High-Temperature Hydrothermal Extraction of Phenolic Compounds from Brewer’s Spent Grain and Malt Dust Biomass Using Natural Deep Eutectic Solvents
Abstract
1. Introduction
2. Results and Discussion
2.1. Biomass Characterisation
2.2. NADES Viscosity Optimisation
2.3. Time and Temperature Stability of Phenolic Compounds
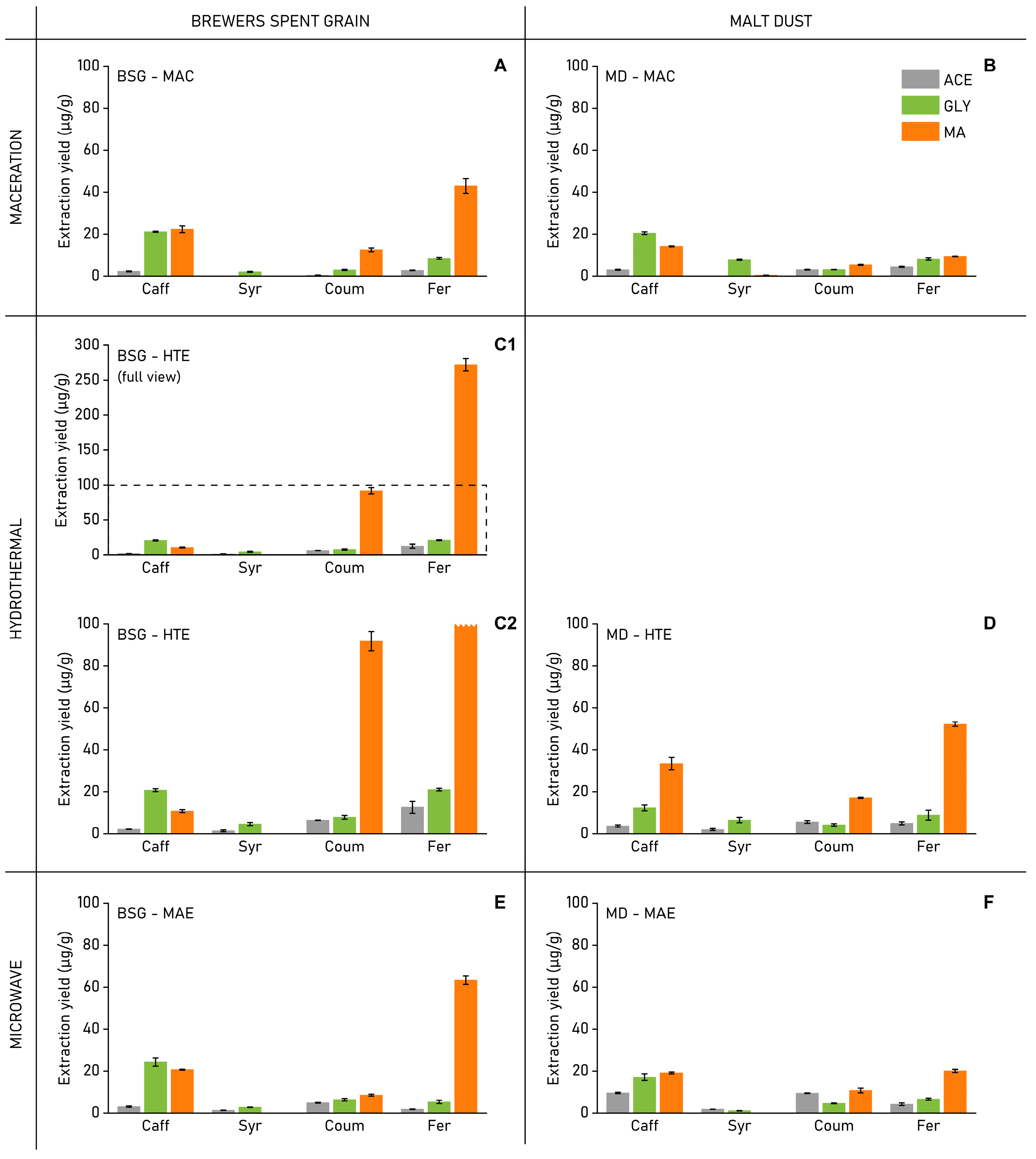
2.4. Phenolic Compound Extractions
2.5. Impact of Acidic NADES Extraction Using HTE on the Lignocellulosic Composition of Biomass
). However, more defined, sharper peaks were observed in the spectrum of BSG-HTE-MA. This can only be explained by the removal of hemicellulose during the extraction, leaving only the sharper peaks from cellulose [56].
