A Novel Approach for Glycero-(9,10-trioxolane)-Trialeate Incorporation into Poly(lactic acid)/Poly(ɛ-caprolactone) Blends for Biomedicine and Packaging
Abstract
1. Introduction
2. Materials and Methods
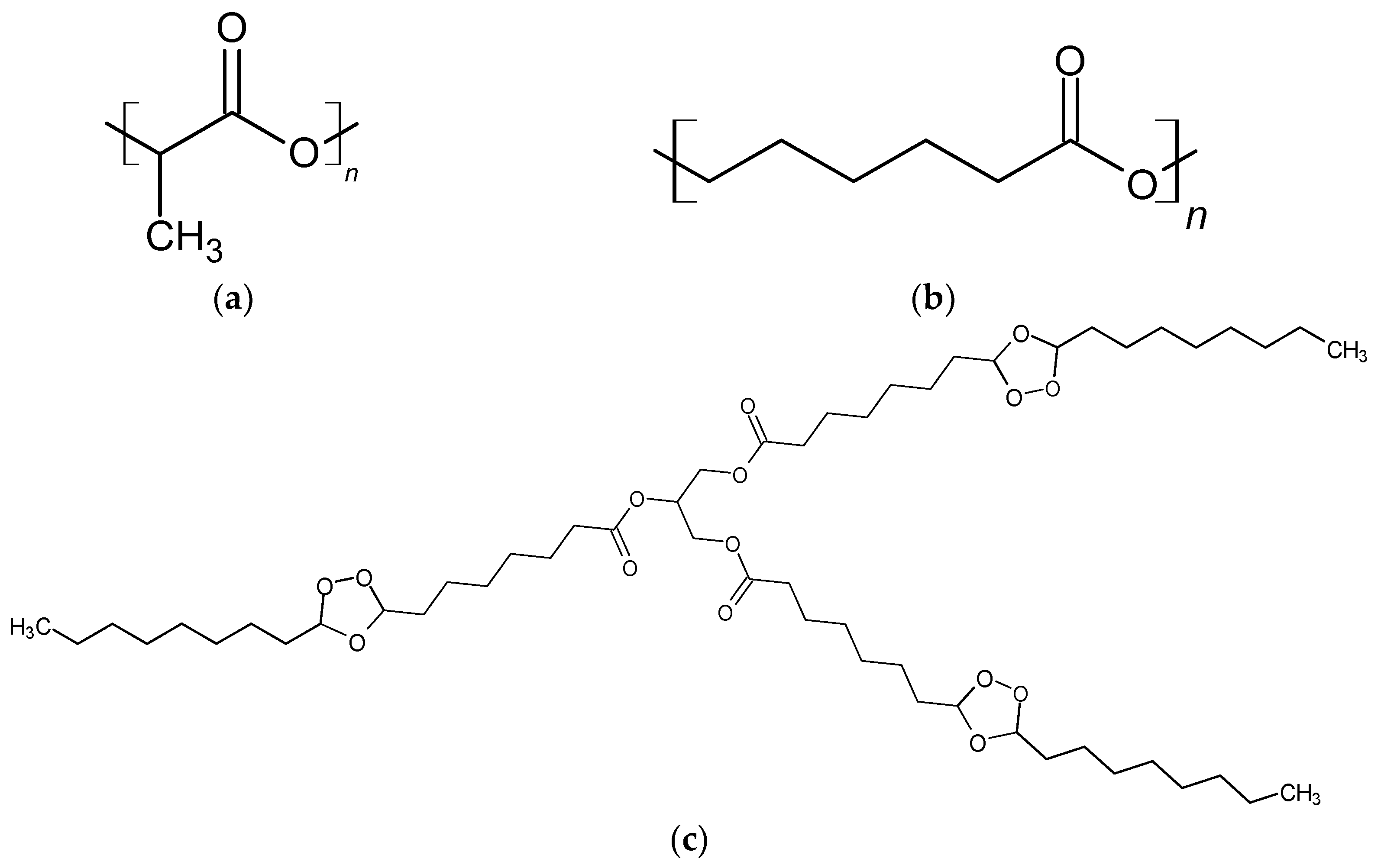
2.1. Materials
2.2. Preparation of Films
2.3. IR Spectroscopy
2.4. DSC
2.5. X-ray Diffraction Analysis
2.6. Morphology
2.6.1. Optical Microscopy
2.6.2. Sorption Capacity
2.6.3. Moisture Permeability of Films by Moisture Permeable Cup Method
2.7. Mechanical Properties
2.8. Measurement of Antibacterial Activity
3. Results and Discussion
3.1. FTIR Spectroscopy
3.2. Differential Scanning Calorimetry
3.3. X-ray Diffraction Analysis
3.4. Morphology of PLA/PCL + OTOA Films
3.5. Mechanical Properties of the Films
3.6. Water Contact Angle, Water Sorption and Water Vapor Permeability of the Films
3.7. Antibacterial Activity of the Developped PLA/PCL + OTOA Films
4. Conclusions
Author Contributions
Funding
Institutional Review Board Statement
Data Availability Statement
Conflicts of Interest
References
- Imre, B.; Pukánszky, B. Compatibilization in bio-based and biodegradable polymer blends. Eur. Polym. J. 2015, 49, 1215–1233. [Google Scholar] [CrossRef]
- Broz, M.E.; Vanderhart, D.L.; Washburn, N.R. Structure and mechanical properties of poly(d, l-lactic Acid)/poly(ε-caprolactone) blends. Biomaterials 2003, 24, 4181–4190. [Google Scholar] [CrossRef] [PubMed]
- Formela, K.; Zedler, Ł.; Hejna, A.; Tercjak, A. Reactive extrusion of bio-based polymer blends and Composites—Current trends and future developments. Express Polym. Lett. 2018, 12, 24–57. [Google Scholar] [CrossRef]
- Noroozi, N.; Schafer, L.L.; Hatzikiriakos, S.G. Thermorheological properties of poly(ε-caprolactone)/polylactide blends. Polym Eng Sci. 2012, 52, 2348–2359. [Google Scholar] [CrossRef]
- Patrício, T.; Glória, A.; Bártolo, P. Mechanical and biological behavior of PCL and PCL/PLA scaffolds for tissue engineering applications. Chem. Eng. Trans. 2013, 32, 1645–1650. [Google Scholar] [CrossRef]
- Kellomaki, M.; Törmälä, P. Processing of Resorbable Poly-α-Hydroxy Acids for Use as Tissue-Engineering Scaffolds, Biopolymer Methods in Tissue Engineering; Hollander, A., Hatton, P., Eds.; Humana Press: Totowa, NJ, USA, 2003; Volume 238, pp. 1–3. [Google Scholar] [CrossRef]
