Selenium and Selenoproteins: Mechanisms, Health Functions, and Emerging Applications
Abstract
1. Introduction
2. Toxicity Levels and Recommended Daily Intake
3. Se Dynamics and Biosynthesis of Selenoproteins
3.1. Biosynthesis in Plants
3.2. Biosynthesis in Eukaryotes
4. Structural Insight into Mammalian Selenoproteins
4.1. Glutathione Peroxidases (GPxs)
4.2. Thioredoxin Reductases
4.3. Iodothyronine Deiodinases
4.4. SELENOP
4.5. Others Selenoproteins
5. Functions of Selenoproteins in Human Health
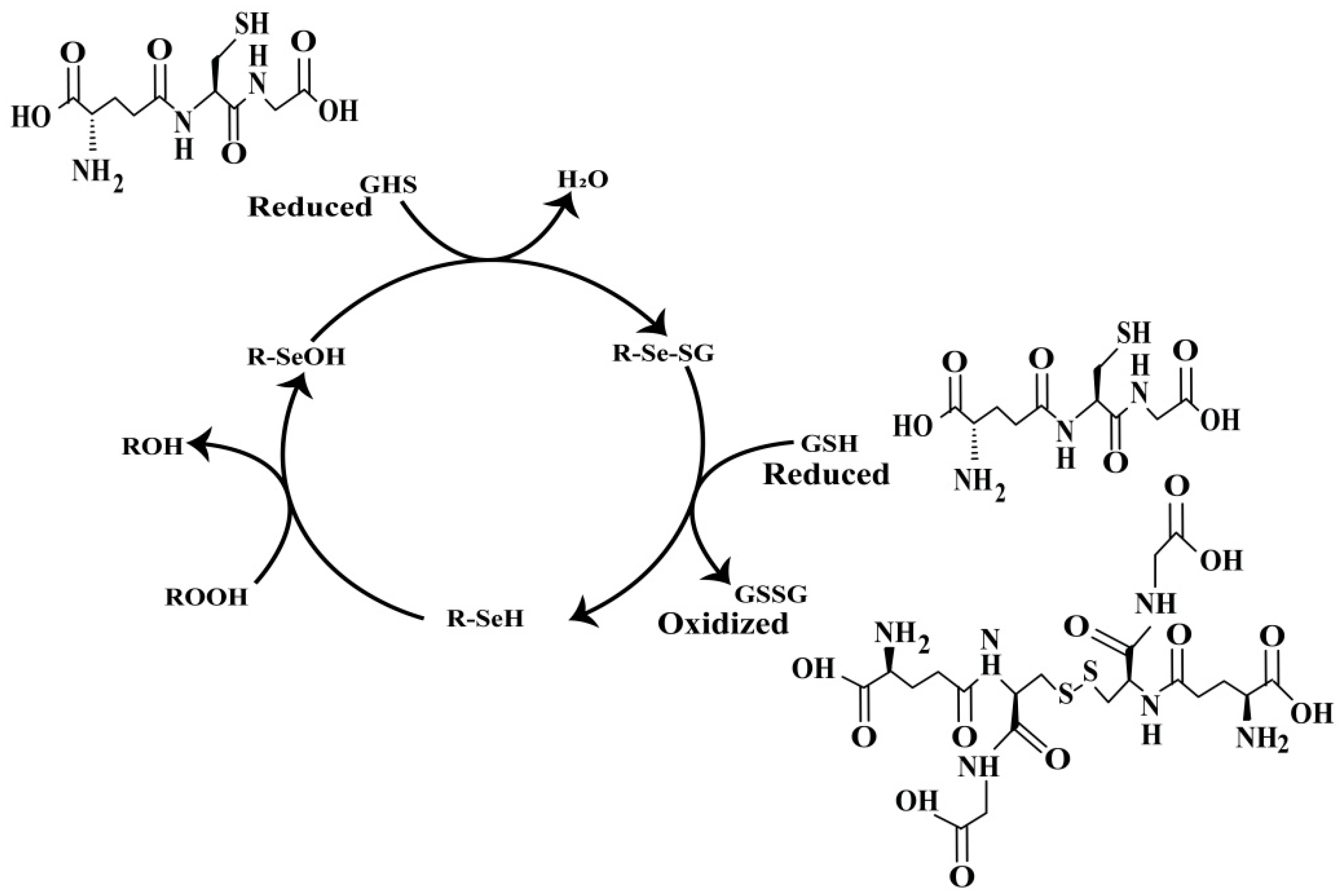
5.1. Antioxidant
5.2. Anticancer Activity
5.3. Immune Enhancement
5.4. Other Activities
5.4.1. Type 2 Diabetes
5.4.2. Male Fertility
5.4.3. Neuroprotection
5.4.4. Coronavirus Disease (COVID-19)
5.4.5. Cardiovascular Diseases (CVDs)
6. Emerging Applications of Se-Enriched Functional Foods
7. Conclusions and Future Prospectives
Author Contributions
Funding
Institutional Review Board Statement
Informed Consent Statement
Data Availability Statement
Conflicts of Interest
References
- Ye, S.; Sun, S.; Cai, J.; Jiang, J. Advances in the Synthesis and Bioactivity of Polysaccharide Selenium Nanoparticles: A Review. Mini Rev. Med. Chem. 2024, 24, 1535–1554. [Google Scholar] [CrossRef] [PubMed]
- Genchi, G.; Lauria, G.; Catalano, A.; Sinicropi, M.S.; Carocci, A. Biological activity of selenium and its impact on human health. Int. J. Mol. Sci. 2023, 24, 2633. [Google Scholar] [CrossRef]
- Ozturk Kurt, B.; Ozdemir, S. Selenium in Food Chain in Relation to Human and Animal Nutrition and Health. In Selenium and Nano-Selenium in Environmental Stress Management and Crop Quality Improvement; Springer: Berlin/Heidelberg, Germany, 2022; pp. 383–436. [Google Scholar]
- Wu, Z.; Bañuelos, G.S.; Lin, Z.-Q.; Liu, Y.; Yuan, L.; Yin, X.; Li, M. Biofortification and phytoremediation of selenium in China. Front. Plant Sci. 2015, 6, 136. [Google Scholar] [CrossRef] [PubMed]
- Burk, R.F.; Hill, K.E. Regulation of selenium metabolism and transport. Annu. Rev. Nutr. 2015, 35, 109–134. [Google Scholar] [CrossRef] [PubMed]
- Chung, C.Z.; Krahn, N. The selenocysteine toolbox: A guide to studying the 21st amino acid. Arch. Biochem. Biophys. 2022, 730, 109421. [Google Scholar] [CrossRef]
- Zhang, X.; He, H.; Xiang, J.; Yin, H.; Hou, T. Selenium-containing proteins/peptides from plants: A review on the structures and functions. J. Agric. Food Chem. 2020, 68, 15061–15073. [Google Scholar] [CrossRef] [PubMed]
- Rother, M.; Quitzke, V. Selenoprotein synthesis and regulation in Archaea. Biochim. Biophys. Acta (BBA)-Gen. Subj. 2018, 1862, 2451–2462. [Google Scholar] [CrossRef] [PubMed]
- Cousins, R.J.; Liuzzi, J.P. Trace metal absorption and transport. In Physiology of the Gastrointestinal Tract; Elsevier: Amsterdam, The Netherlands, 2018; pp. 1485–1498. [Google Scholar]
- Flohé, L.; Toppo, S.; Orian, L. The glutathione peroxidase family: Discoveries and mechanism. Free. Radic. Biol. Med. 2022, 187, 113–122. [Google Scholar] [CrossRef]
- Kieliszek, M.; Błażejak, S. Selenium: Significance, and outlook for supplementation. Nutrition 2013, 29, 713–718. [Google Scholar] [CrossRef]
- Yang, R.; Liu, Y.; Zhou, Z. Selenium and selenoproteins, from structure, function to food resource and nutrition. Food Sci. Technol. Res. 2017, 23, 363–373. [Google Scholar] [CrossRef]
- Gladyshev, V.N.; Arnér, E.S.; Berry, M.J.; Brigelius-Flohé, R.; Bruford, E.A.; Burk, R.F.; Carlson, B.A.; Castellano, S.; Chavatte, L.; Conrad, M. Selenoprotein gene nomenclature. J. Biol. Chem. 2016, 291, 24036–24040. [Google Scholar] [CrossRef] [PubMed]
- Zhang, J.; Zhou, H.; Li, H.; Ying, Z.; Liu, X. Research progress on separation of selenoproteins/Se-enriched peptides and their physiological activities. Food Funct. 2021, 12, 1390–1401. [Google Scholar] [CrossRef] [PubMed]
- Post, M.; Lubiński, W.; Lubiński, J.; Krzystolik, K.; Baszuk, P.; Muszyńska, M.; Marciniak, W. Serum selenium levels are associated with age-related cataract. Ann. Agric. Environ. Med. 2018, 25, 443–448. [Google Scholar] [CrossRef] [PubMed]
- Pophaly, S.D.; Singh, P.; Kumar, H.; Tomar, S.K.; Singh, R. Selenium enrichment of lactic acid bacteria and bifidobacteria: A functional food perspective. Trends Food Sci. Technol. 2014, 39, 135–145. [Google Scholar] [CrossRef]
- Galan-Chilet, I.; Tellez-Plaza, M.; Guallar, E.; De Marco, G.; Lopez-Izquierdo, R.; Gonzalez-Manzano, I.; Tormos, M.C.; Martin-Nuñez, G.M.; Rojo-Martinez, G.; Saez, G.T. Plasma selenium levels and oxidative stress biomarkers: A gene–environment interaction population-based study. Free. Radic. Biol. Med. 2014, 74, 229–236. [Google Scholar] [CrossRef] [PubMed]
- Hadrup, N.; Ravn-Haren, G. Toxicity of repeated oral intake of organic selenium, inorganic selenium, and selenium nanoparticles: A review. J. Trace Elem. Med. Biol. 2023, 79, 127235. [Google Scholar] [CrossRef]
- Renkema, H.; Koopmans, A.; Kersbergen, L.; Kikkert, J.; Hale, B.; Berkelaar, E. The effect of transpiration on selenium uptake and mobility in durum wheat and spring canola. Plant Soil 2012, 354, 239–250. [Google Scholar] [CrossRef]
- Ren, H.; Li, X.; Guo, L.; Wang, L.; Hao, X.; Zeng, J. Integrative transcriptome and proteome analysis reveals the absorption and metabolism of selenium in tea plants [Camellia sinensis (L.) O. Kuntze]. Front. Plant Sci. 2022, 13, 848349. [Google Scholar] [CrossRef] [PubMed]
- Fordyce, F.M. Selenium deficiency and toxicity in the environment. In Essentials of Medical Geology, revised ed.; Springer: Berlin/Heidelberg, Germany, 2012; pp. 375–416. [Google Scholar]
- Etteieb, S.; Magdouli, S.; Zolfaghari, M.; Brar, S. Monitoring and analysis of selenium as an emerging contaminant in mining industry: A critical review. Sci. Total Environ. 2020, 698, 134339. [Google Scholar] [CrossRef]
- Hasanuzzaman, M.; Bhuyan, M.B.; Raza, A.; Hawrylak-Nowak, B.; Matraszek-Gawron, R.; Al Mahmud, J.; Nahar, K.; Fujita, M. Selenium in plants: Boon or bane? Environ. Exp. Bot. 2020, 178, 104170. [Google Scholar] [CrossRef]
- Guignardi, Z.; Schiavon, M. Biochemistry of plant selenium uptake and metabolism. In Selenium in Plants: Molecular, Physiological, Ecological and Evolutionary Aspects; Springer: Berlin/Heidelberg, Germany, 2017; pp. 21–34. [Google Scholar] [CrossRef]
- Peng, J.-J.; Yue, S.-Y.; Fang, Y.-H.; Liu, X.-L.; Wang, C.-H. Mechanisms affecting the biosynthesis and incorporation rate of selenocysteine. Molecules 2021, 26, 7120. [Google Scholar] [CrossRef] [PubMed]
- Vindry, C.; Ohlmann, T.; Chavatte, L. Translation regulation of mammalian selenoproteins. Biochim. Biophys. Acta (BBA)-Gen. Subj. 2018, 1862, 2480–2492. [Google Scholar] [CrossRef] [PubMed]
- Liao, C. Regulation of Stress Erythropoiesis and the Niche: A Noval Role of Selenoproteins. Ph.D. Thesis, The Pennsylvania State University, University Park, PA, USA, 2018. [Google Scholar]
- Bulteau, A.-L.; Chavatte, L. Update on selenoprotein biosynthesis. Antioxid. Redox Signal. 2015, 23, 775–794. [Google Scholar] [CrossRef]
- Simonović, M.; Puppala, A.K. On elongation factor eEFSec, its role and mechanism during selenium incorporation into nascent selenoproteins. Biochim. Biophys. Acta (BBA)-Gen. Subj. 2018, 1862, 2463–2472. [Google Scholar] [CrossRef] [PubMed]
- Bentmann, E.; Haass, C.; Dormann, D. Stress granules in neurodegeneration–lessons learnt from TAR DNA binding protein of 43 kDa and fused in sarcoma. FEBS J. 2013, 280, 4348–4370. [Google Scholar] [CrossRef] [PubMed]
