Naturally Occurring Chromone Glycosides: Sources, Bioactivities, and Spectroscopic Features
Abstract
1. Introduction
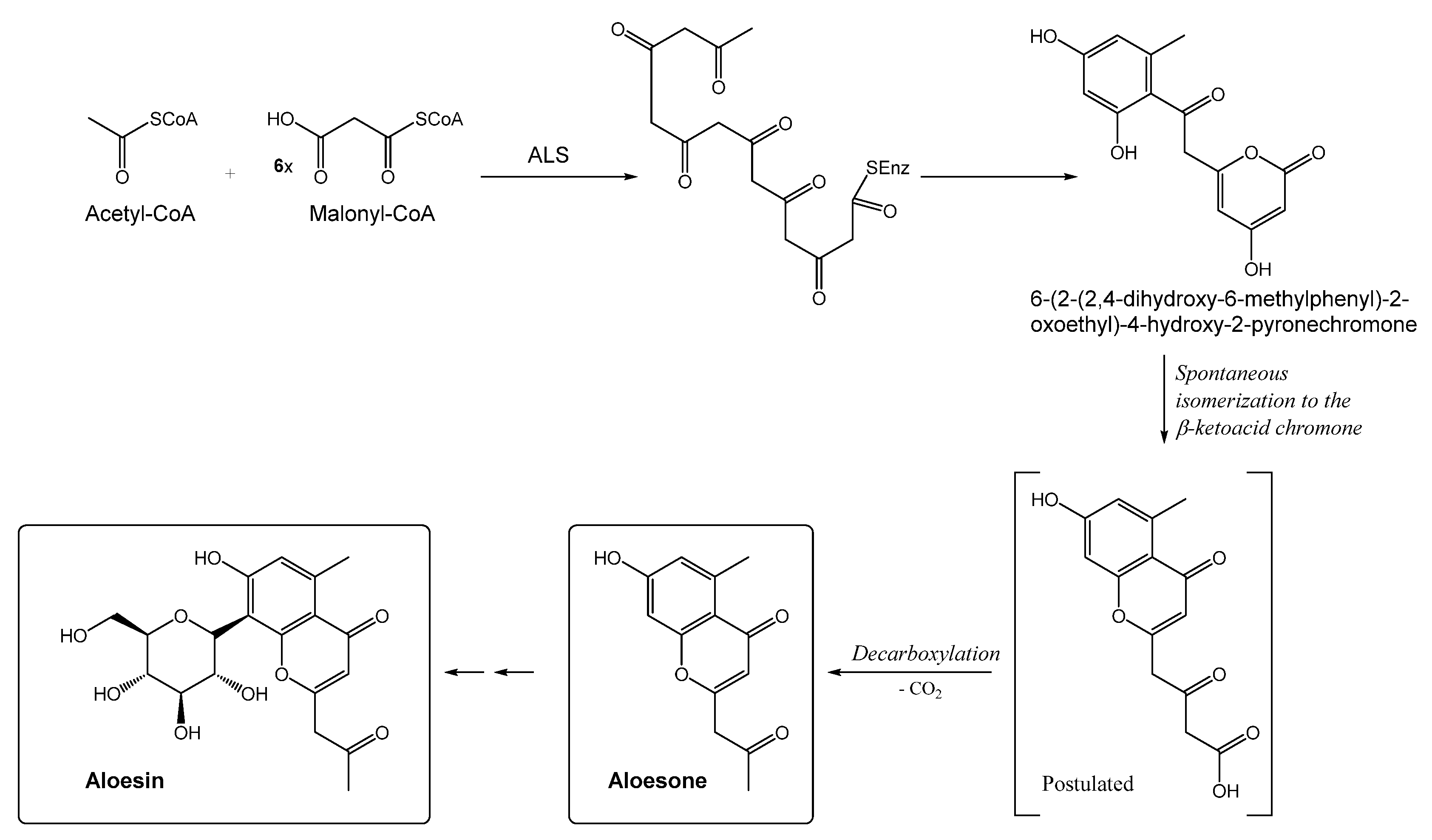
2. Biosynthesis
3. Taxonomy
4. Chromone Glycosides
4.1. Chromone O-glycosides
4.1.1. 2-O-Glycosides
4.1.2. 3-O-Glycosides
4.1.3. 5-O-Glycosides
4.1.4. 6-O-Glycosides
4.1.5. 7-O-Glycosides
4.1.6. 8-O-Glycosides
4.1.7. 11- and 13-O-Glycosides
4.1.8. Chromanone Glycosides
4.2. Chromone C-Glycosides
4.2.1. 3-C-Glycosides
4.2.2. 6-C-Glycosides
4.2.3. 8-C-Glycosides
4.3. Phenyl and Isoprenyl Chromone Glycosides
4.4. Phenyl Ethyl Chromone Glycosides
4.5. Chromone Glycosides with Additional Heterocyclic Moieties
4.5.1. Furano-Chromone Glycosides
4.5.2. Pyrano-Chromone Glycosides
4.5.3. Oxepino-Chromone Glycosides
4.5.4. Pyrido-Chromone Glycosides
4.6. Hybrids of Chromones with Other Classes of Secondary Metabolites
4.6.1. Hybrids of Furano-Chromones with Cycloartane Triterpenes
4.6.2. Hybrids of Chromones with Secoiridoids
4.6.3. Chromone Alkaloids Aminoglycosides
5. Spectroscopic Features
5.1. UV Features
5.2. IR Features
5.3. 1H-NMR Features
5.4. 13C-NMR Features
6. Conclusions
Author Contributions
Funding
Institutional Review Board Statement
Informed Consent Statement
Data Availability Statement
Conflicts of Interest
Abbreviations
| All | Allose |
| Api | Apiose |
| Ara | Arabinose |
| Caf | Caffeic acid |
| Cin | Cinnamic acid |
| Cou | Coumaric acid |
| Fer | Ferulic acid |
| Gall | Gallic acid |
| Glu | Glucose |
| Rha | Rhamnose |
| Xyl | Xylose |
References
- Herath, H.M.T.B.; Jacob, M.; Wilson, A.D.; Abbas, H.K.; Nanayakkara, N.P.D. New secondary metabolites from bioactive extracts of the fungus Armillaria tabescens. Nat. Prod. Res. 2013, 27, 1562–1568. [Google Scholar] [CrossRef] [PubMed]
- Choi, S.; Park, Y.-I.; Lee, S.-K.; Kim, J.-E.; Chung, M.-H. Aloesin inhibits hyperpigmentation induced by UV radiation. Clin. Exp. Dermatol. 2002, 27, 513–515. [Google Scholar] [CrossRef] [PubMed]
- Machado, N.F.L.; Marques, M.P.M. Bioactive Chromone Derivatives-Structural Diversity. Curr. Bioact. Compd. 2010, 6, 76–89. [Google Scholar] [CrossRef]
- Daniel, M. Medicinal Plants: Chemistry and Properties; Science Publishers: Hauppauge, NY, USA, 2006; ISBN 1578083958. [Google Scholar]
- Mander, L.; Liu, H.-W. Comprehensive Natural Products II: Chemistry and Biology; Elsevier: Amsterdam, The Netherlands, 2010; Volume 1, ISBN 0080453821. [Google Scholar]
- Dewick, P.M. Medicinal Natural Products: A Biosynthetic Approach; John Wiley & Sons: Hoboken, NJ, USA, 2002; ISBN 0471496413. [Google Scholar]
- Daily, A.; Seligmann, O.; Nonnenmacher, G.; Fessler, B.; Wong, S.; Wagner, H. New chromone, coumarin, and coumestan derivatives from Mutisia acuminata var. hirsuta. Planta Med. 1988, 54, 50–52. [Google Scholar] [CrossRef]
- Tschesche, R.; Delhvi, S.; Sepulveda, S.; Breitmaier, E. Eucryphin, a new chromone rhamnoside from the bark of Eucryphia cordifolia. Phytochemistry 1979, 18, 867–869. [Google Scholar] [CrossRef]
- Li, Z.; Li, D.; Owen, N.L.; Len, Z.; Cao, Z.; Yi, Y. Structure determination of a new chromone glycoside by 2D INADEQUATE NMR and molecular modeling. Magn. Reson. Chem. 1996, 34, 512–517. [Google Scholar] [CrossRef]
- Feng, Z.; Wang, Y.; Zhang, P. Chemical constituents of Rhododendron ovatum Planch. Yaoxue Xuebao 2005, 40, 150–152. [Google Scholar]
- Kuo, L.-M.Y.; Zhang, L.-J.; Huang, H.-T.; Lin, Z.-H.; Liaw, C.-C.; Cheng, H.-L.; Lee, K.-H.; Morris-Natschke, S.L.; Kuo, Y.-H.; Ho, H.-O. Antioxidant Lignans and Chromone Glycosides from Eurya japonica. J. Nat. Prod. 2013, 76, 580–587. [Google Scholar]
- Chen, G.; Jin, H.Z.; Li, X.F.; Zhang, Q.; Shen, Y.H.; Yan, S.K.; Zhang, W.D. A new chromone glycoside from Rhododendron spinuliferum. Arch. Pharm. Res. 2008, 31, 970–972. [Google Scholar] [CrossRef]
- Han, L.K.; Ninomiya, H.; Taniguchi, M.; Baba, K.; Kimura, Y.; Okuda, H. Norepinephrine-augmenting lipolytic effectors from Astilbe thunbergii rhizomes. J. Nat. Prod. 1998, 61, 1006–1011. [Google Scholar] [CrossRef]
- Sumiyoshi, M.; Kimura, Y. Enhancing effects of a chromone glycoside, eucryphin, isolated from Astilbe rhizomes on burn wound repair and its mechanism. Phytomedicine 2010, 17, 820–829. [Google Scholar] [CrossRef]
- Liao, Y.Y. A new chromone glycoside from leaves of Salix matsudana. Chinese Tradit. Herb. Drugs 2014, 24, 2887–2889. [Google Scholar]
- Tane, P.; Ayafor, J.F.; Sondengam, B.L.; Connolly, J.D. Chromone glycosides from Schumanniophyton magnificum. Phytochemistry 1990, 29, 1004–1007. [Google Scholar] [CrossRef]
- Kumar, V.; Gupta, M.; Gandhi, S.G.; Bharate, S.S.; Kumar, A.; Vishwakarma, R.A.; Bharate, S.B. Anti-inflammatory chromone alkaloids and glycoside from Dysoxylum binectariferum. Tetrahedron Lett. 2017, 58, 3974–3978. [Google Scholar] [CrossRef]
- Al-Taweel, A.; Alqasoumi, S.; Alam, P.; Abdel-Kader, M. Densitometric-high-performance thin-layer chromatographic estimation of diosmin, hesperidin, and ascorbic acid in pharmaceutical formulations. J. Planar Chromatogr. Mod. TLC 2013, 26, 336–342. [Google Scholar] [CrossRef]
- Fawzy, G.A.; Al-Taweel, A.M.; Perveen, S.; Khan, S.I.; Al-Omary, F.A. Bioactivity and chemical characterization of Acalypha fruticosa Forssk. growing in Saudi Arabia. Saudi Pharm. J. 2017, 25, 104–109. [Google Scholar] [CrossRef]
- Sueyoshi, E.; Yu, Q.; Matsunami, K.; Otsuka, H. Staphylosides A and B: Two new chromone diglucosides from leaves of Staphylea bumalda DC. Heterocycles 2008, 76, 845–849. [Google Scholar]
- Elgorashi, E.E.; Coombes, P.H.; Mulholland, D.A.; Van Staden, J. Isoeugenitol, a cyclooxygenase-1 inhibitor from Gethyllis ciliaris. South African J. Bot. 2007, 73, 156–158. [Google Scholar] [CrossRef][Green Version]
- Han, L.; Zheng, F.; Zhang, Y.; Liu, E.; Li, W.; Xia, M.; Wang, T.; Gao, X. Triglyceride accumulation inhibitory effects of new chromone glycosides from Drynaria fortunei. Nat. Prod. Res. 2015, 29, 1703–1710. [Google Scholar] [CrossRef]
- Isaka, M.; Haritakun, R.; Supothina, S.; Choowong, W.; Mongkolsamrit, S. N-Hydroxypyridone alkaloids, chromone derivatives, and tetrahydroxanthones from the scale-insect pathogenic fungus Orbiocrella sp. BCC 33248. Tetrahedron 2014, 70, 9198–9203. [Google Scholar] [CrossRef]
- Ma, L.; Ma, S.; Wei, F.; Lin, R.; But, P.P.; Lee, S.H.; Lee, S.F. Uncinoside A and B, two new antiviral chromone glycosides from Selaginella uncinata. Chem. Pharm. Bull. (Tokyo) 2003, 51, 1264–1267. [Google Scholar] [CrossRef]
- Arakawa, Y.; Chiji, H.; Izawa, M. Structural elucidation of two new chromones isolated from glasswort (Salicornia europaea L.). Agric. Biol. Chem. 1983, 47, 2029–2033. [Google Scholar]
- Chen, X.-Q.; Zan, K.; Liu, H.; Yang, J.; Lai, M.-X.; Wang, Q. Triterpenes and flavonoids from Ilex hainanensis Merr. (Aquifoliaceae). Biochem. Syst. Ecol. 2009, 37, 678–682. [Google Scholar] [CrossRef]
- Simon, A.; Chulia, A.J.; Kaouadji, M.; Delage, C. Quercetin 3-[triacetylarabinosyl(1→6)galactoside] and chromones from Calluna vulgaris. Phytochemistry 1994, 36, 1043–1045. [Google Scholar] [CrossRef]