- Faruk, O.; Bledzki, A.K.; Fink, H.-P.; Sain, M. Biocomposites reinforced with natural fibers: 2000–2010. Prog Polym Sci. 2012, 37, 1552e96. [Google Scholar] [CrossRef]
- Krishnan, S.; Pandey, P.; Mohanty, S.; Nayak, S.K. Toughening of polylactic acid: An overview of research progress. Polym.-Plast. Technol. Eng. 2016, 55, 1623–1652. [Google Scholar] [CrossRef]
- Dell’Erba, R.; Groeninckx, G.; Maglio, G.; Malinconico, M.; Migliozzi, A. Immiscible polymer blends of semicrystalline biocompatible components: Thermal properties and phase morphology analysis of PLLA/PCL blends. Polymer 2001, 42, 7831–7840. [Google Scholar] [CrossRef]
- Mohamed, R.M.; Yusoh, K.A. Review on the Recent Research of Polycaprolactone (PCL). Adv. Mater. Res. 2015, 1134, 249–255. [Google Scholar] [CrossRef]
- Dwivedi, R.; Kumar, S.; Pandey, R.; Mahajan, A.; Nandana, D.; Katti, D.S.; Mehrotra, D. Polycaprolactone as a Biomaterial for Bone Scaffolds: Review of Literature. J. Oral Biol. Craniofacial Res. 2020, 10, 381–388. [Google Scholar] [CrossRef]
- Urquijo, J.; Guerrica-Echavarria, G.; Equiazabal, J.I. Synergistic effects in mechanical properties of PLA/PCL blends with optimized composition, processing, and morphology. J. Appl. Polym. Sci. 2015, 132, 42641–42650. [Google Scholar] [CrossRef]
- Vilay, V.; Mariatti, M.; Ahmad, Z.; Pasomsouk, K.; Todo, M. Characterization of the mechanical and thermal properties and morphological behavior of biodegradable poly(L-lactide)/poly(ε-caprolactone) and poly(L-lactide)/poly(butylene succinate-co-L-lactate) polymeric blends. J. Appl. Polym. Sci. 2009, 114, 1784–1792. [Google Scholar] [CrossRef]
- Ostafinska, A.; Fortelny, I.; Nevoralova, M.; Hodan, J.; Kredatusova, J.; Slouf, M. Synergistic effects in mechanical properties of PLA/PCL blends with optimized composition, processing, and morphology. RSC Adv. 2015, 5, 98971–98982. [Google Scholar] [CrossRef]
- Sood, A.; Granick, M.S.; Tomaselli, N.L. Wound Dressings and Comparative Effectiveness Data. Adv. Wound Care (New Rochelle) 2014, 3, 511–529. [Google Scholar] [CrossRef]
- Shyu, A.P.; Krakauer, M. Bilayer Tegaderm™ Moisture Chamber. Ophthalmic Plast. Reconstr. Surg. 2022, 38, 408. [Google Scholar] [CrossRef]