). This signal corresponds to the C1 signal of hemicellulose and overlaps partially with the C1 signal from cellulose around 105 ppm [57].3. Materials and Methods
3.1. Chemicals and Reagents
3.2. Biomass Characterisation
3.2.1. Component Analysis
3.2.2. Ultimate Analysis
3.2.3. Gravimetric Ash Content
3.3. NADES Preparation
3.4. Time- and Temperature-Dependent Phenolic Compound Stability Test
3.5. Solvent Viscosity Determination, Rheology
3.6. Biomass Extractions
3.6.1. Heated and Agitated (Stirred) Maceration Extraction (MAC)
3.6.2. Hydrothermal Extraction (HTE)
3.6.3. Microwave-Assisted Extraction (MAE)
3.7. Work-Up Extracts
3.8. High-Performance Liquid Chromatography (HPLC)
3.9. Pyrolysis GC-MS
3.10. Nuclear Magnetic Resonance (NMR)
3.11. Statistical Analysis
4. Conclusions
Supplementary Materials
Author Contributions
Funding
Institutional Review Board Statement
Data Availability Statement
Acknowledgments
Conflicts of Interest
References
- Anastas, P.T.; Warner, J.C. Green Chemistry: Theory and Practice; Oxford University Press: Oxford, UK, 1998; ISBN 9780198506980. [Google Scholar]
- Arora, N.K.; Mishra, I. United Nations Sustainable Development Goals 2030 and environmental sustainability: Race against time. Environ. Sustain. 2019, 2, 339–342. [Google Scholar] [CrossRef]
- Ramírez-Márquez, C.; Al-Thubaiti, M.M.; Martín, M.; El-Halwagi, M.M.; Ponce-Ortega, J.M. Processes Intensification for Sustainability: Prospects and Opportunities. Ind. Eng. Chem. Res. 2023, 62, 2428–2443. [Google Scholar] [CrossRef]
- Kümmerer, K.; Clark, J.H.; Zuin, V.G. Rethinking chemistry for a circular economy. Science 2020, 367, 369–370. [Google Scholar] [CrossRef]
- de los Ángeles Fernández, M.; Espino, M.; Gomez, F.J.V.; Silva, M.F. Novel approaches mediated by tailor-made green solvents for the extraction of phenolic compounds from agro-food industrial by-products. Food Chem. 2018, 239, 671–678. [Google Scholar] [CrossRef]
- Ruesgas-Ramón, M.; Figueroa-Espinoza, M.C.; Durand, E. Application of Deep Eutectic Solvents (DES) for Phenolic Compounds Extraction: Overview, Challenges, and Opportunities. J. Agric. Food Chem. 2017, 65, 3591–3601. [Google Scholar] [CrossRef]
- Shahidi, F.; Ambigaipalan, P. Phenolics and polyphenolics in foods, beverages and spices: Antioxidant activity and health effects—A review. J. Funct. Foods 2015, 18, 820–897. [Google Scholar] [CrossRef]
- Brglez Mojzer, E.; Knez Hrnčič, M.; Škerget, M.; Knez, Ž.; Bren, U. Polyphenols: Extraction Methods, Antioxidative Action, Bioavailability and Anticarcinogenic Effects. Molecules 2016, 21, 901. [Google Scholar] [CrossRef]
- González-Vallinas, M.; González-Castejón, M.; Rodríguez-Casado, A.; Ramírez de Molina, A. Dietary phytochemicals in cancer prevention and therapy: A complementary approach with promising perspectives. Nutr. Rev. 2013, 71, 585–599. [Google Scholar] [CrossRef]
- European Commission (EC). 1999/13/EC: The VOC Solvents Emissions Directive. 1999. Available online: https://ec.europa.eu/environment/archives/air/stationary/solvents/legislation.htm (accessed on 8 June 2023).