- Wickramasinghe, V.O.; Laskey, R.A. Control of mammalian gene expression by selective mRNA export. Nat. Rev. Mol. Cell Biol. 2015, 16, 431–442. [Google Scholar] [CrossRef]
- Maiti, B.; Arbogast, S.; Allamand, V.; Moyle, M.W.; Anderson, C.B.; Richard, P.; Guicheney, P.; Ferreiro, A.; Flanigan, K.M.; Howard, M.T. A mutation in the SEPN1 selenocysteine redefinition element (SRE) reduces selenocysteine incorporation and leads to SEPN1-related myopathy. Hum. Mutat. 2009, 30, 411–416. [Google Scholar] [CrossRef]
- Liu, Q.; Yang, J.; Cai, J.; Luan, Y.; Sattar, H.; Liu, M.; Xu, S.; Zhang, Z. Analysis of the interactions between thioredoxin and 20 selenoproteins in chicken. Biol. Trace Elem. Res. 2017, 179, 304–317. [Google Scholar] [CrossRef] [PubMed]
- Reich, H.J.; Hondal, R.J. Why nature chose selenium. ACS Chem. Biol. 2016, 11, 821–841. [Google Scholar] [CrossRef] [PubMed]
- Labunskyy, V.M.; Hatfield, D.L.; Gladyshev, V.N. Selenoproteins: Molecular pathways and physiological roles. Physiol. Rev. 2014, 94, 739–777. [Google Scholar] [CrossRef]
- Mukai, T.; Vargas-Rodriguez, O.; Englert, M.; Tripp, H.J.; Ivanova, N.N.; Rubin, E.M.; Kyrpides, N.C.; Söll, D. Transfer RNAs with novel cloverleaf structures. Nucleic Acids Res. 2017, 45, 2776–2785. [Google Scholar] [CrossRef]
- Kim, J.Y.; Carlson, B.A.; Xu, X.-M.; Zeng, Y.; Chen, S.; Gladyshev, V.N.; Lee, B.J.; Hatfield, D.L. Inhibition of selenocysteine tRNA [Ser] Sec aminoacylation provides evidence that aminoacylation is required for regulatory methylation of this tRNA. Biochem. Biophys. Res. Commun. 2011, 409, 814–819. [Google Scholar] [CrossRef] [PubMed]
- Fang, G.; Lv, Q.; Liu, C.; Huo, M.; Wang, S. An ionic liquid improved HPLC-ICP-MS method for simultaneous determination of arsenic and selenium species in animal/plant-derived foodstuffs. Anal. Methods 2015, 7, 8617–8625. [Google Scholar] [CrossRef]
- Zou, Y.; Zhao, T.; Mao, G.; Zhang, M.; Zheng, D.; Feng, W.; Wang, W.; Wu, X.; Yang, L. Isolation, purification and characterisation of selenium-containing polysaccharides and proteins in selenium-enriched Radix puerariae. J. Sci. Food Agric. 2014, 94, 349–358. [Google Scholar] [CrossRef]
- Mills, G.C. Hemoglobin catabolism: I. Glutathione peroxidase, an erythrocyte enzyme which protects hemoglobin from oxidative breakdown. J. Biol. Chem. 1957, 229, 189–197. [Google Scholar] [CrossRef] [PubMed]
- Rotruck, J.T.; Pope, A.L.; Ganther, H.E.; Swanson, A.; Hafeman, D.G.; Hoekstra, W. Selenium: Biochemical role as a component of glutathione peroxidase. Science 1973, 179, 588–590. [Google Scholar] [CrossRef]
- Pei, J.; Pan, X.; Wei, G.; Hua, Y. Research progress of glutathione peroxidase family (GPX) in redoxidation. Front. Pharmacol. 2023, 14, 1147414. [Google Scholar] [CrossRef] [PubMed]
- Ursini, F.; Travain, V.B.; Cozza, G.; Miotto, G.; Roveri, A.; Toppo, S.; Maiorino, M. A white paper on phospholipid hydroperoxide glutathione peroxidase (GPx4) forty years later. Free. Radic. Biol. Med. 2022, 188, 117–133. [Google Scholar] [CrossRef] [PubMed]
- Petrović, M. Selenium: Widespread yet scarce, essential yet toxic. ChemTexts 2021, 7, 11. [Google Scholar] [CrossRef]
- Orian, L.; Mauri, P.; Roveri, A.; Toppo, S.; Benazzi, L.; Bosello-Travain, V.; De Palma, A.; Maiorino, M.; Miotto, G.; Zaccarin, M. Selenocysteine oxidation in glutathione peroxidase catalysis: An MS-supported quantum mechanics study. Free. Radic. Biol. Med. 2015, 87, 1–14. [Google Scholar] [CrossRef] [PubMed]
- Bjørklund, G.; Zou, L.; Wang, J.; Chasapis, C.T.; Peana, M. Thioredoxin reductase as a pharmacological target. Pharmacol. Res. 2021, 174, 105854. [Google Scholar] [CrossRef] [PubMed]
- Jia, J.-J.; Geng, W.-S.; Wang, Z.-Q.; Chen, L.; Zeng, X.-S. The role of thioredoxin system in cancer: Strategy for cancer therapy. Cancer Chemother. Pharmacol. 2019, 84, 453–470. [Google Scholar] [CrossRef]
- Kameritsch, P.; Singer, M.; Nuernbergk, C.; Rios, N.; Reyes, A.M.; Schmidt, K.; Kirsch, J.; Schneider, H.; Müller, S.; Pogoda, K. The mitochondrial thioredoxin reductase system (TrxR2) in vascular endothelium controls peroxynitrite levels and tissue integrity. Proc. Natl. Acad. Sci. USA 2021, 118, e1921828118. [Google Scholar] [CrossRef]
- Towell, H.; Braun, D.; Brol, A.; di Fonzo, A.; Rijntjes, E.; Köhrle, J.; Schweizer, U.; Steegborn, C. Structural Insights into the Iodothyronine Deiodinase 2 Catalytic Core and Deiodinase Catalysis and Dimerization. Biomolecules 2024, 14, 1373. [Google Scholar] [CrossRef]
- Sabatino, L.; Vassalle, C.; Del Seppia, C.; Iervasi, G. Deiodinases and the three types of thyroid hormone deiodination reactions. Endocrinol. Metab. 2021, 36, 952–964. [Google Scholar] [CrossRef] [PubMed]
- Köhrle, J.; Frädrich, C. Deiodinases control local cellular and systemic thyroid hormone availability. Free. Radic. Biol. Med. 2022, 193, 59–79. [Google Scholar] [CrossRef] [PubMed]
- van der Spek, A.H.; Fliers, E.; Boelen, A. The classic pathways of thyroid hormone metabolism. Mol. Cell. Endocrinol. 2017, 458, 29–38. [Google Scholar] [CrossRef] [PubMed]
- Schweizer, U.; Towell, H.; Vit, A.; Rodriguez-Ruiz, A.; Steegborn, C. Structural aspects of thyroid hormone binding to proteins and competitive interactions with natural and synthetic compounds. Mol. Cell. Endocrinol. 2017, 458, 57–67. [Google Scholar] [CrossRef] [PubMed]
- Schweizer, U.; Steegborn, C. New insights into the structure and mechanism of iodothyronine deiodinases. J. Mol. Endocrinol. 2015, 55, R37–R52. [Google Scholar] [CrossRef] [PubMed]
- Shetty, S.; Copeland, P.R. Molecular mechanism of selenoprotein P synthesis. Biochim. Biophys. Acta (BBA)-Gen. Subj. 2018, 1862, 2506–2510. [Google Scholar] [CrossRef]
- Schomburg, L. Selenoprotein P–Selenium transport protein, enzyme and biomarker of selenium status. Free. Radic. Biol. Med. 2022, 191, 150–163. [Google Scholar] [CrossRef] [PubMed]
- Saito, Y. Selenium transport mechanism via selenoprotein P—Its physiological role and related diseases. Front. Nutr. 2021, 8, 685517. [Google Scholar] [CrossRef] [PubMed]
- Tsutsumi, R.; Saito, Y.; Selenoprotein, P. P for plasma, prognosis, prophylaxis, and more. Biol. Pharm. Bull. 2020, 43, 366–374. [Google Scholar] [CrossRef]
- Hatfield, D.L.; Tsuji, P.A.; Carlson, B.A.; Gladyshev, V.N. Selenium and selenocysteine: Roles in cancer, health, and development. Trends Biochem. Sci. 2014, 39, 112–120. [Google Scholar] [CrossRef] [PubMed]
- Saito, Y.; Sato, N.; Hirashima, M.; Takebe, G.; Nagasawa, S.; Takahashi, K. Domain structure of bi-functional selenoprotein P. Biochem. J. 2004, 381, 841–846. [Google Scholar] [CrossRef] [PubMed]
- Burk, R.F.; Hill, K.E.; Motley, A.K.; Winfrey, V.P.; Kurokawa, S.; Mitchell, S.L.; Zhang, W. Selenoprotein P and apolipoprotein E receptor-2 interact at the blood-brain barrier and also within the brain to maintain an essential selenium pool that protects against neurodegeneration. FASEB J. 2014, 28, 3579. [Google Scholar] [CrossRef]
- Foltz, J.L.; May, A.L.; Belay, B.; Nihiser, A.J.; Dooyema, C.A.; Blanck, H.M. Population-level intervention strategies and examples for obesity prevention in children. Annu. Rev. Nutr. 2012, 32, 391–415. [Google Scholar] [CrossRef] [PubMed]
- Chen, J.; Mita, Y.; Noguchi, N. Ethanol enhances selenoprotein P expression via ERK-FoxO3a axis in HepG2 cells. J. Clin. Biochem. Nutr. 2024, 75, 125. [Google Scholar] [CrossRef] [PubMed]