- Alexeeva, O.; Olkhov, A.; Konstantinova, M.; Podmasterev, V.; Tretyakov, I.; Petrova, T.; Koryagina, O.; Lomakin, S.; Siracusa, V.; Iordanskii, A.L. Improvement of the Structure and Physicochemical Properties of Polylactic Acid Films by Addition of Glycero-(9,10-trioxolane)-Trialeate. Polymers 2022, 14, 3478. [Google Scholar] [CrossRef]
- Olkhov, A.; Alexeeva, O.; Konstantinova, M.; Podmasterev, V.; Tyubaeva, P.; Borunova, A.; Siracusa, V.; Iordanskii, A.L. Effect of Glycero-(9,10-trioxolane)-trialeate on the Physicochemical Properties of Non-Woven Polylactic Acid Fiber Materials. Polymers 2021, 13, 2517. [Google Scholar] [CrossRef]
- Fischer, E.; Sterzel, H.; Wegner, G. Investigation of the structure of solution grown crystals of lactide copolymers by means of chemical reactions. Colloid. Polym. Sci. 1973, 521, 980–990. [Google Scholar] [CrossRef]
- Fraser, R.D.B.; Suzuki, E. Resolution of overlapping bands. Functions for simulating band shapes. Analytical Chem. 1969, 41, 37–39. [Google Scholar] [CrossRef]
- Opfermann, J. Kinetic Analysis Using Multivariate Non-Linear Regression. J. Therm. Anal. Calorim. 2000, 60, 641–658. [Google Scholar] [CrossRef]
- Hsieh, Y.T.; Nozaki, S.; Kido, M.; Kamitani, K.; Kojio, K.; Takahara, A. Crystal polymorphism of polylactide and its composites by X-ray diffraction study. Polym. J. 2020, 52, 755–763. [Google Scholar] [CrossRef]
- Dadras Chomachayi, M.; Jalali-arani, A.; Beltrán, F.R.; de la Orden, M.U.; Martínez Urreaga, J. Biodegradable Nanocomposites Developed from PLA/PCL Blends and Silk Fibroin Nanoparticles: Study on the Microstructure, Thermal Behavior, Crystallinity and Performance. J. Polym. Environ. 2020, 28, 1252–1264. [Google Scholar] [CrossRef]
- Debnath, S.; Madhusoothanan, M. Water Absorbency of Jute—Polypropylene Blended Needle-punched Nonwoven. J. Ind. Text. 2010, 39, 215–231. [Google Scholar] [CrossRef]
- Heib, F.; Schmitt, M. Statistical Contact Angle Analyses with the High-Precision Drop Shape Analysis (HPDSA) Approach: Basic Principles and Applications. Coatings 2016, 6, 57. [Google Scholar] [CrossRef]
- Available online: https://www.astm.org/Standards/E96.htm (accessed on 15 May 2023).
