Abstract
In recent years, two-dimensional (2D) graphitic carbon nitride (g-C3N4) and hexagonal boron nitride (h-BN) have gained remarkable attention due to their resemblance to graphene. These materials have a wide range of applications in energy and other sustainable fields, including heterogeneous catalysis and photocatalysis. g-C3N4 and h-BN can play different roles in low-temperature fuel cells. They can be used as catalyst supports, catalysts for oxygen reduction, and membrane fillers. In this work, the application of pure and doped g-C3N4 and h-BN, alone or as composite materials, in low-temperature fuel cells is overviewed.
1. Introduction
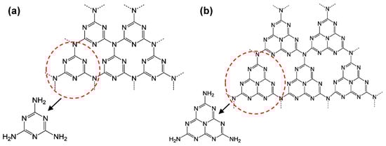
Two-dimensional carbon nitride and boron nitride are promising and widely used materials. Recently, graphitic carbon nitride (g-C3N4) and hexagonal boron nitride (h-BN) compounds attracted remarkable attention related to their resemblance to graphene [,]. In g-C3N4, C and N atoms adopt sp2 hybridization and are interconnected through σ bonds. The hexagonal structure comprises triazine rings, or hexatomic rings, which are attached to a smaller unit σ through C-N bonds. There exist two chemical structures for g-C3N4, featuring triazine rings (C3N3) and tri-s-triazine rings (C6N7). Scheme 1 shows the structures of triazine and tri-s-triazine.

Scheme 1.
(a) Triazine and (b) tri-s-triazine (heptazine) structures of g-C3N4. In these g-C3N4 structures, different nitrogen species (pyridine, amine, imine, and quaternary nitrogen) are present. (a) red dotted circle: triazine unit; (b) red dotted circle: heptazine unit. Reproduced from Ref. [], copyright 2024, with permission from Elsevier.
Due to the high nitrogen-to-carbon ratio, g-C3N4 is appropriate for applications where nitrogen-rich compounds are critical. Its unique structure gives outstanding stability to the material versus thermal and chemical attacks. By doping or incorporating it with other compounds, the characteristics of g-C3N4 can be easily tailored. Thus, it is possible to obtain g-C3N4 compounds with various morphologies, improving their performance and extending the range of applications in energy and other sustainable fields, including heterogeneous catalysis and photocatalysis [].
Boron nitride materials have attracted increasing interest in relation to their high electrical resistance and thermal conductivity, good chemical inertness and thermal shock resistance, and low thermal expansion []. Among the different crystalline forms of BN, h-BN is especially intriguing as an emerging 2D material because of its exceptional properties. h-BN is a layered compound similar to graphite, composed of alternating sp2-bonded B and N atoms, held together by covalent bonds, and the layers are held together by van der Waals forces []. The outstanding properties of BN-based materials make them attractive for applications in the fields of energy storage and health care.
h-BN nanomaterials can be found in all morphological shapes, such as nanosheets, nanoribbons, nanotubes, fullerenes, and quantum dots (Scheme 2). Hexagonal boron nitride nanosheets (h-BNNSs) are one of the more interesting nanoforms of BN, which resemble graphene nanosheets. BNNS has a 2D morphology like graphene and may have a thickness of 0.35–100 nm. BNNSs have excellent mechanical properties and thermal conductivity, high thermal stability, and oxidation resistance. Owing to their properties, the exfoliation of 2D h-BNNSs from bulk h-BN materials has received growing interest. Numerous exfoliation techniques offer scalable approaches for harvesting single-layer or few-layer h-BNNSs. Exfoliation from bulk-stacked h-BN is the most cost-effective way to obtain large quantities of few-layered h-BN.

Scheme 2.
Schematic representation of h-BN nanomaterials: (a,b) h-BN nanosheets (h-BNNSs); (c,d) h-BN nanoribbons (h-BNNRs); (e,f) h-BN nanotubes (h-BNNTs); (g,h) h-BN fullerenes (h-BNFLs); (i) h-BN quantum dots (h-BNQDs). Reproduced from Ref. [], copyright 2022, with permission from Elsevier.
A polymer electrolyte membrane fuel cell is essentially composed of the membrane electrode assembly (MEA) and the bipolar plates (BPs) [,]. The MEA includes electrodes formed by a gas diffusion layer (GDL) and a catalyst layer (CL)—the main component of which is a supported catalyst—on the anode and cathode side, respectively, and a proton exchange membrane (PEM) or an anion exchange membrane (AEM) in between []. A schematic view of the proton exchange membrane fuel cell (PEMFC) structure is shown in Figure 1. Two-dimensional nitrides are promising materials that can be used either as catalyst supports—having higher stability in PEMFC environments than the commonly used carbon supports and improving the catalytic activity of the supported catalysts by catalyst-support interactions—or as catalysts for the oxygen reduction reaction (ORR), replacing noble metal catalysts and showing good catalytic activity []. More recently, due to the layered structure with regular triangular nanopores acting as ion transport channels for H2O molecules and protons, g-C3N4 and h-BN have been used in polymer electrolyte membranes. The use of g-C3N4 and h-BN in low-temperature fuel cells is shown in Scheme 3. In this work, the feasible use of 2D nitrides as catalyst supports, catalysts for the ORR, and membrane fillers in low-temperature fuel cells is overviewed.

Figure 1.
Layout of a PEMFC. Reproduced from Ref. [], copyright 2023, with permission from Elsevier.

Scheme 3.
The use of g-C3N4 and h-BN in low-temperature fuel cells.
2. Catalyst Supports
Carbon is typically used as a catalyst support in polymer electrolyte membrane fuel cells, related to its large surface area, high electrical conductivity, and low price []. However, carbon particles are electrochemically oxidized under PEMFC operating conditions. The low stability of carbon support leads to a decrease in Pt surface area due to both Pt particle sintering and Pt loss []. Corrosion mainly affects the cathode catalyst support, but the anode catalyst support could also be prone to oxidative conditions []. Moreover, Pt catalysts accelerate the rate of carbon corrosion []. Degradation of the support also leads to a lowering of the rate of mass transport. For these reasons, finding new types of catalyst supports with high corrosion resistance in a fuel cell environment is mandatory. Various advanced carbon materials, such as ordered mesoporous carbons, nanostructured 1D carbons, and graphene, have been proposed [,], but these materials only decrease the carbon oxidation rate. Therefore, non-carbon materials, such as transition metal oxides, carbides, and nitrides [,,], were evaluated as catalyst supports. Moreover, some of them can act as co-catalysts []. Its lower price, excellent mechanical resistance, and high chemical stability at high temperatures and in acid and basic environments make g-C3N4 suitable for use as a fuel cell catalyst support [,]. A problem regarding the utilization of g-C3N4 as a fuel cell catalyst support is its poor conductivity. Moreover, its low surface area still hinders its application as a fuel cell catalyst support. A way to increase conductivity is the addition of the g-C3N4 of a conductive compound, forming a composite material []. In this regard, g-C3N4 can be divided into two classes: bare g-C3N4 supports and composite g-C3N4/carbon supports. Regarding the latter, generally, g-C3N4/carbon composites act as true hybrid supports with improved properties, such as higher electron conductivity (by the presence of carbon) or higher corrosion resistance (by the presence of the nitride) than the single materials. In some cases, the carbon-based material only acts as a support for g-C3N4 to increase its surface area. In recent works, 2D h-BN has also been investigated as a fuel cell catalyst support, but only for out-of-cell tests.
2.1. Carbon Nitrides
It is hopeful that nitrogen-doped carbons can act as catalyst supports because the coupling of the carbon π-system and the nitrogen electron lone pair has a considerable effect on carbon electronic properties []. N doping creates active sites on the carbon surface, acting as an anchoring site for the catalyst nanoparticles, resulting in an improved dispersity and stability of the catalyst []. Cai et al. [] observed that Pt dispersion increases with increasing N doping of the carbon support. N-doped carbon can be obtained either by the calcination of metal-organic frameworks (MOFs) or by carbon treatment with N precursors at elevated temperatures. These approaches, however, provide little or no control over porous structures, particle morphologies, sizes, and nitrogen states; this can be a drawback, as certain functionalities, such as pyridinic N, contribute to the enhancement of catalytic activity. Conflicting results on electrochemical corrosion were reported. Brandiele et al. [] found that N doping improves carbon corrosion resistance. Conversely, in a recent work, Homberger et al. [] observed that N doping and, thus, the incorporation of defects into the carbon backbone do not reduce carbon corrosion during high-potential cycling (1–1.5 V). The atomic structure of graphene is disrupted by the presence of free nitrogen atoms []. The excess of N doping reduces carbon corrosion resistance due to the existence of free nitrogen atoms. Thus, it is mandatory to carefully control the amount of N doping on carbon materials to avoid a decrease in corrosion resistance. To overcome the drawbacks of poor structural control during synthesis and the corrosion of nitrogen-doped carbons, carbon nitrides are considered hopeful candidates as fuel cell catalyst support. Indeed, carbon nitrides supply a high amount of N-specific functionalities at definite positions. Moreover, the high corrosion resistance and chemical stability make them promising catalyst supports. Among carbon nitride materials, 2D g-C3N4 is the most stable, with graphite-like planes [,].
2.1.1. Pristine g-C3N4
Due to the presence of N atoms, carbon nitrides supply a suitable bonding environment to anchor catalyst particles. The triazine/metal coordination complex enhances catalyst durability []. Due to its 2D layered structure, g-C3N4 can also provide a higher surface area than the bulk material and, therefore, can support a higher amount of catalyst. Mansor et al. [] explained the enhanced chemical resistance to corrosion of g-C3N4 compared to carbon by using simple band structure considerations. First, Kim et al. [] used g-C3N4 with highly ordered pore arrays as a support for PtRu. A direct methanol fuel cell (DMFC) with PtRu/g-C3N4 as the anode catalyst delivered a maximum power density (MPD) of ca. 83% higher than that with PtRu/C. Moreover, the MPD of the DMFC with a PtRu/C3N4 anode was ca. 25% higher than that with an ordered mesoporous carbon (OMC)-supported PtRu catalyst. Yue et al. [], Ma et al. [], and Sadhukhan et al. [] deposited Pt nanoparticles on 1D g-C3N4 nanotubes, 1D g-C3N4 nanofibers, and g-C3N4 nanosheets, respectively. All these catalysts showed good methanol oxidation reaction (MOR) activity, but they were not tested in fuel cells. Mansor et al. [] investigated three different graphitic carbon nitride materials as Pt supports: g-C3N4, polytriazine imide (PTI), belonging to the family of crystalline g-C3N4 materials, including Li+Cl−, and boron-doped g-C3N4 (B-g-C3N4). Before Pt deposition, following accelerated corrosion tests, all graphitic carbon nitride materials showed higher electrochemical stability than conventional carbon black, with B-g-C3N4 presenting the highest stability. Pt/PTI-Li+Cl− showed the highest stability: the decrease in ECSA was 19% vs. 36% for Pt/Vulcan following 2000 scans.
Goel et al. [] compared the performance of direct ethanol fuel cells (DEFCs) with mesoporous carbon nitride (MCN), multiwalled carbon nanotubes (MWCNTs), treated t-MWCNTs, and carbon Vulcan-XC-supported PtRu anode catalysts. As shown in Figure 2, the DEFC with PtRu/MCN as the anode catalyst delivered the best performance due to the high mesoporosity and amorphous framework of the MCN support. Zhang et al. [] fabricated a gC3N4 nanosheet-supported Pt catalyst. Pt nanoparticles were dispersed on gC3N4 nanosheets with a particle size of 1.84 nm. To increase the electron-transfer pathways on the Pt surface, acid-treated carbon black (ac-CB) was added to the Pt/gC3N4 Pt catalyst. Considerable durability of the Pt/gC3N4-ac-CB catalyst was observed. Following an accelerated durability test (ADT) of 5000 scanning cycles in a 2 mol L−1 H3PO4 electrolyte, the retained electrochemically active surface area (ECSA) of Pt/gC3N4–C was remarkably higher (87.6%) than that of Pt/C (54%). Moreover, during a 100 h durability test in an HT-PEMFC with Pt/C as the cathode catalyst, the voltage decay rate was 91 μV h−1, while a negligible decay (4 μV h−1) was observed for the cell with Pt/gC3N4–C as the cathode catalyst.

Figure 2.
DEFC performance of Pt–Ru/MCN, Pt–Ru/t-MWCNTs, Pt–Ru/MWCNTs, and Pt–Ru/Vulcan-XC catalysts at 2 mg cm−2 for catalyst loading on an anode at 100 °C. Reproduced from Ref. [], copyright 2014, with permission from Elsevier.
To overcome its poor conductivity, one solution is to add a conductive carbon material to the g-C3N4, forming a g-C3N4-carbon composite. Porous carbon black, graphene, and related materials, such as rGO, with high surface area and electrical conductivity, are commonly used as g-C3N4 substrates.
2.1.2. g-C3N4-Carbon Black Composites
Qian et al. [] prepared a Pd/g-C3N4/CB catalyst using a two-step process. First, melamine and carbon black were mixed together. Then, following heat treatment at 350 °C in an N2 atmosphere, the protonated melamine polymerizes formed s-triazine ring-based structures and bonded with oxygen-containing groups on the carbon black surface, obtaining a g-C3N4/CB composite support. The Pd/g-C3N4/CB catalyst delivered outstanding peak current densities for formic acid oxidation in acid media and methanol oxidation in alkaline media, outperforming Pd-C. This performance improvement was ascribed to the sum of three factors: the presence of CB in the composite, providing high surface area and high electrical conductivity, the g-C3N4 coating on CB, which strengthened the interaction between Pd and the support and protected the defect sites of carbon black from corrosion, and the high dispersion of Pd nanoparticles on the g-C3N4/CB composite. Lee et al. [] prepared a core@shell support formed by a thin, layered polymeric g-C3N4 coating onto amorphous carbon black (a-CB). Pt supported on a-CB@g-CN showed enhanced ORR activity compared to a-CB-supported Pt, ascribed to a synergic effect between Pt and g-C3N4 functional groups.
The polarization curves for different numbers of potential cycles of the PEMFCs with Pt/a-CB and Pt/a-CB@pg-CN cathode catalysts are shown in Figure 3a,b, respectively. The performance of the cell with the Pt/a-CB catalyst decreased with an increase in the number of potential cycles, while a negligible decrease in the performance was observed for the PEMFC with the Pt/a-CB@pg-CN catalyst, attesting the outstanding stability of a-CB@pg-CN support. Fang et al. [] deposited g-C3N4 onto 3D multimodal porous carbon (MPC) (g-C3N4@MPC) and used it as an electrocatalyst support. The large hydrophobic surface area of g-C3N4@MPC results in a uniform dispersion of Pt nanowires on the support. Moreover, the 3D interconnected pore networks enhanced mass transport. For these reasons, the Pt/g-C3N4@MPC catalyst delivered improved performance compared to Pt/MPC, Pt/C, and Pt/g-C3N4@C. Yu et al. [] prepared phosphorus-doped graphitic carbon nitride and carbon black (P-g-C3N4/CB) composite supports for Pd particles. Moreover, if the same amount of melamine (N source) (melamine) was used during the preparation process, the N content in the catalysts increased with increasing P source, indicating that the presence of P can reduce N loss during the calcination process of the mixture of melamine and CB. P doping leads to higher activity and durability for the formic acid oxidation reaction (FAOR) of Pd/ P-g-C3N4/CB than Pd/g-C3N4. Pd/ P-g-C3N4/CB with 1.5 at% P delivered a peak current density 2.15 times higher than that of Pd/C. The excellent FAOR activity of Pd/C-PCN-X catalysts was ascribed to the high dispersion of Pd particles and the change in Pd electronic structure by P doping. Alawadhi et al. [] used a g-C3N4/VC composite material comprising of graphitic carbon nitride (g-C3N4) and Vulcan carbon (VC) as a support for Ni(OH)2 nanoparticles. The catalyst supported on the composite with high Vulcan carbon, i.e., 2:1, showed the best performance that is nine-times the current density compared to that over Vulcan carbon.