- Baltaci, S.F.; Hamamci, H. The simultaneous saccharification and fermentation of malt dust and use in the acidification of mash. J. Inst. Brew. 2019, 125, 230–234. [Google Scholar] [CrossRef]
- Fischer, K.; Bipp, H.P. Generation of organic acids and monosaccharides by hydrolytic and oxidative transformation of food processing residues. Bioresour. Technol. 2005, 96, 831–842. [Google Scholar] [CrossRef]
- Mussatto, S.I.; Dragone, G.; Roberto, I.C. Brewers’ spent grain: Generation, characteristics and potential applications. J. Cereal Sci. 2006, 43, 1–14. [Google Scholar] [CrossRef]
- Zhang, J.; Wang, Q. Sustainable mechanisms of biochar derived from brewers’ spent grain and sewage sludge for ammonia-nitrogen capture. J. Clean. Prod. 2016, 112, 3927–3934. [Google Scholar] [CrossRef]
- McCarthy, A.L.; O’Callaghan, Y.C.; Neugart, S.; Piggott, C.O.; Connolly, A.; Jansen, M.A.K.; Krumbein, A.; Schreiner, M.; FitzGerald, R.J.; O’Brien, N.M. The hydroxycinnamic acid content of barley and brewers’ spent grain (BSG) and the potential to incorporate phenolic extracts of BSG as antioxidants into fruit beverages. Food Chem. 2013, 141, 2567–2574. [Google Scholar] [CrossRef]
- Mussatto, S.I.; Dragone, G.; Roberto, I.C. Ferulic and p-coumaric acids extraction by alkaline hydrolysis of brewer’s spent grain. Ind. Crops Prod. 2006, 25, 231–237. [Google Scholar] [CrossRef]
- Moreira, M.M.; Morais, S.; Barros, A.A.; Delerue-Matos, C.; Guido, L.F. A novel application of microwave-assisted extraction of polyphenols from brewer’s spent grain with HPLC-DAD-MS analysis. Anal. Bioanal. Chem. 2012, 403, 1019–1029. [Google Scholar] [CrossRef]
- López-Linares, J.C.; Campillo, V.; Coca, M.; Lucas, S.; García-Cubero, M.T. Microwave-assisted deep eutectic solvent extraction of phenolic compounds from brewer’s spent grain. J. Chem. Technol. Biotechnol. 2020, 96, 481–490. [Google Scholar] [CrossRef]
- Smith, E.L.; Abbott, A.P.; Ryder, K.S. Deep Eutectic Solvents (DESs) and Their Applications. Chem. Rev. 2014, 114, 11060–11082. [Google Scholar] [CrossRef]
- Liu, Y.; Friesen, J.B.; McAlpine, J.B.; Lankin, D.C.; Chen, S.N.; Pauli, G.F. Natural Deep Eutectic Solvents: Properties, Applications, and Perspectives. J. Nat. Prod. 2018, 81, 679–690. [Google Scholar] [CrossRef]
- Parliament, E. 2009/32/EC: The Approximation of the Laws of the Member States on Extraction Solvents Used in the Production of Foodstuffs and Food Ingredients. 2009. Available online: https://eur-lex.europa.eu/legal-content/EN/TXT/?uri=CELEX%3A02009L0032-20230216 (accessed on 8 June 2023).