- Cui, C.B.; Tezuka, Y.; Kikuchi, T.; Nakano, H.; Tamaoki, T.; Park, J.H. Constituents of a fern, Davallia mariessi Moore. IV. Isolation and structures of a novel norcarotane sesquiterpene glycoside, a chromone glucuronide, and two epicatechin glycosides. Chem. Pharm. Bull. (Tokyo) 1992, 40, 2035–2040. [Google Scholar] [CrossRef]
- Li, X.; Yu, M.; Meng, D.; Li, Z.; Zhang, L. A new chromone glycoside from Polygonum capitatum. Fitoterapia 2007, 78, 506–509. [Google Scholar] [CrossRef]
- Murata, T.; Selenge, E.; Suganuma, K.; Asai, Y.; Batkhuu, J.; Yoshizaki, F. Chromone acyl glucosides and an ayanin glucoside from Dasiphora parvifolia. Phytochem. Lett. 2013, 6, 552–555. [Google Scholar] [CrossRef]
- Yu, J.; Song, X.; Wang, D.; Wang, X.; Wang, X. Five new chromone glycosides from Scindapsus officinalis (Roxb.) Schott. Fitoterapia 2017, 122, 101–106. [Google Scholar] [CrossRef]
- Cisowski, W. 2-Methyl-5,7-dihydroxychromone glucoside from Ammi visnaga Lamarck. Pol. J. Chem. 1986, 60, 837–840. [Google Scholar]
- Wang, Y.-B.; Huang, R.; Zhang, H.-B.; Li, L. Chromone glycosides from Knoxia corymbosa. J. Asian Nat. Prod. Res. 2006, 8, 663–670. [Google Scholar] [CrossRef]
- Ghosal, S.; Kumar, Y.; Singh, S.; Ahad, K. Biflorin, a chromone-C-glucoside from Pancratium biflorum. Phytochemistry 1983, 22, 2591–2593. [Google Scholar] [CrossRef]
- Ghosal, S.; Singh, S.; Bhagat, M.P.; Kumar, Y. Three chromones from bulbs of Pancratium biflorum. Phytochemistry 1980, 21, 2943–2946. [Google Scholar] [CrossRef]
- Ibrahim, S.; Mohamed, G.; Shaala, L.; Youssef, D. Non-alkaloidal compounds from the bulbs of the Egyptian plant Pancratium maritimum. Z. Naturforsch. C. 2014, 69, 92–98. [Google Scholar] [CrossRef] [PubMed]
- Kozowska, V.; Zheleva, A.; Pangarova, T. 7-(β-d-Glucopyranosyloxy)-5-hydroxy-2-methyl chromone from Peucedanum austriacum. In Proceedings of the International Conference of Chemistry and Biotechnology of Biologically Active Natural Products, Budapest, Hungary, 15–19 August 1983; Bulgarian Academy of Sciences: Sofia, Bulgaria, 1981; Volume 3, pp. 114–116. [Google Scholar]
- Gujral, V.K.; Gupta, S.R.; Verma, K.S. A new chromone glucoside from Tecomella undulata. Phytochemistry 1979, 18, 181–182. [Google Scholar] [CrossRef]
- Brown, R.T.; Blackstock, W.P.; Chapple, C.L. Isolation of 5,7-dihydroxy-2-methylchromone and its 7-O-glycosides from Adina rubescens. J. Chem. Soc. Perkin Trans. 1975, 1776–1778. [Google Scholar] [CrossRef]
- Peng, B.; Bai, R.-F.; Li, P.; Han, X.-Y.; Wang, H.; Zhu, C.-C.; Zeng, Z.-P.; Chai, X.-Y. Two new glycosides from Dryopteris fragrans with anti-inflammatory activities. J. Asian Nat. Prod. Res. 2016, 18, 59–64. [Google Scholar] [CrossRef]
- Chen, X.-Q.; Li, Y.; Cheng, X.; Wang, K.; He, J.; Pan, Z.-H.; Li, M.-M.; Peng, L.-Y.; Xu, G.; Zhao, Q.-S. Polycyclic Polyprenylated Acylphloroglucinols and Chromone O-Glucosides from Hypericum henryi subsp. uraloides. Chem. Biodivers. 2010, 7, 196–204. [Google Scholar] [CrossRef]
- An, R.B.; Jeong, G.S.; Beom, J.-S.; Sohn, D.H.; Kim, Y.C. Chromone glycosides and hepatoprotective constituents of Hypericum erectum. Arch. Pharm. Res. 2009, 32, 1393–1397. [Google Scholar] [CrossRef]
- Itoh, A.; Tanahashi, T.; Nagakura, N.; Nishi, T. Two chromone-secoiridoid glycosides and three indole alkaloid glycosides from Neonauclea sessilifolia. Phytochemistry 2003, 62, 359–369. [Google Scholar] [CrossRef]
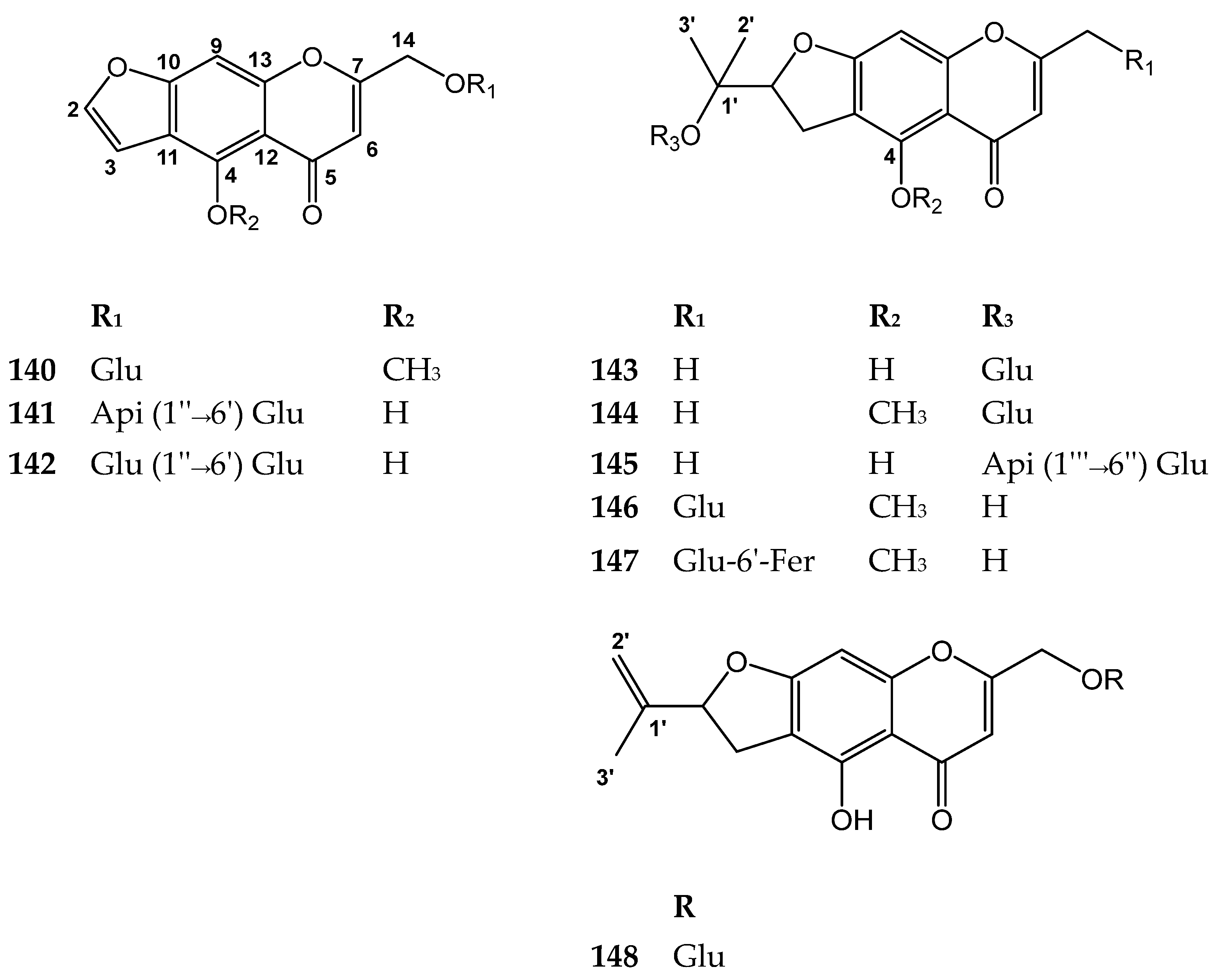
- Abe, F.; Yamauchi, T. Megastigmanes and flavonoids from the leaves of Scorodocarpus borneensis. Phytochemistry 1993, 33, 1499–1501. [Google Scholar] [CrossRef]
- Gujral, V.K.; Gupta, S.R.; Verma, K.S. Structure of undulatoside-B, a new chromone glycoside from Tecomella undulata. Indian J. Chem. Sect. B Org. Chem. Incl. Med. Chem. 1979, 17B, 40–41. [Google Scholar]
- Yoshimitsu, H.; Nishida, M.; Hashimoto, F.; Tanaka, M.; Sakata, Y.; Okawa, M.; Nohara, T. Chromone and flavonol glycosides from Delphinium hybridum cv. “Belladonna Casablanca”. J. Nat. Med. 2007, 61, 334–338. [Google Scholar] [CrossRef]
- Shang, Z.-P.; Meng, J.-J.; Zhao, Q.-C.; Su, M.-Z.; Luo, Z.; Yang, L.; Tan, J.-J. Two new chromone glycosides from Drynaria fortunei. Fitoterapia 2013, 84, 130–134. [Google Scholar] [CrossRef]
- Tanaka, N.; Jia, Y.; Niwa, K.; Imabayashi, K.; Tatano, Y.; Yagi, H.; Kashiwada, Y. Phloroglucinol derivatives and a chromone glucoside from the leaves of Myrtus communis. Tetrahedron 2018, 74, 117–123. [Google Scholar] [CrossRef]
- Yi, J.; Zhang, G.; Li, B. Studies on the chemical constituents of Pseudotsuga sinensis. Yao Xue Xue Bao 2002, 37, 352–354. [Google Scholar]
- Tanaka, N.; Kashiwada, Y.; Nakano, T.; Shibata, H.; Higuchi, T.; Sekiya, M.; Ikeshiro, Y.; Takaishi, Y. Chromone and chromanone glucosides from Hypericum sikokumontanum and their anti-Helicobacter pylori activities. Phytochemistry 2009, 70, 141–146. [Google Scholar] [CrossRef]
- Huneck, S.; Jakupovic, J.; Follmann, G. The final structures of the lichen chromones galapagin, lobodirin, mollin, and roccellin. Zeitschrift Naturforsch. B 1992, 47, 449–451. [Google Scholar] [CrossRef]
- Li, X.; Niu, L.-T.; Meng, W.-T.; Zhu, L.-J.; Zhang, X.; Yao, X.-S. Matteuinterins A-C, three new glycosides from the rhizomes of Matteuccia intermedia. J. Asian Nat. Prod. Res. 2020, 22, 225–232. [Google Scholar] [CrossRef]
- Hu, L.; Chen, N.-N.; Hu, Q.; Yang, C.; Yang, Q.-S.; Wang, F.-F. An Unusual Piceatannol Dimer from Rheum austral D. Don with Antioxidant Activity. Molecules 2014, 19, 11453–11464. [Google Scholar] [CrossRef]
- Zhao, H.; Wang, Z.; Cheng, J.; Li, R.; Wang, Z. New chromone glucoside from roots of rumex gmelini. Tianran Chanwu Yanjiu Yu Kaifa 2009, 21, 189–191. [Google Scholar]
- Singh, J. Photochemical investigations on Cassia multijuga leaves. Isolation and characterization of new chromone glycosides. Pol. J. Chem. 1981, 55, 1181–1183. [Google Scholar]
- Singh, J. Two chromone glycosides from Cassia multijuga. Phytochemistry 1982, 21, 1177–1179. [Google Scholar] [CrossRef]
- Kashiwada, Y.; Nonaka, G.I.; Nishioka, I. Chromone glucosides from rhubarb. Phytochemistry 1990, 29, 1007–1009. [Google Scholar] [CrossRef]
- Mou, L.-Y.; Wei, M.; Wu, H.-Y.; Hu, L.-J.; Li, J.-L.; Li, G.-P. O-beta-d-Glucopyranosyl-2-methylchromone, a new chromone glycoside from the Tibetan medicine plant of Swertia punicea Hemsl. Nat. Prod. Res. 2020, 1–9. [Google Scholar] [CrossRef]
- Ahmad, V.; Ullah, F.; Hussain, J.; Farooq, U.; Zubair, M.; Khan, M.; Choudhary, M. Tyrosinase inhibitors from Rhododendron collettianum and their structure-activity relationship (SAR) studies. Chem. Pharm. Bull. (Tokyo) 2004, 52, 1458–1461. [Google Scholar] [CrossRef]
- Kim, S.B.; Ahn, J.H.; Han, S.B.; Hwang, B.Y.; Kim, S.Y.; Lee, M.K. Anti-adipogenic chromone glycosides from Cnidium monnieri fruits in 3T3-L1 cells. Bioorganic Med. Chem. Lett. 2012, 22, 6267–6271. [Google Scholar] [CrossRef]
- Liang, H.; Zhao, Y.Y.; Zhang, R.Y. A new chromone glycoside from Bupleurum chinense. Chinese Chem. Lett. 1998, 9, 69–70. [Google Scholar]
- Lu, T.S.; Yi, Y.H.; Mao, S.L.; Zhou, D.Z.; Xu, Q.Z.; Tang, H.F.; Zhang, S.Y. A new chromone glycoside from Cassia siamea Lam. Chinese Chem. Lett. 2001, 12, 703–704. [Google Scholar]