Figure 3.
Polarization curves of PEMFCs using (a) Pt/a-CB and (b) Pt/a-CB@pg-CN cathode catalysts for a different number of potential cycles. Reproduced from Ref. [], copyright 2018, with permission from Elsevier.
Liang et al. [] synthesized g-C3N4–carbon nanosheet (CNS) composite supports with various g-C3N4 content, and then Pt/g-C3N4–CNS catalysts were prepared using the ethylene glycol reduction method. The Pt/20% g-C3N4–CNS catalyst exhibited the highest MOR activity. The addition of a certain amount of g-C3N4 to CNS anchors Pt nanoparticles, promotes the reduction of Ptδ+ species, and increases the specific surface area of the catalyst without changing the CNS 3D structure. The content of pyridine N and pyrrole N species increases with increasing g-C3N4 content, promoting Pt dispersion and strengthening the adhesion of Pt nanoparticles to the support, preventing agglomeration.
2.1.3. g-C3N4–Graphene (Reduced Graphene Oxide) Composites
Three-dimensional hybrid g-C3N4/graphene (reduced graphene oxide) materials were investigated as fuel cell catalyst supports. Huang et al. [] deposited homogeneous Pt particles on a hybrid 3D porous structure formed by graphene and g-C3N4, resulting in outstanding activity for methanol oxidation, high poisoning tolerance, and high stability. Li et al. [] prepared a graphene/ultrathin g-C3N4 nanosheets composite material using a π–π stacking method and used it as a PtRu catalyst support. The electrical conductivity of g-C3N4 was promoted by the electron–hole puddle formed on the sheet interfaces between g-C3N4 and graphene. The resulting PtRu/G-g-C3N4 catalysts showed outstanding MOR activity, high poisoning tolerance, and reliable stability, ascribed to the layered structure, high surface area, ultra-fine PtRu nanoparticles, high N content, and strong metal–support interaction (SMSI). The catalyst delivered the best performance with 25% g-C3N4 in the composite support. Song and Kim [] developed a solvothermal process for growing g-C3N4 on graphene oxide (GO) to form reduced GO (rGO) supported 3D flake-like g-C3N4 (g-C3N4@rGO) composite support. g-C3N4@rGO showed a low charge transfer resistance and a high amount of nitrogen (6–18 at.%). Pt nanoparticles with a size of 2–4 nm were uniformly dispersed on g-C3N4@rGO. In DMFCs, Pt/g-C3N4@rGO (8:1) showed higher ECSA, MOR current density, CO poisoning tolerance, and stability than Pt/rGO, Pt/C, and Pt/G. Then, Song et al. [] prepared a polydopamine (PDA)-coated g-C3N4 on an rGO (PDA@CN-G) composite support using GO, melamine, and dopamine by using an aqueous solution process. This support has a high ECSA, various porous structures, and high N content. When Pt was supported on this composite, the Pt/PDA@CN-G catalyst showed an enhancement in MOR activity (1.5 times), high CO tolerance (3.1 times), and long-term durability (1.7 times) compared to Pt/rGO, mainly ascribed to the porous nanostructure and the synergic effect between the g-C3N4 layer and PDA coating.
Zhang et al. [] prepared covalently coupled g-C3N4 on rGO composites using in situ chemical synthesis and used them as a support for Pd nanoparticles. The Pd/g-C3N4–rGO catalyst with 9.2 wt% g-C3N4 showed a high current density for the FAOR in acid solution and for the MOR in alkaline solution, large ECSA, and reliable durability. The improved electrochemical properties of Pd/g-C3N4–rGO with 9.2 wt% g-C3N4 with respect to Pd/rGO and Pd/AC were ascribed to the concomitant effect of the high rGO conductivity and highly dispersed Pd nanoparticles on g-C3N4 planar groups. Then, Zhang et al. [] fabricated a novel support material consisting of g-C3N4 nanoflakelets (CNNF) and rGO. Structural characterizations indicated an intimate coupling between CNNF and rGO. The CNNF can supply a large number of exposed edge sites and active nitrogen species, leading to a high dispersion of catalyst nanoparticles. The Pd/CNNF-rGO catalyst showed higher formic acid and methanol oxidation activity than Pd/rGO, Pd/AC, and Pd/CNT. The polarization and power density curves of a single direct formic acid fuel cell (DFAFC) with the Pd/CNNF-rGO and Pd/rGO catalysts are shown in Figure 4a. The DFAFC with Pd/CNNF-rGO as the anode catalyst delivered an MPD ca. 1.5 times higher than that of the cell with Pd/rGO. The stability at 0.35 V of the cell with Pd/CNNF-rGO remarkably improved compared to that with Pd/rGO (Figure 4b). Fang et al. [] fabricated a g-C3N4@rGO composite to support Pd nanoparticles by using a simple one-step electrodeposition. Pd/g-C3N4@rGO was prepared by direct cyclic voltammetric electrolysis using a mixture of rGO and Na2PdCl4 solution and g-C3N4 dispersion. With respect to other complex methods to prepare supported catalysts containing both g-C3N4 and metal particles, electrodeposition is a one-step direct technique without heating or binding. A remarkable hybridization of g-C3N4 on rGO sheet layers was obtained, which supports the Pd nanoparticles, forming a sandwich structure on both sides of the nanosheets. Pd/g-C3N4@rGO showed outstanding MOR activity and long-term stability, considerably higher than Pd/rGO. This result was ascribed to rGO, providing high conductivity to the support and to the high N content in g-C3N4, leading to an increase in the number of anchor sites for Pd particles.

Figure 4.
(a) Steady-state polarization power-density curves; (b) discharge curves at 0.35 V of the DFFCs using Pd-CNNF-rGO and Pd-rGO as anodes at 60 °C. Reproduced from Ref. [], copyright 2016, with permission from Elsevier.
Boron was introduced in g-C3N4/G supports by doping either graphene (g-C3N4/BG) [] or g-C3N4 (Bg-C3N4/G) []. The metal catalyst nanoparticles supported on these composites are effectively stabilized through their strong interactions with B and N, acting as metal trapping sites. In Pd/BG-g-C3N4, the stabilization of Pd particles on BG-CN and the strong anchoring effect of this support reduced Pd detachment []. The mass and specific activities of Pd/g-C3N4/BG for formic acid oxidation were 2.8- and 2.5-fold higher than those of Pd/C, respectively. This enhanced activity was ascribed to the electronic effect of the g-C3N4/BG substrate. On the other hand, the efficient immobilization of ultra-small Pt nanocrystals on 3D interweaving porous B-doped g-C3N4 nanosheet-graphene networks (Pt/Bg-C3N4-G) resulted in a large ECSA, high mass activity and poisoning tolerance, and outstanding cycling stability towards methanol oxidation, all of which exceed those of Pt/G, Pt/Bg-C3N4, PtCNT, and Pt/C catalysts [].
2.2. h-BN and h-BN Nanosheets (h-BNNSs)
h-BN, with outstanding chemical stability in strong oxidative and acidic/alkaline conditions and excellent thermal stability, should serve as a stable catalyst support. Electron-rich N atoms and electron-deficient B atoms make the electron donation-back donation process easy, supplying a strong anchoring for the catalyst particle and, at the same time, boosting activity for oxygen reduction []. To improve electrical conductivity, vacancies and defects were introduced into the h-BN monolayer, reducing the band gap [,]. The presence of B and N vacancies also improves the CO tolerance of h-BN-supported Pt. Zhu et al. [] ascribed the high CO tolerance of Pt supported on vacancy-rich BM nanosheets (h-BNNS) to an interfacial electronic effect between Pt and h-BNNS. Pt nanoparticles were embedded on both N-vacancies and B-vacancies, and the overall charge transfer was from h-BNNS to Pt, resulting in stronger O2 binding than CO molecules, reducing the CO poisoning of Pt. Analogously, theoretical calculations and experimental measurements indicated that the downshift of the Pd d-band center, due to the strong interaction between h-BNNSs and Pd, facilitates the removal of the reaction intermediates []. Recently, the suitability of h-BN as a fuel cell catalyst support was investigated [,,,,,]. h-BNNSs were used as supports for Pt [,], Pd [,,,,], and PtPd [] catalysts.
Three-dimensional fluffy Pt, Pd, and PtPd nanocorals (NCs) deposited on 2D h-BNNSs were obtained by a UV laser-excited photochemical reaction []. Laser-modification of h-BNNSs resulted in the formation of electron–hole pairs on the surfaces, improving conductivity. The PtPdNCs/h-BNNSs catalyst with a unique nanoporous surface provided high MOR activity.
Porous BN (p-BN) is a type of h-BN material that has a large surface area and a high number of pores. The high porosity allows catalyst nanoparticles to anchor to the support surface. Li et al. [] prepared a p-BN-supported Pt catalyst by using an impregnation reduction method. Ultra-fine platinum particles were dispersed on p-BN pore edges. According to the cyclic voltammetry (CV) curves in Figure 5a, the ECSA values of p-BN and Pt/C were calculated. As shown in Figure 5b, the ECSA of Pt/p-BN was larger than that of the Pt/C catalyst, attributed to the ultra-fine size and high dispersion of platinum on the substrate. ORR polarization curves for Pt/p-BN and Pt/C catalysts are shown in Figure 5c. The onset potential (Eonset) and half-wave (E1/2) for the Pt/p-BN catalyst were more positive than those for Pt/C, confirming the synergic effect between Pt and p-BN. The mass activity (MA) and specific activity (SA) of Pt/p-BN and Pt/C are shown in Figure 5d. At 0.90 and 0.85 V, Pt/p-BN showed an MA of 1.06 A mg−1 Pt and 6.63 A mg−1 Pt, respectively, which are 6.23 and 6.56 times larger than those of Pt/C. The SAPt/p-BN/SAPt/C ratio at 0.90 and 0.85 V is 4.59 and 4.92, which is much higher than that of ECSAPt/p-BN/ECSAPt/C (1.33), indicating that the enhancement of MA of Pt/p-BN is, overall, due to the co-catalytic effect of p-BN support. Moreover, Pt/h-BN showed excellent durability in acid media. Following ADT (10,000 cycles), the ECSA of Pt/p-BN decreased by only 0.62%, and the MA by 7.1% at 0.90 V. Conversely, the ECSA of Pt/C decreased by 10.7% and the MA by 57.0%. Huang’s research group [,] used p-BN with different morphologies, meaning BN nanofibers (BNNFs) and BN microfibers (BNMFs), as supports for Pd nanoparticles. Pd was anchored to p-BN by an impregnation reduction method. Both Pd/BNMFs and Pd/BNNFs delivered higher FAOR activity and stability than Pd/C, ascribed to the high dispersion of the Pd nanoparticles on the p-BN surface.

Figure 5.
(a) CV curves of Pt/p-BN and Pt/C in a N2-saturated 0.1 M HClO4 solution at a 50 mV s−1 scan rate; (b) ECSA values; (c) LSV curves in O2-saturated 0.1 M HClO4 at a scan rate of 10 mV s−1 and a rotating speed of 1600 rpm; (d) mass and specific activities of Pt/p-BN and Pt/C at 0.85 and 0.90 V reproduced from Ref. [], copyright 2020, with permission from Elsevier.
3. ORR Catalysts
The electrochemical reduction process of oxygen consists of several elementary steps combined with a variety of parallel-continuous reactions. The oxygen reduction reaction (ORR) can be divided into two categories: a “direct” four-electron pathway to generate O2-species (H2O in acidic solutions or OH− in alkaline solutions) or a “series” two-electron pathway to generate hydrogen peroxide (H2O2) []. The “direct” four-electron oxygen reduction pathway is recognized as the favorable pathway since H2O2 reduces energy-conversion efficiency and accelerates the degradation of the proton-conducting polymer membrane in PEMFCs. Different intermediates, including oxygenated (O*), hydroxyl (OH*), and superhydroxyl (OOH*) species, could be generated during the ORR. Several possible transformations between these intermediates make the ORR a complex process. There is still no definitive conclusion because the reaction pathway depends, to a great extent, on the catalysts and environmental parameters such as solvent, temperature, and applied electrode potential. Generally, the overall ORR rate is determined by one of these three steps: (1) the first electron transfer to the adsorbed O2 molecule, (2) the hydration of O2, and (3) the final desorption of H2O. Moreover, several studies reported that oxygen coverage plays a critical role in ORR mechanisms []. High oxygen coverage results in O–O cleavage after OOH* formation (so-called associative mechanism), whereas low oxygen coverage leads to O–O cleavage before OH* formation (dissociation mechanism). The pH of the environment also plays a crucial role in the selectivity of ORR in terms of the fact that H2O2 is more stable in acidic media than in alkaline conditions. In alkaline media, the overall reaction of the four-electron pathway is []
O2 + 2H2O + 4e− → 4OH− (0.401 V vs. SHE, pH = 14)
In acid media, the overall reaction of the four-electron pathway is []
O2 + 4H+ + 4e− → 2H2O (1.229 V vs. SHE, pH = 0)
Going from acidic electrolytes to basic ones, a decrease in the oxygen adsorption energy takes place, allowing for the use of nonprecious catalysts [].
Pt is commonly utilized as a PEMFC cathode catalyst; however, its ORR activity and sluggish kinetics are unsatisfactory in obtaining the required efficiency []. Moreover, Pt and other precious metals have high costs and limited resources. Thus, many studies have been carried out to develop nonprecious cathode catalysts []. Compared to PEMFCs, the main advantage of alkaline fuel cells (AFCs) is that they enable the use of nonprecious catalysts due to their high stability in alkaline media []. Among the different nonprecious catalysts, due to their high chemical inertness and corrosion resistance, nitrides have gained growing interest. Generally, in the literature, there is no clear distinction between nitrides as catalysts and nitrides as catalyst supports because when they are used as support, a co-catalytic effect can also be present. In this section, only nitrides acting as catalysts have been taken into account.
3.1. g-C3N4
g-C3N4 with high nitrogen content can act as an efficient electrocatalyst for the ORR [,,,,], having a lot of active sites related to the lone pair electrons on the N atom. Moreover, with respect to N-doped carbon materials, g-C3N4 has a higher N content and more active and ordered sites, resulting in a more effective electrocatalyst. However, g-C3N4 has a low electronic conductivity and a low specific surface area, limiting the electrochemical reactions [,,,]. Moreover, according to theoretical calculations, it was found that g-C3N4 enables two-electron ORR transfer, resulting in the block of the catalyst surface having intermediate OOH− groups [,]. A way to overcome these drawbacks is to synthesize g-C3N4 into either an ordered mesoporous or 1D tubular framework. Kwon et al. [] showed that directing g-C3N4 frameworks into mesoporous architectures can generate a promising ORR electrocatalyst in an acid electrolyte. Ordered mesoporous carbon nitrides (OMCNs) were prepared by using ordered mesoporous silica as a template. OMCNs showed a remarkable enhancement in ORR activity with respect to bulk g-C3N4 and OMCs. The improved ORR activity of OMCN was ascribed to both the high surface area and the high number of N groups. Moreover, OMCNs showed superior durability and methanol tolerance to Pt/C. Tahir et al. [] synthesized g-C3N4 in the form of nanofibers and tubular 1D nanostructures. These materials with high surface area and high nitrogen content showed good wettability regarding the electrode and an enhanced number of active sites. The tubular structure showed higher ORR activity than nanofibers and was only slightly lower than Pt/C due to the presence of a higher number of active sites and a larger surface area. Tubular g-C3N4 followed two- and four-electron transfer pathways for O2 in alkaline media. g-C3N4 showed higher stability and methanol tolerance than Pt/C.
3.1.1. g-C3N4–Carbon Composites
The problem of g-C3N4 having poor conductivity can be solved by adding a conductive carbon to the nitride. First, Lyth et al. [] observed an improvement in the ORR activity of g-C3N4 by combining it with a high-surface-area carbon black. The conductive substrate enhances the number of electrons on the surface of g-C3N4, facilitating four-electron ORR transfer. Then, the ORR activity of different g-C3N4/carbon composites was investigated [,,,,,,,,]. Zheng et al. [] fabricated a graphitic carbon nitride/carbon composite via the incorporation of g-C3N4 into ordered mesoporous carbon (g-C3N4@CMK-3) using a nanocasting method. The ORR activity of g-C3N4@CMK-3 was higher than bare g-C3N4 and physically mixed g-C3N4 and CMK-3. The g-C3N4@CMK-3 catalyst showed competitive ORR activity and higher methanol tolerance when compared to Pt/C. Moreover, it showed ca. a 100% four-electron ORR transfer mechanism. Liang et al. [] observed high ORR activity on a g-C3N4/carbon composite catalyst with 3D interconnected macropores. This composite not only showed ORR activity close to that of Pt/C but also much higher methanol tolerance and durability. Qin et al. [] prepared a hollow mesoporous g-C3N4 nanosphere/3D graphene composite (HMCN-3G) using hydrothermal treatment of HMCN with graphene oxide. Three-dimensional graphene is a framework of interconnecting 2D graphene sheets. The HMCN-3G composite showed remarkably improved ORR activity with respect to bulk g-C3N4 and HMCN. The improvement in electrochemical performance was ascribed to the higher density of active sites, electrolyte enhancement was ascribed to the HMCN structure, and enhanced conductivity was ascribed to graphene. Fu et al. [] synthesized 3D hierarchical porous g-C3N4/carbon composite spheres; oxygen reduction was effectively catalyzed by this composite. In addition to 3D structures, 2D graphene can also be used to improve the ORR activity of g-C3N4 due to its excellent electron-collecting and transporting properties. Yang et al. [] prepared graphene/g-C3N4 nanosheets via graphene dispersion between g-C3N4 nanosheets using a nanocasting method. The G/g-C3N4 composite showed high conductivity along with an ORR four-electron transfer mechanism, indicating that, in addition to electronic conductivity, ORR activity increased with increasing pyridinic nitrogen content. Selvarajan et al. [] fabricated a highly dispersed g-C3N4 matrix in graphene nanoplatelets (GNPs) via the integration of the chemical activation and polymerization of g-C3N4 precursors, resulting in a lot of active sites and enhanced interaction with the oxygen intermediates. The simultaneous effect of the g-C3N4 matrix, porosity, and conductive GNPs resulted in outstanding ORR activity, excellent stability, and methanol tolerance. Garcia et al. [] prepared g-C3N4 supported on reduced graphene oxide (g-C3N4@rGO) using GO and urea pyrolysis. Although g-C3N4@rGO showed lower ORR activity than Pt/C, its electrochemical stability was higher. Mane et al. [] fabricated a g-C3N4-GO composite catalyst by reducing 2D GO and porous g-C3N4 under solar radiation. This method generates Lewis base centers and a high surface area structure, making O2 diffusion and adsorption easier. The g-C3N4-GO electrocatalyst showed an ORR onset potential of 0.85 V, a four-electron pathway, and outstanding methanol tolerance and stability. Finally, Kim et al. [] prepared a g-C3N4-carbon nanofiber (CNF) composite via liquid-based reactions. CNF can form secondary pores, facilitating mass transfer within the thick catalyst layer. The g-C3N4/CNF composite was pyrolyzed at 700 °C for 30 min. Figure 6 shows the performance of single cells with g-C3N4-CNF-700 and Pt/C as the cathode catalyst. For the PEMFC (Figure 6a), the current density of the cell at 0.6 V with g-C3N4-CNF-700 was 69% of the cell with Pt/C. The rapid voltage drop in the high-current-density region of the cell with g-C3N4-CNF-700 was ascribed to the much thicker electrode (50–60 μm) compared to that with Pt/C (5–10 μm), decreasing gas transport. For AFC (Figure 6b), the current density at 0.6 V of the cell with g-C3N4-CNF-700 was 80.5% of the cell with Pt/C.