- Craveiro, R.; Aroso, I.; Flammia, V.; Carvalho, T.; Viciosa, M.T.; Dionísio, M.; Barreiros, S.; Reis, R.L.; Duarte, A.R.C.; Paiva, A. Properties and thermal behavior of natural deep eutectic solvents. J. Mol. Liq. 2016, 215, 534–540. [Google Scholar] [CrossRef]
- Dai, Y.; Witkamp, G.J.; Verpoorte, R.; Choi, Y.H. Tailoring properties of natural deep eutectic solvents with water to facilitate their applications. Food Chem. 2015, 187, 14–19. [Google Scholar] [CrossRef]
- Lapeña, D.; Lomba, L.; Artal, M.; Lafuente, C.; Giner, B. The NADES glyceline as a potential Green Solvent: A comprehensive study of its thermophysical properties and effect of water inclusion. J. Chem. Thermodyn. 2019, 128, 164–172. [Google Scholar] [CrossRef]
- Zuorro, A.; Iannone, A.; Lavecchia, R. Water-organic solvent extraction of phenolic antioxidants from brewers’ spent grain. Processes 2019, 7, 126. [Google Scholar] [CrossRef]
- Meneses, N.G.T.; Martins, S.; Teixeira, J.A.; Mussatto, S.I. Influence of extraction solvents on the recovery of antioxidant phenolic compounds from brewer’s spent grains. Sep. Purif. Technol. 2013, 108, 152–158. [Google Scholar] [CrossRef]
- Andres, A.I.; Petron, M.J.; Lopez, A.M.; Timon, M.L. Optimization of extraction conditions to improve phenolic content and in vitro antioxidant activity in craft brewers’ spent grain using response surface methodology (rsm). Foods 2020, 9, 1398. [Google Scholar] [CrossRef]
- Moreira, M.M.; Morais, S.; Carvalho, D.O.; Barros, A.A.; Delerue-Matos, C.; Guido, L.F. Brewer’s spent grain from different types of malt: Evaluation of the antioxidant activity and identification of the major phenolic compounds. Food Res. Int. 2013, 54, 382–388. [Google Scholar] [CrossRef]
- Zago, E.; Tillier, C.; De Leener, G.; Nandasiri, R.; Delporte, C.; Bernaerts, K.V.; Shavandi, A. Sustainable production of low molecular weight phenolic compounds from Belgian Brewers’ spent grain. Bioresour. Technol. Rep. 2022, 17, 100964. [Google Scholar] [CrossRef]
- Birsan, R.I.; Wilde, P.; Waldron, K.W.; Rai, D.K. Recovery of polyphenols from brewer’s spent grains. Antioxidants 2019, 8, 380. [Google Scholar] [CrossRef]
- Forssell, P.; Kontkanen, H.; Schols, H.A.; Hinz, S.; Eijsink, V.G.H.; Treimo, J.; Robertson, J.A.; Waldron, K.W.; Faulds, C.B.; Buchert, J. Hydrolysis of brewers’ spent grain by carbohydrate degrading enzymes. J. Inst. Brew. 2008, 114, 306–314. [Google Scholar] [CrossRef]
- Robertson, J.A.; Castro-Mariñas, L.; Collins, S.R.A.; Faulds, C.B.; Waldron, K.W. Enzymatic and chemical treatment limits on the controlled solubilization of brewers’ spent grain. J. Agric. Food Chem. 2011, 59, 11019–11025. [Google Scholar] [CrossRef]
- Mouratoglou, E.; Malliou, V.; Makris, D.P. Novel Glycerol-Based Natural Eutectic Mixtures and Their Efficiency in the Ultrasound-Assisted Extraction of Antioxidant Polyphenols from Agri-Food Waste Biomass. Waste Biomass Valorization 2016, 7, 1377–1387. [Google Scholar] [CrossRef]
- Fang, C.; Thomsen, M.H.; Frankær, C.G.; Brudecki, G.P.; Schmidt, J.E.; Alnashef, I.M. Reviving Pretreatment Effectiveness of Deep Eutectic Solvents on Lignocellulosic Date Palm Residues by Prior Recalcitrance Reduction. Ind. Eng. Chem. Res. 2017, 56, 3167–3174. [Google Scholar] [CrossRef]
