 130, 107064. [Google Scholar] [CrossRef]
- Li, B.; Zou, X.; Li, Q.; Sang, H.; Mu, Y.; Wang, J.; Pei, J.; Yang, C.; Li, L.; Wan, X. Alternating copolymers of thiophene-flanked thiazoloisoindigo and thiophene-flanked benzothiadiazole for high-performance ambipolar organic field-effect transistors. Org. Electron. 2023, 113, 106708. [Google Scholar] [CrossRef]
- Valkeneers, K.; Vandewal, K.; Maes, W. Benzothiadiazole-based push-pull copolymers—Balancing synthetic complexity against organic solar cell efficiency. Org. Electron. 2022, 111, 106667. [Google Scholar] [CrossRef]
- Zhang, Y.; Song, J.; Qu, J.; Qian, P.C.; Wong, W.Y. Recent progress of electronic materials based on 2,1,3-benzothiadiazole and its derivatives: Synthesis and their application in organic light-emitting diodes. Sci. China Chem. 2021, 64, 341–357. [Google Scholar] [CrossRef]
- Cimrová, V.; Babičová, P.; Guesmi, M.; Výprachtický, D. Donor-Acceptor Copolymers with 9-(2-Ethylhexyl)carbazole or Dibenzothiophene-5,5-dioxide Donor Units and 5,6-Difluorobenzo[c][1,2,5]thiadiazole Acceptor Units for Photonics. Nanomaterials 2023, 13, 2939. [Google Scholar] [CrossRef] [PubMed]
- El-Shehawy, A.A.; Abdu, M.E.; El-Hendawy, M.M.; El-Khouly, M.; Sherif, M.H.; Moustafa, H.Y. Synthesis, photophysical, and theoretical studies on π-conjugated copolymers based on benzothiadiazole and cyanopyridine acceptor moieties along with other π-bridge units. J. Phys. Org. Chem. 2021, 34, e4158. [Google Scholar] [CrossRef]
- Yu, Z.; Yu, Y.; Jiang, J.; Qin, L.; Hu, D. Fluoro substitution effect on 2,1,3-benzothiadiazole-based hybridized local and charge transfer state fluorophores for high-performance organic light-emitting diodes. Dye. Pigment. 2023, 213, 111184. [Google Scholar] [CrossRef]
- Bedi, A.; Senanayak, S.P.; Das, S.; Narayan, K.S.; Zade, S.S. Cyclopenta[c]thiophene oligomers based solution processable D-A copolymers and their application as FET materials. Polym. Chem. 2012, 3, 1453–1460. [Google Scholar] [CrossRef]
- Zhang, M.; Tsao, H.N.; Pisula, W.; Yang, C.; Mishra, A.K.; Müllen, K. Field-effect transistors based on a benzothiadiazole-cyclopentadithiophene copolymer. J. Am. Chem. Soc. 2007, 129, 3472–3473. [Google Scholar] [CrossRef]
- Ye, S.; Lotocki, V.; Xu, H.; Seferos, D.S. Group 16 conjugated polymers based on furan, thiophene, selenophene, and tellurophene. Chem. Soc. Rev. 2022, 51, 6442–6474. [Google Scholar] [CrossRef] [PubMed]
- Xue, Z.; Chen, S.; Gao, N.; Xue, Y.; Lu, B.; Watson, O.A.; Zang, L.; Xu, J. Structural Design and Applications of Stereoregular Fused Thiophenes and Their Oligomers and Polymers. Polym. Rev. 2020, 60, 318–358. [Google Scholar] [CrossRef]
- de Souza, A.G.N.; da Silva, Y.B.; Rodrigues, R.R.; Menandro, A.S.; Péres, L.O. Heat-resistant luminescent films: A thermal study of fluorene/thiophene copolymer-elastomer blends. Macromol. Res. 2024, 32, 757–766. [Google Scholar] [CrossRef]