- Ko, K.Y.; Lee, J.H.; Jang, J.K.; Jin, Y.; Kang, H.; Kim, I.Y. S-Glutathionylation of mouse selenoprotein W prevents oxidative stress-induced cell death by blocking the formation of an intramolecular disulfide bond. Free. Radic. Biol. Med. 2019, 141, 362–371. [Google Scholar] [CrossRef] [PubMed]
- Situ, J.; Huang, X.; Zuo, M.; Huang, Y.; Ren, B.; Liu, Q. Comparative proteomic analysis reveals the effect of selenoprotein W deficiency on oligodendrogenesis in fear memory. Antioxidants 2022, 11, 999. [Google Scholar] [CrossRef]
- Yang, J.-C.; Liu, M.; Huang, R.-H.; Zhao, L.; Niu, Q.-J.; Xu, Z.-J.; Wei, J.-T.; Lei, X.G.; Sun, L.-H. Loss of SELENOW aggravates muscle loss with regulation of protein synthesis and the ubiquitin-proteasome system. Sci. Adv. 2024, 10, eadj4122. [Google Scholar] [CrossRef] [PubMed]
- Raman, A.V.; Pitts, M.W.; Seyedali, A.; Hashimoto, A.C.; Bellinger, F.P.; Berry, M.J. Selenoprotein W expression and regulation in mouse brain and neurons. Brain Behav. 2013, 3, 562–574. [Google Scholar] [CrossRef] [PubMed]
- Kang, H.; Jeon, Y.H.; Ham, M.; Ko, K.; Kim, I.Y. Compensatory protection of thioredoxin-deficient cells from etoposide-induced cell death by selenoprotein W via interaction with 14-3-3. Int. J. Mol. Sci. 2021, 22, 10338. [Google Scholar] [CrossRef] [PubMed]
- Sasuclark, A.R.; Khadka, V.S.; Pitts, M.W. Cell-type specific analysis of selenium-related genes in brain. Antioxidants 2019, 8, 120. [Google Scholar] [CrossRef]
- Tobe, R.; Mihara, H. Delivery of selenium to selenophosphate synthetase for selenoprotein biosynthesis. Biochim. Biophys. Acta (BBA)-Gen. Subj. 2018, 1862, 2433–2440. [Google Scholar] [CrossRef] [PubMed]
- Manta, B.; Makarova, N.E.; Mariotti, M. The selenophosphate synthetase family: A review. Free. Radic. Biol. Med. 2022, 192, 63–76. [Google Scholar] [CrossRef] [PubMed]
- Na, J.; Jung, J.; Bang, J.; Lu, Q.; Carlson, B.A.; Guo, X.; Gladyshev, V.N.; Kim, J.; Hatfield, D.L.; Lee, B.J. Selenophosphate synthetase 1 and its role in redox homeostasis, defense and proliferation. Free. Radic. Biol. Med. 2018, 127, 190–197. [Google Scholar] [CrossRef] [PubMed]
- Gong, T.; Berry, M.J.; Pitts, M.W. Selenoprotein M: Structure, expression and functional relevance. In Selenium: Its Molecular Biology and Role in Human Health; Springer: Berlin/Heidelberg, Germany, 2016; pp. 253–260. [Google Scholar] [CrossRef]
- Gong, T.; Hashimoto, A.C.; Sasuclark, A.R.; Khadka, V.S.; Gurary, A.; Pitts, M.W. Selenoprotein M promotes hypothalamic leptin signaling and thioredoxin antioxidant activity. Antioxid. Redox Signal. 2021, 35, 775–787. [Google Scholar] [CrossRef]
- Wang, Y.; Qu, K.; Xia, Z.; Qi, M.; Du, X.; Ke, Z.; Zhang, R. Selenoprotein S (SELENOS) is a potential prognostic biomarker for brain lower grade glioma. J. Trace Elem. Med. Biol. 2024, 86, 127539. [Google Scholar] [CrossRef] [PubMed]
- Ghelichkhani, F.; Gonzalez, F.A.; Kapitonova, M.A.; Schaefer-Ramadan, S.; Liu, J.; Cheng, R.; Rozovsky, S. Selenoprotein S: A versatile disordered protein. Arch. Biochem. Biophys. 2022, 731, 109427. [Google Scholar] [CrossRef]
- Handy, D.E.; Loscalzo, J. The role of glutathione peroxidase-1 in health and disease. Free. Radic. Biol. Med. 2022, 188, 146–161. [Google Scholar] [CrossRef] [PubMed]
- Zhao, Y.; Wang, H.; Zhou, J.; Shao, Q. Glutathione peroxidase GPX1 and its dichotomous roles in cancer. Cancers 2022, 14, 2560. [Google Scholar] [CrossRef]
- Zhang, C.; Wang, L.; Qin, L.; Luo, Y.; Wen, Z.; Vignon, A.S.; Zheng, C.; Zhu, X.; Chu, H.; Deng, S. Overexpression of GPX2 gene regulates the development of porcine preadipocytes and skeletal muscle cells through MAPK signaling pathway. PLoS ONE 2024, 19, e0298827. [Google Scholar] [CrossRef] [PubMed]
- Kalinina, E. Glutathione-Dependent Pathways in Cancer Cells. Int. J. Mol. Sci. 2024, 25, 8423. [Google Scholar] [CrossRef] [PubMed]
- Yant, L.J.; Ran, Q.; Rao, L.; Van Remmen, H.; Shibatani, T.; Belter, J.G.; Motta, L.; Richardson, A.; Prolla, T.A. The selenoprotein GPX4 is essential for mouse development and protects from radiation and oxidative damage insults. Free. Radic. Biol. Med. 2003, 34, 496–502. [Google Scholar] [CrossRef] [PubMed]
- He, Q.; Chen, N.; Wang, X.; Li, P.; Liu, L.; Rong, Z.; Liu, W.; Jiang, K.; Zhao, J. Prognostic value and immunological roles of GPX3 in gastric cancer. Int. J. Med. Sci. 2023, 20, 1399. [Google Scholar] [CrossRef] [PubMed]
- Liu, A.; Li, F.; Xu, P.; Chen, Y.; Liang, X.; Zheng, S.; Meng, H.; Zhu, Y.; Mo, J.; Gong, C. Gpx4, Selenov, and Txnrd3 are three most testis-abundant selenogenes resistant to dietary selenium concentrations and actively expressed during reproductive ages in rats. Biol. Trace Elem. Res. 2023, 201, 250–259. [Google Scholar] [CrossRef]
- Weaver, K.; Skouta, R. The selenoprotein glutathione peroxidase 4: From molecular mechanisms to novel therapeutic opportunities. Biomedicines 2022, 10, 891. [Google Scholar] [CrossRef] [PubMed]
- Muri, J.; Heer, S.; Matsushita, M.; Pohlmeier, L.; Tortola, L.; Fuhrer, T.; Conrad, M.; Zamboni, N.; Kisielow, J.; Kopf, M. The thioredoxin-1 system is essential for fueling DNA synthesis during T-cell metabolic reprogramming and proliferation. Nat. Commun. 2018, 9, 1851. [Google Scholar] [CrossRef] [PubMed]
- Peng, X.; Giménez-Cassina, A.; Petrus, P.; Conrad, M.; Rydén, M.; Arnér, E.S. Thioredoxin reductase 1 suppresses adipocyte differentiation and insulin responsiveness. Sci. Rep. 2016, 6, 28080. [Google Scholar] [CrossRef]
- Choi, E.-H.; Park, S.-J. TXNIP: A key protein in the cellular stress response pathway and a potential therapeutic target. Exp. Mol. Med. 2023, 55, 1348–1356. [Google Scholar] [CrossRef] [PubMed]
- Liu, Q.; Du, P.; Zhu, Y.; Zhang, X.; Cai, J.; Zhang, Z. Thioredoxin reductase 3 suppression promotes colitis and carcinogenesis via activating pyroptosis and necrosis. Cell. Mol. Life Sci. 2022, 79, 106. [Google Scholar] [CrossRef] [PubMed]
- Darras, V.M.; Van Herck, S. Iodothyronine deiodinase structure and function: From ascidians to humans. J. Endocrinol. 2012, 215, 189–206. [Google Scholar] [CrossRef]
- Bruinstroop, E.; van der Spek, A.H.; Boelen, A. Role of hepatic deiodinases in thyroid hormone homeostasis and liver metabolism, inflammation, and fibrosis. Eur. Thyroid. J. 2023, 12. [Google Scholar] [CrossRef] [PubMed]
- Deng, Y.; Han, Y.; Gao, S.; Dong, W.; Yu, Y. The physiological functions and polymorphisms of Type II deiodinase. Endocrinol. Metab. 2023, 38, 190–202. [Google Scholar] [CrossRef] [PubMed]
- Rasmussen, L.B.; Schomburg, L.; Köhrle, J.; Pedersen, I.B.; Hollenbach, B.; Hög, A.; Ovesen, L.; Perrild, H.; Laurberg, P. Selenium status, thyroid volume, and multiple nodule formation in an area with mild iodine deficiency. Eur. J. Endocrinol. 2011, 164, 585–590. [Google Scholar] [CrossRef] [PubMed]
- Bayse, C.A.; Marsan, E.S.; Garcia, J.R.; Tran-Thompson, A.T. Thyroxine binding to type III iodothyronine deiodinase. Sci. Rep. 2020, 10, 15401. [Google Scholar] [CrossRef] [PubMed]
- Lee, B.C. Biochemistry and function of methionine sulfoxide reductase. In Selenium: Its Molecular Biology and Role in Human Health; Springer: Berlin/Heidelberg, Germany, 2016; pp. 287–292. [Google Scholar] [CrossRef]
- Ren, B.; Liu, M.; Ni, J.; Tian, J. Role of selenoprotein F in protein folding and secretion: Potential involvement in human disease. Nutrients 2018, 10, 1619. [Google Scholar] [CrossRef]