Figure 6.
Polarization curves of PEMFCs and AFCs with g-CN-CNF-700 and Pt/C cathode catalysts. (a) PEMFC operated at 80 °C; (b) AFC operated at 50 °C. Figures in the background are cross-sectional FE-SEM images of the g-CN-CNF-based MEAs. Reprinted from Ref. [], Kim et al. Sci. Rep. 2015, 5, 8376. https://creativecommons.org/licenses/by/4.0/ (accessed on 17 April 2025).
3.1.2. Element-Doped g-C3N4 and g-C3N4–Carbon Composites
Element doping is another promising way to improve the ORR activity of g-C3N4 []. Indeed, g-C3N4 doping can induce a redistribution of charges and change the effective O2 chemisorption mode, promoting the ORR process. Mei et al. [] synthesized layered spongy-like oxygen-doped g-C3N4 (O-g-C3N4) by using melamine and cyanuric acid as precursors. Oxygen doping narrowed the bandgap, negatively shifted the valence band maximum, and enhanced electrical conductivity. The incorporation of oxygen resulted in a higher mass activity, a positive shift of E1/2 toward ORR, and a better electron transfer efficiency than pure g-C3N4. The improvement in ORR activity following oxygen doping should be ascribed to the enhancement of O2 adsorption and the pyridinic-N content of O-g-C3N4, which is higher than pristine g-C3N4, contributing to the formation of active sites. Xu et al. [] synthesized 3D sulfur-doped carbon nitride (S-CN) using a melamine sponge as a precursor. CN was uniformly doped through many S–C bonds, providing additional active sites and increasing ORR activity.
S-CN showed higher ORR onset potential and electron transfer number. By using first-principle calculations and experimental measurements, He et al. [] inferred that, among the elements of the VI A family (O, S, and Se), only O doping can remarkably improve the ORR activity of g-C3N4. Qin et al. [] synthesized a dual core-shell g-C3N4@Fe/Sr@g-C3N4 nanosphere (FSCN-NS) catalyst by using a two-step self-assembly strategy. ORR polarization curves of g-C3N4, FSCN-NS, and Pt/C are shown in O2-saturated alkaline (Figure 7a) and acid (Figure 7b) media. FSCN-NS showed high ORR activity, in particular, in an alkaline medium, with an onset potential of 1.06 V. The limiting current density of FSCN-NS was higher than that of Pt/C in both conditions. The high ORR activity of FSCN-NS was ascribed to the high surface area, the high amount of pyridinic and graphitic N, and the presence of highly active ORR sites, such as Fe3C, FeNx(x = 1–3), SrCN2, SrC2, and SrFe (CN)5NO2.

Figure 7.
Comparison of the polarization curves of g-C3N4, FSCN-NS, and Pt/C at 1600 rpm in O2-saturated electrolyte at 10 mV s−1 in an alkaline (a) and acid (b) media. Reproduced from Ref. [], copyright 2019, with permission from Elsevier.
The formation of element-doped g-C3N4/carbon-based material composites is a useful strategy to further improve ORR activity. An increase in the conductivity of O-g-C3N4 by 6 times was observed using Ketjen carbon black (KBC) as a support []. This composite showed satisfactory ORR activity, outstanding stability, and high methanol tolerance. Xu et al. [] prepared a graphene quantum dots/sulfur-doped graphitic carbon nitride nanosheets (S-g-C3N4@GQD) nanocomposite using one-step hydrothermal treatment. This composite showed remarkably enhanced ORR activity compared to S-g-C3N4 and GQDs due to the presence of additional active sites, and it was highly effective in charge separation and the charge transfer network. Qiu et al. [] fabricated a 3D porous phosphorus-doped graphitic carbon nitride/NH2-functionalized carbon black (P-g-C3N4@NH2–CB) composite using a self-assembly method. NH2–CB acts as a spacer, enabling self-assembly with P-g-C3N4 nanosheets and transforming the 2D P-g-C3N4 nanosheets into a 3D composite architecture with higher surface area, exposing more active sites for oxygen reduction. The outstanding ORR activity of P-g-C3N4@NH2–CB in an alkaline medium was close to that of Pt/C.
To enhance ORR activity, TMs were also used as g-C3N4 dopants. The high ORR activity of TM-doped g-C3N4 is due to the presence of TM-N-C active sites []. Sarkar et al. [] synthesized copper-doped g-C3N4 (Cu-g-C3N4) using a simple one-step pyrolysis process. The Cu-g-C3N4 material showed excellent ORR activity in an alkaline medium, higher than that of g-C3N4.
As can be seen in Figure 8, compared to Pt/C, Cu-g-C3N4 showed higher methanol tolerance and long-term stability, with less than 4% H2O2 formation. Then, the same research group prepared a Fe-doped g-C3N4 material using a one-step thermal polymerization reaction []. Fe-g-C3N4 showed outstanding ORR activity in an alkaline medium due to the presence of Fe–Nx active sites. This catalyst displayed an E1/2 of 0.88 V vs. RHE, following a 4e− transfer pathway and outstanding stability, exceeding Pt/C. Kumar et al. [] synthesized a CNT-supported hollow mesoporous Fe-graphitic carbon nitride (Fe-C3N3@CNTs) composite using 1,3,5-triazine polymerization with cyanuric chloride on the CNT surface. The Fe-C3N3@CNTs electrocatalysts followed the 4e− ORR electron transfer pathway and showed an E1/2 that was higher than that of Pt/C. The high ORR activity of Fe-C3N3@CNTs was ascribed to the composite architecture and the high number of Fe-Nx sites.

Figure 8.
(a) CV curves of Cu-g-C3N4 and g-C3N4 before and after the addition of 1 M CH3OH; (b) chronoamperometry (CA) of Cu-g-C3N4 and Pt/C in O2-saturated 0.1 M KOH at 0.57 V with 1 M CH3OH added after 800 s; (c) CA of Cu-g-C3N4 and Pt/C at 0.57 V in O2-saturated KOH solution at 1600 rpm; (d) ORR polarization curves of Cu-g-C3N4 at 1600 rpm with 10 mV−1 before and after stability. Reproduced from Ref. [], copyright 2019, with permission from Elsevier.
Various papers have evaluated the ORR activity of composites formed by Co-doped g-C3N4 and carbon-based materials, such as CNT [] carbon nanohorns (CNH) [], OMC [], graphene (G) [] and CNT/G []. All these Co-containing composite catalysts showed high ORR activity, a four-electron transfer pathway, high methanol tolerance, and high stability. The improvement in ORR activity was primarily due to the presence of Co–Nx active sites. Moreover, the assembly of Co-doped g-C3N4 and carbon material would lead to a highly efficient ORR process due to a strong electronic coupling between the nanostructured carbon and Co-g-C3N4. Jo et al. [] fabricated Co- and Fe-coordinated g-C3N4 ((Co,Fe)–CN) and rGO, with the formation of many Co–Nx–C and Fe–Nx–C active sites. (Co,Fe)–CN/rGO showed high ORR activity, with an onset potential that was only slightly more negative than Pt/C, following a 4e− ORR electron transfer pathway in acidic media. Moreover, this catalyst showed outstanding methanol tolerance and stability in acid media.
3.2. h-BN
Its high stability, good chemical inertness, and low price make h-BN a fascinating material for fuel cell application, but it presents intrinsic low ORR activity in the pristine form due to its low conductivity. To increase conductivity and thereby promote ORR activity, different ways, such as utilizing metal support, metal doping, carbon doping, and h-BN-carbon-based heterostructures, have been explored.
3.2.1. Metal-Supported h-BN
An early work suggested that metal-supported h-BN, particularly h-BN/Ni(111), may favorably adsorb and activate O2 []. On this basis, according to a DFT analysis, Lyalin et al. [] evaluated the ORR activity of a h-BN monolayer supported on a Ni(111) surface. They found that Ni(111) can modify the chemical and physical characteristics of defect-free monolayer h-BN, favoring the adsorption of oxygenated species. They demonstrated that inert defect-free monolayer h-BN can become ORR active via the functionalization induced by metal support; however, theoretical calculations revealed a high overpotential, limiting the ORR. Koitz et al. [] computationally investigated the ORR of h-BN supported on Ni(111), Cu(111), and Co(111). They found that h-BN/Cu catalyzes the ORR with a low overpotential, whereas on h-BN/Ni and h-BN/Co, the presence of too-stable hydroxyl species surfaces hinders the ORR. Gao et al. [] observed that the electron transfer from a metal substrate to h-BNNS defect sites can make h-BNNS catalytically active. They showed that the binding energies of oxygenated species on h-BNNS/Cu(111) with boron vacancies (VB) are similar to those on Pt(111), suggesting that inert defective h-BNNS can be functionalized by metal surfaces, becoming ORR active. Analogously, Back et al. [] observed that noble metal supports require B (VB) or N (VN) vacancies to make h-BN active for oxygen reduction. It was observed that different kinds of h-BN on gold substrates act as ORR catalysts [,].
Among the various h-BN forms, the highest ORR activity was achieved by h-BNNS, but the overpotential was much higher than that of a Pt electrode, and almost 100% oxygen reduction followed a two-electron transfer pathway []. ORR activity strongly depends on the h-BNNS-Au interactions. As shown in Figure 9, an increase in the h-BNNS-Au interaction by decorating h-BNNS/Au with Au nanoparticles leads both to higher ORR activity and to a higher amount of H2O produced [,]. When small Au nanoparticles were used for h-BNNS decoration, a very low ORR overpotential was observed (350 mV lower than at the Au electrode and only 100 mV higher than at the Pt electrode), and 80–90% oxygen reduction followed a four-electron transfer pathway. Moreover, the utilization of small-sized BNNS increases h-BNNS-Au interactions. Dinh et al. [] studied the influence of the size of Au-supported h-BNNS on ORR activity in an acid medium. The ORR overpotential decreased with decreasing h-BNNs size due to the increase in the active sites. The modification of the Au surface with the smallest-size h-BNNS resulted in a decrease in the overpotential by ∼330 mV with respect to the unmodified Au electrode.