- Perepichka, I.F.; Perepichka, D.F.; Meng, H.; Wudl, F. Light-emitting polythiophenes. Adv. Mater. 2005, 17, 2281–2305. [Google Scholar] [CrossRef]
- Wu, F.; Chen, S.; Chen, L.; Chen, Y. Tuning joint sequence for donor-acceptor polymers based on fluorinated benzothiadiazole with thiophene/furan bridecakes. Polymer 2015, 78, 154–160. [Google Scholar] [CrossRef]
- Wong, X.L.; Sarjadi, M.S. Synthesis of 4,7-Di(2-thienyl)-2,1,3-benzothiadiazole via Direct Arylation. J. Phys. Conf. Ser. 2019, 1358, 012006. [Google Scholar] [CrossRef]
- Elnagdy, H.M.F. 4,7-di-(2-thienyl)-2,1,3- benzothiadiazole DTBT as active core for synthesizing small molecules to optoelectronic applications: A review. Dye. Pigment. 2024, 229, 112251. [Google Scholar] [CrossRef]
- Kim, H.; Lee, H.; Jeong, Y.; Park, J.U.; Seo, D.; Heo, H.; Lee, D.; Ahn, Y.; Lee, Y. Donor-acceptor polymers with a regioregularly incorporated thieno[3,4-b]thiophene segment as a π-bridge for organic photovoltaic devices. Synth. Met. 2016, 211, 75–83. [Google Scholar] [CrossRef]
- Li, W.; You, W. CHAPTER 15. Donor–Acceptor Alternating Copolymers. In Conjugated Polymer: A Practical Guide to Synthesis; Reynold, J.R., Müllen, K., Masada, T., Eds.; Royal Society of Chemistry: Cambridge, UK, 2013; pp. 319–342. ISBN 9781849739771. [Google Scholar]
- Pedroso Silva Santos, B.; Candido, L.; Furtado, J.G.d.M.; Ribeiro, A.d.C.; Valaski, R.; Marques, M.d.F.V. Random and block conjugated polymers: A comparative study of properties. J. Macromol. Sci. Part A Pure Appl. Chem. 2020, 57, 363–378. [Google Scholar] [CrossRef]
- Guo, L.; Xu, B.; Chen, H.; Tang, Y. Photoswitchable Semiconducting Polymer Dots with Photosensitizer Molecule and Photochromic Molecule Loading for Photodynamic Cancer Therapy. In Enhanced Photodynamic Therapy; Li, B., Lilge, L., Eds.; World Scientific: Singapore, 2024; pp. 208–230. ISBN 9789811293733. [Google Scholar]
- Lee, J.W.; Bae, S.; Jo, W.H. Synthesis of 6H-benzo[c]chromene as a new electron-rich building block of conjugated alternating copolymers and its application to polymer solar cells. J. Mater. Chem. A 2014, 2, 14146–14153. [Google Scholar] [CrossRef]
- Lee, W.Y.; Cheng, K.F.; Wang, T.F.; Chen, W.C.; Tsai, F.Y. Photovoltaic properties of low-band-gap fluorene-based donor-acceptor copolymers. Thin Solid Films 2010, 518, 2119–2123. [Google Scholar] [CrossRef]
- Lee, W.Y.; Cheng, K.F.; Wang, T.F.; Chueh, C.C.; Chen, W.C.; Tuan, C.S.; Lin, J.L. Effects of acceptors on the electronic and optoelectronic properties of fluorene-based donor-acceptor-donor copolymers. Macromol. Chem. Phys. 2007, 208, 1919–1927. [Google Scholar] [CrossRef]
- Jiang, Z.; Yang, W.; Huang, Z.; Xu, J. Preparation and photovoltaic property of a new polyfluorene derivative/ZnO nanoparticles hybrid composites. Synth. Met. 2009, 159, 2320–2322. [Google Scholar] [CrossRef]
