Elastic and Dynamic Heterogeneity in Aging Alginate Gels
Abstract
:1. Introduction
2. Materials and Methods
2.1. Gel Preparation
2.2. Dynamic Light Scattering
2.3. Rheological Tests
2.4. Compression Tests
2.5. Scanning Electron Microscopy
3. Results and Discussion
3.1. Mechanical Tests
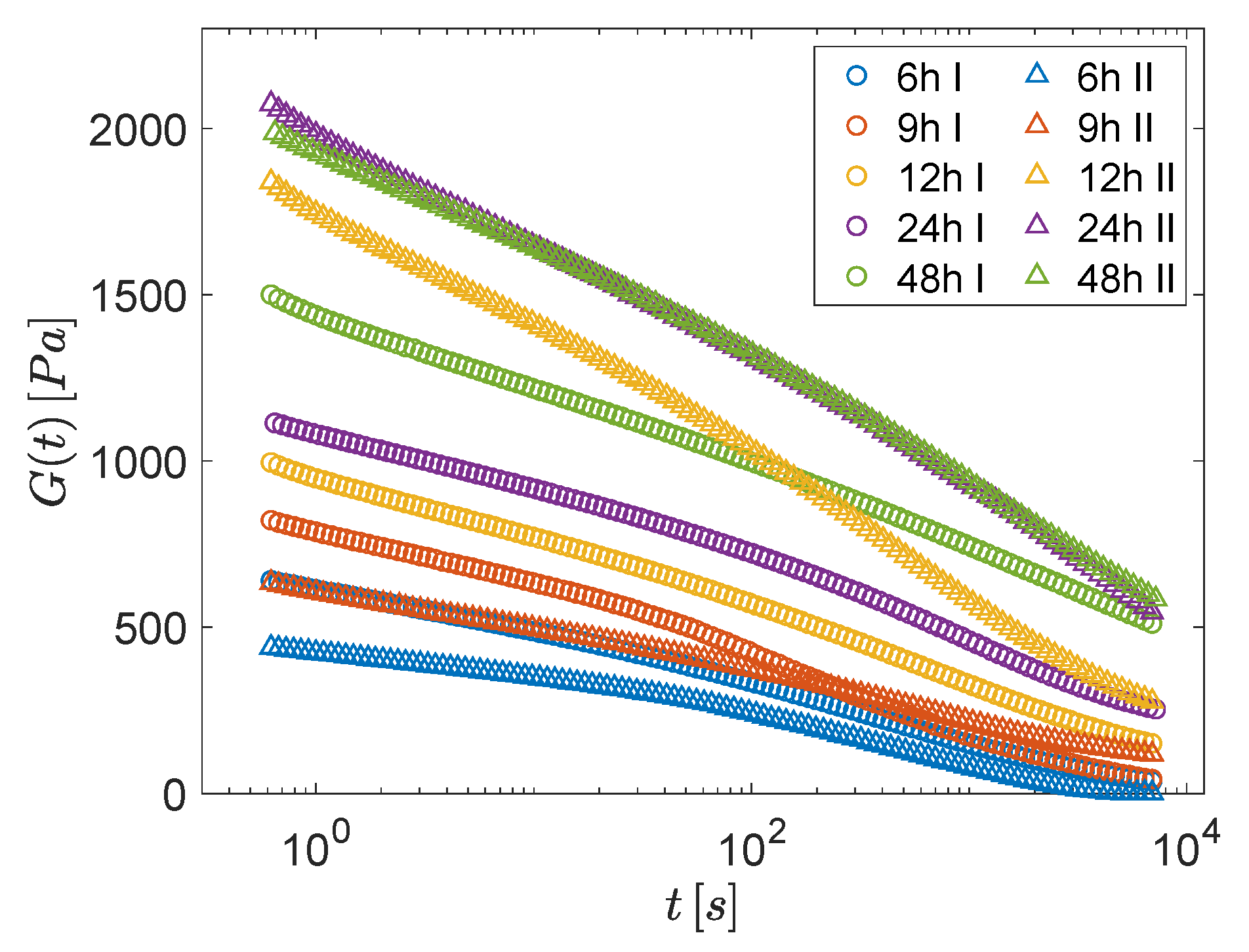
3.1.1. Stress Relaxation
3.1.2. Stress-Strain Tests
3.2. Dynamic Light Scattering
3.2.1. Intensity Correlation Function
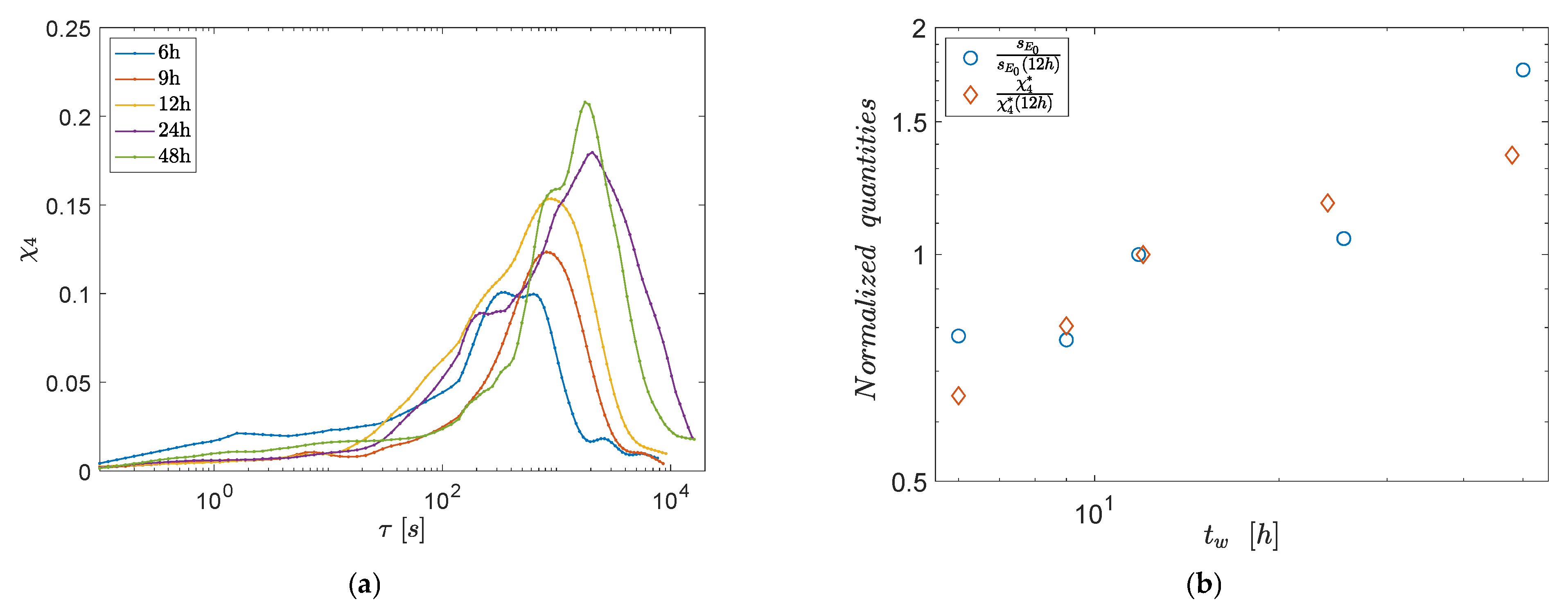
3.2.2. Dynamical Susceptibility
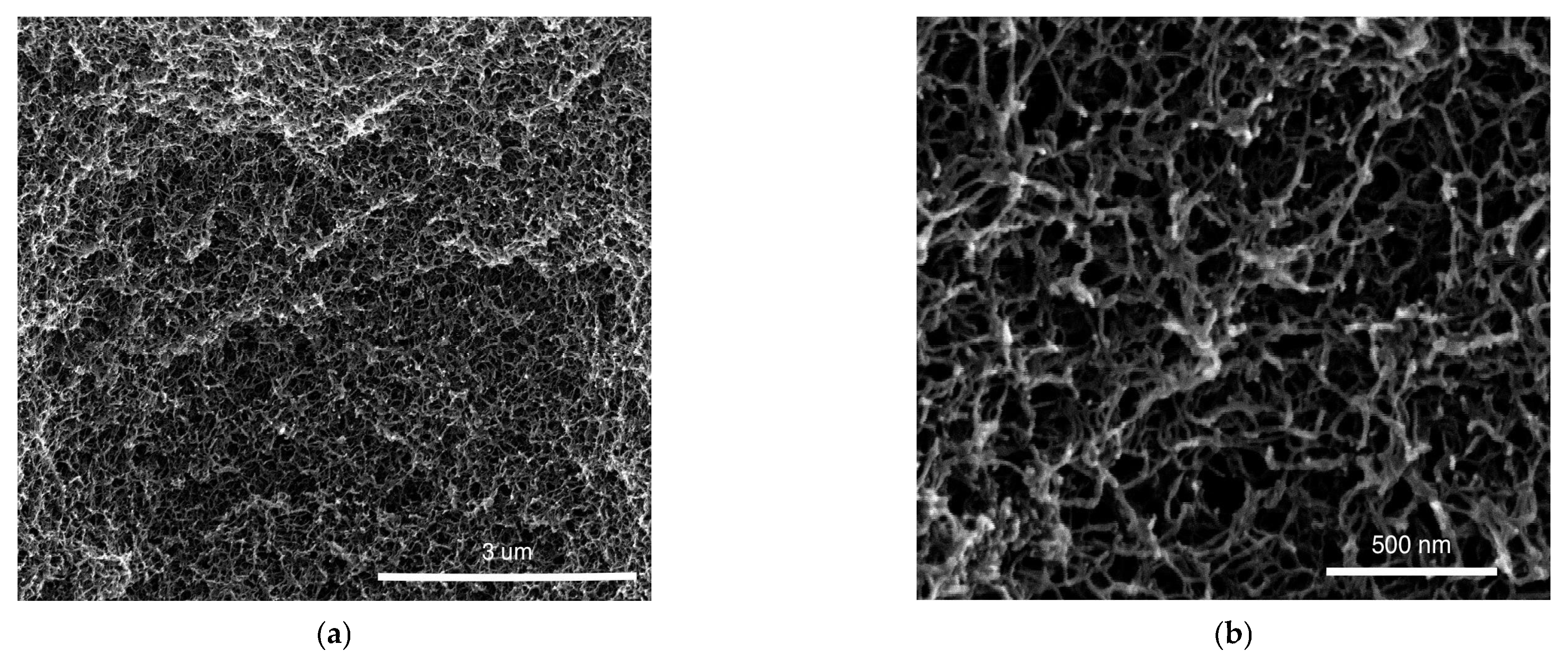
3.3. SEM
4. Conclusions
Supplementary Materials
Author Contributions
Funding
Acknowledgments
Conflicts of Interest
References
- Trappe, V.; Sandkühler, P. Colloidal gels—Low-density disordered solid-like states. Curr. Opin. Colloid Interface Sci. 2004, 8, 494–500. [Google Scholar] [CrossRef]
- Struik, E.L.C. Physical Aging in Amorphous Polymers and Other Materials; Elsevier Science: Amsterdam, The Netherlands, 1977; ISBN 9780444416551. [Google Scholar]
- Cipelletti, L.; Manley, S.; Ball, R.C.; Weitz, D.A. Universal Aging Features in the Restructuring of Fractal Colloidal Gels. Phys. Rev. Lett. 2000, 84, 2275–2278. [Google Scholar] [CrossRef] [PubMed] [Green Version]
- Cipelletti, L.; Ramos, L.; Manley, S.; Pitard, E.; Weitz, D.A.; Pashkovski, E.E.; Johansson, M. Universal non-diffusive slow dynamics in aging soft matter. Faraday Discuss. 2003, 123, 237–251. [Google Scholar] [CrossRef] [PubMed] [Green Version]
- Pastore, R.; Siviello, C.; Greco, F.; Larobina, D. Anomalous Aging and Stress Relaxation in Macromolecular Physical Gels: The Case of Strontium Alginate. Macromolecules 2020, 53, 649–657. [Google Scholar] [CrossRef]
- Duri, A.; Cipelletti, L. Length scale dependence of dynamical heterogeneity in a colloidal fractal gel. Europhys. Lett. 2006, 76, 972–978. [Google Scholar] [CrossRef] [Green Version]
- Duri, A.; Sessoms, D.A.; Trappe, V.; Cipelletti, L. Resolving Long-Range Spatial Correlations in Jammed Colloidal Systems Using Photon Correlation Imaging. Phys. Rev. Lett. 2009, 102, 085702. [Google Scholar] [CrossRef] [Green Version]