- Turhan, K.; Şahbaz, F. Water vapor permeability, tensile properties and solubility of methylcellulose-based edible films. J. Food Eng. 2004, 61, 459–466. [Google Scholar] [CrossRef]
- Cazón, P.; Morales-Sanchez, E.; Velazquez, G.; Vázquez, M. Measurement of the Water Vapor Permeability of Chitosan Films: A Laboratory Experiment on Food Packaging Materials. J. Chem. Educ. 2022, 99, 2403–2408. [Google Scholar] [CrossRef]
- Wexler, A. Vapor Pressure Formulation for Water in Range 0 to 100 °C. A Revision. J. Res. Natl. Bur. Stand. A Phys. Chem. 1976, 80, 775–785. [Google Scholar] [CrossRef]
- Gennadios, A.; Weller, C.L.; Gooding, C.H. Measurement Errors in Water-Vapor Permeability of Highly Permeable, Hydrophilic Edible Films. J. Food Eng. 1994, 21, 395–409. [Google Scholar] [CrossRef]
- McHugh, T.H.; Avena-Bustillos, F.L.; Krochta, J.M. Hydrophilic Edible Films: Modified Procedure for Water Vapor Permeability and Explanation of Thickness Effects. J. Food Sci. 1993, 58, 899. [Google Scholar] [CrossRef]
- Murray, P.R.; Jo, E.; Turnidge, B. Manual of Clinical Microbiology, 9th ed.; ASM Press: Washington, DC, USA, 2007; pp. 1152–1172. [Google Scholar]
- Balouiri, M.; Sadiki, M.; Ibnsouda, S.K. Methods for in vitro evaluating antimicrobial activity: A review. J. Pharm. Anal. 2016, 6, 71–79. [Google Scholar] [CrossRef] [PubMed]
- Clinical and Laboratory Standards Institute (CLSI). Performance Standards for Antimicrobial Disk Susceptibility Tests; Approved Standard, 11th ed.; CLSI document M02-A11; Clinical and Laboratory Standards Institute: Wayne, PA, USA, 2012; Volume 32, p. 13. ISBN 1-56238-782-0. [Google Scholar]
- Clinical and Laboratory Standards Institute (CLSI). Method for Antifungal Disk Diffusion Susceptibility Testing of Yeasts; Approved Guideline, 2nd ed.; CLSI document M44-A2; Clinical and Laboratory Standards Institute: Wayne, PA, USA, 2009; Volume 29, p. 6. ISBN 1-56238-703-0. [Google Scholar]
- Sundar, N.; Keerthana, P.; Kumar, S.A.; Ghosh, S. Dual purpose, bio-based polylactic acid (PLA)-polycaprolactone (PCL) blends for coated abrasive and packaging industrial coating applications. J. Polym. Res. 2020, 27, 386. [Google Scholar] [CrossRef]
- Ali, S.; Khatri, Z.; Oh, K.W.; Kim, I.-S.; Kim, S.H. Preparation and Characterization of Hybrid Polycaprolactone/Cellulose Ultrafine Fibers via Electrospinning. Macromol. Res. 2014, 22, 562–568. [Google Scholar] [CrossRef]
- Chee, W.K.; Ibrahim, N.A.; Zainuddin, N.; Rahman, M.F.A.; Chieng, B.W. Impact Toughness and Ductility Enhancement of Biodegradable Poly(lactic acid)/Poly(#-caprolactone) Blends via Addition of Glycidyl Methacrylate. Adv. Mater. Sci. Eng. 2013, 2013, 976373. [Google Scholar] [CrossRef]
- Arjmandi, R.; Hassan, A.; Eichhorn, S.J.; Haafiz, M.K.M.; Zakaria, Z.; Tanjung, F. Enhanced ductility and tensile properties of hybrid montmorillonite/cellulose nanowhiskers reinforced polylactic acid nanocomposites. J. Mater. Sci. 2015, 50, 3118–3130. [Google Scholar] [CrossRef]