- Lobato-Rodríguez, Á.; Gullón, B.; Romaní, A.; Ferreira-Santos, P.; Garrote, G.; Del-Río, P.G. Recent advances in biorefineries based on lignin extraction using deep eutectic solvents: A review. Bioresour. Technol. 2023, 388, 129744. [Google Scholar] [CrossRef]
- Soest, P.V.; Wine, R.H. Use of Detergents in the Analysis of Fibrous Feeds. IV. Determination of Plant Cell-Wall Constituents. J. AOAC Int. 1967, 50, 50–55. [Google Scholar] [CrossRef]
- Jung, H.G.; Mertens, D.R.; Payne, A.J. Correlation of Acid Detergent Lignin and Klason Lignin with Digestibility of Forage Dry Matter and Neutral Detergent Fiber. J. Dairy Sci. 1997, 80, 1622–1628. [Google Scholar] [CrossRef]
- Ikram, S.; Huang, L.Y.; Zhang, H.; Wang, J.; Yin, M. Composition and Nutrient Value Proposition of Brewers Spent Grain. J. Food Sci. 2017, 82, 2232–2242. [Google Scholar] [CrossRef]
- Mussatto, S.I. Brewer’s spent grain: A valuable feedstock for industrial applications. J. Sci. Food Agric. 2014, 94, 1264–1275. [Google Scholar] [CrossRef]
- Irakli, M.N.; Samanidou, V.F.; Biliaderis, C.G.; Papadoyannis, I.N. Development and validation of an HPLC-method for determination of free and bound phenolic acids in cereals after solid-phase extraction. Food Chem. 2012, 134, 1624–1632. [Google Scholar] [CrossRef]
- Runge, T.; Wipperfurth, P.; Zhang, C. Improving biomass combustion quality using a liquid hot water treatment. Biofuels 2013, 4, 73–83. [Google Scholar] [CrossRef]
- Arvelakis, S.; Koukios, E.G. Physicochemical upgrading of agroresidues as feedstocks for energy production via thermochemical conversion methods. Biomass Bioenergy 2002, 22, 331–348. [Google Scholar] [CrossRef]
- Viscosity of Water; ISO: Geneva, Switzerland, 1998; Available online: https://www.iso.org/standard/28607.html (accessed on 29 June 2023).
- Elhamarnah, Y.A.; Nasser, M.; Qiblawey, H.; Benamor, A.; Atilhan, M.; Aparicio, S. A comprehensive review on the rheological behavior of imidazolium based ionic liquids and natural deep eutectic solvents. J. Mol. Liq. 2019, 277, 932–958. [Google Scholar] [CrossRef]
- Hong, S.; Shen, X.J.; Pang, B.; Xue, Z.; Cao, X.F.; Wen, J.L.; Sun, Z.H.; Lam, S.S.; Yuan, T.Q.; Sun, R.C. In-depth interpretation of the structural changes of lignin and formation of diketones during acidic deep eutectic solvent pretreatment. Green Chem. 2020, 22, 1851–1858. [Google Scholar] [CrossRef]
- Hong, S.; Shen, X.; Xue, Z.; Sun, Z.; Yuan, T.-Q. Structure-function relationships of deep eutectic solvents for lignin extraction and chemical transformation. Green Chem. 2020, 22, 7219–7232. [Google Scholar] [CrossRef]
- Shen, G.; Yuan, X.; Cheng, Y.; Chen, S.; Xu, Z.; Jin, M. Densification pretreatment with a limited deep eutectic solvent triggers high-efficiency fractionation and valorization of lignocellulose. Green Chem. 2023, 25, 8026–8039. [Google Scholar] [CrossRef]
- Salgado-Ramos, M.; Tabasso, S.; Calcio Gaudino, E.; Moreno, A.; Mariatti, F.; Cravotto, G. An Innovative, Green Cascade Protocol for Grape Stalk Valorization with Process Intensification Technologies. Appl. Sci. 2022, 12, 7417. [Google Scholar] [CrossRef]
- Lou, R.; Zhang, X. Evaluation of pretreatment effect on lignin extraction from wheat straw by deep eutectic solvent. Bioresour. Technol. 2022, 344, 126174. [Google Scholar] [CrossRef]