- Orsi, D.; Cristofolini, L.; Baldi, G.; Madsen, A. Heterogeneous and Anisotropic Dynamics of a 2D Gel. Phys. Rev. Lett. 2012, 108, 105701. [Google Scholar] [CrossRef] [Green Version]
- Angelini, R.; Zulian, L.; Fluerasu, A.; Madsen, A.; Ruocco, G.; Ruzicka, B. Dichotomic aging behaviour in a colloidal glass. Soft Matter 2013, 9, 10955. [Google Scholar] [CrossRef]
- Larobina, D.; Cipelletti, L. Hierarchical cross-linking in physical alginate gels: A rheological and dynamic light scattering investigation. Soft Matter 2013, 9, 10005. [Google Scholar] [CrossRef] [Green Version]
- Buzzaccaro, S.; Alaimo, M.D.; Secchi, E.; Piazza, R. Spatially-resolved heterogeneous dynamics in a strong colloidal gel. J. Phys. Condens. Matter 2015, 27, 194120. [Google Scholar] [CrossRef] [Green Version]
- Mansel, B.W.; Williams, M.A.K. Internal stress drives slow glassy dynamics and quake-like behaviour in ionotropic pectin gels. Soft Matter 2015, 11, 7016–7023. [Google Scholar] [CrossRef] [PubMed]
- Philippe, A.-M.; Cipelletti, L.; Larobina, D. Mucus as an Arrested Phase Separation Gel. Macromolecules 2017, 50, 8221–8230. [Google Scholar] [CrossRef]
- Bouchaud, J.-P.; Pitard, E. Anomalous dynamical light scattering in soft glassy gels. Eur. Phys. J. E 2002, 9, 287–291. [Google Scholar] [CrossRef] [PubMed]
- Bouchaud, J.P. Anomalous Relaxation in Complex Systems: From Stretched to Compressed Exponentials. Anomalous Transp. Found. Appl. 2008, 327–345. [Google Scholar] [CrossRef] [Green Version]
- Segrè, P.; Prasad, V.; Schofield, A.; Weitz, D. Glasslike Kinetic Arrest at the Colloidal-Gelation Transition. Phys. Rev. Lett. 2001, 86, 6042–6045. [Google Scholar] [CrossRef] [PubMed] [Green Version]
- Manley, S.; Wyss, H.M.; Miyazaki, K.; Conrad, J.C.; Trappe, V.; Kaufman, L.J.; Reichman, D.R.; Weitz, D.A. Glasslike Arrest in Spinodal Decomposition as a Route to Colloidal Gelation. Phys. Rev. Lett. 2005, 95, 238302. [Google Scholar] [CrossRef] [PubMed]
- Bandyopadhyay, R.; Liang, D.; Yardimci, H.; Sessoms, D.A.; Borthwick, M.A.; Mochrie, S.G.J.; Harden, J.L.; Leheny, R.L. Evolution of Particle-Scale Dynamics in an Aging Clay Suspension. Phys. Rev. Lett. 2004, 93, 228302. [Google Scholar] [CrossRef] [Green Version]