- Tanaka, Y.; Honma, D.; Tamura, M.; Yanagida, A.; Zhao, P.; Shoji, T.; Tagashira, M.; Shibusawa, Y.; Kanda, T. New chromanone and acylphloroglucinol glycosides from the bracts of hops. Phytochem. Lett. 2012, 5, 514–518. [Google Scholar] [CrossRef]
- Barash, I.; Karr, A.L., Jr.; Strobel, G.A. Isolation and characterization of stemphylin, a chromone glucoside from Stemphylium botrysum. Plant Physiol. 1975, 55, 646–651. [Google Scholar] [CrossRef]
- Do Nascimento, B.O.; da Silva Neto, O.C.; Teodoro, M.T.F.; de Oliveira Silva, E.; Guedes, M.L.S.; David, J.M. Macrolobin: A new unusual C-glycoside chromone from Macrolobium latifolium and its anticholinesterase and antimicrobial activities. Phytochem. Lett. 2020, 39, 124–127. [Google Scholar] [CrossRef]
- Iswaldi, I.; Arráez-Román, D.; Rodríguez-Medina, I.; Beltrán-Debón, R.; Joven, J.; Segura-Carretero, A.; Fernández-Gutiérrez, A. Identification of phenolic compounds in aqueous and ethanolic rooibos extracts (Aspalathus linearis) by HPLC-ESI-MS (TOF/IT). Anal. Bioanal. Chem. 2011, 400, 3643–3654. [Google Scholar] [CrossRef] [PubMed]
- Lee, H.-H.; Shin, J.-S.; Lee, W.-S.; Ryu, B.; Sik Jang, D.; Lee, K.-T. Biflorin, Isolated from the Flower Buds of Syzygium aromaticum L., Suppresses LPS-Induced Inflammatory Mediators via STAT1 Inactivation in Macrophages and Protects Mice from Endotoxin Shock. J. Nat. Product. 2016, 79, 711–720. [Google Scholar] [CrossRef] [PubMed]
- Ryu, B.; Woo, J.-H.; Kim, H.M.; Choi, J.-H.; Jang, D.S. A new acetophenone glycoside from the flower buds of Syzygium aromaticum (cloves). Fitoterapia 2016, 115, 46–51. [Google Scholar] [CrossRef] [PubMed]
- Satake, T.; Kamiya, K.; Saiki, Y.; Hama, T.; Fujimoto, Y.; Endang, H.; Umar, M. Chromone C-glycosides from Baeckea frutescens. Phytochemistry 1998, 50, 303–306. [Google Scholar] [CrossRef]
- Kamiya, K.; Satake, T. Chemical constituents of Baeckea frutescens leaves inhibit copper-induced low-density lipoprotein oxidation. Fitoterapia 2010, 81, 185–189. [Google Scholar] [CrossRef]
- Ito, H.; Kasajima, N.; Tokuda, H.; Nishino, H.; Yoshida, T. Dimeric Flavonol Glycoside and Galloylated C-Glucosylchromones from Kunzea ambigua. J. Nat. Prod. 2004, 67, 411–415. [Google Scholar] [CrossRef]
- Wang, S.; Feng, K.; Han, L.; Fang, X.; Zhang, Y.; Yu, H.; Pang, X. Glycosidic compounds from Cassia obtusifolia seeds and their inhibitory effects on OATs, OCTs and OATPs. Phytochem. Lett. 2019, 32, 105–109. [Google Scholar] [CrossRef]
- Han, A.-R.; Paik, Y.-S. Antioxidant and prolyl endopeptidase inhibitory capacities of chromone C-glucosides from the clove buds (Syzygium aromaticum). J. Appl. Biol. Chem. 2012, 55, 195–198. [Google Scholar] [CrossRef][Green Version]
- Rehman, N.U.; Hussain, H.; Khiat, M.; Al-Riyami, S.A.; Csuk, R.; Khan, H.Y.; Abbas, G.; Al-Thani, G.S.; Green, I.R.; Al-Harrasi, A. ChemInform Abstract: Aloeverasides A and B: Two Bioactive C-Glucosyl Chromones from Aloe vera Resin. Helv. Chim. 2016, 47. [Google Scholar] [CrossRef]
- Rehman, N.U.; Al-Riyami, S.A.; Hussain, H.; Ali, A.; Khan, A.L.; Al-Harrasi, A. Secondary metabolites from the resins of Aloe vera and Commiphora mukul mitigate lipid peroxidation. Acta Pharm. 2019, 69, 433–441. [Google Scholar] [CrossRef]
- Kahramanoglu, I.; Chen, C.; Chen, J.; Wan, C. Chemical constituents, antimicrobial activity, and food preservative characteristics of Aloe vera gel. Agronomy 2019, 9, 831. [Google Scholar] [CrossRef]
- Singh, M.; Singh, J. Chemical examination of the seeds of Cassia spectabilis. Zeitschrift Naturforsch. B 1984, 39B, 1425–1426. [Google Scholar] [CrossRef]
- Agrawal, A.; Singh, J. Glycosides of two xanthones and a chromone from roots of Chrozophora prostrata. Phytochemistry 1988, 27, 3692–3694. [Google Scholar] [CrossRef]
- Jong-Anurakkun, N.; Bhandari, M.R.; Hong, G.; Kawabata, J. α-Glucosidase inhibitor from Chinese aloes. Fitoterapia 2008, 79, 456–457. [Google Scholar] [CrossRef]
- Lv, L.; Yang, Q.-Y.; Zhao, Y.; Yao, C.-S.; Sun, Y.; Yang, E.-J.; Song, K.-S.; Mook-Jung, I.; Fang, W.-S. BACE1 (beta-secretase) inhibitory chromone glycosides from Aloe vera and Aloe nobilis. Planta Med. 2008, 74, 540–545. [Google Scholar] [CrossRef]
- Kim, J.H.; Yoon, J.Y.; Yang, S.Y.; Choi, S.K.; Kwon, S.J.; Cho, I.S.; Jeong, M.H.; Ho Kim, Y.; Choi, G.S. Tyrosinase inhibitory components from Aloe vera and their antiviral activity. J. Enzyme Inhib. Med. Chem. 2017, 32, 78–83. [Google Scholar] [CrossRef]
- Okamura, N.; Hine, N.; Harada, S.; Fujioka, T.; Mihashi, K.; Yagi, A. Three chromone components from Aloe vera leaves. Phytochemistry 1996, 43, 495–498. [Google Scholar] [CrossRef]
- Wen, J.; Shi, H.-M.; Tu, P.-F. Chemical constituents of Abrus mollis Hance. Biochem. Syst. Ecol. 2006, 34, 177–179. [Google Scholar] [CrossRef]
- Goodger, J.Q.D.; Seneratne, S.L.; Nicolle, D.; Woodrow, I.E. Foliar Essential Oil Glands of Eucalyptus Subgenus Eucalyptus (Myrtaceae) Are a Rich Source of Flavonoids and Related Non-Volatile Constituents. PLoS ONE 2016, 11, e0155568. [Google Scholar] [CrossRef]
- Al-Sayed, E.; Hamid, H.A.; Abu El Einin, H.M. Molluscicidal and antischistosomal activities of methanol extracts and isolated compounds from Eucalyptus globulus and Melaleuca styphelioides. Pharmaceut. Biol. 2014, 52, 698–705. [Google Scholar] [CrossRef] [PubMed]
- Zhang, Y.; Chen, Y. Isobiflorin, a chromone C-glucoside from cloves (Eugenia caryophyllata). Phytochemistry 1997, 45, 401–403. [Google Scholar] [CrossRef]
- Gao, H.Y.; Wang, H.Y.; Li, G.Y.; Du, X.W.; Zhang, X.T.; Han, Y.; Huang, J.; Li, X.X.; Wang, J.H. Constituents from Zhuyeqing Liquor and their inhibitory effects on nitric oxide production. Phytochem. Lett. 2014, 7, 150–155. [Google Scholar] [CrossRef]
- Gao, W.-N.; Luo, J.-G.; Kong, L.-Y. Quality evaluation of Hypericum japonicum by using high-performance liquid chromatography coupled with photodiode array detector and electrospray ionization tandem mass spectrometry. Biomed. Chromatogr. 2009, 23, 1022–1030. [Google Scholar] [CrossRef]
- Luo, G.; Zhou, M.; Ye, Q.; Mi, J.; Fang, D.; Zhang, G.; Luo, Y. Phenolic derivatives from Hypericum japonicum. Nat. Prod. Commun. 2015, 10, 1934578X1501001224. [Google Scholar] [CrossRef]
- Santos, S.A.O.; Villaverde, J.J.; Freire, C.S.R.; Domingues, R.M.M.; Neto, C.P.; Silvestre, A.J.D. Phenolic composition and antioxidant activity of Eucalyptus grandis, E. urograndis (E. grandis × E. urophylla) and E. maidenii bark extracts. Ind. Crops Prod. 2012, 39, 120–127. [Google Scholar] [CrossRef]
- Tanaka, T.; Orii, Y.; Nonaka, G.; Nishioka, I. Tannins and related compounds. CXXIII. Chromone, acetophenone and phenylpropanoid glycosides and their galloyl and/or hexahydroxydiphenoyl esters from the leaves of Syzygium aromaticum Merr. et Perry. Chem. Pharm. Bull. (Tokyo) 1993, 41, 1232–1237. [Google Scholar] [CrossRef][Green Version]
- Yuan, A.; Kang, S.; Qin, L.; Ruan, B.; Fan, Y. Chemical constituents of the leaves of Chinese aloe (Aloe vera var. chinensis). Zhongcaoyao 1994, 25, 339–341. [Google Scholar]
- Che, Q.-M.; Akao, T.; Hattori, M.; Kobashi, K.; Namba, T. Metabolism of aloesin and related cmpounds by human intestinal bacteria: A bacterial cleavage of the C-glucosyl bond and the subsequent reduction of the acetonyl side chain. Chem. Pharm. Bull. 1990, 39, 704–708. [Google Scholar] [CrossRef]