- Zoidis, E.; Seremelis, I.; Kontopoulos, N.; Danezis, G.P. Selenium-dependent antioxidant enzymes: Actions and properties of selenoproteins. Antioxidants 2018, 7, 66. [Google Scholar] [CrossRef] [PubMed]
- Huang, X.; Yang, X.; Zhang, M.; Li, T.; Zhu, K.; Dong, Y.; Lei, X.; Yu, Z.; Lv, C.; Huang, J. SELENOI Functions as a Key Modulator of Ferroptosis Pathway in Colitis and Colorectal Cancer. Adv. Sci. 2024, 2404073. [Google Scholar] [CrossRef] [PubMed]
- Meng, X.-L.; Chen, C.-L.; Liu, Y.-Y.; Su, S.-J.; Gou, J.-M.; Huan, F.-N.; Wang, D.; Liu, H.-S.; Ben, S.-B.; Lu, J. Selenoprotein SELENOK enhances the migration and phagocytosis of microglial cells by increasing the cytosolic free Ca2+ level resulted from the up-regulation of IP3R. Neuroscience 2019, 406, 38–49. [Google Scholar] [CrossRef] [PubMed]
- Nunes, L.G.; Cain, A.; Comyns, C.; Hoffmann, P.R.; Krahn, N. Deciphering the Role of Selenoprotein M. Antioxidants 2023, 12, 1906. [Google Scholar] [CrossRef] [PubMed]
- Varone, E.; Pozzer, D.; Di Modica, S.; Chernorudskiy, A.; Nogara, L.; Baraldo, M.; Cinquanta, M.; Fumagalli, S.; Villar-Quiles, R.N.; De Simoni, M.-G. SELENON (SEPN1) protects skeletal muscle from saturated fatty acid-induced ER stress and insulin resistance. Redox Biol. 2019, 24, 101176. [Google Scholar] [CrossRef]
- Han, S.-J.; Lee, B.C.; Yim, S.H.; Gladyshev, V.N.; Lee, S.-R. Characterization of mammalian selenoprotein o: A redox-active mitochondrial protein. PLoS ONE 2014, 9, e95518. [Google Scholar] [CrossRef]
- Qazi, I.H.; Angel, C.; Yang, H.; Pan, B.; Zoidis, E.; Zeng, C.-J.; Han, H.; Zhou, G.-B. Selenium, selenoproteins, and female reproduction: A review. Molecules 2018, 23, 3053. [Google Scholar] [CrossRef] [PubMed]
- Ekoue, D.N.; Zaichick, S.; Valyi-Nagy, K.; Picklo, M.; Lacher, C.; Hoskins, K.; Warso, M.A.; Bonini, M.G.; Diamond, A.M. Selenium levels in human breast carcinoma tissue are associated with a common polymorphism in the gene for SELENOP (Selenoprotein P). J. Trace Elem. Med. Biol. 2017, 39, 227–233. [Google Scholar] [CrossRef] [PubMed]
- Meyer, H.A.; Endermann, T.; Stephan, C.; Stoedter, M.; Behrends, T.; Wolff, I.; Jung, K.; Schomburg, L. Selenoprotein P status correlates to cancer-specific mortality in renal cancer patients. PLoS ONE 2012, 7, e46644. [Google Scholar] [CrossRef] [PubMed][Green Version]
- Huang, J.; Bao, D.; Lei, C.T.; Tang, H.; Zhang, C.Y.; Su, H.; Zhang, C. Selenoprotein T protects against cisplatin-induced acute kidney injury through suppression of oxidative stress and apoptosis. FASEB J. 2020, 34, 11983–11996. [Google Scholar] [CrossRef]
- Boukhzar, L.; Hamieh, A.; Cartier, D.; Tanguy, Y.; Alsharif, I.; Castex, M.; Arabo, A.; Hajji, S.E.; Bonnet, J.-J.; Errami, M. Selenoprotein T exerts an essential oxidoreductase activity that protects dopaminergic neurons in mouse models of Parkinson’s disease. Antioxid. Redox Signal. 2016, 24, 557–574. [Google Scholar] [CrossRef] [PubMed]
- Chen, L.-L.; Huang, J.-Q.; Wu, Y.-Y.; Chen, L.-B.; Li, S.-P.; Zhang, X.; Wu, S.; Ren, F.-Z.; Lei, X.-G. Loss of Selenov predisposes mice to extra fat accumulation and attenuated energy expenditure. Redox Biol. 2021, 45, 102048. [Google Scholar] [CrossRef] [PubMed]
- Kim, H.; Oh, J.; Kim, M.K.; Lee, K.H.; Jeong, D. Selenoprotein W engages in overactive osteoclast differentiation in multiple myeloma. Mol. Biol. Rep. 2024, 51, 587. [Google Scholar] [CrossRef] [PubMed]
- Pitts, M.W.; Byrns, C.N.; Ogawa-Wong, A.N.; Kremer, P.; Berry, M.J. Selenoproteins in nervous system development and function. Biol. Trace Elem. Res. 2014, 161, 231–245. [Google Scholar] [CrossRef] [PubMed]
- Angelone, T.; Rocca, C.; Lionetti, V.; Penna, C.; Pagliaro, P. Expanding the frontiers of guardian antioxidant selenoproteins in cardiovascular pathophysiology. Antioxid. Redox Signal. 2024, 40, 369–432. [Google Scholar] [CrossRef] [PubMed]
- Chaudière, J. Biological and catalytic properties of selenoproteins. Int. J. Mol. Sci. 2023, 24, 10109. [Google Scholar] [CrossRef] [PubMed]
- Jiao, Y.; Wang, Y.; Guo, S.; Wang, G. Glutathione peroxidases as oncotargets. Oncotarget 2017, 8, 80093. [Google Scholar] [CrossRef]
- Barbosa, N.V.; Nogueira, C.W.; Nogara, P.A.; de Bem, A.F.; Aschner, M.; Rocha, J.B. Organoselenium compounds as mimics of selenoproteins and thiol modifier agents. Metallomics 2017, 9, 1703–1734. [Google Scholar] [CrossRef] [PubMed]
- Trenz, T.S.; Delaix, C.L.; Turchetto-Zolet, A.C.; Zamocky, M.; Lazzarotto, F.; Margis-Pinheiro, M. Going forward and back: The complex evolutionary history of the GPx. Biology 2021, 10, 1165. [Google Scholar] [CrossRef]
- Gřešková, A.; Petřivalský, M. Thioredoxin System in Insects: Uncovering the Roles of Thioredoxins and Thioredoxin Reductase beyond the Antioxidant Defences. Insects 2024, 15, 797. [Google Scholar] [CrossRef] [PubMed]
- Liu, Z. Antioxidant activity of the thioredoxin system. Biophysics Reports 2023, 9, 26. [Google Scholar] [CrossRef] [PubMed]
- Abassi, W.; Ouerghi, N.; Ghouili, H.; Haouami, S.; Bouassida, A. Greater effects of high- compared with moderate-intensity interval training on thyroid hormones in overweight/obese adolescent girls. Horm. Mol. Biol. Clin. Investig. 2020, 41, 20200031. [Google Scholar] [CrossRef] [PubMed]
- Lee, M.-O.; Cho, Y.S. The role of selenium-mediated redox signaling by selenophosphate synthetase 1 (SEPHS1) in hESCs. Biochem. Biophys. Res. Commun. 2019, 520, 406–412. [Google Scholar] [CrossRef] [PubMed]
- Chi, Q.; Zhang, Q.; Lu, Y.; Zhang, Y.; Xu, S.; Li, S. Roles of selenoprotein S in reactive oxygen species-dependent neutrophil extracellular trap formation induced by selenium-deficient arteritis. Redox Biol. 2021, 44, 102003. [Google Scholar] [CrossRef] [PubMed]
- Dávila-Vega, J.P.; Gastelum-Hernández, A.C.; Serrano-Sandoval, S.N.; Serna-Saldívar, S.O.; Guitiérrez-Uribe, J.A.; Milán-Carrillo, J.; Martínez-Cuesta, M.C.; Guardado-Félix, D. Metabolism and anticancer mechanisms of selocompounds: Comprehensive review. Biol. Trace Elem. Res. 2023, 201, 3626–3644. [Google Scholar] [CrossRef] [PubMed]
- Kumari, S.; Badana, A.K.; Malla, R. Reactive oxygen species: A key constituent in cancer survival. Biomark. Insights 2018, 13, 1177271918755391. [Google Scholar] [CrossRef] [PubMed]
- Chen, B.; Shen, Z.; Wu, D.; Xie, X.; Xu, X.; Lv, L.; Dai, H.; Chen, J.; Gan, X. Glutathione peroxidase 1 promotes NSCLC resistance to cisplatin via ROS-induced activation of PI3K/AKT pathway. BioMed Res. Int. 2019, 2019, 7640547. [Google Scholar] [CrossRef] [PubMed]
- Jablonska, E.; Gromadzinska, J.; Peplonska, B.; Fendler, W.; Reszka, E.; Krol, M.B.; Wieczorek, E.; Bukowska, A.; Gresner, P.; Galicki, M. Lipid peroxidation and glutathione peroxidase activity relationship in breast cancer depends on functional polymorphism of GPX1. BMC Cancer 2015, 15, 1–12. [Google Scholar] [CrossRef]
- Hashinokuchi, A.; Matsubara, T.; Ono, Y.; Shunichi, S.; Matsudo, K.; Nagano, T.; Kinoshita, F.; Akamine, T.; Kohno, M.; Takenaka, T. Clinical and prognostic significance of glutathione peroxidase 2 in lung adenocarcinoma. Ann. Surg. Oncol. 2024, 31, 1–8. [Google Scholar] [CrossRef]
- Yu, Y.-P.; Tsung, A.; Liu, S.; Nalesnick, M.; Geller, D.; Michalopoulos, G.; Luo, J.-H. Detection of fusion transcripts in the serum samples of patients with hepatocellular carcinoma. Oncotarget 2019, 10, 3352. [Google Scholar] [CrossRef]
- Chang, C.; Worley, B.L.; Phaëton, R.; Hempel, N. Extracellular glutathione peroxidase GPx3 and its role in cancer. Cancers 2020, 12, 2197. [Google Scholar] [CrossRef] [PubMed]