- Kolstad, J.J. Crystallization kinetics of poly(L-lactide co-meso-lactide). J. Appl. Pol. Sci. 1996, 62, 1079–1091. [Google Scholar] [CrossRef]
- Ferri, J.M.; Fenollar, O.; Jorda-Vilaplana, A.; García-Sanoguera, D.; Balart, R. Effect of miscibility on mechanical and thermal properties of poly(lactic acid)/polycaprolactone blends. Polym. Int. 2016, 65, 453–463. [Google Scholar] [CrossRef]
- de Almeida Kogawa, R.N.; de Arruda, E.J.; Micheletti, A.C.; Cepa Matos, M.d.F.; Silva de Oliveira, L.C.; de Lima, D.P.; Pereira Carvalho, N.C.; de Oliveira, P.D.; de Castro Cunha, M.; Ojeda, M.; et al. Synthesis, characterization, thermal behavior and biological activity of ozonides from vegetable oils. RSC Adv. 2015, 5, 65427–65436. [Google Scholar] [CrossRef]
- Xiao, H.; Liu, F.; Jiang, T.; Yeh, J.T. Kinetics and Crystal Structure of Isothermal Crystallization of Poly(lactic acid) Plasticized with Triphenyl Phosphate. J. Appl. Polym. Sci. 2010, 117, 2980–2992. [Google Scholar] [CrossRef]
- Farid, T.; Herrera, V.N.; Kristiina, O. Investigation of crystalline structure of plasticized poly (lactic acid)/ Banana nanofibers composites. IOP Conf. Series Mater. Sci. Eng. 2018, 369, 012031. [Google Scholar] [CrossRef]
- Liu, Y.; Jiang, S.; Yan, W.; He, M.; Qin, J.; Qin, S.; Yu, J. Crystallization morphology regulation on enhancing heat resistance of polylactic acid. Polymers 2020, 12, 1563. [Google Scholar] [CrossRef] [PubMed]
- Xiao, H.; Lu, W.; Yeh, J.T. Effect of Plasticizer on the Crystallization Behavior of Poly (lactic acid). J. Appl. Polym. Sci. 2009, 113, 112–121. [Google Scholar] [CrossRef]
- Sun, H.; Yu, B.; Han, J.; Kong, J.; Meng, L.; Zhu, F. Microstructure, Thermal Properties and Rheological Behavior of PLA/PCL Blends for Melt-blown Nonwovens. Polymer 2014, 38, 477–483. [Google Scholar] [CrossRef][Green Version]
- Solechan, S.; Suprihanto, A.; Widyanto, S.A.; Triyono, J.; Fitriyana, D.F.; Siregar, J.P.; Cionita, T. Investigating the Effect of PCL Concentrations on the Characterization of PLA Polymeric Blends for Biomaterial Applications. Materials 2022, 15, 7396. [Google Scholar] [CrossRef] [PubMed]
- Tenorio-Alfonso, A.; Vázquez Ramos, E.; Martínez, I.; Ambrosi, M.; Raudino, M. Assessment of the structures contribution (crystalline and mesophases) and mechanical properties of polycaprolactone/pluronic blends. J. Mech. Behav. Biomed. Mater. 2023, 139, 105668. [Google Scholar] [CrossRef] [PubMed]
- Oztemur, J.; Yalcin-Enis, I. Development of biodegradable webs of PLA/PCL blends prepared via electrospinning: Morphological, chemical, and thermal characterization. J. Biomed. Mater. Res. B Appl. Biomater. 2021, 109, 1844–1856. [Google Scholar] [CrossRef]
- Bulatović, V.O.; Mandić, V.; Kučić Grgić, D.; Ivančić, A. Biodegradable Polymer Blends Based on Thermoplastic Starch. J. Polym. Environ. 2021, 29, 492–508. [Google Scholar] [CrossRef]
- Arvanitoyannis, I.; Nikolaou, E.; Yamamoto, N. Novel biodegradable copolyamides based on adipic acid, isophorone diamine and α-amino acids. 3. Synthesis, study of properties and evaluation of their biodegradability for food packaging applications. Angew. Makromol. Chem. 1994, 221, 67–90. [Google Scholar] [CrossRef]