- Zhang, Y.; Shen, W.; He, R.; Liu, X.; Li, M. Molecular design of copolymers based on polyfluorene derivatives for Bulk-heterojunction-type solar cells. J. Mater. Sci. 2013, 48, 1205–1213. [Google Scholar] [CrossRef]
- Wang, L.; Fan, B.; Wei, D.; Yang, Z.; Zheng, B.; Yin, P.; Huo, L. Efficient carbon-based CsPbI 2 Br perovskite solar cells using bifunctional polymer modification. Sustain. Energy Fuels 2021, 5, 3867–3875. [Google Scholar] [CrossRef]
- Husni, P.; Shin, Y.; Kim, J.C.; Kang, K.; Lee, E.S.; Youn, Y.S.; Rusdiana, T.; Oh, K.T. Photo-based nanomedicines using polymeric systems in the field of cancer imaging and therapy. Biomedicines 2020, 8, 618. [Google Scholar] [CrossRef] [PubMed]
- Mikkola, J.P.; Virtanen, P.; Sjöholm, R. Aliquat 336®—A versatile and affordable cation source for an entirely new family of hydrophobic ionic liquids. Green Chem. 2006, 8, 250–255. [Google Scholar] [CrossRef]
- Zhou, W.; Wen, Y.; Ma, L.; Liu, Y.; Zhan, X. Conjugated polymers of rylene diimide and phenothiazine for n-channel organic field-effect transistors. Macromolecules 2012, 45, 4115–4121. [Google Scholar] [CrossRef]
- Alghamdi, A.A.B.; Watters, D.C.; Yi, H.; Al-Faifi, S.; Almeataq, M.S.; Coles, D.; Kingsley, J.; Lidzey, D.G.; Iraqi, A. Selenophene vs. thiophene in benzothiadiazole-based low energy gap donor–acceptor polymers for photovoltaic applications. J. Mater. Chem. A 2013, 1, 5165. [Google Scholar] [CrossRef]
- Wu, Y.; Yang, H.; Shi, C.; Sun, H.; Yin, S.; Wang, G. Luminescence-enhanced conjugated polymer dots through thermal treatment for cell imaging. Biomater. Sci. 2022, 10, 4764–4772. [Google Scholar] [CrossRef]
- Shin, W.; Jo, M.Y.; You, D.S.; Jeong, Y.S.; Yoon, D.Y.; Kang, J.W.; Cho, J.H.; Lee, G.D.; Hong, S.S.; Kim, J.H. Improvement of efficiency of polymer solar cell by incorporation of the planar shaped monomer in low band gap polymer. Synth. Met. 2012, 162, 768–774. [Google Scholar] [CrossRef]
- Liu, J.; Choi, H.; Kim, J.Y.; Bailey, C.; Durstock, M.; Dai, L. Highly crystalline and low bandgap donor polymers for efficient polymer solar cells. Adv. Mater. 2012, 24, 538–542. [Google Scholar] [CrossRef] [PubMed]
- Murad, A.R.; Iraqi, A.; Aziz, S.B.; Abdullah, S.N.; Abdulwahid, R.T.; Hussen, S.A. Optical, electrochemical, thermal, and structural properties of synthesized fluorene/ dibenzosilole-benzothiadiazole dicarboxylic imide alternating organic copolymers for photovoltaic applications. Coatings 2020, 10, 1147. [Google Scholar] [CrossRef]
- Murad, A.R.; Dannoun, E.M.A.; Aziz, S.B.; Iraqi, A.; Abdullah, S.N.; Nofal, M.M.; Abdullah, R.M. Synthesis of amorphous conjugated copolymers based on dithienosilole-benzothiadiazole dicarboxylic imide with tuned optical band gaps and high thermal stability. Appl. Sci. 2021, 11, 4866. [Google Scholar] [CrossRef]
- Sun, Y.; Peng, Y.; Zhao, C.; Zhang, J.; Ghadari, R.; Hu, L.; Kong, F. The strategy for high-efficiency hole conductors by engineering short-range intramolecular interactions. Dye. Pigment. 2022, 197, 109889. [Google Scholar] [CrossRef]