- Barrett, C.W.; Ning, W.; Chen, X.; Smith, J.J.; Washington, M.K.; Hill, K.E.; Coburn, L.A.; Peek, R.M.; Chaturvedi, R.; Wilson, K.T. Tumor suppressor function of the plasma glutathione peroxidase gpx3 in colitis-associated carcinoma. Cancer Res. 2013, 73, 1245–1255. [Google Scholar] [CrossRef] [PubMed]
- Zhang, X.; Sui, S.; Wang, L.; Li, H.; Zhang, L.; Xu, S.; Zheng, X. Inhibition of tumor propellant glutathione peroxidase 4 induces ferroptosis in cancer cells and enhances anticancer effect of cisplatin. J. Cell. Physiol. 2020, 235, 3425–3437. [Google Scholar] [CrossRef] [PubMed]
- Xu, C.; Sun, S.; Johnson, T.; Qi, R.; Zhang, S.; Zhang, J.; Yang, K. The glutathione peroxidase Gpx4 prevents lipid peroxidation and ferroptosis to sustain Treg cell activation and suppression of antitumor immunity. Cell Rep. 2021, 35. [Google Scholar] [CrossRef]
- Glasauer, A.; Chandel, N.S. Targeting antioxidants for cancer therapy. Biochem. Pharmacol. 2014, 92, 90–101. [Google Scholar] [CrossRef] [PubMed]
- Lu, J.; Holmgren, A. The thioredoxin antioxidant system. Free. Radic. Biol. Med. 2014, 66, 75–87. [Google Scholar] [CrossRef] [PubMed]
- Shelar, S.B.; Kaminska, K.K.; Reddy, S.A.; Kumar, D.; Tan, C.-T.; Victor, C.Y.; Lu, J.; Holmgren, A.; Hagen, T.; Chew, E.-H. Thioredoxin-dependent regulation of AIF-mediated DNA damage. Free. Radic. Biol. Med. 2015, 87, 125–136. [Google Scholar] [CrossRef] [PubMed]
- Gencheva, R.; Arnér, E.S. Thioredoxin reductase inhibition for cancer therapy. Annu. Rev. Pharmacol. Toxicol. 2022, 62, 177–196. [Google Scholar] [CrossRef] [PubMed]
- Korkmaz, I.N. Investigation of the effects of thiazole compounds on thioredoxin reductase 1 (TrxR1), glutathione S-transferase (GST), and glutathione reductase (GR) targeted human brain glioblastoma cancer (U-87 MG). Biotechnol. Appl. Biochem. 2024. [Google Scholar] [CrossRef] [PubMed]
- Davis, P.; Tang, H.; Hercbergs, A.; Lin, H.; Keating, K.; Mousa, S. Bioactivity of thyroid hormone analogs at cancer cells. Front. Endocrinol 2018, 9, 739. [Google Scholar] [CrossRef]
- Hercbergs, A.; Johnson, R.E.; Ashur-Fabian, O.; Garfield, D.H.; Davis, P.J. Medically induced euthyroid hypothyroxinemia may extend survival in compassionate need cancer patients: An observational study. Oncologist 2015, 20, 72–76. [Google Scholar] [CrossRef] [PubMed]
- Goemann, I.M.; Romitti, M.; Meyer, E.L.S.; Wajner, S.M.; Maia, A.L. Role of thyroid hormones in the neoplastic process: An overview. Endocr.-Relat. Cancer 2017, 24, R367–R385. [Google Scholar] [CrossRef]
- Renko, K.; Schäche, S.; Hoefig, C.S.; Welsink, T.; Schwiebert, C.; Braun, D.; Becker, N.-P.; Köhrle, J.; Schomburg, L. An improved nonradioactive screening method identifies genistein and xanthohumol as potent inhibitors of iodothyronine deiodinases. Thyroid 2015, 25, 962–968. [Google Scholar] [CrossRef]
- Qi, L.; Zhou, H.; Wang, Y.; Jablonska, E.; Wang, M.; Su, S.; Jia, Y.; Wang, R.; Jiang, M.; Wang, Y. The role of selenoprotein P in the determining the sensitivity of cervical cancer patients to concurrent chemoradiotherapy: A metabonomics-based analysis. J. Trace Elem. Med. Biol. 2022, 73, 127041. [Google Scholar] [CrossRef] [PubMed]
- Zheng, X.; Toyama, T.; Siu, S.; Kaneko, T.; Sugiura, H.; Yamashita, S.; Shimoda, Y.; Kanamori, M.; Arisawa, K.; Endo, H. Selenoprotein P expression in glioblastoma as a regulator of ferroptosis sensitivity: Preservation of GPX4 via the cycling-selenium storage. Sci. Rep. 2024, 14, 682. [Google Scholar] [CrossRef] [PubMed]
- Short, S.P.; Pilat, J.M.; Barrett, C.W.; Reddy, V.K.; Haberman, Y.; Hendren, J.R.; Marsh, B.J.; Keating, C.E.; Motley, A.K.; Hill, K.E. Colonic epithelial-derived selenoprotein P is the source for antioxidant-mediated protection in colitis-associated cancer. Gastroenterology 2021, 160, 1694–1708.e1693. [Google Scholar] [CrossRef] [PubMed]
- Yang, Y.; Li, D.; Wu, W.; Huang, D.; Zheng, H.; Aihaiti, Y. A Pan-Cancer analysis of the role of Selenoprotein P mRNA in tumorigenesis. Int. J. Gen. Med. 2021, 7471–7485. [Google Scholar] [CrossRef] [PubMed]
- Hao, J.; He, A.-Y.; Zhao, X.; Chen, X.-Q.; Liu, Q.-L.; Sun, N.; Zhang, R.-Q.; Li, P.-P. Pan-Cancer Study of the Prognosistic Value of Selenium Phosphate Synthase 1. Cancer Control. 2023, 30, 10732748231170485. [Google Scholar] [CrossRef] [PubMed]
- Yu, Y.; Wu, T.; Zhang, X.; Li, P.; Ye, L.; Kuang, J.; Tao, L.; Ni, L.; Zhao, Q.; Zhang, J. Regorafenib activates oxidative stress by inhibiting SELENOS and potentiates oxaliplatin-induced cell death in colon cancer cells. Eur. J. Pharmacol. 2023, 957, 175986. [Google Scholar] [CrossRef] [PubMed]
- Varlamova, E.G.; Goltyaev, M.V.; Turovsky, E.A. The Role of selenoproteins SELENOM and SELENOT in the regulation of apoptosis, ER stress, and calcium homeostasis in the A-172 human glioblastoma cell line. Biology 2022, 11, 811. [Google Scholar] [CrossRef]
- Rogachev, V.V.; Goltyaev, M.V.; Varlamova, E.G.; Turovsky, E.A. Molecular Mechanisms of the Cytotoxic Effect of Recombinant Selenoprotein SELENOM on Human Glioblastoma Cells. Int. J. Mol. Sci. 2023, 24, 6469. [Google Scholar] [CrossRef] [PubMed]
- Lee, K.H.; Jeong, D. Bimodal actions of selenium essential for antioxidant and toxic pro-oxidant activities: The selenium paradox. Mol. Med. Rep. 2012, 5, 299–304. [Google Scholar] [CrossRef]
- Guardado-Félix, D.; Antunes-Ricardo, M.; Rocha-Pizaña, M.R.; Martínez-Torres, A.-C.; Gutiérrez-Uribe, J.A.; Saldivar, S.O.S. Chickpea (Cicer arietinum L.) sprouts containing supranutritional levels of selenium decrease tumor growth of colon cancer cells xenografted in immune-suppressed mice. J. Funct. Foods 2019, 53, 76–84. [Google Scholar] [CrossRef]
- Méplan, C.; Johnson, I.; Polley, A.; Cockell, S.; Bradburn, D.; Commane, D.; Arasaradnam, R.; Mulholland, F.; Zupanic, A.; Mathers, J. Transcriptomics and proteomics show that selenium affects inflammation, cytoskeleton, and cancer pathways in human rectal biopsies. FASEB J. 2016, 30, 2812–2825. [Google Scholar] [CrossRef]
- Heilman, J.M.; Burke, T.J.; McClain, C.J.; Watson, W.H. Transactivation of gene expression by NF-κB is dependent on thioredoxin reductase activity. Free. Radic. Biol. Med. 2011, 51, 1533–1542. [Google Scholar] [CrossRef] [PubMed][Green Version]
- Razaghi, A.; Poorebrahim, M.; Sarhan, D.; Björnstedt, M. Selenium stimulates the antitumour immunity: Insights to future research. Eur. J. Cancer 2021, 155, 256–267. [Google Scholar] [CrossRef] [PubMed]
- Stefanache, A.; Lungu, I.-I.; Butnariu, I.-A.; Calin, G.; Gutu, C.; Marcu, C.; Grierosu, C.; Bogdan Goroftei, E.R.; Duceac, L.-D.; Dabija, M.G. Understanding how minerals contribute to optimal immune function. J. Immunol. Res. 2023, 2023, 3355733. [Google Scholar] [CrossRef] [PubMed]
- Barrett, C.W.; Reddy, V.K.; Short, S.P.; Motley, A.K.; Lintel, M.K.; Bradley, A.M.; Freeman, T.; Vallance, J.; Ning, W.; Parang, B. Selenoprotein P influences colitis-induced tumorigenesis by mediating stemness and oxidative damage. J. Clin. Investig. 2015, 125, 2646–2660. [Google Scholar] [CrossRef]
- Hamid, M.; Abdulrahim, Y.; Liu, D.; Qian, G.; Khan, A.; Huang, K. The hepatoprotective effect of selenium-enriched yeast and gum arabic combination on carbon tetrachloride-induced chronic liver injury in rats. J. Food Sci. 2018, 83, 525–534. [Google Scholar] [CrossRef] [PubMed]