Figure 9.
Dependence of the current density at 0.3 V and the fraction of H2O produced on Au, BNNS/Au, Au-BNNS/Au, and Pt electrodes. Reproduced from Ref. [], copyright 2016, with permission from Elsevier.
3.2.2. Metal-Doped h-BN
The presence of defect sites in an h-BNNS, such as VB and VN, enhances its chemical reactivity []. While the chemical inertness of defect-free h-BNNS results in a weak interaction with metal atoms, the defective h-BNNS is suitable for developing novel catalysts by metal doping. DFT calculations were used to evaluate the ORR activity of metal-doped defective BNNSs [,,,]. Feng et al. [] showed that Fe atoms can strongly bind with VB sites of defective h-BNNs, ensuring high stability. Based on the free energy change and activation energy of each step in the ORR process, it can be inferred that Fe-h-BNNS possesses good ORR activity through a direct four-electron pathway. Esrafili et al. [] evaluated Si-embedded boron nitride nanotubes (Si-BNNTs) as an ORR electrocatalyst. There are two substitution sites in Si-BNNTs: a B site (SiB) and an N site (SiN). The results indicated that SiB-BNNT has outstanding ORR activity. Hsu et al. [] reported that in Mn-doped h-BN, Mn atoms have a higher probability of replacing boron in h-BN vacancies than nitrogen. Moreover, Mn atoms have a high ability to adsorb oxygen-containing intermediates, ascribed to the large charge difference between N and Mn. Finally, by using DFT simulations, Chen et al. [] investigated h-BN embedded with 23 transition metal (TM) atoms as highly active single-atom ORR electrocatalysts. Based on the screening criterion (−4.92 eV < ΔGO* < 0 eV), 13 kinds of TM-BN met the criterion and were selected to study their ORR performance. Among them, Au-BN delivered the highest ORR activity with the lowest overpotential, lower than that of Pt. Experimental measurements should be carried out to validate the theoretical results.
3.2.3. Carbon-Doped h-BN
The presence of C atoms in the h-BN lattice, either as isolated dopants or as C “islands”, can significantly improve its electron mobility []. The CB or CN defect sites, formed by the replacement of B or N atoms with C atoms, can act as n-type or p-type sites or Lewis acid-base sites in electrocatalytic reactions. Theoretical calculations showed that the CN sites can act as sites for oxygen reduction, balancing O2 adsorption and desorption. The isolated C-doped sites [,,] or smaller graphene islands [] can effectively break the O-H bond in H2O. Thus, C-h-BN materials, due to their outstanding activity for O2 reduction to H2O, are promising fuel cell metal-free cathode catalysts. By using DFT calculations, Zhao et al. [] investigated the use of carbon-doped h-BNNS as an ORR catalyst. The results indicated that single C-doped h-BNNS can increase charge density and decrease the energy gap, leading to an improvement in O2 adsorption. The CN sites are highly effective for O2 activation and promote the ORR steps to follow a four-electron pathway. Nguyen et al. [] studied the ORR activity of C-doped h-BN nanoflakes by using quantum chemical calculations; both single and double C-doped systems are ORR active, but the latter, with two unpaired electrons, is more efficient than the former, with one unpaired electron. Gao et al. [] observed that CB generates an n-type semiconductor h-BN with appreciable O2 activation activity in a large area extended far away from the CB defect. O2 adsorption energy on CB@h-BN decreases slowly with increasing distance from CB, keeping O2 highly activated. Conversely, for monolayer h-BN doped with TMs and different atoms of III, IV, and V groups, O2 adsorbs only close to the dopant. Marbaniang et al. [] synthesized C-doped h-BN using a chemical vapor deposition method. The catalyst obtained after annealing at 850 °C showed remarkable ORR activity and high stability even up to 10,000 potential cycles. Finally, Zhang et al. [] co-doped h-BN with 3d TMs and carbon atoms. The TM atoms, anchored with four or two C atoms, formed TM–C4–BN and TM–C2N2–BN structures. TM–C2N2–BN showed higher structural stability and stronger adsorption of oxygen-containing intermediates than TM–C4–BN. The best catalyst for oxygen reduction was Co–C2N2–BN.
3.2.4. Graphene-h-BN Composites
Unlike h-BN, graphene has almost metallic properties; thus, combining the advantages of graphene with those of h-BN can be a proper strategy. Different studies indicated that in-plane graphene/boron nitride (G/h-BN) heterostructures can act as a proper ORR catalyst [,,,]. Patil et al. [] synthesized an rGO/h-BN nanocomposite by using a one-step hydrothermal method followed by high-temperature annealing. The rGO/h-BN nanocomposite showed high ORR activity with a single-step, almost four-electron transfer pathway and an onset potential of ~0.8 V vs. RHE in an alkaline medium. Moreover, the rGO/h-BN nanocomposite showed higher stability after 10,000 cycles and higher methanol tolerance than Pt/C. Sun et al. [] demonstrated that the C–N interfaces of G/h-BN heterostructures act as active sites. H2O formation at the C–N interface is both energetically and kinetically favored. Patil et al. [] attributed the outstanding ORR activity of a CNT/h-BN nanocomposite to a synergic effect between CNT and h-BN. Rastogi et al. [] prepared a vertical non-van der Waals (non-vdW) G/h-BN heterostructure. This non-vdW G/h-BN, unlike vdW heterostructures, forms a chemical bridge between graphene and h-BN, leading to a direct charge transfer and high ORR activity, similar to that of Pt/C, but with higher stability and methanol tolerance.
3.2.5. Tri-Functional h-BN-Based Electrocatalysts
As previously reported, the ORR activity of h-BN can be improved in the presence of a metal. The poor electronic conductivity of h-BN, however, limits the use of h-BN/metal in fuel cells. By combining it with graphene or CNTs, the electrical conductivity of h-BN/metal can be greatly improved. On this basis, the ORR activity of tri-functional electrocatalysts was investigated. Chen et al. [] investigated the ORR activity of tri-functional h-BN/TM/G catalysts using DFT calculations. A series of 3d and 4d TM atoms covered by h-BNNS and graphene were screened in detail. A volcano relationship between ORR overpotential and ∗OH binding strength (ΔG∗OH) was established, revealing that when the ΔG∗OH is in the range of 0.5–1.2 eV, the BN/TM/G catalysts will present relatively high activity for oxygen reduction. For Co, Mo, Ru, Tc, Mn, Cu, Ni, and Fe metals located near the top of the volcano curve, their corresponding h-BN/TM/G catalysts present a relatively small ORR overpotential. Among them, h-BN/Cu/G showed the lowest ORR overpotential. Yu et al. [] prepared a tri-functional h-BN/Cu/CNT catalyst by using a complexation-reduction method. This electrocatalyst showed high ORR activity, delivering a high cathodic current density (Figure 10a) comparable to that of Pt/C. The ORR linear sweep voltammetry (LSV) curves of h-BN/Cu, Cu/CNT, h-BN/Cu/CNT, and Pt/C catalysts are shown in Figure 10b. The ORR onset potential of h-BN/Cu/CNT was more positive than that of h-BN/Cu and Cu/CNT, and it was close to that of Pt/C. Unlike h-BN and CNT alone, h-BN and CNT together strongly enhance the ORR activity of Cu nanoparticles. The Tafel plots of h-BN/Cu, Cu/CNT, and h-BN/Cu/CNT were 252, 109, and 92 mV dec−1, respectively, while that of Pt/C was 84 mV dec−1 (Figure 10c), which is in agreement with LSV results.

Figure 10.
(a) CV curves of h-BN/Cu/CNT in O2-saturated and Ar-saturated 0.1 M KOH. (b) LSV curves and (c) Tafel plots of h-BN/Cu/CNT, h-BN/Cu, Cu/CNT, and Pt/C catalysts in O2-saturated 0.1 M KOH. Reproduced from Ref. [], copyright 2023, with permission from Elsevier.
4. Composite Membrane
Perfluorosulfonic acid (PFSA) membranes, such as Nafion, are the commonly utilized PEMs in low-temperature fuel cells due to their excellent chemical, mechanical, and thermal stability, as well as high proton conductivity under hydrated conditions []. However, some limitations of PFSA membranes, such as poor proton conductivity in anhydrous conditions, high manufacturing costs, high fuel permeability, low chemical stability, and the degradation of their properties at high temperatures, have been addressed in the research into alternative PFSA PEMs, such as sulfonated poly (ether ketone ether) (SPEEK), polybenzimidazole (PBI), and sulfonated poly(ether sulfone) (SPES) PEMs. These membranes, however, suffer from poor proton conductivity and mechanical stability. A way to overcome these drawbacks is the addition of various multifunctional organic, inorganic, and hybrid fillers []. Composite membranes with h-BN and g-C3N4 fillers are a promising solution.
4.1. h-BN and h-BN-Containing Composite Membranes
4.1.1. h-BN Membranes
h-BN has great potential as a PEMFC membrane, as it has high proton conductivity and outstanding gas-blocking capability []. First, single-layer h-BN (1L-BN) and an AA’-stacked tri-layer h-BN (3L-BN) were tested as fuel cell PEMs. The PEMFC with a 3L-BN membrane delivered a better performance than that with the 1L-BN membrane []. The change in the open circuit voltage (OCV) and power density of the cells with 1L-BN and 3L-BN membranes following 100 h of accelerated stress tests (ASTs) was of little importance, whereas the OCV and the power density of the cell with a Nafion 211 membrane remarkably decreased. However, structural defects and mechanical damage during the transfer of the h-BN layer and membrane swelling, as well as hydrophobicity and low surface charge, limited the application of h-BN to PEMFCs. To enhance the surface charge and stability, Jia et al. [] fabricated Nafion-functionalized h-BN-based membranes (NBN). This membrane facilitates proton conduction within the membrane. At appropriate Nafion contents, the NBN membranes showed high proton conductivity and good stability in a fuel cell environment.
4.1.2. h-BN-Nafion Composite Membranes
Different works addressed h-BN-filled Nafion, aiming to improve proton conductivity, particularly in anhydrous conditions, and reduce fuel crossover [,,,]. Jia et al. [] blended NBN with Nafion to obtain NBN/Nafion composite PEMs. The addition of NBN to Nafion provided more proton transportation sites and improved water uptake. The proton conductivity of the composite membrane remarkably increased compared to recast Nafion. At 80 °C–95% RH, the proton conductivity of 0.5 NBN/Nafion was 6 times that of recast Nafion. Akel et al. [] fabricated composite membranes by mixing Nafion and 3, 5, 10, and 15 wt% h-BN nanoparticles. The presence of hydrophobic h-BN particles decreased the swelling property and methanol retention of Nafion. In dry conditions, the maximum proton conductivity of the membrane was obtained with 10 wt% h-BN; this was much higher than pure Nafion. The enhanced proton conductivity was ascribed to H-bond formation between the amine and hydroxyl groups of h-BN and the sulfonic acid groups of Nafion. Parthiban and Sahu [] evaluated sulfonated h-BN as a potential filler to prepare Nafion composite membranes. h-BN layered structure morphology efficiently reduced methanol crossover, while SO3− presence enhances proton conductivity. The proton conductivity of Nafion–h-BN in the optimum composition was ∼58% higher than that of Nafion. The single-cell DMFC with a Nafion–h-BN (0.75 wt%) membrane delivered an MPD of 165 mW cm−2 at 70 °C, while the cell with a pristine Nafion membrane showed an MPD of only 65 mW cm−2. Similarly, Lee et al. [] coated an ultra-thin h-BN layer on a Nafion membrane. The h-BN-coated layer efficiently suppressed the gas crossover, hindering oxygen radical formation in the electrodes without decreasing Nafion proton conductivity.
4.1.3. h-BN-Non-Perfluorinated Polymer Composite Membranes
Among different PEMs, SPEEK is one of the most promising PFSA-alternative membranes due to its outstanding chemical and thermal stability, excellent strength, low fuel crossover, and low cost []. The control of the degree of sulfonation (DS), on which the proton conductivity of SPEEK depends, is essential. A high DS will produce high proton conductivity, but excessive DS will have negative effects on membrane stability. Meanwhile, a low DS will result in not enough proton conductivity. Thus, an optimal DS of SPEEK is very important to balance its effects, but this is not simple. For this reason, other ways to increase SPEEK proton conductivity and mechanical stability were explored, such as blending SPEEK with organic and inorganic fillers. Oh et al. [] investigated boron nitride nanoflakes (BNNFs) as a SPEEK nanofiller. A low content of BNNFs (0.3 wt%) remarkably improved the mechanical stability of SPEEK during repeated wet/dry cycles. As it is difficult to disperse BNNFs in most organic solvents, it was non-covalently functionalized with 1-pyrenesulfonic acid (PSA). In addition to a high dispersion, PSA sulfonic functional groups improved proton conductivity. The SPEEK/BNNFs composite membrane showed considerably improved long-term durability compared to pristine SPEEK. Huang et al. [] prepared an ultra-thin reinforced membrane by using h-BNNSs, high sulfonated SPEEK, and expanded polytetrafluoroethylene (ePTFE). The MPD of the PEMFC with the 0.5%-BN@SPEEK/PTFE membrane was higher (by 16.6%) than that of the cells with the SPEEK/PTFE and Nafion 212 membranes. Yadav et al. [] added sulfonated boron nitride (SBN) to a SPEEK matrix for its use in DMFCs. The presence of SBN reduced methanol crossover and increased the ion exchange capacity (IEC), proton conductivity, and mechanical strength of the membrane. Yogarathinam et al. [] used polyaniline-coated activated boron nitride (PANI-A-BN) as a filler in SPEEK membranes. In the presence of PANI-A-BN, methanol permeability was significantly reduced, and proton conductivity and chemical stability were improved. The power density of the DMFC with the PANI-A-BN/SPEEK membrane was higher than that with the pristine SPEEK membrane.
SPES and PBI are other non-fluorinated polymers widely used in fuel cells; however, their proton conductivity and stability are not satisfactory. Functionalized h-BN was used as a filler for SPES [,]. Galhot et al. [] functionalized h-BN using acid treatment, inducing h-BN exfoliation as well as sulfur functionalization. The incorporation of a low amount of functionalized h-BN (0.5 wt%) into the SPES enhanced the mechanical and thermal stability and proton conductivity of the membrane. The filler acts as a barrier for methanol and facilitates proton transport. Kumar et al. [] prepared hydroxylated boron nitride (HBN) using liquid exfoliation and the hydroxylation of h-BN, yielding few-layered sheets. An outstanding synergic effect between SPES and HBN through the functional groups (SO3H–OH) occurred, resulting in continuous proton transfer channels. The power density of the PEMFC with a 3.5 wt% HBN/SPES membrane was improved compared to that with pristine SPES, with reduced membrane degradation after a 120 h durability test. Hussin et al. [] prepared PBI/h-BN composite membranes, with the h-BN loading between 2.5 and 10 wt%. The HT-PEMFC with PBI/BN-2.5 membrane delivered better performance than that with a pristine PBI membrane.
The effect of functionalized h-BN addition to composite SPEEK/P (P = PES, PBI) membranes on their properties was also evaluated [,]. Polydopamine-modified boron nitride (AH-BN) sheets containing base groups (–NH2 and –NH–) were synthesized and incorporated into a SPEEK/PES composite membrane []. Acid–base pairs were formed at the SPEEK-PES/AH-BN interface, offering continuous pathway channels for proton transport via a Grotthuss mechanism. The performance of the PEMFCs with SPEEK, SPEEK/PES (SR0), and SPEEK/PES/AH-BN (3 wt%, SR2) membranes at 80 °C at 50 RH% is reported in Figure 11a. The performance of the cell with the SR2 composite membrane was the highest. The PES and AH-BN sheets and the 2D structure remarkably reduce the fuel blockage of the hydrogen crossover across the composite membrane. The performance of the cell with the SR2 composite membrane was evaluated at 80 °C and 75 RH% and compared with that of the cell with a Nafion 117 membrane. The obtained OCV was nearer to that of the PEMFC with a Nafion 117 membrane (Figure 11b), and the MPD value was higher in comparison. Harameen et al. [] functionalized h-BN by introducing a hydroxyl group and then added it to SPEEK/PBI. The addition of h-BN remarkably improved the protonic conductivity of the composite membrane, and a noticeable enhancement in thermal stability and ionic conductivity was observed.

Figure 11.
Polarization and power density curves of PEMFCs with (a) SPEEK, SR0, and SR2 membranes at 50 RH% and (b) SR2 and Nafion117 membranes at 75 RH%. Reproduced from Ref. [], copyright 2022, with permission from Elsevier.
4.2. g-C3N4-Containing Composite Membranes
Two-dimensional ultra-thin g-C3N4 has been utilized as filler in polymer membranes due to its unique properties []. The amino (–NH2) and imino (–NH) groups of g-C3N4 are expected to interact with the sulfonate groups (−SO3−) in the polymer matrix, forming acid–base pairs, promoting −SO3− dissociation and improving Grotthuss-type proton transfer []. The incorporation of g-C3N4 significantly improves proton conductivity, thermal stability, and the strength of the membrane. Unlike h-BN, which is utilized as a filler only in proton exchange membranes, g-C3N4 was used in both proton and anion exchange membranes. –NH4 and OH− groups in g-C3N4 can form H-bonds with OH− and H2O, promoting the dissociation of quaternary ammonium groups in the anionic membranes []. g-C3N4 was added to protonic SPEEK [,,,,,] and sulfonated poly (arylene ether sulfone) (SPAES) [,,,] and anionic quaternary poly (arylene ether ketone) (QPAEK) [,] membranes. To enhance the proton conductivity and stability of polymer membranes, mesoporous g-C3N4 [], F- [], O- [], P- [], and H-doped [] g-C3N4 and sulfonic acid-functionalized [] g-C3N4 were used as fillers. To further improve membrane performance, the utilization of a double filler instead of a single filler was also reported, combining not only the properties of different materials but also exploiting a synergic effect between them. The addition of double-filler composites, formed by adding g-C3N4 and either an oxide compound (GO, CeO2, TiO2, and Gd2Zr2O7) [,,,,] or phosphotungstic acid (H3PW12O40; HPW) [,,,] to a polymer membrane, was reported with promising results.
Graphitic carbon nitride–gadolinium zirconium oxide (g-C3N4–Gd2Zr2O7) is a promising double filler that can simultaneously increase the power density and lifetime of polymer membranes in high-temperature PEMFCs.
At 100 °C under 30% RH, the MPD of the cell with a Nafion/gC3N4–Gd2Zr2O7 membrane was 504 mW cm−2 at a current density of 804 mA cm−2, which is 1.9- and 2.3-fold higher than that of the cell with Nafion-212 and pristine Nafion membranes. Moreover, the cell with Nafion/gC3N4–Gd2Zr2O7 displays an OCV decay of 0.1 mV h−1 during 515 h of operation, which is remarkably lower than that of the cell with a Nafion membrane during 300 h of operation (2.8 mV h−1) []. At 125 °C under 15% RH, the PEMFC with the Nafion/gC3N4–Gd2Zr2O7 membrane largely outperforms the cells with Nafion-212 and pristine Nafion membranes, delivering a power density of 380 mW cm−2 []. Vinothkannan et al. [] used a SPEEK/gC3N4–Gd2Zr2O7 composite membrane in an HT-PEMFC, attaining an MPD of 315 mW cm−2 at 110 °C under 15% RH, with minimal chemical degradation after 300 h of operation.
HPW, as a solid heteropolyacid, has strong acidity, hydrophilicity, outstanding stability, and high proton conductivity.
HPW can develop a preferential pathway for proton transport, enhancing water retention and decreasing the energy barrier of proton conduction. However, HPW is highly soluble in water; to prevent its leakage from the membrane, one way is to immobilize it onto g-C3N4 nanosheet surfaces. The immobilization of HPW onto g-C3N4 nanosheet surfaces not only combines the advantages of HPW and 2D g-C3N4 nanosheets but also can effectively inhibit the leakage of HPW. Figure 12a,b show the polarization curves of the PEMFC with 7.5 wt% of HPWg-C3N4/SPAES (SPAES/PCN-7.5) and bare SPAES membranes under 60/100 RH%s at 80 °C before and after a durability test. Before the stability test, the SPAES/PCN-7.5 membrane displays a remarkably better PEMFC performance at both RH% conditions than pristine SPAES. The cell with the SPAES/PCN-7.5 membrane attained MPD values 1.5 (at 100 RH%) and 1.95 (at 60 RH%) times, respectively, that of the cell with the SPAES membrane due to the excellent proton conductivity of the composite membrane. After the durability test, the MPD values of the PEMFC with the SPAES membrane decreased by 30.4 % and 19.4 % at 60 and 100 RH%, respectively. The cell with the SPAES/PCN-7.5 membrane, instead, showed a decrease in MPD of 10.5 % and 6.3 %, indicating the remarkable long-term stability of the composite membrane formed by HPW/g-C3N4 nanosheets and SPAES.