- Park, M.K.; Park, J.H.; Shin, Y.G.; Kim, W.Y.; Lee, J.H.; Kim, K.H. Neoaloesin A: A new C-glucofuranosyl chromosome from Aloe barbadensis. Planta Med. 1996, 62, 363–365. [Google Scholar] [CrossRef]
- Lucini, L.; Pellizzoni, M.; Pellegrino, R.; Molinari, G.P.; Colla, G. Phytochemical constituents and in vitro radical scavenging activity of different Aloe species. Food Chem. 2015, 170, 501–507. [Google Scholar] [CrossRef]
- Bisrat, D.; Dagne, E.; Van Wyk, B.-E.; Viljoen, A. Chromones and anthrones from Aloe marlothii and Aloe rupestris. Phytochemistry 2000, 55, 949–952. [Google Scholar] [CrossRef]
- Conner, J.M.; Gray, A.I.; Reynolds, T.; Waterman, P.G. Anthrone and chromone components of Aloe cremnophila and A. jacksonii leaf exudates. Phytochemistry 1990, 29, 941–944. [Google Scholar] [CrossRef]
- Wang, W.; Cuyckens, F.; Van den Heuvel, H.; Apers, S.; Pieters, L.; Steenkamp, V.; Stewart, M.J.; Luyckx, V.A.; Claeys, M. Structural characterization of chromone C-glucosides in a toxic herbal remedy. Rapid Commun. Mass Spectrom. 2003, 17, 49–55. [Google Scholar] [CrossRef]
- Hutter, J.A.; Salman, M.; Stavinoha, W.B.; Satsangi, N.; Williams, R.F.; Streeper, R.T.; Weintraub, S.T. Antiinflammatory C-Glucosyl Chromone from Aloe barbadensis. J. Nat. Prod. 1996, 59, 541–543. [Google Scholar] [CrossRef]
- Zhong, J.S.; Huang, Y.Y.; Zhang, T.H.; Liu, Y.P.; Ding, W.J.; Wu, X.F.; Xie, Z.Y.; Luo, H.B.; Wan, J.Z. Natural phosphodiesterase-4 inhibitors from the leaf skin of Aloe barbadensis Miller. Fitoterapia 2015, 100, 68–74. [Google Scholar] [CrossRef]
- Lee, S.; Do, S.G.; Kim, S.Y.; Kim, J.; Jin, Y.; Lee, C.H. Mass spectrometry-based metabolite profiling and antioxidant activity of Aloe vera (Aloe barbadensis Miller) in different growth stages. J. Agric. Food Chem. 2012, 60, 11222–11228. [Google Scholar] [CrossRef]
- Rehman, N.U.; Hussain, H.; Khiat, M.; Khan, H.Y.; Abbas, G.; Green, I.R.; Al-Harrasi, A. Bioactive chemical constituents from the resin of Aloe vera. Zeitschrift für Naturforsch. B 2017, 72, 955–958. [Google Scholar] [CrossRef]
- Yagi, A.; Kanbara, T.; Morinobut, N. Inhibition of Mushroom-Tyrosinase by Aloe Extract. Planta Med. 1987, 53, 515–517. [Google Scholar] [CrossRef]
- Baba, K.; Kawanishi, H.; Taniguchi, M.; Kozawa, M. Chromone glucosides from Cnidium japonicum. Phytochemistry 1993, 35, 221–225. [Google Scholar] [CrossRef]
- Kimura, Y.; Sumiyoshi, M.; Taniguchi, M.; Baba, K. Antitumor actions of a chromone glucoside cnidimoside A isolated from Cnidium japonicum. J. Nat. Med. 2008, 62, 308–313. [Google Scholar] [CrossRef] [PubMed]
- Zhao, J.; Zhou, M.; Liu, Y.; Zhang, G.; Luo, Y. Chromones and coumarins from the dried fructus of Cnidium monnieri. Fitoterapia 2011, 82, 767–771. [Google Scholar] [CrossRef] [PubMed]
- Cisowski, W.; Grimshaw, J. Glucoside of chromone from Angelica archangelica L. and Archangelica litoralis Fries. herbs. Pol. J. Chem. 1988, 62, 135–141. [Google Scholar]
- Kopp, B.; Kubelka, E.; Reich, C.; Robien, W.; Kubelka, W. 4H-Chromenone Glycosides from Eranthhis hyernalis (L.) SALISBU. Helv. Chim. Acta 1991, 74, 611–616. [Google Scholar] [CrossRef]
- Kuroda, M.; Uchida, S.; Watanabe, K.; Mimaki, Y. Chromones from the tubers of Eranthis cilicica and their antioxidant activity. Phytochemistry 2009, 70, 288–293. [Google Scholar] [CrossRef]
- Bernhardt, M.; Shaker, K.H.; Elgamal, M.H.A.; Seifert, K. The New Bishomoflavone Ononin and Its Glucoside from Ononis vaginalis. Zeitschrift für Naturforsch. C 2000, 55, 516–519. [Google Scholar] [CrossRef]
- Ibrahim, S.R.M. New 2-(2-Phenylethyl)chromone Derivatives from the Seeds of Cucumis melo L var. reticulatus. Nat. Prod. Commun. 2010, 5, 403–406. [Google Scholar] [CrossRef]
- Quan, L.; Zhang, J.; Wu, Y. One Novel 2-(2-Phenylethyl)Chromone Glycoside from Aquilaria sinensis. Chem. Nat. Compd. 2017, 53, 635–637. [Google Scholar] [CrossRef]
- Liu, X.; Zhang, B.; Yang, L.; Yu, G.; Wang, Z. Two new chromones and a new flavone glycoside from Imperata cylindrical. Zhongguo Tianran Yaowu 2013, 11, 77–80. [Google Scholar] [CrossRef]
- Shao, H.; Mei, W.-L.; Kong, F.-D.; Dong, W.-H.; Li, W.; Zhu, G.-P.; Dai, H.-F. A new 2-(2-phenylethyl)chromone glycoside in Chinese agarwood “Qi-Nan” from Aquilaria sinensis. J. Asian Nat. Prod. Res. 2017, 19, 42–46. [Google Scholar] [CrossRef]
- Zaher, A.; Boufellous, M.; Ouhssine, M.; Bourkhiss, B. Phytochemical Screening Of An Umbelliferae: Ammi visnaga L. (Lam.) In The Region Of Sidi Slimane- North-West Of Morocco. J. Mater. Environ. Sci. 2019, 10, 995–1002. [Google Scholar]
- Stevens, T.J.; Jones, B.W.; Vidmar, T.J.; Moran, J.J.; Manni, D.S.; Day, C.E. Hypocholesterolemic effect of khellin and khelloside in female cynomolgus monkeys. Arzneimittelforschung 1985, 35, 1257–1260. [Google Scholar]
- Günaydin, K.; Beyazit, N. The chemical investigations on the ripe fruits of Ammi visnaga (Lam.) Lamarck growing in Turkey. Nat. Prod. Res. 2004, 18, 169–175. [Google Scholar] [CrossRef]
- Liu, Y.R.; Wu, Z.J.; Li, C.T.; Xi, F.M.; Sun, L.N.; Chen, W.S. Heracleifolinosides A-F, new triterpene glycosides from cimicifuga heracleifolia, and their inhibitory activities against hypoxia and reoxygenation. Planta Med. 2013, 79, 301–307. [Google Scholar] [CrossRef]
- Ma, S.Y.; Shi, L.G.; Gu, Z.B.; Wu, Y.L.; Wei, L.B.; Wei, Q.Q.; Gao, X.L.; Liao, N. Two New Chromone Glycosides from the Roots of Saposhnikovia divaricata. Chem. Biodivers. 2018, 15, 2–7. [Google Scholar] [CrossRef]
- Jiang, Y.; Guo, F.; Chen, L.; Xu, L.; Zhang, W.; Liu, B. The antitumor activity of naturally occurring chromones: A review. Fitoterapia 2019, 135, 114–129. [Google Scholar]
- Sasaki, H.; Taguchi, H.; Endo, T.; Yosioka, I. The constituents of Ledebouriella seseloides Wolff. I. Structures of three new chromones. Chem. Pharm. Bull. 1982, 3, 3555–3562. [Google Scholar] [CrossRef]
- Urbagarova, B.M.; Shults, E.E.; Taraskin, V.V.; Radnaeva, L.D.; Petrova, T.N.; Rybalova, T.V.; Frolova, T.S.; Pokrovskii, A.G.; Ganbaatar, J. Chromones and coumarins from Saposhnikovia divaricata (Turcz.) Schischk. Growing in Buryatia and Mongolia and their cytotoxicity. J. Ethnopharmacol. 2020, 261, 112517. [Google Scholar] [CrossRef]
- Lemmich, J. Monoterpene, chromone and coumarin glucosides of Diplolophium buchananii. Phytochemistry 1995, 38, 427–432. [Google Scholar] [CrossRef]
- Shao, Z.; Zhang, Y.; Jiang, K.; CHEN, J.; Zuo, B. Chemical constituents from the roots of Sphallerocarpus gracilis. Nat. Prod. Res. Dev. 2003, 15, 196–198. [Google Scholar]
- Yan, Z.; Yang, X.; Wu, J.; Su, H.; Chen, C.; Chen, Y. Qualitative and quantitative analysis of chemical constituents in traditional Chinese medicinal formula Tong-Xie-Yao-Fang by high-performance liquid chromatography/diode array detection/electrospray ionization tandem mass spectrometry. Anal. Chim. Acta 2011, 691, 110–118. [Google Scholar] [CrossRef]
- Semwal, R.B.; Semwal, D.K.; Combrinck, S.; Viljoen, A. Health benefits of chromones: Common ingredients of our daily diet. Phytochem. Rev. 2020, 19, 761–785. [Google Scholar] [CrossRef]