- Jabbari-Farouji, S.; Wegdam, G.H.; Bonn, D. Gels and Glasses in a Single System: Evidence for an Intricate Free-Energy Landscape of Glassy Materials. Phys. Rev. Lett. 2007, 99, 065701. [Google Scholar] [CrossRef] [Green Version]
- Krall, A.H.; Weitz, D.A. Internal Dynamics and Elasticity of Fractal Colloidal Gels. Phys. Rev. Lett. 1998, 80, 778–781. [Google Scholar] [CrossRef] [Green Version]
- Ngai, K.L.; Paluch, M. Classification of secondary relaxation in glass-formers based on dynamic properties. J. Chem. Phys. 2004, 120, 857–873. [Google Scholar] [CrossRef]
- Paluch, M.; Wojnarowska, Z.; Hensel-Bielowka, S. Heterogeneous Dynamics of Prototypical Ionic Glass CKN Monitored by Physical Aging. Phys. Rev. Lett. 2013, 110, 015702. [Google Scholar] [CrossRef] [PubMed]
- Nigro, V.; Angelini, R.; Rosi, B.; Bertoldo, M.; Buratti, E.; Casciardi, S.; Sennato, S.; Ruzicka, B. Study of network composition in interpenetrating polymer networks of poly(N isopropylacrylamide) microgels: The role of poly(acrylic acid). J. Colloid Interface Sci. 2019, 545, 210–219. [Google Scholar] [CrossRef] [PubMed] [Green Version]
- Hecksher, T.; Olsen, N.B.; Niss, K.; Dyre, J.C. Physical aging of molecular glasses studied by a device allowing for rapid thermal equilibration. J. Chem. Phys. 2010, 133, 174514. [Google Scholar] [CrossRef] [PubMed]
- Niss, K.; Dyre, J.C.; Hecksher, T. Long-time structural relaxation of glass-forming liquids: Simple or stretched exponential? J. Chem. Phys. 2020, 152, 041103. [Google Scholar] [CrossRef] [Green Version]
- Bouzid, M.; Colombo, J.; Barbosa, L.V.; Del Gado, E. Elastically driven intermittent microscopic dynamics in soft solids. Nat. Commun. 2017, 8, 15846. [Google Scholar] [CrossRef] [Green Version]
- Ferrero, E.E.; Martens, K.; Barrat, J.-L. Relaxation in Yield Stress Systems through Elastically Interacting Activated Events. Phys. Rev. Lett. 2014, 113, 248301. [Google Scholar] [CrossRef] [Green Version]