- Gámez-Valenzuela, S.; Comí, M.; González, S.R.; Delgado, M.C.R.; Al-Hashimi, M.; Ponce Ortiz, R. The fluorination effect: The importance of backbone planarity in achieving high performance ambipolar field effect transistors. J. Mater. Chem. C 2023, 11, 8027–8036. [Google Scholar] [CrossRef]
- Ge, C.W.; Mei, C.Y.; Ling, J.; Wang, J.T.; Zhao, F.G.; Liang, L.; Li, H.J.; Xie, Y.S.; Li, W.S. Acceptor-acceptor conjugated copolymers based on perylenediimide and benzothiadiazole for all-polymer solar cells. J. Polym. Sci. Part A Polym. Chem. 2014, 52, 1200–1215. [Google Scholar] [CrossRef]
- Al-Azzawi, A.G.S.; Iraqi, A.; Aziz, S.B.; Zhang, Y.; Murad, A.R.; Hadi, J.M.; Lidzey, D.G. Synthesis, Optical and Electrochemical Properties of Naphthothiadiazole-Based Donor-Acceptor Polymers and Their Photovoltaic Applications. Int. J. Electrochem. Sci. 2021, 16, 21125. [Google Scholar] [CrossRef]
- Seri, M.; Mercuri, F.; Ruani, G.; Feng, Y.; Li, M.; Xu, Z.X.; Muccini, M. Toward Real Setting Applications of Organic and Perovskite Solar Cells: A Comparative Review. Energy Technol. 2021, 9, 2000901. [Google Scholar] [CrossRef]
- Yu, Z.D.; Lu, Y.; Wang, J.Y.; Pei, J. Conformation Control of Conjugated Polymers. Chem.-A Eur. J. 2020, 26, 16194–16205. [Google Scholar] [CrossRef]
- Jia, T.; Zhang, J.; Zhong, W.; Liang, Y.; Zhang, K.; Dong, S.; Ying, L.; Liu, F.; Wang, X.; Huang, F.; et al. 14.4% Efficiency All-Polymer Solar Cell With Broad Absorption and Low Energy Loss Enabled By a Novel Polymer Acceptor. Nano Energy 2020, 72, 104718. [Google Scholar] [CrossRef]
- Vezie, M.S.; Few, S.; Meager, I.; Pieridou, G.; Dörling, B.; Ashraf, R.S.; Goñi, A.R.; Bronstein, H.; McCulloch, I.; Hayes, S.C.; et al. Exploring the origin of high optical absorption in conjugated polymers. Nat. Mater. 2016, 15, 746–753. [Google Scholar] [CrossRef]
- Wu, M.; Wei, Q.; Xian, C.; Dai, C.; He, X.; Wu, C.; Sun, G.; Chen, L. Highly efficient and non-doped red conjugated polymer dot for photostable cell imaging. Chin. Chem. Lett. 2023, 34, 107867. [Google Scholar] [CrossRef]
- Hakami, A.A.H.; Wabaidur, S.M.; Khan, M.A.; AlOthman, Z.A.; Siddiqui, M.R. Extraction Procedures and Analytical Methods for the Determination of Methylene Blue, Rhodamine B and Crystal Violet—An Overview. Curr. Anal. Chem. 2021, 17, 708–728. [Google Scholar] [CrossRef]
- Iyer, D.K.; Shaji, A.; Singh, S.P.; Tripathi, A.; Hazra, A.; Mandal, S.; Ghosh, P. A review on rhodamine probes for metal ion recognition with a future on artificial intelligence and machine learning. Coord. Chem. Rev. 2023, 495, 215371. [Google Scholar] [CrossRef]
- Ratanpara, A.; Kim, M.; Kim, Y.J.; Hidrovo, C.H. Spectral Characteristics of Water-Soluble Rhodamine Derivatives for Laser-Induced Fluorescence. J. Fluoresc. 2024. [Google Scholar] [CrossRef] [PubMed]