- Khalil, N.; Bishr, M.; Desouky, S.; Salama, O. Ammi visnaga L., a potential medicinal plant: A review. Molecules 2020, 25, 301. [Google Scholar] [CrossRef]
- An, R.-B.; Park, B.-Y.; Kim, J.-H.; Kwon, O.-K.; Lee, J.-K.; Min, B.-S.; Ahn, K.-S.; Oh, S.-R.; Lee, H.-K. Coumarins and chromones from Angelica genuflexa. Nat. Prod. Sci. 2005, 11, 79–84. [Google Scholar]
- Baba, K.; Hata, K.; Kimura, Y.; Matsuyama, Y.; Kozawa, M. Chemical studies of Angelica japonica A. Gray. I. On the constituents of the ethyl acetate extract of the root. Chem. Pharm. Bull. (Tokyo) 1981, 29, 2565–2570. [Google Scholar] [CrossRef]
- Shi, Q.-Q.; Lu, J.; Peng, X.-R.; Li, D.-S.; Zhou, L.; Qiu, M.-H. Cimitriteromone A–G, Macromolecular Triterpenoid–Chromone Hybrids from the Rhizomes of Cimicifuga foetida. J. Org. Chem. 2018, 83, 10359–10369. [Google Scholar] [CrossRef]
- Sun, J.; Su, X.; Zhang, Z.; Hu, D.; Hou, G.; Zhao, F.; Sun, J.; Cong, W.; Wang, C.; Li, H. Separation of three chromones from Saposhnikovia divaricata using macroporous resins followed by preparative high-performance liquid chromatography. J. Sep. Sci. 2021, 44, 3287–3294. [Google Scholar] [CrossRef]
- Lu, L.; Chen, J.C.; Li, Y.; Qing, C.; Wang, Y.Y.; Nian, Y.; Qiu, M.H. Studies on the constituents of Cimicifuga foetida collected in guizhou province and their cytotoxic activities. Chem. Pharm. Bull. 2012, 60, 571–577. [Google Scholar] [CrossRef]
- Wang, H.; Xu, Y.; Yuan, Z. Isolation and identification of chemical constituents of roots of Glehnia littoralis. J. Shenyang Pharm. Univ. 2011, 28, 530–534. [Google Scholar]
- Zheng, M.; Jin, W.; Son, K.-H.; Chang, H.-W.; Kim, H.-P.; Bae, K.-H.; Kang, S.-S. The constituents isolated from Peucedanum japonicum Thunb. and their cyclooxygenase (COX) inhibitory activity. Korean J. Med. Crop Sci. 2005, 13, 75–79. [Google Scholar]
- Akunyili, D.N.; Akubue, P.I. Schumanniofoside, the antisnake venom principle from the stem bark of Schumanniophyton magnificum Harms. J. Ethnopharmacol. 1986, 18, 167–172. [Google Scholar] [CrossRef]
- Shi, Q.-Q.; Gao, Y.; Lu, J.; Zhou, L.; Qiu, M.-H. Two new triterpenoid-chromone hybrids from the rhizomes of Actaea cimicifuga L.(syn. Cimicifuga foetida L.) and their cytotoxic activities. Nat. Prod. Res. 2020, 1–7. [Google Scholar] [CrossRef] [PubMed]
- Brill, G.M.; Jackson, M.; Whittern, D.N.; Buko, A.M.; Hill, P.; Chen, R.H.; Mcalpine, J.B. Altromycins E, F, G, H and I; additional novel components of the altromycin complex. J. Antibiot. (Tokyo) 1994, 47, 1160–1164. [Google Scholar] [CrossRef] [PubMed]
- Kanda, N. A New Antitumor Antibiotic, Kidamycin. I Isolation, Purification and Properties of Kidamycin. J. Antibiot. (Tokyo) 1971, 24, 599–606. [Google Scholar] [CrossRef]
- Kondo, S.; Wakashiro, T.; Hamada, M.; Maeda, K.; Takeuchi, T.; Umezawa, H. Isolation and characterization of a new antibiotic, neopluramycin. J. Antibiot. (Tokyo) 1970, 23, 354–359. [Google Scholar] [CrossRef]
- Kondo, S.; Miyamoto, M.; Naganawa, H.; Takeuchi, T.; Umezawa, H. Structures of pluramycin A and neopluramycin. J. Antibiot. (Tokyo) 1977, 30, 1143–1145. [Google Scholar] [CrossRef]
- Byrne, K.M.; Gonda, S.K.; Hilton, B.D. Largomycin FII chromophore component 4, a new pluramycin antibiotic. J. Antibiot. (Tokyo) 1985, 38, 1040–1049. [Google Scholar] [CrossRef]
- Nadig, H.; Sèquin, U. Isolation and Structure Elucidation of Some Components of the Antitumor Antibiotic Mixture ‘Rubiflavin'. Helv. Chim. Acta 1987, 70, 1217–1228. [Google Scholar] [CrossRef]
- Nadig, H.; Séquin, U.; Bunge, R.H.; Hurley, T.R.; Murphey, D.B.; French, J.C. Isolation and structure of a new antibiotic related to rubiflavin A. Helv. Chim. Acta 1985, 68, 953–957. [Google Scholar] [CrossRef]
- Schmitz, H.; Crook, K.E., Jr.; Bush, J.A. Hedamycin, a new antitumor antibiotic. I. Production, isolation, and characterization. Antimicrob. Agents Chemother. 1966, 6, 606–612. [Google Scholar]
- Séquin, U.; Bedford, C.T.; Chung, S.K.; Scott, A.I. The structure of the antibiotic hedamycin. I. Chemical, physical and spectral properties. Helv. Chim. Acta 1977, 60, 896–906. [Google Scholar] [CrossRef]
- Sato, Y.; Watabe, H.-O.; Nakazawa, T.; Shomura, T.; Yamamoto, H.; Sezaki, M.; Kondo, S. Ankinomycin, a potent antitumor antibiotic. J. Antibiot. (Tokyo) 1989, 42, 149–152. [Google Scholar] [CrossRef][Green Version]
- Vertesy, L.; Barbone, F.P.; Cashmen, E.; Decker, H.; Ehrlich, K.; Jordan, B.; Knauf, M.; Schummer, D.; Segeth, M.P.; Wink, J. Pluraflavins, potent antitumor antibiotics from Saccharothrix sp. DSM 12931. J. Antibiot. (Tokyo) 2001, 54, 718–729. [Google Scholar] [CrossRef]
- Jackson, M.; Karwowski, J.P.; Theriault, R.J.; Hardy, D.J.; Swanson, S.J.; Barlow, G.J.; Tillis, P.M.; McAlpine, J.B. Altromycins, novel pluramycin-like antibiotics I. Taxonomy of the producing organism, fermentation and antibacterial activity. J. Antibiot. (Tokyo) 1990, 43, 223–228. [Google Scholar] [CrossRef]
- Brill, G.M.; Mcalpine, J.B.; Whittern, D.N.; Buko, A.M. Altromycins, novel pluramycin-like antibiotics II. Isolation and elucidation of structure. J. Antibiot. (Tokyo) 1990, 43, 229–237. [Google Scholar] [CrossRef]
- Gallivan, J.B. Spectroscopic studies on some chromones. Can. J. Chem. 1970, 48, 3928–3936. [Google Scholar] [CrossRef]
- Griffiths, P.J.F.; Ellis, G.P. Benzopyrones—VI: The ultraviolet absorption spectra of chromone and 2-substituted chromones. Spectrochim. Acta Part A Mol. Spectrosc. 1972, 28, 707–713. [Google Scholar] [CrossRef]
- Staunton, J. In Comprehensive Organic Chemistry; Barton, D., Ollis, W.D., Eds.; Pegamon Press: Oxford, UK,, 1979. [Google Scholar]
- Nchinda, A. Chemical Studies of Selected Chromone Derivatives; Rhodes University: Makhanda, South Africa, 2001. [Google Scholar]
- Dey, P.M. Methods in Plant Biochemistry; Academic Press: Cambridge, MA, USA, 2012; ISBN 9780080984186. [Google Scholar]
- Markham, K.R.; Mabry, T.J. Ultraviolet-Visible and Proton Magnetic Resonance Spectroscopy of Flavonoids. In The Flavonoids; Springer: Boston, MA, USA, 1975; pp. 45–77. [Google Scholar]
- Murray, R.D.H.; McCabe, P.H. Infrared studies of chromones—I: Carbonyl and hydroxyl regions. Tetrahedron 1969, 25, 5819–5837. [Google Scholar] [CrossRef]
- Liu, S.; Zhu, T.; Qiu, Y.; Qi, W.; Wu, H.; Cai, B.; Lin, J. Chromones and tannins from the fruit of Euscaphis japonica var. wupingensis. BioResources 2019, 14, 5355–5364. [Google Scholar] [CrossRef]
- Wu, Q.-L.; Wang, S.-P.; Du, L.-J.; Zhang, S.-M.; Yang, J.-S.; Xiao, P.-G. Chromone glycosides and flavonoids from Hypericum japonicum. Phytochemistry 1998, 49, 1417–1420. [Google Scholar] [CrossRef]
- Speranza, G.; Dadà, G.; Lunazzi, L.; Phytochemistry, P.G. A C-glucosylated 5-methylchromone from Kenya aloe. Phytochemistry 1986, 25, 2219–2222. [Google Scholar] [CrossRef]
- Okamura, N.; Hine, N.; Tateyama, Y.; Nakazawa, M.; Fujioka, T.; Mihashi, K. Five chromones from Aloe vera leaves. Phytochemistry 1998, 49, 219–223. [Google Scholar] [CrossRef]
- Speranza, G.; Gramatica, P.; Dadá, G.; Manitto, P. Aloeresin C, a bitter C, O-diglucoside from Cape Aloe. Phytochemistry 1985, 24, 1571–1573. [Google Scholar] [CrossRef]