Figure 12.
Polarization and power density curves of PEMFCs with SPAES and SPAES/PCN-7.5 membranes at 80 °C under (a) 100 RH% and (b) 60 RH% before and after the durability test. Reproduced from Ref. [], copyright 2024, with permission from Elsevier.
The addition of g-C3N4 enhances the proton conductivity of different membranes by 28–127%, and, as a consequence, fuel cell performance is also enhanced by 17–164%. Among the different composite membranes, the incorporation of CQD/g-C3N4 in the SPEEK membrane resulted in the highest enhancement in proton conductivity and MPD [].
5. Summary and Future Prospects
The advantages and disadvantages of the use of pristine, doped, and composite g-C3N4 and h-BN in low-temperature fuel cells are highlighted in Table 1.

Table 1.
Advantages and disadvantages of the use of pristine, doped, and composite g-C3N4 and h-BN in low-temperature fuel cells.
Catalyst supports. To overcome the shortcomings related to the use of carbon, different types of alternative supports have been evaluated. Among them, its lower price, excellent mechanical resistance, and outstanding chemical stability under high temperatures and severe conditions make g-C3N4 suitable for use as a fuel cell catalyst support. N atom presence provides a proper synergic bonding environment to anchor catalyst particles. Triazine units can form an effective coordination complex with catalyst particles, enhancing electrocatalyst stability. A hindrance to the utilization of g-C3N4 as a fuel cell catalyst support is its poor conductivity and low surface area. A way to increase the conductivity is the addition (to g-C3N4) of a conductive carbon material. Compared to the catalysts supported on commonly used carbon, catalysts supported on nanostructured g-C3N4 and g-C3N4/carbon composites showed high catalytic activity and stability. The fuel cells with the nanostructured g-C3N4 and hybrid g-C3N4/carbon-supported catalysts delivered better performance than the cells with carbon-supported ones. Meanwhile, h-BN has emerged as a new catalyst support material, showing promising performance and durability. Porous h-BN and h-BN nanosheets were investigated as fuel cell catalyst supports using out-of-cell tests. The catalysts supported in these materials showed higher catalytic activity and stability than the same catalysts supported on carbon. In the case of h-BN, unlike g-C3N4, to increase surface area and electrical conductivity, it is preferable to use porous and defective structures rather than nitride/carbon composites.
A key factor in the preparation of a suitable catalyst support is the design of the porous structure of the electrode composed of the catalyst and catalyst support materials. Research efforts have to address the synthesis of exfoliated 2D layered nitride structures or also holey structures to tune pore size and to form composites with other catalyst support materials naturally possessing the required porosity.
Catalysts. Compared to other N-carbon materials, g-C3N4 has higher N content and more active sites, resulting in a more effective metal-free ORR electrocatalyst. Compared with Pt catalysts, g-C3N4 has numerous advantages, such as lower cost and greater abundance, higher methanol poisoning tolerance, and the possibility of creating various nanostructures by using a templating method. However, g-C3N4 has low electronic conductivity and low specific surface area, limiting electrochemical reactions. The poor conductivity of g-C3N4 can be overcome by using a conductive carbon support. Element doping is another promising way to improve the ORR activity of graphitic carbon nitride. Its high stability, good chemical inertness, and low price make h-BN a fascinating material for fuel cell application, but it suffers from intrinsic low ORR activity in the bare form, owing to its low conductivity. To increase conductivity, different strategies, such as using a metal support, metal doping, carbon doping, and h-BN-carbon-based material heterostructures, have been reported. Regarding metal-doped h-BN, only theoretical calculations have been reported. Experimental measurements should be carried out to validate the theoretical results.
Doped and/or composite g-C3N4 and h-BN catalysts showed high methanol tolerance, high stability, and an ORR close to and, in some cases (in particular, in alkaline media), higher than that of Pt. It is important to note that, unlike other uses, most experiments regarding the use of nitrides, in particular h-BNs, as catalysts, have been carried out using out-of-cell tests. More tests in fuel cells should be performed to better evaluate these materials. This is a key point. Indeed, very often, even if a low ECSA loss was obtained following durability tests in a half-cell, indicating good durability, fuel cell performance dropped over time due to poor water and heat management in the membrane-electrode assembly. Thus, more studies should address the long-term durability of g-C3N4 and h-BN catalysts in a single fuel cell test to evaluate the suitability of electrodes composed of these catalyst systems in an actual fuel cell environment. Moreover, the degradation mechanisms of g-C3N4 and h-BN catalysts should be deeply investigated.
An issue in the preparation of nitride catalysts is balancing the micro- and mesopores where the active sites are located. This is a key factor in enabling the accessibility of the reactants and preventing water from pooling at the pores. This is considered an important challenge in fabricating g-C3N4 and h-BN-based MEAs, requiring a high active surface area for ORR activity (presence of micropores) and good mass transport (presence of mesopores) during the reactions.
To improve the electrocatalytic properties of g-C3N4, it is suggested that g-C3N4 structures be fabricated with a continuous phase of single atomic thickness. It can be obtained by optimizing the reaction conditions, like temperature, and selecting a suitable precursor in the gaseous phase. Moreover, post-treatments like exfoliation and etching (during hard template synthesis) can introduce defects that are useful for improving ORR activity.
Exfoliation is an important strategy in the preparation of h-BN nanosheets used as fuel cell catalysts. However, some challenges exist in the process of exfoliation. Commonly, 2D h-BN nanosheets are exfoliated from bulk h-BN through long-duration ultrasonic treatment in a polar solvent, mechanical exfoliation, ion insertion, and ball milling. However, the process mentioned above is too complicated and/or hard to scale up for real applications. Because of the lower yield, low stability and the restacking of layers are observed in exfoliated layers. Solvothermal techniques are widely used to exfoliate many two-dimensional materials, but the impurities are prone to attaching to the BNNSs exfoliated by the solvothermal route []. Thus, research efforts have to address obtaining g-C3N4 and h-BN nanosheets derived from the bulk materials using improved methods, such as covalent, non-covalent, and Lewis acid–base approaches.
Finally, future studies should focus on the knowledge of the basic mechanisms associated with the catalytic process. Such attempts will help in the development of more suitable g-C3N4 and h-BN catalysts.
As previously reported, nitride/carbon composite materials have been proposed as catalyst supports and ORR catalysts to improve nitride properties. However, considering the unsatisfactory stability of carbon-based materials in a fuel cell environment, the use of nitride/carbon composites to improve surface area and electrical conductivity is not appropriate. Thus, research efforts should address the development of novel carbon-free nitride-based materials, such as nanostructured nitrides, metal-doped nitrides, and also nitride/ceramic oxide composites, such as triple metal oxide (CoNiMn)/porous g-C3N4 composites, showing encouraging results as ORR catalyst [].
When g-C3N4 is used as a catalyst support, one way to improve conductivity is to develop new synthesis methods. For example, Shi et al. [] proposed an innovative gamma irradiation method to efficiently synthesize g-C3N4-supported Pt. Using this method, conductive channels between the g-C3N4 and supported Pt are formed. The Pt/g-C3N4 was tested for ORR and showed a small Tafel slope and a four-electron transfer path. The ORR activity of Pt/g-C3N4 was much higher than that of Pt/C. Another way to improve the conductivity of g-C3N4 without the addition of a carbon material is the addition of Ag []. In addition to enhancing electrical conductivity, the presence of Ag improves the CO tolerance of g-C3N4.
Membrane fillers. To overcome the drawbacks related to the use of PFSA membranes, non-fluorinate membranes, such as SPEEK and PBI, have been proposed. However, they suffer from poor proton conductivity and mechanical stability. The addition of stable and proton-conducting g-C3N4 and h-BN to these membranes is an effective way to improve their characteristics. Unlike h-BN, which is used as a filler only in proton exchange membranes, g-C3N4 was used in both proton and anion exchange membranes. Amino and hydroxyl groups in g-C3N4 can form hydrogen bonds with OH− and water, promoting the dissociation of quaternary ammonium groups in the anionic membranes. The addition of g-C3N4 enhances the proton conductivity of different membranes by 28–127%, and, as a consequence, fuel cell performance is also enhanced by 17–164%. The utilization of a double filler instead of a single filler was also reported, combining not only the properties of different materials but also exploiting a synergic effect between them. For example, dual-filler HPW-g-C3N4 showed promising results; in this case, g-C3N4 serves both to stabilize HPW and to improve proton conductivity. Among the different composite membranes, the incorporation of CQD/g-C3N4 in the SPEEK membrane resulted in the highest enhancement in proton conductivity and MPD [].
Notwithstanding these advantages, the low interaction between the polymer membrane and g-C3N4/h-BN creates agglomeration and hinders the addition of large amounts of nitrides to the PEM membranes. Moreover, the blockage of the ionic channel due to agglomeration limits the hopping of water molecules and gives rise to low proton conductivity. As reported by Huang et al. [] and Galhot et al. [], the addition of 0.5 wt% h-BN increases the proton conductivity of the polymer membrane, but for a h-BN content of >0.5 wt%, a decrease in proton conductivity was observed due to H-BN agglomeration in the polymer membrane. h-BN and the acidic sulfonic acid group create acid–base ion pairs, forming a continuous proton transport channel. Moreover, alkaline h-BN can promote sulfonate dissociation to expose additional proton acceptor sites. Moreover, if h-BN has proton conduction ability, its contribution is negligible compared with that of the polymer; thus, the use of excessive h-BN will only increase proton transport resistance and, thus, reduce proton conduction. In the coating method, the adhesion between nanomaterials and substrates is not sufficient, so more studies have to address the design of the thin layer and better adhesion between the two. In the case of the solution-casting method, to limit particle agglomeration, research efforts have focused on the particle distribution in the polymer solution, casting temperature and time, and the humidity and temperature of drying.
Funding
This research received no external funding.
Institutional Review Board Statement
Not applicable.
Informed Consent Statement
Not applicable.
Data Availability Statement
No new data were created or analyzed in this study.
Conflicts of Interest
The authors declare no conflict of interest.
Abbreviations
Accelerated durability test: ADT; alkaline fuel cell: AFC; anion exchange membrane: AEM; bipolar plate: BP; boron nitride microfiber: BNMF; boron nitride nanofiber: BNNF; carbon black: CB; carbon nanofiber: CNF; carbon nanosheet: CNS; carbon nitride nanoflakelet: CNNF; catalyst layer: CL; cyclic voltammetry: CV: direct ethanol fuel cell: DEFC; degree of sulfonation: DS; direct formic acid fuel cell: DFAFC; direct methanol fuel cell: DMFC; electrochemically active surface area: ECSA; formic acid oxidation reaction: FAOR; gas diffusion layer: GDL; graphene: G; graphene nanoplatelet: GNP; graphene oxide: GO; graphene quantum dot: GQD; graphitic carbon nitride: g-C3N4; hexagonal boron nitride: h-BN; hexagonal boron nitride nanosheet: h-BNNS; hollow mesoporous g-C3N4 nanosphere/3D graphene composite:HMCN-3G; phosphotungstic acid: HPW; mass activity: MA; maximum power density: MPD; membrane electrode assembly: MEA; mesoporous carbon nitride: MCN; methanol oxidation reaction: MOR; multimodal porous carbon: MPC; multiwalled carbon nanotube: MWCNT; Nafion functionalized boron nitride: NBN; open circuit voltage: OCV; ordered mesoporous carbon: OMC; oxygen reduction reaction: ORR; perfluorosulfonic acid: PFSA; polyaniline: PANI; polybenzimidazole: PBI; polydopamine: PDA; proton exchange membrane: proton exchange membrane fuel cell: PEMFC; PEM; quaternary poly(arylene ether ketone): QPAEK; reduced graphene oxide: relative humidity: RH; rGO; specific activity: SA; strong metal-support interaction: SMSI; sulfonated poly (arylene ether sulfone): SPAES; sulfonated poly(ether ketone ether): SPEEK; sulfonated poly(ether sulfone): SPES; transition metal: TM.