- Koeberle, S.C.; Gollowitzer, A.; Laoukili, J.; Kranenburg, O.; Werz, O.; Koeberle, A.; Kipp, A.P. Distinct and overlapping functions of glutathione peroxidases 1 and 2 in limiting NF-κB-driven inflammation through redox-active mechanisms. Redox Biol. 2020, 28, 101388. [Google Scholar] [CrossRef]
- Chen, T.; Zhou, Z.; Peng, M.; Hu, H.; Sun, R.; Xu, J.; Zhu, C.; Li, Y.; Zhang, Q.; Luo, Y. Glutathione peroxidase 3 is a novel clinical diagnostic biomarker and potential therapeutic target for neutrophils in rheumatoid arthritis. Arthritis Res. Ther. 2023, 25, 66. [Google Scholar] [CrossRef] [PubMed]
- Li, C.; Deng, X.; Xie, X.; Liu, Y.; Friedmann Angeli, J.P.; Lai, L. Activation of glutathione peroxidase 4 as a novel anti-inflammatory strategy. Front. Pharmacol. 2018, 9, 385435. [Google Scholar] [CrossRef] [PubMed]
- Su, X.; Wang, Z.; Li, J.; Gao, S.; Fan, Y.; Wang, K. Hypermethylation of the glutathione peroxidase 4 gene promoter is associated with the occurrence of immune tolerance phase in chronic hepatitis B. Virol. J. 2024, 21, 72. [Google Scholar] [CrossRef] [PubMed]
- Wu, L.; Ye, M.; Zhang, J. Vincamine prevents lipopolysaccharide induced inflammation and oxidative stress via thioredoxin reductase activation in human corneal epithelial cells. Am. J. Transl. Res. 2018, 10, 2195. [Google Scholar] [PubMed]
- Joardar, N.; Jana, K.; Babu, S.P.S. Crude protein fraction with high thioredoxin reductase (TrxR) enzyme activity from filarial parasite setaria cervi counters lipopolysaccharide (LPS)-induced inflammation in macrophages. Parasitol. Res. 2022, 121, 1379–1388. [Google Scholar] [CrossRef] [PubMed]
- Diwakar, B.T.; Finch, E.R.; Liao, C.; Shay, A.E.; Prabhu, K.S. The role of selenoproteins in resolution of inflammation. In Selenium: Its Molecular Biology and Role in Human Health; Springer: Berlin/Heidelberg, Germany, 2016; pp. 499–510. [Google Scholar]
- Su, X.; Yin, H.; Bai, M.; Liu, J.; Liu, R.; Zeng, H.; Wen, J. A Novel TrxR1 Inhibitor regulates NK and CD8+ T Cell infiltration and cytotoxicity, enhancing the efficacy of Anti–PD-1 Immunotherapy against hepatocarcinoma. J. Immunol. 2023, 210, 681–695. [Google Scholar] [CrossRef]
- van der Spek, A.H.; Fliers, E.; Boelen, A. Thyroid hormone and deiodination in innate immune cells. Endocrinology 2021, 162, bqaa200. [Google Scholar] [CrossRef]
- Wenzek, C.; Boelen, A.; Westendorf, A.M.; Engel, D.R.; Moeller, L.C.; Führer, D. The interplay of thyroid hormones and the immune system–where we stand and why we need to know about it. Eur. J. Endocrinol. 2022, 186, R65–R77. [Google Scholar] [CrossRef] [PubMed]
- Kiledjian, N.T.; Shah, R.; Vetick, M.B.; Copeland, P.R. The expression of essential selenoproteins during development requires SECIS-binding protein 2–like. Life Sci. Alliance 2022, 5. [Google Scholar] [CrossRef]
- Dai, Z.-M.; Guo, W.; Yu, D.; Zhu, X.-J.; Sun, S.; Huang, H.; Jiang, M.; Xie, B.; Zhang, Z.; Qiu, M. SECISBP2L-mediated selenoprotein synthesis is essential for autonomous regulation of oligodendrocyte differentiation. J. Neurosci. 2022, 42, 5860–5869. [Google Scholar] [CrossRef] [PubMed]
- Misra, S.; Lee, T.-J.; Sebastian, A.; McGuigan, J.; Liao, C.; Koo, I.; Patterson, A.D.; Rossi, R.M.; Hall, M.A.; Albert, I. Loss of selenoprotein W in murine macrophages alters the hierarchy of selenoprotein expression, redox tone, and mitochondrial functions during inflammation. Redox Biol. 2023, 59, 102571. [Google Scholar] [CrossRef] [PubMed]
- Nettleford, S.K.; Liao, C.; Short, S.P.; Rossi, R.M.; Singh, V.; Prabhu, K.S. Selenoprotein W ameliorates experimental colitis and promotes intestinal epithelial repair. Antioxidants 2023, 12, 850. [Google Scholar] [CrossRef] [PubMed]
- Steinbrenner, H.; Speckmann, B.; Klotz, L.-O. Selenoproteins: Antioxidant selenoenzymes and beyond. Arch. Biochem. Biophys. 2016, 595, 113–119. [Google Scholar] [CrossRef] [PubMed]
- Wang, Y.; Rijntjes, E.; Wu, Q.; Lv, H.; Gao, C.; Shi, B.; Schomburg, L. Selenium deficiency is linearly associated with hypoglycemia in healthy adults. Redox Biol. 2020, 37, 101709. [Google Scholar] [CrossRef] [PubMed]
- Nwakulite, A.; Obeagu, E.I.; Eze, R.; Ugochi, V.E.; Vincent, C.; Okafor, C.J.; Chukwurah, E.F.; Unaeze, B.C.; Amaechi, C.O.; Okwuanaso, C.B. Estimation of Serum Glutathione Peroxidase in Streptozotocin Induced Diabetic Rat Treated with Bitter Leaf Extract. J. Pharm. Res. Int. 2021, 33, 200–206. [Google Scholar] [CrossRef]
- Hanschmann, E.-M.; Petry, S.F.; Eitner, S.; Maresch, C.C.; Lingwal, N.; Lillig, C.H.; Linn, T. Paracrine regulation and improvement of β-cell function by thioredoxin. Redox Biol. 2020, 34, 101570. [Google Scholar] [CrossRef]
- Stancill, J.S.; Corbett, J.A. The role of thioredoxin/peroxiredoxin in the β-cell defense against oxidative damage. Front. Endocrinol. 2021, 12, 718235. [Google Scholar] [CrossRef]
- Qiao, L.; Men, L.; Yu, S.; Yao, J.; Li, Y.; Wang, M.; Yu, Y.; Wang, N.; Ran, L.; Wu, Y. Hepatic deficiency of selenoprotein S exacerbates hepatic steatosis and insulin resistance. Cell Death Dis. 2022, 13, 275. [Google Scholar] [CrossRef] [PubMed]
- Noblanc, A.; Kocer, A.; Chabory, E.; Vernet, P.; Saez, F.; Cadet, R.; Conrad, M.; Drevet, J.R. Glutathione peroxidases at work on epididymal spermatozoa: An example of the dual effect of reactive oxygen species on mammalian male fertilizing ability. J. Androl. 2011, 32, 641–650. [Google Scholar] [CrossRef] [PubMed]
- Mojadadi, A.; Au, A.; Salah, W.; Witting, P.; Ahmad, G. Role for selenium in metabolic homeostasis and human reproduction. Nutrients 2021, 13, 3256. [Google Scholar] [CrossRef] [PubMed]
- Ahsan, U.; Kamran, Z.; Raza, I.; Ahmad, S.; Babar, W.; Riaz, M.; Iqbal, Z. Role of selenium in male reproduction—A review. Anim. Reprod. Sci. 2014, 146, 55–62. [Google Scholar] [CrossRef] [PubMed]
- Dou, Q.; Turanov, A.A.; Mariotti, M.; Hwang, J.Y.; Wang, H.; Lee, S.-G.; Paulo, J.A.; Yim, S.H.; Gygi, S.P.; Chung, J.-J. Selenoprotein TXNRD3 supports male fertility via the redox regulation of spermatogenesis. J. Biol. Chem. 2022, 298, 102183. [Google Scholar] [CrossRef]
- Boitani, C.; Puglisi, R. Selenium, a key element in spermatogenesis and male fertility. In Molecular Mechanisms in Spermatogenesis; Springer: Berlin/Heidelberg, Germany, 2009; pp. 65–73. [Google Scholar]
- Qazi, I.H.; Angel, C.; Yang, H.; Zoidis, E.; Pan, B.; Wu, Z.; Ming, Z.; Zeng, C.-J.; Meng, Q.; Han, H. Role of selenium and selenoproteins in male reproductive function: A review of past and present evidences. Antioxidants 2019, 8, 268. [Google Scholar] [CrossRef]
- Skalny, A.V.; Aschner, M.; Santamaria, A.; Filippini, T.; Gritsenko, V.A.; Tizabi, Y.; Zhang, F.; Guo, X.; Rocha, J.B.; Tinkov, A.A. The Role of Gut Microbiota in the Neuroprotective Effects of Selenium in Alzheimer’s Disease. In Molecular Neurobiology; Springer: Berlin/Heidelberg, Germany, 2024; pp. 1–18. [Google Scholar] [CrossRef]
- da Silva Leme, A.G.H.; Cardoso, B.R. Selenium and Alzheimer’s disease. In Genetics, Neurology, Behavior, and Diet in Dementia; Elsevier: Amsterdam, The Netherlands, 2020; pp. 739–748. [Google Scholar]
- Dixon, S.J.; Stockwell, B.R. The role of iron and reactive oxygen species in cell death. Nat. Chem. Biol. 2014, 10, 9–17. [Google Scholar] [CrossRef] [PubMed]
- Hambright, W.S.; Fonseca, R.S.; Chen, L.; Na, R.; Ran, Q. Ablation of ferroptosis regulator glutathione peroxidase 4 in forebrain neurons promotes cognitive impairment and neurodegeneration. Redox Biol. 2017, 12, 8–17. [Google Scholar] [CrossRef] [PubMed]