- Bai, H.; Huang, C.; Xiu, H.; Gao, Y.; Zhang, Q.; Fu, Q. Toughening of poly(l-lactide) with poly(ε-caprolactone): Combined effects of matrix crystallization and impact modifier particle size. Polymer 2013, 54, 5257–5266. [Google Scholar] [CrossRef]
- Jia, S.; Yu, D.; Zhu, Y.; Wang, Z.; Chen, L.; Fu, L. Morphology, Crystallization and Thermal Behaviors of PLA-Based Composites: Wonderful Effects of Hybrid GO/PEG via Dynamic Impregnating. Polymers 2017, 9, 528. [Google Scholar] [CrossRef]
- Pankova, Y.N.; Shchegolikhin, A.N.; Iordanskii, A.L.; Zhulkina, A.L.; Ol’khov, A.A.; Zaikov, G.E. The characterization of novel biodegradable blends based on polyhydroxybutyrate: The role of water transport. J. Mol. Liq. 2010, 156, 65–69. [Google Scholar] [CrossRef]
- Zhou, Z.-X.; Chen, Y.-R.; Zhang, J.-Y.; Jiang, D.; Yuan, F.-Z.; Mao, Z.-M.; Yang, F.; Jiang, W.-B.; Wang, X.; Yu, J.-K. Facile Strategy on Hydrophilic Modification of Poly(e-caprolactone) Scaffolds for Assisting Tissue Engineered Meniscus Constructs In Vitro. Front. Pharmacol. 2020, 11, 471. [Google Scholar] [CrossRef] [PubMed]
- Lee, S.; Lee, J.; Choi, K.; Kim, H.; Park, Y.; Yoon, J.; Kim, J.H.; Ryu, S. Polylactic Acid and Polycaprolactone Blended Cosmetic Microneedle for Transdermal Hispidin Delivery System. Appl. Sci. 2021, 11, 2774. [Google Scholar] [CrossRef]
- Sharma, D.; Saha, D.; Satapathy, B.K. Structurally optimized suture resistant polylactic acid (PLA)/poly (ε-caprolactone) (PCL) blend based engineered nanofibrous mats. J. Mech. Behav. Biomed. Mater. 2021, 116, 104331. [Google Scholar] [CrossRef] [PubMed]
- Chieng, B.W.; Ibrahim, N.A.; Then, Y.Y.; Loo, Y.Y. Epoxidized Vegetable Oils Plasticized Poly(lactic acid) Biocomposites: Mechanical, Thermal and Morphology Properties. Molecules 2014, 19, 16024–16038. [Google Scholar] [CrossRef] [PubMed]
- Lu, Y.; Chen, Y.C.; Zhang, P.H. Preparation and Characterisation of Polylactic Acid (PLA)/Polycaprolactone (PCL) Composite Microfibre Membranes. Fibres Textiles East. Eur. 2016, 24, 17–25. [Google Scholar] [CrossRef]
- Sangroniz, A.; Chaos, A.; Iriarte, M.; del Río, J.; Sarasua, J.; Etxeberria, A. Influence of the Rigid Amorphous Fraction and Crystallinity on Polylactide Transport Properties. Macromolecules 2018, 51, 3923–3931. [Google Scholar] [CrossRef]
- Chen, H.; Cebe, P. Vitrification and Devitrification of Rigid Amorphous Fraction of PET during Quasi-Isothermal Cooling and Heating. Macromolecules 2008, 42, 288–292. [Google Scholar] [CrossRef]
- Agyeman, W.Y.; Bisht, A.; Gopinath, A.; Cheema, A.H.; Chaludiya, K.; Khalid, M.; Nwosu, M.; Konka, S.; Khan, S. A Systematic Review of Antibiotic Resistance Trends and Treatment Options for Hospital-Acquired Multidrug-Resistant Infections. Cureus 2022, 5, e29956. [Google Scholar] [CrossRef]