References
- Joy, J.; George, E.; Vijayan, P.P.; Anas, S.; Thomas, S. An overview of synthesis, morphology, and versatile applications of nanostructured graphitic carbon nitride (g-C3N4). J. Ind. Eng. Chem. 2024, 133, 74–89. [Google Scholar] [CrossRef]
- Hayat, A.; Sohail, M.; Hamdy, M.S.; Taha, T.A.; AlSalem, H.S.; Alenad, A.M.; Amin, M.A.; Shah, R.; Palamanit, A.; Khan, J.; et al. Fabrication, characteristics, and applications of boron nitride and their composite nanomaterials. Surf. Interfaces 2022, 29, 101725. [Google Scholar] [CrossRef]
- Xing, L.; Shi, W.; Su, H.; Xu, Q.; Das, P.K.; Mao, B.; Scott, K. Membrane electrode assemblies for PEM fuel cells: A review of functional graded design and optimization. Energy 2019, 177, 445–464. [Google Scholar] [CrossRef]
- Shi, D.; Cai, L.; Zhang, C.; Chen, D.; Pan, Z.; Kang, Z.; Liu, Y.; Zhang, J. Fabrication methods, structure design and durability analysis of advanced sealing materials in proton exchange membrane fuel cells. Chem. Eng. J. 2023, 454, 139995. [Google Scholar] [CrossRef]
- Abdelkareem, M.A.; Wilberforce, T.; Elsaid, K.; Sayed, E.T.; Abdelghani, E.A.M.; Olabi, A.G. Transition metal carbides and nitrides as oxygen reduction reaction catalyst or catalyst support in proton exchange membrane fuel cells (PEMFCs). Int. J. Hydrogen Energy 2021, 46, 23529–23547. [Google Scholar] [CrossRef]
- Antolini, E. Carbon supports for low-temperature fuel cell catalysts. Appl. Catal. B Environ. 2009, 88, 1–24. [Google Scholar] [CrossRef]
- Taniguchi, A.; Akita, T.; Yasuda, K.; Miyazaki, Y. Analysis of electrocatalyst degradation in PEMFC caused by cell reversal during fuel starvation. J. Power Sources 2004, 130, 42–49. [Google Scholar] [CrossRef]
- Roen, L.M.; Paik, C.H.; Jarvi, T.D. Electrocatalytic corrosion of carbon support in PEMFC cathodes. Electrochem. Sol. State Lett. 2004, 7, A19–A23. [Google Scholar] [CrossRef]
- Antolini, E. Graphene as a new carbon support for low-temperature fuel cell catalysts. Appl. Catal. B Environ. 2012, 123–124, 52–68. [Google Scholar] [CrossRef]
- Antolini, E. Ceramic materials as supports for low-temperature fuel cell catalysts. Solid State Ionics 2009, 180, 746–763. [Google Scholar] [CrossRef]
- Sinniah, J.D.; Wong, W.Y.; Loh, K.S.; Yunus, R.M.; Timmiati, S.N. Perspectives on carbon-alternative materials as Pt catalyst supports for a durable oxygen reduction reaction in proton exchange membrane fuel cells. J. Power Sources 2022, 534, 231422. [Google Scholar] [CrossRef]
- Mansor, N.; Miller, T.S.; Dedigama, I.; Jorge, A.B.; Jia, J.; Brázdová, V.; Mattevi, C.; Gibbs, C.; Hodgson, D.; Shearing, P.R.; et al. Graphitic Carbon Nitride as a Catalyst Support in Fuel Cells and Electrolyzers. Elecrochim. Acta 2016, 222, 44–57. [Google Scholar] [CrossRef]
- Prabakaran, K.; Jandas, P.J.; Luo, J.; Fu, C. Graphitic carbon nitride for fuel cells. In Nanoscale Graphitic Carbon Nitride; Pandikumar, A.C., Murugan, S.V., Eds.; Elsevier: Amsterdam, The Netherlands, 2024; pp. 341–365. [Google Scholar]
- Antolini, E. Composite materials: An emerging class of fuel cell catalyst supports. Appl. Catal. B: Environ. 2010, 100, 413–426. [Google Scholar] [CrossRef]
- Zaman, S.; Wang, M.; Liu, H.; Sun, F.; Yu, Y.; Shui, J.; Chen, M.; Wang, H. Carbon-based catalyst supports for oxygen reduction in proton-exchange membrane fuel cells. Trends Chem. 2022, 4, 886–906. [Google Scholar] [CrossRef]
- Antolini, E. Nitrogen-doped carbons by sustainable N- and C-containing natural resources as nonprecious catalysts and catalyst supports for low temperature fuel cells. Renew. Sust. Energy Rev. 2016, 58, 34–51. [Google Scholar] [CrossRef]
- Cai, X.; Liu, X.; Wei, X.; Lin, R. Effect of nitrogen-doped carbon support on the performance of catalysts for the oxygen reduction reaction. ACS Appl. Energy Mater. 2024, 7, 8705–8714. [Google Scholar] [CrossRef]
- Brandiele, R.; Durante, C.; Zerbetto, M.; Vicentini, N.; Kosmala, T.; Badocco, D.; Pastore, P.; Rizzi, G.A.; Isse, A.A.; Gennaro, A. Probing the correlation between Pt-support interaction and oxygen reduction reaction activity in mesoporous carbon materials modified with Pt-N active sites. Electrochim. Acta 2018, 277, 287–300. [Google Scholar] [CrossRef]
- Hornberger, E.; Merzdorf, T.; Schmies, H.; Hübner, J.; Klingenhof, M.; Gernert, U.; Kroschel, M.; Anke, B.; Lerch, M.; Schmidt, J.; et al. Impact of Carbon N-Doping and Pyridinic-N Content on the Fuel Cell Performance and Durability of Carbon-Supported Pt Nanoparticle Catalysts. ACS Appl. Mater. Interfaces 2022, 14, 18420. [Google Scholar] [CrossRef]
- Li, Y.; Li, J.; Wang, Y.-G.; Chen, X.; Liu, M.; Zheng, Z.; Peng, X. Carbon corrosion mechanism on nitrogen-doped carbon support —A density functional theory study. Int. J. Hydrogen Energy 2021, 46, 13273–13282. [Google Scholar] [CrossRef]
- Kim, M.; Hwang, S.; Yu, J.-S. Novel ordered nanoporous graphitic C3N4 as a support for Pt–Ru anode catalyst in direct methanolfuel cell. J. Mater. Chem. 2007, 17, 1656–1659. [Google Scholar] [CrossRef]
- Yue, B.; Ma, Y.; Tao, H.; Yu, L.; Jian, G.; Wang, X.; Wang, X.; Lu, Y.; Hu, Z. CNxnanotubes as catalyst support to immobilize platinum nanoparticles for methanol oxidation. J. Mater. Chem. 2008, 18, 1747–1750. [Google Scholar] [CrossRef]
- Ma, Y.; Jiang, S.; Jian, G.; Tao, H.; Yu, L.; Wang, X.; Wang, X.; Zhu, J.; Hu, Z.; Chen, Y. CNx nanofibers converted from polypyrrole nanowires as platinum support for methanol oxidation. Energy Environ. Sci. 2009, 2, 224–229. [Google Scholar] [CrossRef]
- Sadhukhan, M.; Kundu, M.K.; Bhowmik, T.; Barman, S. Highly dispersed platinum nanoparticles on graphitic carbon nitride: A highly active and durable electrocatalyst for oxidation of methanol, formic acid and formaldehyde. Int. J. Hydrogen Energy 2017, 42, 9371–9383. [Google Scholar] [CrossRef]
- Mansor, N.; Jorge, A.B.; Corà, F.; Gibbs, C.; Jervis, R.; McMillan, P.F.; Wang, X.; Brett, D.J.L. Graphitic carbon nitride supported catalysts for polymer electrolyte fuel cells. J. Phys. Chem. C 2014, 118, 6831–6838. [Google Scholar] [CrossRef]
- Goel, J.; Basu, S. Effect of support materials on the performance of direct ethanol fuel cell anode catalys. Int. J. Hydrogen Energy 2014, 39, 15956–15966. [Google Scholar] [CrossRef]
- Zhang, W.; Cao, Z.; Zhang, J.; Peng, K.; Ma, Q.; Xu, Q.; Su, H. Enhanced durability of Pt-based electrocatalysts in high-temperature polymer electrolyte membrane fuel cells using a graphitic carbon nitride nanosheet support. ACS Sustain. Chem. Eng. 2020, 8, 9195–9205. [Google Scholar] [CrossRef]
- Qian, H.; Huang, H.; Wang, X. Design and synthesis of palladium/graphitic carbon nitride/carbon black hybrids as high-performance catalysts for formic acid and methanol electrooxidation. J. Power Sources 2015, 275, 734–741. [Google Scholar] [CrossRef]
- Lee, I.H.; Cho, J.; Chae, K.H.; Cho, M.K.; Jung, J.; Cho, J.; Lee, H.J.; Ham, H.C.; Kim, J.Y. Polymeric graphitic carbon nitride nanosheet-coated amorphous carbon supports for enhanced fuel cell electrode performance and stability. Appl. Catal. B Environ. 2018, 237, 318. [Google Scholar] [CrossRef]
- Fang, B.; Daniel, L.; Bonakdarpour, A.; Govindarajan, R.; Sharman, J.; Wilkinson, D.P. Pt nanowire electrocatalyst for improved fuel cell performance using a graphitic carbon nitride-decorated hierarchical nanocarbon support. Nano-Micro Small 2021, 17, 2102288. [Google Scholar] [CrossRef]
- Yu, D.; Lu, C.; Yan, Z.; Yang, X.; Yang, W.; Lv, Z.; Tian, Z.; Tian, Q. Palladium nanoparticles supported on phosphorus-doped graphitic carbon nitride/carbon black hybrids for formic acid electro-oxidation. Int. J. Electrochem. Sci. 2021, 16, 211040. [Google Scholar] [CrossRef]
- Alawadhi, H.; Abdelkareem, M.A.; Hussain, N.; Wilberforce, T.; Sayed, E.T. A composite of graphitic carbon nitride and Vulcan carbon as an effective catalyst support for Ni in direct urea fuel cells. J. Taiwan Inst. Chem. Eng. 2020, 116, 160. [Google Scholar] [CrossRef]
- Liang, X.; Dong, F.; Tang, Z.; Wang, Q. The significant promotion of g-C3N4 on Pt/CNS catalyst for the electrocatalytic oxidation of methanol. Int. J. Hydrogen Energy 2021, 46, 39645–39657. [Google Scholar] [CrossRef]
- Huang, H.; Yang, S.; Vajtai, R.; Wang, X.; Ajayan, P.M. Pt-decorated 3D architectures built from graphene and graphitic carbon nitride nanosheets as efficient methanol oxidation catalysts. Adv. Mater. 2014, 26, 5160–5165. [Google Scholar] [CrossRef] [PubMed]
- Li, C.-Z.; Wang, Z.-B.; Sui, X.-L.; Zhang, L.-M.; Gu, D.-M. Ultrathin graphitic carbon nitride nanosheets and graphene composite material as high-performance PtRu catalyst support for methanol electro-oxidation. Carbon 2016, 93, 105115. [Google Scholar] [CrossRef]
- Song, C.; Kim, S. Preparation and electrochemical characterization of Pt-supported flake-like graphitic carbon nitride on reduced graphene oxide as fuel cell catalysts. J. Electrochem. Soc. 2015, 162, F1181–F1186. [Google Scholar] [CrossRef]
- Song, C.; Park, S.-J.; Kim, S. Effect of modification by polydopamine and polymeric carbon nitride on methanol oxidation ability of Pt catalysts-supported on reduced graphene oxide. J. Electrochem. Soc. 2016, 163, F668–F674. [Google Scholar] [CrossRef]
- Zhang, W.; Huang, H.; Li, F.; Deng, K.; Wang, X. Palladium nanoparticles supported on graphitic carbon nitride-modified reduced graphene oxide as highly efficient catalysts for formic acid and methanol electrooxidation. J. Mater. Chem. A 2014, 2, 19084–19094. [Google Scholar] [CrossRef]
- Zhang, W.; Yao, Q.; Wu, X.; Fu, Y.; Deng, K.; Wang, X. Intimately coupled hybrid of graphitic carbon nitride nanoflakelets with reduced graphene oxide for supporting Pd nanoparticles: A stable nanocatalyst with high catalytic activity towards formic acid and methanol electrooxidation. Electrochim. Acta 2016, 200, 131–141. [Google Scholar] [CrossRef]
- Fang, D.; Yang, L.; Yang, G.; Yi, G.; Feng, Y.; Shao, P.; Shi, H.; Yu, K.; You, D.; Luo, X. Electrodeposited graphene hybridized graphitic carbon nitride anchoring ultrafine palladium nanoparticles for remarkable methanol electrooxidation. Int. J. Hydrogrn Enrtgy 2020, 45, 21483–21492. [Google Scholar] [CrossRef]
- Yang, L.; Wang, X.; Liu, D.; Cui, G.; Dou, B.; Wang, J. Efficient anchoring of nanoscale Pd on three-dimensional carbon hybrid as highly active and stable catalyst for electro-oxidation of formic acid. Appl. Catal. B Environ. 2020, 263, 118304. [Google Scholar] [CrossRef]
- Shen, B.; Wei, Y.; Sun, P.; He, H.; Ying, G.; Huang, H. Immobilizing ultrasmall Pt nanocrystals on 3D interweaving BCN nanosheet-graphene networks enables efficient methanol oxidation reaction. Dalton Trans. 2023, 52, 13644–13652. [Google Scholar] [CrossRef] [PubMed]
- Li, Q.; Li, L.; Yu, X.; Wu, X.; Xie, Z.; Wang, X.; Lu, Z.; Zhang, X.; Huang, Y.; Yang, X. Ultrafine platinum particles anchored on porous boron nitride enabling excellent stability and activity for oxygen reduction reaction. Chem. Eng. J. 2020, 399, 125827. [Google Scholar] [CrossRef]
- Lyalin, A.; Nakayama, A.; Uosaki, K.; Taketsugu, T. Theoretical predictions for hexagonal BN based nanomaterials as electrocatalysts for the oxygen reduction reaction. Phys. Chem. Chem. Phys. 2013, 15, 2809–2830. [Google Scholar] [CrossRef] [PubMed]
- Liu, H.; Zhang, X.-H.; Li, Y.-X.; Li, X.; Dong, C.-K.; Wu, D.-Y.; Tang, C.-C.; Chou, S.-L.; Fang, F.; Du, X.-W. Conductive boron nitride as promising catalyst support for the oxygen evolution reaction. Adv. Energy Mater. 2020, 10, 1902521. [Google Scholar] [CrossRef]
- Zhu, W.; Wu, Z.; Foo, G.S.; Gao, X.; Zhou, M.; Liu, B.; Veith, G.M.; Wu, P.; Browning, K.L.; Lee, H.N.; et al. Taming interfacial electronic properties of platinum nanoparticles on vacancy-abundant boron nitride nanosheets for enhanced catalysis. Nat. Commun. 2017, 8, 15291. [Google Scholar] [CrossRef]
- Chen, Y.; Cai, J.; Li, P.; Zhao, G.; Wang, G.; Jiang, Y.; Chen, J.; Dou, S.X.; Pan, H.; Sun, W. Hexagonal boron nitride as a multifunctional support for engineering efficient electrocatalysts toward the oxygen reduction reaction. Nano Lett. 2020, 20, 6807–6814. [Google Scholar] [CrossRef]
- Zuo, L.-X.; Jiang, L.-P. Electrocatalysis of the oxygen reduction reaction and the formic acid oxidation reaction on BN/Pd composites prepared sonochemically. J. Electrochem. Soc. 2017, 164, H805–H811. [Google Scholar] [CrossRef]
- Zhang, H.; Xu, L.; Tian, Y.; Jiao, A.; Li, S.; Liu, M.; Chen, X.; Chen, F. Convenient synthesis of 3D fluffy PtPd nanocorals loaded on 2D h-BN supports as highly efficient and stable electrocatalysts for alcohol oxidation reaction. ACS Omega 2019, 4, 11163–11172. [Google Scholar] [CrossRef]
- Zhang, H.; Li, D.; Li, Q.; Guo, K.; Yu, C.; Lin, J.; Tang, C.; Huang, Y. Pd nanoparticles anchored on porous boron nitride nanofibers as highly active and stable electrocatalysts for formic acid oxidation. Coll. Surf. A Physicochem. Eng. Aspects 2022, 646, 128947. [Google Scholar] [CrossRef]
- Li, R.; Lin, J.; Zhang, H.; Gong, Y.; Zhang, X.; Yu, C.; Tang, C.; Huang, Y. Improving electrocatalytic formic acid oxidation performance via catalyst layer design utilizing porous boron nitride-supported Pd catalysts. J. Power Sources 2025, 629, 236039. [Google Scholar] [CrossRef]