- Hung, Y.C.; Chao, C.Y.; Dai, C.A.; Su, W.F.; Lin, S.T. Band gap engineering via controlling donor-acceptor compositions in conjugated copolymers. J. Phys. Chem. B 2013, 117, 690–696. [Google Scholar] [CrossRef]
- Liu, C.; Wang, K.; Gong, X.; Heeger, A.J. Low bandgap semiconducting polymers for polymeric photovoltaics. Chem. Soc. Rev. 2016, 45, 4825–4846. [Google Scholar] [CrossRef]
- Scharber, M.C.; Sariciftci, N.S. Low Band Gap Conjugated Semiconducting Polymers. Adv. Mater. Technol. 2021, 6, 2000857. [Google Scholar] [CrossRef]
- Al-Azzawi, A.G.S.; Aziz, S.B.; Iraqi, A.; Murad, A.R.; Abdulwahid, R.T.; Alshehri, S.M.; Ahamad, T. Impact of ethynylene linkers on the optical and electrochemical properties of benzothiadiazole based alternate conjugated polymers. Arab. J. Chem. 2021, 14, 103320. [Google Scholar] [CrossRef]
- Gokulnath, T.; Choi, J.; Park, H.Y.; Sung, K.; Do, Y.; Park, H.; Kim, J.; Reddy, S.S.; Kim, J.; Song, M.; et al. A wide-bandgap π-conjugated polymer for high-performance ternary organic solar cells with an efficiency of 17.40%. Nano Energy 2021, 89, 106323. [Google Scholar] [CrossRef]
- Ma, L.; Cui, Y.; Zhang, J.; Xian, K.; Chen, Z.; Zhou, K.; Zhang, T.; Wang, W.; Yao, H.; Zhang, S.; et al. High-Efficiency and Mechanically Robust All-Polymer Organic Photovoltaic Cells Enabled by Optimized Fibril Network Morphology. Adv. Mater. 2023, 35, 2208926. [Google Scholar] [CrossRef] [PubMed]
- Bates, M.; Malhado, C.; Yang, C.; Herrera, C.K.; Lunt, R.R. High Efficiency Transparent and Semi-Transparent Photovoltaics Based on a Layer-By-Layer Deposition. Sol. RRL 2023, 7, 2200962. [Google Scholar] [CrossRef]
- Lu, Y.; Wang, J.-Y.; Pei, J. Achieving Efficient n-Doping of Conjugated Polymers by Molecular Dopants. Acc. Chem. Res. 2021, 54, 2871–2883. [Google Scholar] [CrossRef] [PubMed]
- Mamand, D.M.; Aziz, N.M.; Omer, R.A. Effect of doping of metal salts on polymers and their applications in various fields. Rev. Inorg. Chem. 2024. [Google Scholar] [CrossRef]
- Yan, H.; Wade, J.; Wan, L.; Kwon, S.; Fuchter, M.J.; Campbell, A.J.; Kim, J.S. Enhancing hole carrier injection via low electrochemical doping on circularly polarized polymer light-emitting diodes. J. Mater. Chem. C 2022, 10, 9512–9520. [Google Scholar] [CrossRef]
- Smith, H.L.; Dull, J.T.; Longhi, E.; Barlow, S.; Rand, B.P.; Marder, S.R.; Kahn, A. n-Doping of a Low-Electron-Affinity Polymer Used as an Electron-Transport Layer in Organic Light-Emitting Diodes. Adv. Funct. Mater. 2020, 30, 2000328. [Google Scholar] [CrossRef]









| Copolymer | Reaction Time (h) | Yield (%) | Mn (g/mol) | Mw (g/mol) | Ɖ |
|---|---|---|---|---|---|
| P1 | 48 | 76 | 4353 | 6690 | 1.53 |
| P2 (+Aliquat) * | 24 | 67 | 12,480 | 20,156 | 1.75 |
| P3 (+Aliquat) ** | 24 | 20 | 22,524 | 48,952 | 2.17 |
| Copolymer | TGA | |||
|---|---|---|---|---|
| T10% (°C) | Tonset (°C) | Tmax (°C) | Residue (%) | |
| P1 | 314.8 | 428.3 | 452.1 | 5.1 |
| P2 | 213.2 | 428.2 | 450.3 | 4.4 |
| P3 | 409.3 | 413.1 | 450.9 | 6.0 |