- Lekhniuk, N.; Fesenko, U.; Pidhirnyi, Y.; Sękowska, A.; Korniychuk, O.; Konechnyi, Y. Raoultella terrigena: Current state of knowledge, after two recently identified clinical cases in Eastern Europe. Clin. Case Rep. 2021, 9, e04089. [Google Scholar] [CrossRef]
- Adnan, M.; Khan, S.; Patel, M.; Alshammari, E.; Ashankyty, I. Agrobacterium: A potent human pathogen. Rev. Med. Microbiol. 2013, 24, 94–97. [Google Scholar] [CrossRef]
- Qin, S.; Xiao, W.; Zhou, C.; Pu, Q.; Deng, X.; Lan, L.; Liang, H.; Song, X.; Wu, M. Pseudomonas aeruginosa: Pathogenesis, virulence factors, antibiotic resistance, interaction with host, technology advances and emerging therapeutics. Signal Transduct. Target. Ther. 2022, 7, 199. [Google Scholar] [CrossRef] [PubMed]
- Catalano, A.; Iacopetta, D.; Ceramella, J.; Scumaci, D.; Giuzio, F.; Saturnino, C.; Aquaro, S.; Rosano, C.; Sinicropi, M.S. Multidrug Resistance (MDR): A Widespread Phenomenon in Pharmacological Therapies. Molecules 2022, 27, 616. [Google Scholar] [CrossRef] [PubMed]
- Ugazio, E.; Tullio, V.; Binello, A.; Tagliapietra, S.; Dosio, F. Ozonated Oils as Antimicrobial Systems in Topical Applications. Their Characterization, Current Applications, and Advances in Improved Delivery Techniques. Molecules 2020, 25, 334. [Google Scholar] [CrossRef] [PubMed]
- Moureu, S.; Violleau, F.; Haimoud-Lekhal, D.A.; Calmon, A. Ozonation of sunflower oils: Impact of experimental conditions on the composition and the antibacterial activity of ozonized oils. Chem. Phys. Lip. 2015, 186, 79–85. [Google Scholar] [CrossRef]











| Sample | Mass Percent Concentration (%)/Mass Fraction (α, β, γ) (α + β + γ = 1) | |||||
|---|---|---|---|---|---|---|
| PLA | α | PCL | β | OTOA | γ | |
| PLA/PCL ref | 80 | 0.8 | 20 | 0.2 | - | - |
| PLA/PCL + 1% | 79.2 | 0.792 | 19.8 | 0.198 | 1 | 0.01 |
| PLA/PCL + 5% | 76 | 0.76 | 19 | 0.19 | 5 | 0.05 |
| PLA/PCL + 10% | 72 | 0.72 | 18 | 0.18 | 10 | 0.1 |
| PLA/PCL + 20% | 64 | 0.64 | 16 | 0.16 | 20 | 0.2 |
| PLA/PCL + 30% | 56 | 0.56 | 14 | 0.14 | 30 | 0.3 |
| PLA/PCL + 40% | 48 | 0.48 | 12 | 0.12 | 40 | 0.4 |
| Sample | Tg PLA (°C) | Tm PCL (°C) | Tm PLA (°C) | Tcc PLA (°C) | Td OTOA (°C) | ΔHcc PLA (J/g) | ΔHm PLA (J/g) | ΔHd OTOA (J/g) | χ(DSC) PLA (%) |
|---|---|---|---|---|---|---|---|---|---|
| PLA/PCL | 51.0 | 58.9 | 168.4 | n/a | n/a | n/a | 31.37 | n/a | 34.0 |
| PLA/PCL + 1% | 50.6 | 59.1 | 167.9 | n/a | n/a | n/a | 28.37 | n/a | 30.4 |
| PLA/PCL + 5% | 49.4 | 58.7 | 166.8 | 86.7 | n/a | 2.05 | 25.18 | n/a | 24.8 |
| PLA/PCL + 10% | 48.8 | 57.8 | 164.2 * | 86.6 | 157.0 * | 2.08 | 16.77 * | 334.0 * | 16.4 |
| PLA/PCL + 20% | 48.0 | 57.4 | 162.0 * | 87.9 | 156.4 * | 3.47 | 22.43 * | 464.0 * | 20.3 |
| PLA/PCL + 30% | 47.0 | 57.4 | 161.1 * | 85.7 | 155.6 * | 9.79 | 26.07 * | 488.0 * | 20.2 |
| PLA/PCL + 40% | 40.5 | 62.5 (56.7) | 157.4 * | 95.8 | 155.6 * | 14.08 | 28.75 * | 518.0 * | 15.7 |
| Sample | PLA/PCL | PLA/PCL + 1% | PLA/PCL + 5% | PLA/PCL + 10% | PLA/PCL + 20% | PLA/PCL + 30% | PLA/PCL + 40% |
|---|---|---|---|---|---|---|---|
| χ (XRD) (%) | 34.9 | 28.8 | 24.7 | 25.2 | 34.6 | 21.2 | 18.1 * |