- Cardoso, B.R.; Hare, D.J.; Bush, A.I.; Roberts, B.R. Glutathione peroxidase 4: A new player in neurodegeneration? Mol. Psychiatry 2017, 22, 328–335. [Google Scholar] [CrossRef] [PubMed]
- Solovyev, N. Selenoprotein P and its potential role in Alzheimer’s disease. Hormones 2020, 19, 73–79. [Google Scholar] [CrossRef] [PubMed]
- Ren, B.; Situ, J.; Huang, X.; Tan, Q.; Xiao, S.; Li, N.; Tian, J.; Du, X.; Ni, J.; Liu, Q. Selenoprotein W modulates tau homeostasis in an Alzheimer’s disease mouse model. Commun. Biol. 2024, 7, 872. [Google Scholar] [CrossRef]
- Tomo, S.; Saikiran, G.; Banerjee, M.; Paul, S. Selenium to selenoproteins–role in COVID-19. Excli J. 2021, 20, 781. [Google Scholar] [CrossRef] [PubMed]
- Zhang, J.; Taylor, E.W.; Bennett, K.; Saad, R.; Rayman, M.P. Association between regional selenium status and reported outcome of COVID-19 cases in China. Am. J. Clin. Nutr. 2020, 111, 1297–1299. [Google Scholar] [CrossRef] [PubMed]
- Moghaddam, A.; Heller, R.A.; Sun, Q.; Seelig, J.; Cherkezov, A.; Seibert, L.; Hackler, J.; Seemann, P.; Diegmann, J.; Pilz, M. Selenium deficiency is associated with mortality risk from COVID-19. Nutrients 2020, 12, 2098. [Google Scholar] [CrossRef] [PubMed]
- Skesters, A.; Kustovs, D.; Lece, A.; Moreino, E.; Petrosina, E.; Rainsford, K. Selenium, selenoprotein P, and oxidative stress levels in SARS-CoV-2 patients during illness and recovery. Inflammopharmacology 2022, 30, 499–503. [Google Scholar] [CrossRef]
- Zhang, J.; Saad, R.; Taylor, E.W.; Rayman, M.P. Selenium and selenoproteins in viral infection with potential relevance to COVID-19. Redox Biol. 2020, 37, 101715. [Google Scholar] [CrossRef] [PubMed]
- Wang, Y.; Huang, J.; Sun, Y.; He, J.; Li, W.; Liu, Z.; Taylor, E.W.; Rayman, M.P.; Wan, X.; Zhang, J. SARS-CoV-2 suppresses mRNA expression of selenoproteins associated with ferroptosis, ER stress and DNA synthesis. Food Chem. Toxicol. 2021, 153, 112286. [Google Scholar] [CrossRef]
- Lu, J.; Holmgren, A. Selenoproteins. J. Biol. Chem. 2009, 284, 723–727. [Google Scholar] [CrossRef] [PubMed]
- Schomburg, L.; Orho-Melander, M.; Struck, J.; Bergmann, A.; Melander, O. Selenoprotein-P deficiency predicts cardiovascular disease and death. Nutrients 2019, 11, 1852. [Google Scholar] [CrossRef] [PubMed]
- Gharipour, M.; Behmanesh, M.; Salehi, M.; Vaseghi, G.; Nezafati, P.; Dianatkhah, M.; Khosravi, E.; Hosseini, M.; Sadeghi, M. Association of selenoprotein S expression and its variants with metabolic syndrome in subjects with cardiovascular disease. Arch. Med. Res. 2020, 51, 535–541. [Google Scholar] [CrossRef]
- Detopoulou, P.; Letsiou, S.; Nomikos, T.; Karagiannis, A.; Pergantis, S.A.; Pitsavos, C.; Panagiotakos, D.B.; Antonopoulou, S. Selenium, Selenoproteins and 10-year Cardiovascular Risk: Results from the ATTICA Study. Curr. Vasc. Pharmacol. 2023, 21, 346–355. [Google Scholar] [CrossRef]
- Whayne, T.F., Jr.; Parinandi, N.; Maulik, N. Thioredoxins in cardiovascular disease. Can. J. Physiol. Pharmacol. 2015, 93, 903–911. [Google Scholar] [CrossRef]
- Bai, Y.-T.; Chang, R.; Wang, H.; Xiao, F.-J.; Ge, R.-L.; Wang, L.-S. ENPP2 protects cardiomyocytes from erastin-induced ferroptosis. Biochem. Biophys. Res. Commun. 2018, 499, 44–51. [Google Scholar] [CrossRef] [PubMed]
- Feng, Y.; Madungwe, N.B.; Aliagan, A.D.I.; Tombo, N.; Bopassa, J.C. Liproxstatin-1 protects the mouse myocardium against ischemia/reperfusion injury by decreasing VDAC1 levels and restoring GPX4 levels. Biochem. Biophys. Res. Commun. 2019, 520, 606–611. [Google Scholar] [CrossRef] [PubMed]
- Baba, Y.; Higa, J.K.; Shimada, B.K.; Horiuchi, K.M.; Suhara, T.; Kobayashi, M.; Woo, J.D.; Aoyagi, H.; Marh, K.S.; Kitaoka, H. Protective effects of the mechanistic target of rapamycin against excess iron and ferroptosis in cardiomyocytes. Am. J. Physiol.-Heart Circ. Physiol. 2018, 314, H659–H668. [Google Scholar] [CrossRef] [PubMed]
- Al-Mubarak, A.A.; Mavrogenis, G.M.; Guo, X.; De Bruyn, M.; Nath, M.; Romaine, S.P.; Beverborg, N.G.; Gomez, K.A.; Zijlstra, S.N.; van Veldhuisen, D.J. Biomarker and transcriptomics profiles of serum selenium concentrations in patients with heart failure are associated with immunoregulatory processes. Redox Biol. 2024, 70, 103046. [Google Scholar] [CrossRef] [PubMed]
- Dawi, J.; Affa, S.; Gonzalez, E.; Misakyan, Y.; Nikoghosyan, D.; Hajjar, K.; Kades, S.; Fardeheb, S.; Mirzoyan, H.; Venketaraman, V. Ferroptosis in Cardiovascular Disease and Cardiomyopathies: Therapeutic Implications of Glutathione and Iron Chelating Agents. Biomedicines 2024, 12, 558. [Google Scholar] [CrossRef]
- Han, M.; Liu, K. Selenium and selenoproteins: Their function and development of selenium-rich foods. Int. J. Food Sci. Technol. 2022, 57, 7026–7037. [Google Scholar] [CrossRef]
- Adadi, P.; Barakova, N.V.; Muravyov, K.Y.; Krivoshapkina, E.F. Designing selenium functional foods and beverages: A review. Food Res. Int. 2019, 120, 708–725. [Google Scholar] [CrossRef] [PubMed]
- García-Barrera, T.; Gómez-Ariza, J.L.; Gómez Jacinto, V.; Garbayo Nores, I.; Vílchez Lobato, C.; Gojkovica, Z. Functional Foods Enriched in Selenium; Royal Society of Chemistry: Londen, UK, 2015. [Google Scholar] [CrossRef]
- Chen, N.; Zhao, C.; Zhang, T. Selenium transformation and selenium-rich foods. Food Biosci. 2021, 40, 100875. [Google Scholar] [CrossRef]
- Rayman, M.P. Food-chain selenium and human health: Emphasis on intake. Br. J. Nutr. 2008, 100, 254–268. [Google Scholar] [CrossRef] [PubMed]
- Finley, J.W. Reduction of cancer risk by consumption of selenium-enriched plants: Enrichment of broccoli with selenium increases the anticarcinogenic properties of broccoli. J. Med. Food 2003, 6, 19–26. [Google Scholar] [CrossRef] [PubMed]
- Chen, T.; Wong, Y.-S.; Zheng, W. Purification and characterization of selenium-containing phycocyanin from selenium-enriched Spirulina platensis. Phytochemistry 2006, 67, 2424–2430. [Google Scholar] [CrossRef] [PubMed]
- Gu, Y.; Qiu, Y.; Wei, X.; Li, Z.; Hu, Z.; Gu, Y.; Zhao, Y.; Wang, Y.; Yue, T.; Yuan, Y. Characterization of selenium-containing polysaccharides isolated from selenium-enriched tea and its bioactivities. Food Chem. 2020, 316, 126371. [Google Scholar] [CrossRef]
- Huang, S.; Yang, W.; Huang, G. Preparation and activities of selenium polysaccharide from plant such as Grifola frondosa. Carbohydr. Polym. 2020, 242, 116409. [Google Scholar] [CrossRef]
- Liu, M.; Yao, W.; Zhu, Y.; Liu, H.; Zhang, J.; Jia, L. Characterization, antioxidant and antiinflammation of mycelia selenium polysaccharides from Hypsizygus marmoreus SK-03. Carbohydr. Polym. 2018, 201, 566–574. [Google Scholar] [CrossRef]
- Kieliszek, M. Selenium–fascinating microelement, properties and sources in food. Molecules 2019, 24, 1298. [Google Scholar] [CrossRef] [PubMed]
- Kieliszek, M.; Sandoval, S.N.S. The importance of selenium in food enrichment processes. A comprehensive review. J. Trace Elem. Med. Biol. 2023, 79, 127260. [Google Scholar] [CrossRef]









| Selenoprotein | Abbreviation | Organs | Functions | Refs. |
|---|---|---|---|---|
| Glutathione peroxidase 1 | GPx1 | Highly expressed in the kidneys, liver, lungs, and erythrocytes | Antioxidants decrease cellular H2O2 and suppress the ability of retroviral virulence to cause mutations in viruses | [77,78] |