- Rojo-Poveda, O.; Barbosa-Pereira, L.; Mateus-Reguengo, L.; Bertolino, M.; Stévigny, C.; Zeppa, G. Effects of particle size and extraction methods on cocoa bean shell functional beverage. Nutrients 2019, 11, 867. [Google Scholar] [CrossRef]
- Pinelo, M.; Del Fabbro, P.; Manzocco, L.; Nuñez, M.J.; Nicoli, M.C. Optimization of continuous phenol extraction from Vitis vinifera byproducts. Food Chem. 2005, 92, 109–117. [Google Scholar] [CrossRef]
- Sun, R.C.; Sun, X.F.; Zhang, S.H. Quantitative determination of hydroxycinnamic acids in wheat, rice, rye, and barley straws, maize stems, oil palm frond fiber, and fast-growing poplar wood. J. Agric. Food Chem. 2001, 49, 5122–5129. [Google Scholar] [CrossRef]
- Lynam, J.G.; Kumar, N.; Wong, M.J. Deep eutectic solvents’ ability to solubilize lignin, cellulose, and hemicellulose; thermal stability; and density. Bioresour. Technol. 2017, 238, 684–689. [Google Scholar] [CrossRef]
- Adriaensens, P.; Storme, L.; Carleer, R.; Gelan, J.; Du Prez, F.E. Comparative morphological study of poly(dioxolane)/poly(methyl methacrylate) segmented networks and blends by 13C solid-state NMR and thermal analysis. Macromolecules 2002, 35, 3965–3970. [Google Scholar] [CrossRef]
- Kostryukov, S.G.; Petrov, P.S.; Tezikova, V.S.; Masterova, Y.Y.; Idris, T.J.; Kostryukov, N.S. Determination of wood composition using solid-state 13C NMR spectroscopy. Cellul. Chem. Technol. 2021, 55, 461–468. [Google Scholar] [CrossRef]
- Cipriano, D.F.; Chinelatto, L.S.; Nascimento, S.A.; Rezende, C.A.; de Menezes, S.M.C.; Freitas, J.C.C. Potential and limitations of 13C CP/MAS NMR spectroscopy to determine the lignin content of lignocellulosic feedstock. Biomass Bioenergy 2020, 142, 105792. [Google Scholar] [CrossRef]
- Wei, Y.; Huang, Y.; Yu, Y.; Gao, R.; Yu, W. The surface chemical constituent analysis of poplar fibrosis veneers during heat treatment. J. Wood Sci. 2018, 64, 485–500. [Google Scholar] [CrossRef]
- ASTM E1690-01; Standard Test Method for Determination of Ethanol Extractives in Biomass. ASTM: West Conshohocken, PA, USA, 2010.
- Mossé, J. Nitrogen to Protein Conversion Factor for Ten Cereals and Six Legumes or Oilseeds. A Reappraisal of Its Definition and Determination. Variation According to Species and to Seed Protein Content. J. Agric. Food Chem. 1990, 38, 18–24. [Google Scholar] [CrossRef]
- ASTM D2866-94; Standard Test Method for Determination of Total Ash Content of Activated Carbon. ASTM: West Conshohocken, PA, USA, 2004.
- Harmonization, I.C. Validation of Analytical Procedures: Text and Methodology Q2(R1). 2005. Available online: https://www.pmda.go.jp/files/000156867.pdf (accessed on 29 June 2023).
- Xin, Y.; Shen, X.; Dong, M.; Cheng, X.; Liu, S.; Yang, J.; Wang, Z.; Liu, H.; Han, B. Organic amine mediated cleavage of Caromatic-Cαbonds in lignin and its platform molecules. Chem. Sci. 2021, 12, 15110–15115. [Google Scholar] [CrossRef]
- Carrier, M.; Windt, M.; Ziegler, B.; Appelt, J.; Saake, B.; Meier, D.; Bridgwater, A. Quantitative Insights into the Fast Pyrolysis of Extracted Cellulose, Hemicelluloses, and Lignin. ChemSusChem 2017, 10, 3212–3224. [Google Scholar] [CrossRef]