- Wang, X.; Li, Z.; Qu, Y.; Yuan, T.; Wang, W.; Wu, Y.; Li, Y. Review of metal catalysts for oxygen reduction reaction: From nanoscale engineering to atomic design. Chem 2019, 5, 1486–1511. [Google Scholar] [CrossRef]
- Li, S.; Shi, L.; Guo, Y.; Wang, J.; Liu, D.; Zhao, S. Selective oxygen reduction reaction: Mechanism understanding, catalyst design and practical application. Chem. Sci. 2024, 15, 11188–11228. [Google Scholar] [CrossRef] [PubMed]
- Tarasevich, M.R.; Korchagin, O.V. Electrocatalysis and pH (a review). Russ. J. Electrochem. 2013, 49, 600–618. [Google Scholar] [CrossRef]
- Ishihara, A.; Ohgi, Y.; Matsuzawa, K.; Mitsushima, S.; Ota, K. Progress in non-precious metal oxide-based cathode for polymer electrolyte fuel cells. Electrochim. Acta 2010, 55, 8005–8012. [Google Scholar] [CrossRef]
- Meng, Z.; Zheng, S.; Luo, R.; Tang, H.; Wang, R.; Zhang, R.; Tian, T.; Tang, H. Transition metal nitrides for electrocatalytic application: Progress and rational design. Nanomaterials 2022, 12, 2660. [Google Scholar] [CrossRef]
- Bidault, F.; Brett, D.J.L.; Middleton, P.H.; Brandon, N.P. Review of gas diffusion cathodes for alkaline fuel cells. J. Power Sources 2009, 187, 39–48. [Google Scholar] [CrossRef]
- Kalyani, A.K.M.; Rajeev, R.; Benny, L.; Cherian, A.R.; Varghese, A. Surface tuning of nanostructured graphitic carbon nitrides for enhanced electrocatalytic applications: A review. Mater. Chem. 2023, 30, 101523. [Google Scholar]
- Govindaraju, V.R.; Sureshkumar, K.; Ramakrishnappa, T.; Muralikrishna, S.; Samrat, D.; Pai, R.K.; Kumar, V.; Vikrant, K.; Kim, K.-H. Graphitic carbon nitride composites as electro catalysts: Applications in energy conversion/storage and sensing system. J. Clean. Prod. 2021, 320, 128693. [Google Scholar] [CrossRef]
- Zhang, W.; Xu, D.; Wang, F.; Chen, M. Element-doped graphitic carbon nitride: Confirmation of doped elements and applications. Nanoscale Adv. 2021, 3, 4370–4387. [Google Scholar] [CrossRef]
- Kong, L.; Wang, J.; Ma, F.; Sun, M.; Quan, J. Graphitic carbon nitride nanostructures: Catalysis. Appl. Mater. 2019, 16, 388–424. [Google Scholar] [CrossRef]
- Kwon, K.; Sa, Y.J.; Cheon, J.Y.; Joo, S.H. Ordered mesoporous carbon nitrides with graphitic frameworks as metal-free, highly durable, methanol-tolerant oxygen reduction catalysts in an acidic medium. Langmuir 2012, 28, 991–996. [Google Scholar] [CrossRef] [PubMed]
- Tahir, M.; Mahmood, N.; Zhu, J.; Mahmood, A.; Butt, F.K.; Rizwan, S.; Aslam, I.; Tanveer, M.; Idrees, F.; Shakir, I.; et al. One dimensional graphitic carbon nitrides as effective metal-free oxygen reduction catalysts. Sci. Rep. 2015, 5, 12389. [Google Scholar] [CrossRef] [PubMed]
- Lyth, S.M.; Nabae, Y.; Moriya, S.; Kuroki, S.; Kakimoto, M.-A.; Ozaki, J.-I.; Miyata, S. Carbon nitride as a nonprecious catalyst for electrochemical oxygen reduction. J. Phys. Chem. C 2009, 113, 20148–20151. [Google Scholar] [CrossRef]
- Zheng, Y.; Jiao, Y.; Chen, J.; Liu, J.; Liang, J.; Du, A.; Zhang, W.; Zhu, Z.; Smith, S.C.; Jaroniec, M.; et al. Nanoporous graphitic-C3N4@carbon metal-free electrocatalysts for highly efficient oxygen reduction. J. Am. Chem. Soc. 2011, 133, 20116–20119. [Google Scholar] [CrossRef]
- Liang, J.; Zheng, Y.; Chen, J.; Liu, J.; Hulicova-Jurcakova, D.; Jaroniec, M.; Qiao, S.Z. Facile oxygen reduction on a three-dimensionally ordered macroporous graphitic C3N4/carbon composite electrocatalyst. Angew Chem. 2012, 51, 3892–3896. [Google Scholar] [CrossRef]
- Qin, Y.; Li, J.; Yuan, J.; Kong, Y.; Tao, Y.; Lin, F.; Li, S. Hollow mesoporous carbon nitride nanosphere/three-dimensional graphene composite as high efficient electrocatalyst for oxygen reduction reaction. J. Power Sources 2014, 272, 696–702. [Google Scholar] [CrossRef]
- Fu, X.; Hu, X.; Yan, Z.; Lei, K.; Li, F.; Cheng, F.; Chen, J. Template-free synthesis of porous graphitic carbon nitride/carbon composite spheres for electrocatalytic oxygen reduction reaction. Chem. Commun. 2016, 52, 1725–1728. [Google Scholar] [CrossRef]
- Yang, S.; Feng, X.; Wang, X.; Müllen, K. Graphene-based carbon nitride nanosheets as efficient metal-free electrocatalysts for oxygen reduction reactions. Angew. Chem. 2011, 50, 5339–5343. [Google Scholar] [CrossRef]
- Selvarajan, P.; Fawaz, M.; Sathish, C.I.; Li, M.; Chu, D.; Yu, X.; Breesec, M.B.H.; Yi, J.; Vinu, A. Activated graphene nanoplatelets decorated with carbon nitrides for efficient electrocatalytic oxygen reduction reaction. Adv. Energy. Sust. Res. 2021, 2, 2100104. [Google Scholar] [CrossRef]
- Garcia, J.L.; Miyao, T.; Inukai, J.; Tongol, B.J.V. Graphitic carbon nitride on reduced graphene oxide prepared via semi-closed pyrolysis as electrocatalyst for oxygen reduction reaction. Mater. Chem. Phys. 2022, 288, 126415. [Google Scholar] [CrossRef]
- Mane, R.S.; Periyasamy, G.; Jha, N. Sunlight assisted Lewis base enriched 2D/2D g-C3N4-graphene oxide composite as an efficient ORR electrocatalyst. Electrochim. Acta 2024, 481, 143916. [Google Scholar] [CrossRef]
- Kim, O.-H.; Cho, Y.-H.; Chung, D.Y.; Kim, M.J.; Yoo, J.M.; Park, J.E.; Choe, H.; Sung, Y.-E. Facile and gram-scale synthesis of metal-free catalysts: Toward realistic applications for fuel cells. Sci. Rep. 2015, 5, 8376. [Google Scholar] [CrossRef] [PubMed]
- Mei, R.; Ma, L.; An, L.; Wang, F.; Xi, J.; Sun, H.; Luo, Z.; Wu, Q. Layered spongy-like O-doped g-C3N4: An efficient non-metal oxygen reduction catalyst for alkaline fuel cells. J. Electrochem. Soc. 2017, 164, F354–F359. [Google Scholar] [CrossRef]
- Xu, J.; Li, B.; Li, S.; Liu, J. From melamine sponge towards 3D sulfur-doping carbon nitride as metal-free electrocatalysts for oxygen reduction reaction. Mater. Res. Express 2017, 4, 076305. [Google Scholar] [CrossRef]
- He, Q.; Zhou, F.; Zhan, S.; Huang, N.; Tian, Y. Photoassisted oxygen reduction reaction on mpg-C3N4: The effects of elements doping on the performance of ORR. Appl. Surf. Sci. 2018, 430, 325–334. [Google Scholar] [CrossRef]
- Qin, X.; Huang, Y.; Wang, K.; Xu, T.; Wang, Y.; Dong, W. Dual core-shell structured g-C3N4@Fe/Sr@g-C3N4 porous nanosphere as high efficient oxygen reduction reaction electrocatalyst in both acidic and alkaline media for fuel cells. Electrochim. Acta 2019, 322, 134745. [Google Scholar] [CrossRef]
- Xu, C.; Han, Q.; Zhao, Y.; Wang, L.; Li, Y.; Qu, L. Sulfur-doped graphitic carbon nitride decorated with graphene quantum dots for an efficient metal-free electrocatalyst. J. Mater. Chem. A 2015, 3, 1841–1846. [Google Scholar] [CrossRef]
- Qiu, Y.; Xin, L.; Jia, F.; Xie, J.; Li, W. Three-dimensional phosphorus-doped graphitic-C3N4 self-assembly with NH2-functionalized carbon composite materials for enhanced oxygen reduction reaction. Langmuir 2016, 32, 12569–12578. [Google Scholar] [CrossRef]
- Sarkar, S.; Sumukh, S.S.; Roy, K.; Kamboj, N.; Purkait, T.; Das, M.; Dey, R.S. Facile one step synthesis of Cu-g-C3N4 electrocatalyst realized oxygen reduction reaction with excellent methanol crossover impact and durability. J. Coll. Interface Sci. 2020, 558, 182–189. [Google Scholar] [CrossRef]
- Sarkar, S.; Kamboj, N.; Das, M.; Purkait, T.; Biswas, A.; Dey, R.S. Universal approach for electronically tuned transition-metal-doped graphitic carbon nitride as a conductive electrode material for highly efficient oxygen reduction reaction. Inorg. Chem. 2020, 59, 1332–1339. [Google Scholar] [CrossRef]
- Kumar, A.; Gupta, R.K.; Ubaidullah, M.; Al-Enizi, A.M.; Pandit, B.; Nangan, S.; Angadi, V.J.; Yasin, G. Engineering of hollow mesoporous Fe-graphitic carbon Nitride@CNTs for superior electrocatalytic oxygen reduction reaction. Fuel 2024, 357A, 129809. [Google Scholar] [CrossRef]
- Yu, Q.; Xu, J.; Wu, C.; Guan, L. Strong-coupled Co-g-C3N4/SWCNTs composites as high-performance electrocatalysts for oxygen reduction reaction. RSC Adv. 2015, 5, 65303–65307. [Google Scholar] [CrossRef]
- Deng, L.; Zhu, M. Metal–nitrogen (Co-g-C3N4) doping of surface-modified single-walled carbon nanohorns for use as an oxygen reduction electrocatalyst. RSC Adv. 2016, 6, 25670–25677. [Google Scholar] [CrossRef]
- Hassan, M.; Liu, T.; Bo, X.; Zhou, M. Cobalt-doped carbon nitride supported on ordered mesoporous carbon as noble metal-free oxygen reduction electrocatalysts. J. Phis. Chem. Solids 2019, 131, 111–118. [Google Scholar] [CrossRef]
- Liu, Q.; Zhang, J. Graphene supported Co-g-C3N4 as a novel metal–macrocyclic electrocatalyst for the oxygen reduction reaction in fuel cells. Langmuir 2013, 29, 3821–3828. [Google Scholar] [CrossRef]
- Hsieh, T.-H.; Chen, S.-N.; Wang, Y.-Z.; Ho, K.-S.; Chuang, J.-K.; Ho, L.-C. Cobalt-doped carbon nitride frameworks obtained from calcined aromatic polyimines as cathode catalyst of anion exchange membrane fuel cells. Membranes 2022, 12, 74. [Google Scholar] [CrossRef]
- Jo, W.-K.; Moru, S.; Lee, D.-E.; Tonda, S. Cobalt- and iron-coordinated graphitic carbon nitride on reduced graphene oxide: A nonprecious bimetallic M–Nx–C analogue electrocatalyst for efficient oxygen reduction reaction in acidic media. Appl. Surf. Sci. 2020, 531, 147367. [Google Scholar] [CrossRef]
- Wasey, A.H.M.; Chakrabarty, S.; Das, G.P.; Majumder, C. h-BN monolayer on the Ni(111) surface: A potential catalyst for oxidation. ACS Appl. Mater. Interfaces 2013, 5, 10404–10408. [Google Scholar] [CrossRef]
- Lyalin, A.; Nakayama, A.; Uosaki, K.; Taketsugu, T. Functionalization of monolayer h-BN by a metal support for the oxygen reduction reaction. J. Phys. Chem. C 2013, 117, 21359–21370. [Google Scholar] [CrossRef]
- Koitz, R.; Nørskov, J.K.; Studt, F. A systematic study of metal-supported boron nitride materials for the oxygen reduction reaction. Phys. Chem. Chem. Phys. 2015, 17, 12722–12727. [Google Scholar] [CrossRef]
- Gao, X.; Wang, S.; Lin, S. Defective hexagonal boron nitride nanosheet on Ni(111) and Cu(111): Stability, electronic structures, and potential applications. ACS Appl. Mater. Interfaces 2016, 8, 24238–24247. [Google Scholar] [CrossRef] [PubMed]
- Back, S.; Siahrostami, S. Noble metal supported hexagonal boron nitride for the oxygen reduction reaction: A DFT study. Nanoscale Adv. 2019, 1, 132–139. [Google Scholar] [CrossRef] [PubMed]
- Elumalai, G.; Noguchi, H.; Uosaki, K. Electrocatalytic activity of various types of h-BN for the oxygen reduction reaction. Phys. Chem. Chem. Phys. 2014, 16, 13755–13761. [Google Scholar] [CrossRef] [PubMed]
- Uosaki, K.; Elumalai, G.; Noguchi, H.; Masuda, T.; Lyalin, A.; Nakayama, A.; Taketsugu, T. Boron nitride nanosheet on gold as an electrocatalyst for oxygen reduction reaction: Theoretical suggestion and experimental Proof. J. Am. Chem. Soc. 2014, 136, 6542–6545. [Google Scholar] [CrossRef]
- Elumalai, G.; Noguchi, H.; Lyalin, A.; Taketsugu, T.; Uosaki, K. Gold nanoparticle decoration of insulating boron nitride nanosheet on inert gold electrode toward an efficient electrocatalyst for the reduction of oxygen to water. Electrochem. Commun. 2016, 66, 53–57. [Google Scholar] [CrossRef]
- Elumalai, G.; Noguchi, H.; Dinh, H.C.; Uosaki, K. An efficient electrocatalyst for oxygen reduction to water—Boron nitride nanosheets decorated with small gold nanoparticles (~5 nm) of narrow size distribution on gold substrate. J. Electroanal. Chem. 2018, 819, 107–113. [Google Scholar] [CrossRef]
- Dinh, H.C.; Elumalai, G.; Noguchi, H.; Lyalin, A.; Taketsugu, T.; Uosaki, K. Size dependent electrocatalytic activities of h-BN for oxygen reduction reaction to water. J. Chem. Phys. 2023, 158, 134713. [Google Scholar] [CrossRef]
- Lin, S.; Ye, X.; Johnson, R.S.; Guo, H. First-principles investigations of metal (Cu, Ag, Au, Pt, Rh, Pd, Fe, Co, and Ir) doped hexagonal boron nitride nanosheets: Stability and catalysis of CO oxidation. J. Phys. Chem. C 2013, 117, 17319–17326. [Google Scholar] [CrossRef]
- Feng, L.; Liu, Y.; Zhao, J. Iron-embedded boron nitride nanosheet as a promising electrocatalyst for the oxygen reduction reaction (ORR): A density functional theory (DFT) study. J. Power Sources 2015, 287, 431–438. [Google Scholar] [CrossRef]
- Esrafili, M.D.; Nematollahi, P. Potential of Si-doped boron nitride nanotubes as a highly active and metal-free electrocatalyst for oxygen reduction reaction: A DFT study. Synt. Met. 2017, 226, 129–138. [Google Scholar] [CrossRef]
- Hsu, C.-Y.; Saraswat, S.K.; Lagum, A.A.; Al-Ma’abreh, A.M.; Molani, F.; Al-Musawi, T.J.; Mohamed, A.M.A.; Kadhim, M.M. Study the single-atom Mn-doped catalysts on boron nitride sheet surface as cathode for oxygen reduction reaction in proton-exchange membrane fuel cells. Sust. Chem. Pharm. 2023, 33, 101115. [Google Scholar] [CrossRef]
- Chen, F.; Zhang, X.; Jia, B.; Hao, J.; Zhang, C.; Wu, G.; Yuan, Y.; Ma, Y.; Li, Y.; Lu, P. Transition metal embedded in two-dimensional bi-BN as high activity single atom electrocatalyst for oxygen reduction reactions. Quantum Chem. 2023, 123, e27218. [Google Scholar] [CrossRef]
- Yang, T.; Liu, Z.; Chu, J.; Peng, X.; Kong, A. Mesoporous carbon-doped boron nitrides for cathodic and anodic hydrogen peroxide electrosynthesis. Carbon 2024, 228, 119383. [Google Scholar] [CrossRef]
- Zhao, J.; Chen, Z. Carbon-doped boron nitride nanosheet: An efficient metal-free electrocatalyst for the oxygen reduction reaction. J. Phys. Chem. C 2015, 119, 26348–26354. [Google Scholar] [CrossRef]