- Chaudhuri, P.; Berthier, L. Ultra-long-range dynamic correlations in a microscopic model for aging gels. Phys. Rev. E 2017, 95, 060601. [Google Scholar] [CrossRef] [Green Version]
- Maccarrone, S.; Brambilla, G.; Pravaz, O.; Duri, A.; Ciccotti, M.; Fromental, J.-M.; Pashkovski, E.; Lips, A.; Sessoms, D.; Trappe, V.; et al. Ultra-long range correlations of the dynamics of jammed soft matter. Soft Matter 2010, 6, 5514. [Google Scholar] [CrossRef] [Green Version]
- Quignard, F.; Valentin, R.; Di Renzo, F. Aerogel materials from marine polysaccharides. New J. Chem. 2008, 32, 1300. [Google Scholar] [CrossRef]
- Widmer-Cooper, A.; Perry, H.; Harrowell, P.; Reichman, D.R. Irreversible reorganization in a supercooled liquid originates from localized soft modes. Nat. Phys. 2008, 4, 711–715. [Google Scholar] [CrossRef] [Green Version]
- Tsamados, M.; Tanguy, A.; Goldenberg, C.; Barrat, J.-L. Local elasticity map and plasticity in a model Lennard-Jones glass. Phys. Rev. E 2009, 80, 026112. [Google Scholar] [CrossRef] [PubMed] [Green Version]
- Schoenholz, S.S.; Liu, A.J.; Riggleman, R.A.; Rottler, J. Understanding Plastic Deformation in Thermal Glasses from Single-Soft-Spot Dynamics. Phys. Rev. X 2014, 4, 031014. [Google Scholar] [CrossRef] [Green Version]
- Ghosh, A.; Chikkadi, V.; Schall, P.; Bonn, D. Connecting Structural Relaxation with the Low Frequency Modes in a Hard-Sphere Colloidal Glass. Phys. Rev. Lett. 2011, 107, 188303. [Google Scholar] [CrossRef] [PubMed] [Green Version]
- Hsiao, L.C.; Kang, H.; Ahn, K.H.; Solomon, M.J. Role of shear-induced dynamical heterogeneity in the nonlinear rheology of colloidal gels. Soft Matter 2014, 10, 9254–9259. [Google Scholar] [CrossRef]
- Rocklin, D.Z.; Hsiao, L.C.; Szakasits, M.; Solomon, M.J.; Mao, X. Elasticity of colloidal gels: Structural heterogeneity, foppy modes, and rigidity. Soft Matter 2018, 17, 6929–6934. [Google Scholar] [CrossRef] [PubMed]
- Berthier, L.; Biroli, G.; Bouchaud, J.P.; Cipelletti, L.; van Saarloos, W. Dynamical Heterogeneities in Glasses, Colloids, and Granular Media; Berthier, L., Biroli, G., Bouchaud, J.-P., Cipelletti, L., van Saarloos, W., Eds.; Oxford University Press: Oxford, UK, 2011; ISBN 9780199691470. [Google Scholar]