- Sobek, S.; Zeng, K.; Werle, S.; Junga, R.; Sajdak, M. Brewer’s spent grain pyrolysis kinetics and evolved gas analysis for the sustainable phenolic compounds and fatty acids recovery potential. Renew. Energy 2022, 199, 157–168. [Google Scholar] [CrossRef]
- Somorin, T.; Parker, A.; McAdam, E.; Williams, L.; Tyrrel, S.; Kolios, A.; Jiang, Y. Pyrolysis characteristics and kinetics of human faeces, simulant faeces and wood biomass by thermogravimetry–gas chromatography–mass spectrometry methods. Energy Rep. 2020, 6, 3230–3239. [Google Scholar] [CrossRef]
- Dandamudi, K.P.R.; Muhammed Luboowa, K.; Laideson, M.; Murdock, T.; Seger, M.; McGowen, J.; Lammers, P.J.; Deng, S. Hydrothermal liquefaction of Cyanidioschyzon merolae and Salicornia bigelovii Torr.: The interaction effect on product distribution and chemistry. Fuel 2020, 277, 118146. [Google Scholar] [CrossRef]
- Machado, L.M.M.; Lütke, S.F.; Perondi, D.; Godinho, M.; Oliveira, M.L.S.; Collazzo, G.C.; Dotto, G.L. Simultaneous production of mesoporous biochar and palmitic acid by pyrolysis of brewing industry wastes. Waste Manag. 2020, 113, 96–104. [Google Scholar] [CrossRef]
- Ahmad, S.R.; Ghosh, P. A systematic investigation on flavonoids, catechin, β-sitosterol and lignin glycosides from Saraca asoca (ashoka) having anti-cancer & antioxidant properties with no side effect. J. Indian Chem. Soc. 2022, 99, 100293. [Google Scholar] [CrossRef]
- Chen, H.; Shan, R.; Zhao, F.; Gu, J.; Zhang, Y.; Yuan, H.; Chen, Y. A review on the NOx precursors release during biomass pyrolysis. Chem. Eng. J. 2023, 451, 138979. [Google Scholar] [CrossRef]






| Ref. | Author | Optimized Extraction Method | Tot. Phen. (µg/g) (TPC) | CAFF. (µg/g) | SYR. (µg/g) | COU. (µg/g) | FER. (µg/g) | Notes |
|---|---|---|---|---|---|---|---|---|
| [25] | A. Zuorro et al., 2019 | Maceration; 60 °C, 60′. Stirred 400 rpm. 1:20 w/v ratio. 0, 20, 40, 60, 80, 100 v/v% aqueous acetone and aqueous ethanol. | 4126 | / | / | / | / | Total yield after 4 extraction cycles. Best yield at 60 v/v% acetone. |
| [15] | A. McCarthy et al., 2013 | Maceration (Schütz, Kammerer, Carle, & Schieber, 2004); 2 g dry BSG, 60 v/v% aqueous methanol, 90′. | 4530 | 1.33–2.78 | / | 18.83–42.66 | 62.92–142.29 | |
| [26] | N. Meneses et al., 2013 | Maceration; 1:20 w/v ratio. 60 v/v% aqueous methanol, 30′, 60 °C–80 °C. | 9900 | / | / | / | / | |
| [16] | S. Mussatto et al., 2006 | H2SO4 pre-treatment; Maceration; 2% NaOH, 1:20 w/v ratio, 120 °C, 90′. | / | / | / | 2776 | 2906 | Hydrolysis of lignin releases bound (poly-)phenols. Total solubilisation of Ferulic acid. |
| [27] | A. Andres et al., 2020 | Maceration; 1:10 w/v ratio, H2O, 30 °C, 121.9′. | 5420 | 1.69 ± 1.65 | / | 0.27 ± 0.06 | 0.88 ± 0.11 | |
| [28] | M. Moreira et al., 2013 | MAE; 0.75 w/v% NaOH. | 19,500 | / | / | 47 ± 7 | 149 ± 7 | |
| [17] | M. Moreira et al., 2012 | MAE; 0.75 w/v% NaOH. 1:20 w/v ratio, 100 °C, 15′. | / | / | / | / | 13,100 | |
| [18] | J. López-Linarez et al., 2020 | MAE; 1:10 w/v ratio, 100 °C, 13.3′. ChCl:GLY NADES, 37.46 v/v% H2O | 2890 | / | 405 | 595 | 763 | |
| [29] | E. Zago et al., 2022 | MAE pre-treatment; 600 W, 30′. Maceration Ethanol/water 70:30 v/v%, 80 °C, 60′, 1:30 w/v ratio. | 13,230 ± 20 | / | / | 9 ± 2 | 15.00 ± 0.02 | |