| Sample | λmáxsol (nm) | λmáxfilm (nm) | λonset (nm) | PL560 (nm) | Egopt (eV) * |
|---|---|---|---|---|---|
| P1 | 382, 536 | 390, 564 | 669 | 595 | 1.85 |
| P2 | 383, 530 | 392, 554 | 642 | 597 | 1.93 |
| P3 | 388, 541 | 396, 564 | 648 | 597 | 1.91 |
| Sample | Angular Coefficient | Quantum Yield (%) |
|---|---|---|
| Rhodamine | 182.47 | 0.31 (standard) |
| P1 | 71.89 | 0.15 |
| P2 | 250.57 | 0.55 |
| P3 | 124.08 | 0.27 |
| Copolymer | EHOMO (eV) | ELUMO (eV) |
|---|---|---|
| P1 | −5.48 | −3.63 |
| P2 | −5.45 | −3.52 |
| P3 | −5.52 | −3.61 |
| Sample | Average Roughness (Ra) (nm) | Root Mean Square Roughness (RMS) (nm) | Thickness (nm) |
|---|---|---|---|
| P1 | 1.11 | 1.40 | 18.7 |
| P2 | 0.77 | 0.99 | 38.1 |
| P3 | 2.94 | 3.68 | 41.2 |
| EL Layer | Von (V) | Lmax (cd/m2) | ηcurr (mcd/A) | CIE (x, y) |
|---|---|---|---|---|
| P1 | 13 | 26 | 11 | (0.55; 0.43) |
| P2 | 18 | 116 | 49 | (0.54; 0.44) |
| P3 | 16 | 93 | 16 | (0.52; 0.41) |
Disclaimer/Publisher’s Note: The statements, opinions and data contained in all publications are solely those of the individual author(s) and contributor(s) and not of MDPI and/or the editor(s). MDPI and/or the editor(s) disclaim responsibility for any injury to people or property resulting from any ideas, methods, instructions or products referred to in the content. |
© 2024 by the authors. Licensee MDPI, Basel, Switzerland. This article is an open access article distributed under the terms and conditions of the Creative Commons Attribution (CC BY) license (https://creativecommons.org/licenses/by/4.0/).
Share and Cite
Brito, E.B.d.; Santos, D.C.; Paula, T.P.d.; Morais, A.d.; Freitas, J.N.d.; Marques, M.d.F.V.; Monteiro, S.N. Synthesis and Characterization of Copolymers with Fluorene-di-2-thienyl-2,1,3-benzothiadiazole Units for Application in Optoelectronic Devices. Polymers 2025, 17, 72. https://doi.org/10.3390/polym17010072
Brito EBd, Santos DC, Paula TPd, Morais Ad, Freitas JNd, Marques MdFV, Monteiro SN. Synthesis and Characterization of Copolymers with Fluorene-di-2-thienyl-2,1,3-benzothiadiazole Units for Application in Optoelectronic Devices. Polymers. 2025; 17(1):72. https://doi.org/10.3390/polym17010072
Chicago/Turabian StyleBrito, Elisa Barbosa de, Daniela Corrêa Santos, Taihana Parente de Paula, Andreia de Morais, Jilian Nei de Freitas, Maria de Fátima Vieira Marques, and Sergio Neves Monteiro. 2025. "Synthesis and Characterization of Copolymers with Fluorene-di-2-thienyl-2,1,3-benzothiadiazole Units for Application in Optoelectronic Devices" Polymers 17, no. 1: 72. https://doi.org/10.3390/polym17010072
APA StyleBrito, E. B. d., Santos, D. C., Paula, T. P. d., Morais, A. d., Freitas, J. N. d., Marques, M. d. F. V., & Monteiro, S. N. (2025). Synthesis and Characterization of Copolymers with Fluorene-di-2-thienyl-2,1,3-benzothiadiazole Units for Application in Optoelectronic Devices. Polymers, 17(1), 72. https://doi.org/10.3390/polym17010072