- Duri, A.; Bissig, H.; Trappe, V.; Cipelletti, L. Time-resolved-correlation measurements of temporally heterogeneous dynamics. Phys. Rev. E 2005, 72, 051401. [Google Scholar] [CrossRef] [Green Version]
- Pastore, R.; Pesce, G.; Caggioni, M. Differential Variance Analysis: A direct method to quantify and visualize dynamic heterogeneities. Sci. Rep. 2017, 7, 43496. [Google Scholar] [CrossRef] [Green Version]
- Gentile, G.; Greco, F.; Larobina, D. Stress-relaxation behavior of a physical gel: Evidence of co-occurrence of structural relaxation and water diffusion in ionic alginate gels. Eur. Polym. J. 2013, 49, 3929–3936. [Google Scholar] [CrossRef]
- Ingar Draget, K.; Østgaard, K.; Smidsrød, O. Homogeneous alginate gels: A technical approach. Carbohydr. Polym. 1990, 14, 159–178. [Google Scholar] [CrossRef]
- Pecora, B.J.; Berne, R. Dynamic Light Scattering: With Applications to Chemistry, Biology, and Physics; Courier Corporation: Mineola, NY, USA, 2000. [Google Scholar]
- Kirsch, S.; Frenz, V.; Schärtl, W.; Bartsch, E.; Sillescu, H. Multispeckle autocorrelation spectroscopy and its application to the investigation of ultraslow dynamical processes. J. Chem. Phys. 1996, 104, 1758–1761. [Google Scholar] [CrossRef]
- Siviello, C.; Greco, F.; Larobina, D. Analysis of aging effects on the viscoelasticity of alginate gels. Soft Matter 2016, 12, 8726–8735. [Google Scholar] [CrossRef]
- Lačević, N.; Starr, F.W.; Schrøder, T.B.; Glotzer, S.C. Spatially heterogeneous dynamics investigated via a time-dependent four-point density correlation function. J. Chem. Phys. 2003, 119, 7372–7387. [Google Scholar] [CrossRef] [Green Version]
- Mayer, P.; Bissig, H.; Berthier, L.; Cipelletti, L.; Garrahan, J.P.; Sollich, P.; Trappe, V. Heterogeneous Dynamics of Coarsening Systems. Phys. Rev. Lett. 2004, 93, 115701. [Google Scholar] [CrossRef] [Green Version]
- Pastore, R.; Pica-Ciamarra, M.; Coniglio, A. Pacman percolation and the glass transition. Fractals 2013, 21, 1350021. [Google Scholar] [CrossRef] [Green Version]