- Nguyen, D.B.; Tran, L.N. Assessment of electrocatalytic performance of metal-free C-doped BN nanoflakes for oxygen reduction and hydrogen evolution reactions: A comparative study. J. Phys. Chem. C 2018, 122, 21124–21131. [Google Scholar] [CrossRef]
- Gao, M.; Adachi, M.; Lyalin, A.; Taketsugu, T. Long range functionalization of h-BN monolayer by carbon doping. J. Phys. Chem. C 2016, 120, 15993–16001. [Google Scholar] [CrossRef]
- Marbaniang, P.; Patil, I.; Lokanathan, M.; Parse, H.; Sesu, D.C.; Ingavale, S.; Kakade, B. Nanorice-like structure of carbon-doped hexagonal boron nitride as an efficient metal-free catalyst for oxygen electroreduction. ACS Sustain. Chem. Eng. 2018, 6, 11115–11122. [Google Scholar] [CrossRef]
- Zhan, W.; Gao, J.; Li, X.; Wang, H.; Gao, W.; Yin, H. High-efficient OER/ORR bifunctional electrocatalysts based on hexagonal boron nitride enabled by co-doping of transition metal and carbon. Appl. Phys. Lett. 2023, 123, 073901. [Google Scholar] [CrossRef]
- Patil, I.M.; Lokanathan, M.; Kakade, B. Three dimensional nanocomposite of reduced graphene oxide and hexagonal boron nitride as an efficient metal-free catalyst for oxygen electroreduction. J. Mater. Chem. A 2016, 4, 4506–4515. [Google Scholar] [CrossRef]
- Sun, Q.; Sun, C.; Du, A.; Dou, S.; Li, Z. In-plane graphene/boron-nitride heterostructures as an efficient metal-free electrocatalyst for the oxygen reduction reaction. Nanoscale 2016, 8, 14084–14091. [Google Scholar] [CrossRef]
- Patil, I.M.; Lokanathan, M.; Ganesan, B.; Swam, A.; Kakade, B. Carbon nanotube/boron nitride nanocomposite as a significant bifunctional electrocatalyst for oxygen reduction and oxygen evolution reactions. Chem. Eur. J. 2017, 23, 676–683. [Google Scholar] [CrossRef] [PubMed]
- Rastogi, P.K.; Sahoo, K.R.; Thakur, P.; Sharma, R.; Bawan, S.; Podila, R.; Narayanan, T.N. Graphene–hBN non-van der Waals vertical heterostructures for four- electron oxygen reduction reaction. Phys. Chem. Chem. Phys. 2019, 21, 3942–3953. [Google Scholar] [CrossRef] [PubMed]
- Chen, X.; Lin, S.; Zhang, H. Screening of single-atom catalysts sandwiched by boron nitride sheet and graphene for oxygen reduction and oxygen evolution. Renew. Energy 2022, 189, 502–509. [Google Scholar] [CrossRef]
- Yu, J.; Jiang, Z.; Huang, T.; Tang, C. BN/Cu/CNT nanoparticles as an efficient tri-functional electrocatalyst for ORR and OER. Int. J. Hydrogen Energy 2023, 48, 20368–20377. [Google Scholar] [CrossRef]
- Maiti, T.K.; Singh, J.; Dixit, P.; Majhi, J.; Bhushan, S.; Bandyopadhyay, A.; Chattopadhyay, S. Advances in perfluorosulfonic acid-based proton exchange membranes for fuel cell applications: A review. Chem. Eng. J. Adv. 2022, 12, 100372. [Google Scholar] [CrossRef]
- Sun, D.; Sun, Z.; Yang, D.; Jiang, X.; Tang, J.; Wang, X. Advances in boron nitride-based materials for electrochemical energy storage and conversion. Eco Energy 2023, 1, 375–404. [Google Scholar] [CrossRef]
- Yoon, S.I.; Seo, D.-J.; Kim, G.; Kim, M.; Jung, C.-Y.; Yoon, Y.-G.; Joo, S.H.; Kim, T.-Y.; Shin, H.S. AA′-stacked trilayer hexagonal boron nitride membrane for proton exchange membrane fuel cells. ACS Nano 2018, 12, 10764–10771. [Google Scholar] [CrossRef]
- Jia, W.; Wu, P. Stable boron nitride nanocomposites based membranes for high-efficiency proton conduction. Electrochim. Acta 2018, 273, 162–169. [Google Scholar] [CrossRef]
- Jia, W.; Tang, B.; Wu, P. Novel composite proton exchange membrane with connected long-range ionic nanochannels constructed via exfoliated nafion–boron nitride nanocomposite. ACS Appl. Mater. Interfaces 2017, 9, 14791–14800. [Google Scholar] [CrossRef]
- Akel, M.; Celik, S.U.; Bozkurt, A.; Ata, A. Nano hexagonal boron nitride–Nafion composite membranes for proton exchange membrane fuel cells. Polym Compos. 2016, 37, 422–428. [Google Scholar] [CrossRef]
- Parthiban, V.; Sahu, A. Performance enhancement of direct methanol fuel cells using a methanol barrier boron nitride–Nafion hybrid membrane. New J. Chem. 2020, 44, 7338–7349. [Google Scholar] [CrossRef]
- Lee, S.; Jang, W.; Kim, M.; Shin, J.E.; Park, H.B.; Jung, N.; Whang, D. Rational design of ultrathin gas barrier layer via reconstruction of hexagonal boron nitride nanoflakes to enhance the chemical stability of proton exchange membrane fuel cells. Nano-Micro Small 2019, 15, 1903705. [Google Scholar] [CrossRef] [PubMed]
- Harun, N.A.M.; Shaari, N.; Zaiman, N.F.H.N. A review of alternative polymer electrolyte membrane for fuel cell application based on sulfonated poly(ether ether ketone). Int. J. Energy Res. 2021, 45, 19671–19708. [Google Scholar] [CrossRef]
- Oh, K.-H.; Lee, D.; Choo, M.J.; Park, K.H.; Jeon, S.; Hong, S.H.; Park, J.-K.; Choi, J.W. Enhanced durability of polymer electrolyte membrane fuel cells by functionalized 2D boron nitride nanoflakes. ACS Appl. Mater. Interfaces 2014, 6, 7751–7758. [Google Scholar] [CrossRef]
- Huang, Z.; Lv, B.; Zhou, L.; Wei, T.; Qin, X.; Shao, Z. Ultra-thin h-BN doped high sulfonation sulfonated poly(ether-ether-ketone) of PTFE-reinforced proton exchange membrane. J. Membrane Sci. 2022, 644, 120099. [Google Scholar] [CrossRef]
- Yadav, V.; Rajput, A.; Rathod, N.H.; Kulshrestha, V. Enhancement in proton conductivity and methanol cross-over resistance by sulfonated boron nitride composite sulfonated poly (ether ether ketone) proton exchange membrane. Int. J. Hydrogen Energy 2020, 45, 17017–17028. [Google Scholar] [CrossRef]
- Yogarathinam, L.T.; Jaafar, J.; Ismail, A.F.; Goh, P.S.; Gangasalam, A.; Hanifah, N.F.R.; Wong, K.C.; Subramaniam, M.N.; Peter, J. Functionalized boron nitride embedded sulfonated poly (ether ether ketone) proton exchange membrane for direct methanol fuel cell applications. J. Environ. Chem. Eng. 2021, 9, 105876. [Google Scholar] [CrossRef]
- Gahlot, S.; Kulshrestha, V. Functionalized White graphene based composite proton exchange membrane: Improved durability and proton conductivity. Int. J. Hydrogen Energy 2018, 43, 21683–21689. [Google Scholar] [CrossRef]
- Kumar, G.R.; Pugalenthi, M.R.; Cao, G.; Manimuthu, R.P. Reinforced hydroxylated boron nitride on porous sulfonated poly(ether sulfone) with excellent electrolyte properties for H2/O2 fuel cells. Energy Fuels 2022, 36, 6445–6458. [Google Scholar] [CrossRef]
- Hussin, D.E.; Budak, Y.; Devrim, Y. Development and performance analysis of polybenzimidazole/boron nitride composite membranes for high-temperature PEM fuel cell. Int. J. Energy Res. 2021, 45, 4174. [Google Scholar]
- Pugalenthi, M.R.; Gayathri, R.; Cao, G.; Prabhu, M.R. Study of amine customized exfoliated BN sheets in SPEEK-PES based blend membrane for acid-base cation exchange membrane fuel cells. J. Environ. Chem. Eng. 2022, 10, 107025. [Google Scholar]
- Harameen, H.M.A.; Akay, R.G. Investigation into the influence of boron nitride addition on the properties of SPEEK/PBI based electrolyte membrane. Int. J. Hydrogen Energy 2024, 54, 189–199. [Google Scholar] [CrossRef]
- Ingabire, P.B.; Pan, X.; Haragirimana, A.; Li, N.; Hu, Z.; Chen, S. Enhanced conduction capability of nanocomposite membrane of quaternized poly (arylene ether sulfone)s covalently bonded with graphitic carbon nitride nanosheets for fuel cells. React. Funct. Polym. 2019, 144, 104260. [Google Scholar] [CrossRef]
- Dong, C.; Wang, Q.; Cong, C.; Meng, X.; Zhou, Q. Influence of alkaline 2D carbon nitride nanosheets as fillers for anchoring HPW and improving conductivity of SPEEK nanocomposite membranes. Int. J. Hydrogen Energy 2017, 42, 10317–10328. [Google Scholar] [CrossRef]
- Shabani, M.; Entezari, M.H. Designing continuous proton-conductive channels for direct methanol fuel cell through the sulfonated poly(ether ether ketone)/carbon quantum dot/graphitic carbon nitride nanosheet. Eur. Polym. J. 2024, 202, 112641. [Google Scholar] [CrossRef]
- Gang, M.; He, G.; Li, Z.; Cao, K.; Li, Z.; Yin, Y.; Wu, H.; Jiang, Z. Graphitic carbon nitride nanosheets/sulfonated poly(ether ether ketone) nanocomposite membrane for direct methanol fuel cell application. J. Membrane Sci. 2016, 507, 1–11. [Google Scholar] [CrossRef]
- Yogarathinam, L.T.; Jaafar, J.; Ismail, A.F.; Junoh, H.; Samavati, A.; Goh, P.S.; Gangasalam, A.; Peter, J. Synthesis and characterization of conductive polymer coated graphitic carbon nitride embedded sulfonated poly (ether ether ketone) membranes for direct methanol fuel cell applications. Int. J. Energy Res. 2021, 45, 16649–16666. [Google Scholar] [CrossRef]
- Zhai, S.; Song, H.; Jia, X.; Yang, K.; Feng, M.; He, S.; Lin, J. Fabrication of water-insoluble phosphotungstic acid-carbon nitride nanohybrids for promoting proton transport of nanocomposite proton exchange membranes. J. Power Sources 2021, 506, 230195. [Google Scholar] [CrossRef]
- Li, M.; Qu, S.; Zhang, C.; Duan, J.; Wang, W. Low-dimensional protonated carbon nitride incorporated sulfonated poly (ether ether ketone) for PEMFC applications. Ionics 2020, 26, 5629–5636. [Google Scholar] [CrossRef]
- Liu, L.; Shi, L.; Lv, J.; Sun, Q.; Zhang, Y.; Huang, Z.; Hu, Z.; Chen, S. Advanced composite membranes based on multifunctional fillers constructed by covalently linking phosphotungstic acid with mesoporous carbon nitride for high-performance and durable fuel cell under low humidity. J. Membrane Sci. 2024, 689, 122154. [Google Scholar] [CrossRef]
- Wang, Y.; Liu, L.; Liu, Y.; Li, N.; Hu, Z.; Chen, S. Double-filler composite sulfonated poly(aryl ether ketone) membranes with graphite carbon nitride and graphene oxide as polyelectrolyte for fuel cells. Polymer 2022, 238, 124426. [Google Scholar] [CrossRef]
- Ingabire, P.B.; Haragirimana, A.; Liu, Y.; Li, N.; Hu, Z.; Chen, S. Titanium oxide/graphitic carbon nitride nanocomposites as fillers for enhancing the performance of SPAES membranes for fuel cells. J. Ind. Eng. Chem. 2020, 91, 213–222. [Google Scholar] [CrossRef]
- Liu, Y.; Lu, Y.; Haragirimana, A.; Ingabire, P.B.; Li, N.; Hu, Z.; Chen, S. Immobilized phosphotungstic acid for the construction of proton exchange nanocomposite membranes with excellent stability and fuel cell performance. Int. J. Hydrogen Energy 2020, 45, 17782–17794. [Google Scholar] [CrossRef]
- Lu, Y.; Pan, X.; Li, N.; Hu, Z.; Chen, S. Improved performance of quaternized poly(arylene ether ketone)s/graphitic carbon nitride nanosheets composite anion exchange membrane for fuel cell applications. Appl. Surf. Sci. 2020, 503, 144071. [Google Scholar] [CrossRef]
- Lee, K.H.; Chu, J.Y.; Kim, A.R.; Yoo, D.J. Simultaneous improvement of anion conductivity and cell durability through the formation of dense ion clusters of F-doped graphitic carbon nitride/quaternized poly(phenylene oxide) composite membrane. J. Membrane Sci. 2022, 650, 120384. [Google Scholar] [CrossRef]
- Lu, Y.; Liu, Y.; Li, N.; Hu, Z.; Chen, S. Sulfonated graphitic carbon nitride nanosheets as proton conductor for constructing long-range ionic channels proton exchange membrane. J. Membrane Sci. 2020, 601, 117908. [Google Scholar] [CrossRef]
- Lv, B.; Geng, K.; Yin, H.; Yang, C.; Hao, J.; Luan, Z.; Huang, Z.; Qin, X.; Song, W.; Li, N.; et al. Polybenzimidazole/cerium dioxide/graphitic carbon nitride nanosheets for high performance and durable high temperature proton exchange membranes. J. Membrane Sci. 2021, 639, 119760. [Google Scholar] [CrossRef]
- Vinothkannan, M.; Son, B.; Shanmugam, S. Porous gC3N4–Gd2Zr2O7 enables the high-temperature operation of Nafion membranes in polymer electrolyte fuel cells over 500 hours. J. Mater. Chem. A 2022, 10, 8975–8988. [Google Scholar] [CrossRef]
- Vinothkannan, M.; Gikunoo, E.K.; Shanmugam, S. Toward extended durability and power output of high temperature proton exchange membrane fuel cells with Gd2Zr2O7-C3N4 composite membrane. Ionics 2025, in press. [Google Scholar] [CrossRef]
- Songfeng, E.; Liu, J.; Zhao, R.; Ning, D.; Lu, Z. Formation mechanisms of hexagonal boron nitride nanosheets in solvothermal exfoliation. Langmuir 2023, 39, 1619–1628. [Google Scholar]
- Hosseini, S.S.; Mehrpooya, M.; Jahangir, M.H. Combination of g-C3N4 and triplex metal oxides for enhanced performance of oxygen reduction reaction. Anal. Bioanal. Electrochem. 2023, 15, 1098–1115. [Google Scholar]
- Shi, X.; Wang, W.; Miao, X.; Tian, F.; Xu, Z.; Li, N.; Jing, M. Constructing conductive channels between platinum nanoparticles and graphitic carbon nitride by gamma irradiation for an enhanced oxygen reduction reaction. ACS Appl. Mater. Interfaces 2020, 12, 46095–46106. [Google Scholar] [CrossRef] [PubMed]
- Xu, M.; Luo, Y.; Zeng, L.; Huang, P.; Xu, S.; Liu, Y.; Wang, Y.; Li, X.; Xie, Y. Ag/g-C3N4 nanosheets as a progressive support of Pt catalyst for improved electrocatalytic oxidation of methanol. J. Mater. Sci. 2024, 59, 3573–3584. [Google Scholar] [CrossRef]
Disclaimer/Publisher’s Note: The statements, opinions and data contained in all publications are solely those of the individual author(s) and contributor(s) and not of MDPI and/or the editor(s). MDPI and/or the editor(s) disclaim responsibility for any injury to people or property resulting from any ideas, methods, instructions or products referred to in the content. |
© 2025 by the author. Licensee MDPI, Basel, Switzerland. This article is an open access article distributed under the terms and conditions of the Creative Commons Attribution (CC BY) license (https://creativecommons.org/licenses/by/4.0/).