| [30] | R. Birsan et al., 2019 | UAE; 35 kHz. 0.75 w/v% NaOH. 1:20 w/v ratio, 80 °C, 30′. | 16,990 | / | / | 371 ± 30 | 739 ± 22 | |
| [31] | P. Forssell et al., 2008 | Enzymatic hydrolysis; Econase CE, Spezyme CP, Depol 740, Depol 686; 1:10 w/v ratio, 50 °C, 5 h. | / | / | / | 4500 | 5100 | Enzymatic hydrolysis is effective for release of bound (poly-)phenols. |
| [32] | J. Robertson et al., 2011 | Enzymatic hydrolysis; Econase CE, Alcalase, Depol 740 L, Depol 686 and Econase, feruloyl esterases. 66 mg/mL; 50–60 °C. | 4140 | / | / | / | / |
| BSG | MD | |
|---|---|---|
| Compositional Analysis | Composition (wt%) | Composition (wt%) |
| EtOH extractable | 20.09 ± 1.44 | 24.23 ± 0.89 |
| Cellulose | 14.28 ± 1.46 | / |
| Hemicellulose | 42.16 ± 1.75 | / |
| ADL Lignin | 8.09 ± 2.89 | / |
| Protein | 25.66 ± 1.34 | 22.93 ± 0.26 |
| Klason lignin | ||
| H2O Extractives | 13.25 ± 0.61 | 56.27 ± 1.75 |
| Ethanol Extractives | 9.93 ± 0.94 | 1.82 ± 0.09 |
| Lignin | 14.77 ± 1.97 | 7.68 ± 0.90 |
| Acid-insoluble | 8.77 ± 1.29 | 4.28 ± 0.51 |
| Acid-soluble | 6.00 ± 0.68 | 3.40 ± 0.39 |
| Ultimate analysis/ ash content | Composition (%) | Composition (%) |
| C | 47.79 ± 0.26 | 42.36 ± 0.30 |
| H | 6.76 ± 0.07 | 6.61 ± 0.07 |
| N | 4.67 ± 0.24 | 4.18 ± 0.05 |
| O | 33.98 ± 0.63 | 40.04 ± 0.46 |
| S | <LOD | <LOD |
| Ash | 3.96 ± 0.06 | 6.80 ± 0.04 |
Disclaimer/Publisher’s Note: The statements, opinions and data contained in all publications are solely those of the individual author(s) and contributor(s) and not of MDPI and/or the editor(s). MDPI and/or the editor(s) disclaim responsibility for any injury to people or property resulting from any ideas, methods, instructions or products referred to in the content. |
© 2024 by the authors. Licensee MDPI, Basel, Switzerland. This article is an open access article distributed under the terms and conditions of the Creative Commons Attribution (CC BY) license (https://creativecommons.org/licenses/by/4.0/).
Share and Cite
Bleus, D.; Blockx, H.; Gesquiere, E.; Adriaensens, P.; Samyn, P.; Marchal, W.; Vandamme, D. High-Temperature Hydrothermal Extraction of Phenolic Compounds from Brewer’s Spent Grain and Malt Dust Biomass Using Natural Deep Eutectic Solvents. Molecules 2024, 29, 1983. https://doi.org/10.3390/molecules29091983
Bleus D, Blockx H, Gesquiere E, Adriaensens P, Samyn P, Marchal W, Vandamme D. High-Temperature Hydrothermal Extraction of Phenolic Compounds from Brewer’s Spent Grain and Malt Dust Biomass Using Natural Deep Eutectic Solvents. Molecules. 2024; 29(9):1983. https://doi.org/10.3390/molecules29091983
Chicago/Turabian StyleBleus, Dries, Heike Blockx, Emma Gesquiere, Peter Adriaensens, Pieter Samyn, Wouter Marchal, and Dries Vandamme. 2024. "High-Temperature Hydrothermal Extraction of Phenolic Compounds from Brewer’s Spent Grain and Malt Dust Biomass Using Natural Deep Eutectic Solvents" Molecules 29, no. 9: 1983. https://doi.org/10.3390/molecules29091983
APA StyleBleus, D., Blockx, H., Gesquiere, E., Adriaensens, P., Samyn, P., Marchal, W., & Vandamme, D. (2024). High-Temperature Hydrothermal Extraction of Phenolic Compounds from Brewer’s Spent Grain and Malt Dust Biomass Using Natural Deep Eutectic Solvents. Molecules, 29(9), 1983. https://doi.org/10.3390/molecules29091983