| Sample | WVTR [g/d × m2] | Permeance [g/d × m2 × Pa] | WVP [g/d × m × Pa] |
|---|---|---|---|
| PLA/PCL | 84.08 | 0.0265 | 3.39 × 10−6 |
| PLA/PCL + 20% ОТОА | 60.8 | 0.019 | 2.5 × 10−6 |
| PLA/PCL + 30% ОТОА | 67.46 | 0.0212 | 2.3 × 10−6 |
| PLA/PCL + 40% ОТОА | 58.43 | 0.0184 | 1.6 × 10−6 |
| Sample | Size of Clear Zone (mm) | ||
|---|---|---|---|
| Bacterial Strain | Pseudomonas aeruginosa | Raoultella terrigena (Klebsiella terrigena) | Agrobacterium tumefaciens |
| PLA/PCL Ref OTOA 0% | 0.0 ± 0.0 | 0.0 ± 0.0 | 0.0 ± 0.0 |
| OTOA 100% | 26.2 ± 0.1 | 25.5 ± 0.1 | 25.0 ± 0.1 |
| PLA/PCL + 20% | 21.1± 0.2 | 20.0 ± 0.1 | 20.0 ± 0.2 |
| PLA/PCL + 30% | 20.1 ± 0.2 | 23.0 ± 0.1 | 21.0 ± 0.1 |
| PLA/PCL + 40% | 28.1± 0.2 | 24.5 ± 0.1 | 22.7 ± 0.3 |
Disclaimer/Publisher’s Note: The statements, opinions and data contained in all publications are solely those of the individual author(s) and contributor(s) and not of MDPI and/or the editor(s). MDPI and/or the editor(s) disclaim responsibility for any injury to people or property resulting from any ideas, methods, instructions or products referred to in the content. |
© 2023 by the authors. Licensee MDPI, Basel, Switzerland. This article is an open access article distributed under the terms and conditions of the Creative Commons Attribution (CC BY) license (https://creativecommons.org/licenses/by/4.0/).
Share and Cite
Alexeeva, O.V.; Olkhov, A.A.; Konstantinova, M.L.; Podmasterev, V.V.; Petrova, T.V.; Martirosyan, L.Y.; Karyagina, O.K.; Kozlov, S.S.; Lomakin, S.M.; Tretyakov, I.V.; et al. A Novel Approach for Glycero-(9,10-trioxolane)-Trialeate Incorporation into Poly(lactic acid)/Poly(ɛ-caprolactone) Blends for Biomedicine and Packaging. Polymers 2024, 16, 128. https://doi.org/10.3390/polym16010128
Alexeeva OV, Olkhov AA, Konstantinova ML, Podmasterev VV, Petrova TV, Martirosyan LY, Karyagina OK, Kozlov SS, Lomakin SM, Tretyakov IV, et al. A Novel Approach for Glycero-(9,10-trioxolane)-Trialeate Incorporation into Poly(lactic acid)/Poly(ɛ-caprolactone) Blends for Biomedicine and Packaging. Polymers. 2024; 16(1):128. https://doi.org/10.3390/polym16010128
Chicago/Turabian StyleAlexeeva, Olga V., Anatoliy A. Olkhov, Marina L. Konstantinova, Vyacheslav V. Podmasterev, Tuyara V. Petrova, Levon Yu. Martirosyan, Olga K. Karyagina, Sergey S. Kozlov, Sergey M. Lomakin, Ilya V. Tretyakov, and et al. 2024. "A Novel Approach for Glycero-(9,10-trioxolane)-Trialeate Incorporation into Poly(lactic acid)/Poly(ɛ-caprolactone) Blends for Biomedicine and Packaging" Polymers 16, no. 1: 128. https://doi.org/10.3390/polym16010128
APA StyleAlexeeva, O. V., Olkhov, A. A., Konstantinova, M. L., Podmasterev, V. V., Petrova, T. V., Martirosyan, L. Y., Karyagina, O. K., Kozlov, S. S., Lomakin, S. M., Tretyakov, I. V., Siracusa, V., & Iordanskii, A. L. (2024). A Novel Approach for Glycero-(9,10-trioxolane)-Trialeate Incorporation into Poly(lactic acid)/Poly(ɛ-caprolactone) Blends for Biomedicine and Packaging. Polymers, 16(1), 128. https://doi.org/10.3390/polym16010128