- Rauwald, H.W.; Maucher, R.; Dannhardt, G.; Kuchta, K. Dihydroisocoumarins, Naphthalenes, and Further Polyketides from Aloe vera and A. plicatilis: Isolation, Identification and Their 5-LOX/COX-1 Inhibiting Potency. Molecules 2021, 26, 4223. [Google Scholar] [CrossRef] [PubMed]
- Van Heerden, F.R.; Viljoen, A.M.; Van Wyk, B.E. 6′-O-Coumaroylaloesin from Aloe castanea—A taxonomic marker for Aloe section Anguialoe. Phytochemistry 2000, 55, 117–120. [Google Scholar] [CrossRef]
- Holzapfel, C.W.; Wessels, P.L.; Van Wyk, B.E.; Marais, W.; Portwig, M. Chromone and aloin derivatives from Aloe broomii, A. Africana and A. speciosa. Phytochemistry 1997, 45, 97–102. [Google Scholar] [CrossRef]
- Séquin, U.; Furukawa, M. The structure of the antibiotic hedamycin—III: 13C NMR spectra of hedamycin and kidamycin. Tetrahedron 1978, 34, 3623–3629. [Google Scholar] [CrossRef]



























| Family | Genus | Species | Compounds | ||
|---|---|---|---|---|---|
| Plants (Angiosperms) | 1 | Ericaceae | Rhododendron | ovatum | 2 |
| spinuliferum | 3 | ||||
| collettianum | 55 | ||||
| Calluna | vulgaris | 13 | |||
| 2 | Rubiaceae | Schumanniophyton | magnificum | 7, 25, 156 | |
| Knoxia | corymbosa | 20, 24, 35, 36 | |||
| Adina | rubescens | 20 | |||
| Neonauclea | sessilifolia | 26, 166 | |||
| 3 | Amaryllidaceae | Gethyllis | ciliaris | 10 | |
| Pancratium | biflorum | 20, 66 | |||
| maritimum | 20, 47 | ||||
| 4 | Polygonaceae | Polygonum | capitatum | 15 | |
| Rheum | austral | 50 | |||
| sp. | 52, 53 | ||||
| 5 | Apiaceae | Ammi | visnaga | 20, 140, 146 | |
| Peucedanum | austriacum | 20 | |||
| japonicum | 149 | ||||
| Cnidium | monnieri | 57, 58, 123–130 | |||
| juponicum | 123, 124 | ||||
| Bupleurum | chinense | 58 | |||
| Angelica | archangelica | 125 | |||
| genuflexa | 146, 149 | ||||
| japonica | 146, 149 | ||||
| Archangelica | litoralis | 125 | |||
| Saposhnikovia | divaricata | 143–146, 149, 150 | |||
| Ledebouriella | seseloides | 144 | |||
| Diplolophium | buchananii | 144, 146, 151 | |||
| Sphallerocarpus | gracilis | 144 | |||
| Glehnia | littoralis | 149 | |||
| 6 | Hypericaceae | Hypericum | henryi | 22, 23 | |
| erectum | 22, 38 | ||||
| sikokumontanum | 38, 39, 60, 61 | ||||
| japonicum | 82, 83 | ||||
| 7 | Ranunculaceae | Delphinium | hybridum | 28 | |
| Cimicifuga | heracleifolia | 141 | |||
| foetida | 146, 147, 157–165 | ||||
| Eranthis | hyemalis | 131, 132, 152, 153, 154 | |||
| cilicica | 133, 134, 153, 155 | ||||
| 8 | Myrtaceae | Myrtus | communis | 34 | |
| Syzygium | aromaticum | 66, 71, 80, 86 | |||
| Baeckea | frutescens | 66, 67, 70, 72, 85, 87 | |||
| Kunzea | ambigua | 67, 70, 72–74, 80, 85, 88, 89 | |||
| Eucalyptus | globulus | 80 | |||
| maidenii | 82, 83 | ||||
| grandis | 83 | ||||
| urograndi | 83 | ||||
| 9 | Fabaceae | Cassia | multijuga | 51, 77 | |
| siamea | 59 | ||||
| obtusifolia | 68, 69 | ||||
| spectablis | 78 | ||||
| obtusifolia | 84 | ||||
| Macrolobium | latifolium | 64 | |||
| Aspalathus | linearis | 65 | |||
| Abrus | mollis | 80 | |||
| Ononis | vaginalis | 135 | |||
| 10 | Asphodelaceae | Aloe | vera | 75, 76, 90–98, 103, 104–110, 112–117, 120–122 | |
| barbadensis | 97, 98, 103, 107, 108 | ||||
| rupestris | 99 | ||||
| cremnophila | 101 | ||||
| nobilis | 111, 118, 119 | ||||
| 11 | Araceae | Scindapsus | officinalis | 18–20, 29, 31, 32, 56, 57 | |
| 12 | Asteraceae | Mutisia | acuminate | 1 | |
| 13 | Eucryphiaceae | Eucryphia | cordifolia | 4 | |
| 14 | Saxifragaceae | Astilbe | thunbergii | 4 | |
| 15 | Smilacaceae | Smilax | glabra | 4 | |
| 16 | Pentaphylaceae | Eurya | japonica | 5 | |
| 17 | Salicaceae | Salix | matsudana | 6 | |
| 18 | Meliaceae | Dysoxylum | binectariferum | 7 | |
| 19 | Euphorbiaceae | Acalypha | fruticose | 7 | |
| 20 | Staphyleaceae | Staphylea | bumalda | 7 | |
| 21 | Amaranthaceae | Salicornia | europaea | 12 | |
| 22 | Aquifoliaceae | Ilex | hainanensis | 13 | |
| 23 | Rosaceae | Dasiphora | parvifolia | 16, 17 | |
| 24 | Bignoniaceae | Tecomella | undulata | 20, 27 | |
| 25 | Olacaceae | Scorodocarpus | borneensis | 26 | |
| 26 | Pinaceae | Pseudotsuga | sinensis | 37 | |
| 27 | Selaginellaceae | Selaginella | uncinata | 46, 48 | |
| 28 | Gentianaceae | Swertia | punicea | 54 | |
| 29 | Cannabaceae | Humulus | lupulus | 62 | |
| 30 | Euphorbiaceae | Chrozophora | prostrata | 79 | |
| 31 | Cucurbitaceae | Cucumis | melo | 136 | |
| 32 | Thymelaeaceae | Aquilaria | sinensis | 137, 139 | |
| 33 | Poaceae | Imperata | cylindrical | 138 | |
| Ferns | 1 | Polypodiaceae | Drynaria | fortunei | 7, 28, 30, 32, 33, 57 |
| 2 | Dryopteridaceae | Dryopteris | fragrans | 20, 21 | |
| 3 | Onocleaceae | Matteuccia | intermedia | 49 | |
| Lichens | Roccellaria | mollis | 41, 42, 45 | ||
| Schismatomma | accedens | 41, 42, 45 | |||
| Roccella | galapagoensis | 41, 42, 45 | |||
| Lobodirina | cerebriformis | 44 | |||
| Fungi | Armillaria | tabescens | 11 | ||
| Orbiocrella | sp. | 40, 43 | |||
| Stemphylium | botryosum | 63 | |||
| Actinobacteria | Streptomyces | phaeoverticillatus var. takatsukiensis | 168 | ||
| pluricolorescens | 169–171 | ||||
| sp. | 172–178, 180 | ||||
| griseoruber | 179 | ||||
| Saccharothrix | sp. | 181–183 | |||
| Actinomycete | 184–192 |
| No. | Compound | Source | Biological Activity |
|---|---|---|---|
| 2 | 3,5,7-trihydroxychromone-3-O- β-d-xylopyranoside | Rhododendron ovatum roots [10] Eurya japonica stems [11] | Inhibitory effects on LPS (Lipopolysaccharide)-induced NO (Nitric Oxide) production with inhibition rate 36.24 ± 1.29% at 20 μg/mL [11] |
| 3 | 3,5,7-trihydroxylchromone-3-O- α-l-arabinopyranoside | Rhododendron spinuliferum aerial parts [12] | Inhibition of NO production in LPS-stimulated RAW 264.7 cells with an IC50 value more than 100 mM [12] |
| 4 | Eucryphin (5,7-dihydroxy-3-(α-O-l-rhamnopyranosyl)- 4H-l-benzopyran-4-one) | Eucryphia cordifolia bark [8] Astilbe thunbergii rhizomes [13] | Norepinephrine-enhancing lipolytic effect 6.432 ± 0.014 FFA µmol/mL at 1000 µg [13] Enhancing effect on burn wound repair at 100 mg ointment per mouse [14] |
| Smiglanin (3,5,7-trihydroxychromone-3-O- α-l-rhamnopyranoside) | Smilax glabra roots [9] | No reported biological activity | |
| 5 | 5,7-Dihydroxy-4H-chromen-4-one- 3-O-β-d-glucopyranoside | Eurya japonica stems [11] | Inhibitory effects on LPS-induced NO production with inhibition rate 53.79 ± 1.78% at 20 μg/mL [11] |
| No. | Compound | Source | Biological Activity |
|---|---|---|---|
| 6 | Matsudoside A (5-β-d-glucosyloxy-7- hydroxychromone) | Salix matsudana leaves [15] | No reported biological activity |
| 7 | Schumaniofioside A (2-methyl-5,7-dihydroxychromone 5-O-β-d-glucopyranoside) | Schumanniophyton magnificum root bark [16] Dysoxylum binectariferum fruits [17]. Acalypha fruticose aerial parts [18,19] Drynaria fortune rhizomes [13] | Inhibition of proinflammatory cytokines TNF-α (39.51 ± 1.21%) and IL-6 (22.21 ± 0.58%) at 5 μM [17] Inhibition of NF-kB transcriptional activity and iNOS with IC50 value of 29.5 ± 6.5 µg/mL [19] |
| 8 | Staphyloside A | Staphylea bumalda leaves [20] | No reported biological activity |
| 9 | Staphyloside B | ||