- Malinverno, C.; Corallino, S.; Giavazzi, F.; Bergert, M.; Li, Q.; Leoni, M.; Disanza, A.; Frittoli, E.; Oldani, A.; Martini, E.; et al. Endocytic reawakening of motility in jammed epithelia. Nat. Mater. 2017, 16, 587–596. [Google Scholar] [CrossRef] [PubMed] [Green Version]
- Cerbino, R.; Villa, S.; Palamidessi, A.; Frittoli, E.; Scita, G.; Giavazzi, F. Disentangling collective motion and local rearrangements in 2D and 3D cell assemblies. Soft Matter 2021, 17, 8553. [Google Scholar] [CrossRef] [PubMed]
- Torres Arango, M.; Zhang, Y.; Zhao, C.; Li, R.; Doerk, G.; Nykypanchuk, D.; Chen-Wiegart, Y.C.K.; Fluerasu, A.; Wiegart, L. Ink-substrate interactions during 3D printing revealed by time-resolved coherent X-ray scattering. Mater. Today Phys. 2020. [Google Scholar] [CrossRef]
- Berthier, L. Dynamic Heterogeneity in Amorphous Materials. Physics 2011, 4, 42. [Google Scholar] [CrossRef] [Green Version]
- Sun, H.; Wang, Z.; He, Y. Direct Observation of Spatiotemporal Heterogeneous Gelation by Rotational Tracking of a Single Anisotropic Nanoprobe. ACS Nano 2019, 13, 11334–11342. [Google Scholar] [CrossRef]







Publisher’s Note: MDPI stays neutral with regard to jurisdictional claims in published maps and institutional affiliations. |
© 2021 by the authors. Licensee MDPI, Basel, Switzerland. This article is an open access article distributed under the terms and conditions of the Creative Commons Attribution (CC BY) license (https://creativecommons.org/licenses/by/4.0/).
Share and Cite
Pastore, R.; Siviello, C.; Larobina, D. Elastic and Dynamic Heterogeneity in Aging Alginate Gels. Polymers 2021, 13, 3618. https://doi.org/10.3390/polym13213618
Pastore R, Siviello C, Larobina D. Elastic and Dynamic Heterogeneity in Aging Alginate Gels. Polymers. 2021; 13(21):3618. https://doi.org/10.3390/polym13213618
Chicago/Turabian StylePastore, Raffaele, Ciro Siviello, and Domenico Larobina. 2021. "Elastic and Dynamic Heterogeneity in Aging Alginate Gels" Polymers 13, no. 21: 3618. https://doi.org/10.3390/polym13213618
APA StylePastore, R., Siviello, C., & Larobina, D. (2021). Elastic and Dynamic Heterogeneity in Aging Alginate Gels. Polymers, 13(21), 3618. https://doi.org/10.3390/polym13213618