| Glutathione peroxidase 2 | GPx2 | Mostly found in the human liver and gastrointestinal tissues | Antioxidant activity lowers gastrointestinal peroxide, protects against oxidative damage and anti-apoptotic properties in the colon, and maintains the integrity of the intestinal mucosa | [79,80] |
| Glutathione peroxidase 3 | GPx3 | Mostly in plasma and extracellular fluid; additionally found in the GI tract, placenta, liver, kidneys, breasts, heart, and male reproductive system | Decreases peroxide levels in the blood and increases antioxidant levels in the plasma, protects the thyroid gland against thyrocyte hydrogen peroxide, and minimizes lipid hydroperoxides | [81,82] |
| Glutathione peroxidase 4 | GPx4 | Highly apparent in the mitochondria, testes, cytosol, and nuclei of cells | An antioxidant in membranes, lipid hydroperoxide detoxification functions in sperm as a structural protein and is also implicated in apoptosis; has an influence on male fertility | [83,84] |
| Thioredoxin reductase 1 | TrxR1 | Cytoplasm; intracellular content in the nuclei and cytosol | Decreases thioredoxin, regulates antioxidant activity, transcription factors, cell proliferation, and apoptosis; maintains redox balance; and facilitates DNA synthesis | [85,86] |
| Thioredoxin reductase 2 | TrxR2 | Widespread and located in the mitochondria | Regulates modulation of transcription factors, management of mitochondria-mediated cell death, preservation of mitochondrial integrity, detoxification of aldehydes, and support of protein synthesis and folding | [87] |
| Thioredoxin-glutathione reductase | TrxR3 | Particularly in testes, also in mitochondria | Antioxidants, particularly within the reproductive system, essential for sperm development and maturation, are implicated in the pathophysiology of inflammatory bowel diseases, such as Crohn’s disease and ulcerative colitis | [88] |
| Iodothyronine deiodinase 1 | DIO1 | Primarily found in brown fat, thyroid, kidneys, and liver | Essential for systemic active thyroid hormone level production of active T3 cell hormones in thyroid and peripheral tissues | [89,90] |
| Iodothyronine deiodinase 2 | DIO2 | Endoplasmic reticulum membrane expressed in the central nervous system, pituitary, brown adipose tissue, heart, and skeletal muscle | T3 biosynthesis in peripheral tissues and thyroid hormone activation | [91] |
| Iodothyronine deiodinase 3 | DIO3 | Present in the skin, cerebral brain, uterine, fetuses, and CNS | Dio3 uses SeC for selective deiodination of thyroid hormones, with regioselectivity driven by loop dynamics and halogen bonds. Cys168 plays a role in regenerates, prevents the fetus from being overexposed to T3; deactivates thyroid hormone, and converts T4 to reverse T3 (rT3) | [92,93] |
| Methionine-R-sulfoxide reductase B1 | MSRB1 | Cytosol and nuclei | Involved in antioxidant defense and oxidoreductase activity and contributes to the regulation of redox in several tissues | [94] |
| Selenoprotein F | SELENOF, SEP15 | Liver, brain, kidney, testis, thyroid, lung, and T-cells | Potential function in ER quality regulation of protein folding | [95] |
| Selenoprotein H | SELENOH | Nuclei, brain, and muscle cells | Redox-sensitive protein that binds DNA, with possible involvement in the activation of genes related to glutathione production | [96] |
| Selenoprotein I | SELENOI | Nuclear localization | Suppresses ferroptosis and supports intestinal and anti-tumor health | [97] |
| Selenoprotein K | SELENOK | Endoplasmic reticulum, skeletal muscle, and heart | Boosts microglial migration and phagocytosis by elevating Ca2+ via IP3R3 upregulation | [98] |
| Selenoprotein M | SELENOM | Endoplasmic reticulum | Likely functions as an oxidoreductase, contributing to redox balance and cellular homeostasis, with potential links to disease mechanisms through its Trx motif | [99] |
| Selenoprotein N | SELENON | A transmembrane glycoprotein related to ER | Protects against insulin resistance and muscle dysfunction by regulating ER stress | [100] |
| Selenoprotein O | SELENOO | Mitochondria | It may be a potential prognostic biomarker in various cancers, influencing tumor immunity, the microenvironment, and metabolism | [101] |
| Selenoprotein P | SELENOP, SEPP1 | Extracellular glycoprotein is mostly present in plasma and is significantly expressed in the testes, liver, and brain. | SELENOP primarily transports Se and acts as an antioxidant; it is a key supplier of plasma Se and a reliable biomarker of Se status Deficiency of SELENOP in mice causes infertility; SELENOP also regulates tissue Se levels, with its genotype influencing Se concentrations in breast cancer tumors | [102,103] |
| Selenoprotein S | SELENOS | Predominantly in the endoplasmic reticulum and plasma membrane | Induces ER stress apoptosis, eliminates misfolded proteins from the endoplasmic reticulum, and regulates inflammation, a therapeutic target for LGG. | [75,104] |
| Selenoprotein T | SELENOT | Ubiquitous | SELENOT protects against cisplatin-induced AKI by reducing oxidative stress and apoptosis, with Nox4 inhibition partially reversing the effects of SELENOT silencing; also regulates neuroendocrine secretion and Ca2+ homeostasis | [105] |
| Selenoprotein V | SELENOV | Adipose tissue | SELENOV regulates lipid metabolism and thermogenesis; its knockout increases body weight, fat mass, and lipogenesis and reduces thermogenesis while lowering OGT protein levels and activity in adipose tissue | [106,107] |
| Selenoprotein W | SELENOW | Cytosol, skeletal muscles, and prostate | Protects against muscle atrophy in sarcopenia; osteoclastogenic | [66,108] |
| Selenophosphate synthetase 2 | SPS2 | Cytosol and nuclei | Triggers the synthesis reaction of selenophosphate, is a Se donor in biological responses, and helps synthesize selenoproteins | [109] |
Disclaimer/Publisher’s Note: The statements, opinions and data contained in all publications are solely those of the individual author(s) and contributor(s) and not of MDPI and/or the editor(s). MDPI and/or the editor(s) disclaim responsibility for any injury to people or property resulting from any ideas, methods, instructions or products referred to in the content. |
© 2025 by the authors. Licensee MDPI, Basel, Switzerland. This article is an open access article distributed under the terms and conditions of the Creative Commons Attribution (CC BY) license (https://creativecommons.org/licenses/by/4.0/).
Share and Cite
Shahidin; Wang, Y.; Wu, Y.; Chen, T.; Wu, X.; Yuan, W.; Zhu, Q.; Wang, X.; Zi, C. Selenium and Selenoproteins: Mechanisms, Health Functions, and Emerging Applications. Molecules 2025, 30, 437. https://doi.org/10.3390/molecules30030437
Shahidin, Wang Y, Wu Y, Chen T, Wu X, Yuan W, Zhu Q, Wang X, Zi C. Selenium and Selenoproteins: Mechanisms, Health Functions, and Emerging Applications. Molecules. 2025; 30(3):437. https://doi.org/10.3390/molecules30030437
Chicago/Turabian StyleShahidin, Yan Wang, Yilong Wu, Taixia Chen, Xiaoyun Wu, Wenjuan Yuan, Qiangqiang Zhu, Xuanjun Wang, and Chengting Zi. 2025. "Selenium and Selenoproteins: Mechanisms, Health Functions, and Emerging Applications" Molecules 30, no. 3: 437. https://doi.org/10.3390/molecules30030437
APA StyleShahidin, Wang, Y., Wu, Y., Chen, T., Wu, X., Yuan, W., Zhu, Q., Wang, X., & Zi, C. (2025). Selenium and Selenoproteins: Mechanisms, Health Functions, and Emerging Applications. Molecules, 30(3), 437. https://doi.org/10.3390/molecules30030437