| 10 | Isoeugenitol glucoside | Gethyllis ciliaris underground parts [21] | No reported biological activity |
| No. | Compound | Source | Biological Activity |
|---|---|---|---|
| 12 | 7-O-β-d-glucopyranosyl-6-methoxychromone | Salicornia europaea leaves and stems [25] | No reported biological activity |
| 13 | 5,7-dihydroxychromone 7-O-β-d-glucopyranoside | Ilex hainanensis leaves [26] Calluna vulgaris flowers [27] | No reported biological activity |
| 14 | 5,7-dihydroxychromone 7-O-β-d-glucuronide methyl ester | Davallia mariesii rhizomes [28] | No reported biological activity |
| 15 | 7-O-(6′-galloyl)-β-d-glucopyranosyl-5-hydroxychromone | Polygonum capitatum aerial parts [29] | No reported biological activity |
| 16 | 5-hydroxy-7-O-(6-O-p-cis-coumaroyl-β-d-glucopyranosyl)-chromone | Dasiphora parvifolia aerial parts [30] | No reported biological activity |
| 17 | 5-hydroxy-7-O-(6-O-p-trans-coumaroyl-β-d-glucopyranosyl)-chromone | Dasiphora parvifolia aerial parts [30] | No reported biological activity |
| 18 | Officinaliside A | Scindapsus officinalis stems [31] | No reported biological activity |
| 19 | 7-O-α-l-rhamnosyl-nereugenin | Scindapsus officinalis stems [31] | No reported biological activity |
| 20 | Undulatoside A (2-methyl-5,7-dihydroxychromone 7-O-β-d-glucopyranoside) | Scindapsus officinalis stems [31] Ammi visnaga fruits [32] Knoxia corymbosa [33] Pancratium biflorum roots [34] Panacratium biflorum flowering bulbs [35] Pancratium maritimum L. fresh bulbs [36] Peucedanum austriacum [37] Tecomella undulata bark [38] Adina rubescens leaves [39] Dryopteris fragrans [40] Staphylea bumalda leaves [20] | Immunomodulatory activity inhibited the proliferation of murine B lymphocytes in vitro at 10−5 M [33] Inhibition of nitric oxide production in lipopolysaccharide induced RAW 264.7 macrophages with an IC50 value of 49.8 μM [40] Weak antimigratory activity against human metastatic prostate cancer cells (PC-3M) at 50 µM [36] |
| 21 | Frachromone C (5-hydroxy-2-ethylchromone-7-O-β-d-glucopyranoside) | Dryopteris fragrans whole plant [40] | Inhibition of nitric oxide production in lipopolysaccharide induced RAW 264.7 macrophages with an IC50 value of 45.8 μM [40] |
| 22 | Urachromone A (5-hydroxy-2-isopropylchromone-7-O-β-d-glucopyranoside) | Hypericum henryi aerial parts [41] Hypericum erectum [42] | No reported biological activity |
| Hyperimone A | |||
| 23 | Urachromone B | Hypericum henryi aerial parts [41] | No reported biological activity |
| 24 | Corymbosin K2 (7-O-β-d-6- acetylglucopyranosyl-5-hydroxy-2-methylchromone) | Knoxia corymbosa [33] | Immunomodulatory activity inhibited the proliferation of murine B lymphocytes in vitro at 10−5 M [33] |
| 25 | Schumanniofioside B | Schumanniophyton magnificum root bark [16] | No reported biological activity |
| 26 | 5-hydroxy-2-methylchromone-7-O-β-d-apiofuranosyl-(1→6)- β-d-glucopyranoside | Neonauclea sessilifolia roots [43] Scorodocarpus borneensis leaves [44] Staphylea bumalda leaves [20] | No reported biological activity |
| 27 | Undulatoside B | Tecomella undulata [45] | No reported biological activity |
| 28 | 2-methyl-chromone-5,7-diol 7-O-α-l-rhamnopyranosyl-(1-6)-β-d-glucopyranoside | Delphinium hybridum aerial parts [46] Drynaria fortunei rhizomes [22] | No reported biological activity |
| 29 | Officinaliside C (7-O-[β-d-glucopyranosyl-(1-2)-α-l-rhamnopyranosyl]-5-hydroxy-2-methyl-4H-1-benzopyran-4-one) | Scindapsus officinalis stems [31] | No reported biological activity |
| 30 | Drynachromoside C (5-hydroxy-2-methyl chromone-7-O-β-d-glucopyranosyl (1-3)-α-l-rhamnopyranoside) | Drynaria fortunei rhizomes [22] | Inhibitory activity on triglyceride accumulation at 10 μM [22] |
| 31 | Officinaliside B (7-O-[6-acetyl-β-d-glucopyranosyl-(1-3)-α-l-rhamnopyranosyl]-5-hydroxy- 2-methyl-4H-1-benzopyran-4-one) | Scindapsus officinalis stems [31] | Inhibition of NO production in LPS-stimulated RAW 264.7 cells with an IC50 value of 16.1 μM [31] |
| 32 | Drynachromoside A (5-hydroxy-2-methyl-4H-benzopyran-4-one-7-O-β-d-glucopyranosyl-(1-4)-α-l-rhamnopyranoside) | Scindapsus officinalis stems [31] Drynaria fortunei rhizomes [47] | Proliferative activity 10.1% on MC3T3-E1 (Mouse osteoblast) cells at 25 μg/mL [47] |
| 33 | Drynachromoside D (5-hydroxy-2-methyl chromone-7-O-α-l-arabinopyranosyl(1-2)-β-d-glucopyranosyl(1-4)-α-l-rhamnopyranoside) | Drynaria fortunei rhizomes [22] | Inhibitory activity on triglyceride accumulation (inhibited PPARγ, C/EBPα and aP2 expression by 50%, 43% and 37% at 10 mM) [22] |
| 34 | Undulatoside A 6′-O-gallate | Myrtus communis leaves [48] | |
| 35 | Corymbosin K3 (7-O-[6-O-(4-O-trans-caffeoyl-β-d-allopyranosyl)]-β-d-glucopyranosyl-5-hydroxy-2- methylchromone) | Knoxia corymbosa [33] | Immunomodulatory activity inhibited the proliferation of murine B lymphocytes in vitro at 10−5 M [33] |
| 36 | 7-O-[6-O-(4-O-trans-feruloyl-β-d-allopyranosyl)]- β-d-glucopyranosyl-5-hydroxy-2-methylchromone | Knoxia corymbosa [33] | No reported biological activity |
| 37 | 5-hydroxy-6-methylchromone-7-O-β-d-glucopyranoside | Pseudotsuga sinensis [49] | No reported biological activity |
| 38 | Takanechromone A (5,7-dihydroxy-3-methylchromone- 7-O-β-d-glucopyranoside) | Hypericum sikokumontanum aerial parts [50] Hypericum erectum [42] | No reported biological activity |
| Hyperimone B | |||
| 39 | Takanechromone B (5,7-dihydroxy-3-ethylchromone- 7-O-β-d-glucopyranoside) | Hypericum sikokumontanum aerial parts [50] | No reported biological activity |
| 40 | 7-O-(4-O-Methyl-β-d-glucopyranosyl)eugenitol | The scale-insect pathogenic fungus Orbiocrella sp. [23] | No reported biological activity |
| 41 | Mollin | Lichens (Roccellaria mollis, Schismatomma accedens, Roccella galapagoensis) [51] | No reported biological activity |
| 42 | Roccellin | Lichens (Roccellaria mollis, Schismatomma accedens, Roccella galapagoensis) [51] | No reported biological activity |
| 43 | 7-O-(4-O-Methyl-β-d-glucopyranosyl)isoeugenitol | The scale-insect pathogenic fungus Orbiocrella sp. [23] | No reported biological activity |
| 44 | Lobodirin | Lobodirina cerebriformis lichen [51] | No reported biological activity |
| 45 | Galapagin | Lichens (Roccellaria mollis, Schismatomma accedens, Roccella galapagoensis) [51] | No reported biological activity |
| 46 | Uncinoside A (5-hydroxy-2,6,8- trimethylchromone 7-O-β-d-glucopyranoside) | Selaginella uncinate Herb [24] | Antiviral activity against respiratory syncytial virus (RSV) with an IC50 value of 6.9 μg/mL, against parainfluenza type 3 virus (PIV 3) with an IC50 value of 13.8 μg/mL [24] |
| 47 | Pancrichromone | Pancratium maritimum L. fresh bulbs [36] | No reported biological activity |
| 48 | Uncinoside B (5-acetyoxyl-2,6,8-trimethylchromone 7-O-β -d-glucopyranoside) | Selaginella uncinate herb [24] | Antiviral activity against respiratory syncytial virus (RSV) with an IC50 value of 1.3 μg/mL, against parainfluenza type 3 virus (PIV 3) with an IC50 value of 20.8 μg/mL [24] |
| 49 | Matteuinterin B | Matteuccia intermedia rhizomes [52] | |
| 50 | 2,5-dimethylchromone-7-O-β-d-glucopyranoside | Rheum austral D. Don underground parts [53] Rumex gmelini Turcz. roots [54] | Anti-oxidant activity (DPPH radical scavenging capacity with an IC50 value of 66.9 ± 1.3 μM) [53] |
| 51 | 5-acetonyl-7-β-d-glucopyranosyl-2-methylchromone | Cassia multijuga leaves [55,56] | No reported biological activity |
| 52 | 2-methyl-5-(2′-oxo-4′-hydroxyphenyl)-7-hydroxychromone 7-O-β-d-glucopyranoside | Chinese rhubarb (Rhei Rhizoma) [57] | No reported biological activity |
| 53 | Aloesone 7-O-β-d-glucopyranoside | Chinese rhubarb (Rhei Rhizoma) [57] | No reported biological activity |
| No. | Compound | Source | Biological Activity |
|---|---|---|---|
| 54 | 8-O-β-d-Glucopyranosyl-2-methylchromone | Swertia punicea whole herb [58] | No reported biological activity |
| 55 | 8-O-β-d-Glucopyranosyl-6-hydroxy-2-methyl-4H-1-benzopyrane-4-one | Rhododendron collettianum aerial parts [59] | Inhibitory activity against tyrosinase enzyme with an IC50 value of 256.97 μM [59] |
| No. | Compound | Source | Biological Activity |
|---|---|---|---|
| 56 | Officinaliside D (2-hydroxymethyl-5,7-dihydroxy-4H-benzopyran-4- one-1′-O-α-l-arabinopyranoside) | Scindapsus officinalis stems [31] | Inhibition of NO production in LPS-stimulated RAW 264.7 cells with an IC50 value of 19.1 µM [31] |
| 57 | Drynachromoside B | Drynaria fortune rhizomes [22,47] Scindapsus officinalis stems [31] | Mild inhibitory activity against MC3T3-E1 (mouse osteoblast) cells at 3.125 to 100 μg/ml [47] Triglyceride accumulation inhibitory effect at 0.1 to 10 μM [22] |
| Monnieriside A | Cnidium monnieri fruits [60] | No reported biological activity | |
| 58 | Saikochromoside A | Bupleurum chinense [61] Cnidium monnieri fruits [60] | No reported biological activity |
| 59 | 2-Methyl-5-propyl-7,12- dihydroxychromone-12-O-β-d-glucopyranoside | Cassia siamea stem [62] | No reported biological activity |
| No. | Compound | Source | Biological Activity |
|---|---|---|---|
| 60 | Takanechromanone A | Hypericum sikokumontanum aerial parts [50] | Anti-Helicobacter pylori at 100 µg/disc [50] |
| 61 | Takanechromanone B | ||
| 62 | 5-β-d-glucopyranosyloxy-7-hydroxy-2-isopropyl-chromanone | Humulus lupulus L. bracts [63] | No reported biological activity |
| 63 | Stemphylin (3-hydroxy-2, 2-dimethyl-5-α-d-glucopyranoside-2, 3-dihydrochromone) | The liquid culture of the fungus Stemphylium botryosum [64] | Phytotoxic activity [64] |
| No. | Compound | Source | Biological Activity |
|---|---|---|---|
| 64 | Macrolobin (5,7-dihydroxychromone- 3α-d-C-glucoside) | Macrolobium latifolium aerial parts [65] | Inhibition of acetylcholinesterase enzyme with an IC50 value of 0.8 μM Antimicrobial activity against P. aeruginosa and Salmonella at 0.73 and 0.44 μM, respectively [65] |
| No. | Compound | Source | Biological Activity |
|---|---|---|---|
| 65 | 5,7-dihydroxy-6-C-glucosyl-chromone | Aspalathus linearis fermented rooibos (red-brownish dry leaves) [66] | No reported biological activity |
| 66 | Biflorin (6-β-C-glucopyranosyl-5,7-dihydroxy-2-methylchromone) | Pancratium Biflorum roots [34] Syzygium aromaticum L. flower buds [67,68] Baeckea frutescens leaves [69,70] | Inhibitory activity to phosphodiesterase and spared cyclic nucleotides at 10−9 M [34] Inhibition of LPS-induced production of nitric oxide (NO) and prostaglandin E2 (PGE2) in RAW 264.7 macrophages with IC50 values of 51.7 and 37.1 μM, respectively [67] |
| 67 | 6-β-C-glucopyranosyl- 5,7-dihydroxy-2-isopropylchromone | Baeckea frutescens leaves [69,70] Kunzea ambigua leaves [71] | Inhibitory activity 70.4% against EBV-EA (Epstein–Barr virus early antigen) activation induced by 12-O-tetradecanoylphorbol 13-acetate (TPA) at 500 mol ratio/TPA [71] |
| 68 | Obtusichromoneside C | Cassia obtusifolia seeds [72] | Weak inhibitory activity against human organic anion/cation transporters (OATs/OCTs) and organic anion transporting polypeptides (OATPs) at 50 μM [72] |
| 69 | Obtusichromoneside A | ||
| 70 | Kunzeachromone C | Kunzea ambigua leaves [71] Baeckea frutescens leaves [70] | Inhibition of copper-induced LDL oxidation with an IC50 value of 3.35 ± 0.36 μM [70] |
| 71 | 6-C-β-d-(6′-O-galloyl)glucosylnoreugenin | Syzygium aromaticum flower buds [68,73] | Cytotoxicity against human ovarian cancer cells (A2780) with an IC50 value of 66.78 ± 5.49 μM [68] Prolyl endopeptidase inhibitory effects with an IC50 value of 1.74 ± 0.03 μM [73] |
| 72 | 6-β-C-(2′-O-galloylglucopyranosyl)-5,7-dihydroxy- 2-isopropylchromone | Baeckea frutescens leaves [69,70] Kunzea ambigua leaves [71] | Inhibitory activity 68.4% against EBV-EA activation induced by TPA at 500 mol ratio/TPA [71] Inhibition of copper-induced LDL oxidation with an IC50 value of 3.90 ± 0.24 μM [70] |
| 73 | Kunzeachromone D | Kunzea ambigua leaves [71] | No reported biological activity |
| 74 | Kunzeachromone A | ||
| 75 | Aloeveraside B | Aloe vera resin [74,75,76] | Inhibition of urease enzyme (55% and 62%, respectively) at 1 mg/mL concentration, significant growth inhibition (70.5 and 76.4%) of the breast cancer cell line MDA-MB-231 at 100 μM, and antioxidant (80% and 60%) at 1 mg/mL [74] Anti-lipid peroxidation activity with IC50 values of 432.1 ± 0.6 and 469.5 ± 0.4 µmol/L, respectively [75] |
| 76 | Aloeveraside A | ||
| 77 | Acetonyl-6-glycosyl -7-hydroxy -2-methylchromone | Cassia multijuga leaves [55,56] | No reported biological activity |
| 78 | 5-acetonyl-7-hydroxy-6-C-glucopyranosyl-2-methyl chromone 2″-O-glucopyranoside | Cassia spectablis seeds [77] | No reported biological activity |
| 79 | 2-acetonyl-5-methyl-7-hydroxy-6-C-glucopyranosyl chromone 2″-O-glucopyranoside | Chrozophora prostrata roots [78] | No reported biological activity |
| No. | Compound | Source | Biological Activity |
|---|---|---|---|
| 80 | Isobiflorin | Abrus mollis Hance. aerial parts [83] Syzygium aromaticum L. flower buds [67] Kunzea ambigua (SM.) Druce. leaves [71] Eucalyptus globulus leaves [84,85] Eugenia caryophyllata flower buds [86] | Inhibition of LPS-induced production of nitric oxide (NO) with an IC50 > 60 μM and prostaglandin E2 (PGE2) ) with an IC50 value of 46.0 μM [67] |
| 81 | 7-methoxy-isobiflorin | Zhuyeqing Liquor; a famous traditional Chinese functional health liquor [87] | No reported biological activity |
| 82 | 5,7-Dihydroxy-2-isopropylchromone- 8-β-d-glucoside | Hypericum japonicum aerial parts [71,88,89] Eucalyptus maidenii bark [84] | Inhibit Epstein–Barr virus early antigen induced by 12-O-tetradecanoylphorbol 13-acetate (TPA) in Raji cells (70.4%) at 500 mol ratio/TPA [71] |
| 83 | 5,7-Dihydroxy-2-(1-methylpropyl) chromone-8-β-d-glucoside | Hypericum japonicum aerial parts [71,88] Eucalyptus grandis, Eucalyptus urograndi, and Eucalyptus maidenii bark [90] | No reported biological activity |
| 84 | Obtusichromoneside B | Cassia obtusifolia seeds [72] | Inhibitory activity against human organic anion/cation transporters (OATs/OCTs) and organic anion transporting polypeptides (OATPs) at 50 μM [72] |
| 85 | Kunzeachromone E [8-β-C-(2′-galloylglucopyranosyl)- 5,7-dihydroxy-2-methylchromone] | Kunzea ambigua leaves [71] Baeckea frutescens leaves [70] | Inhibition activity toward copper-induced LDL oxidation with IC50 value of 3.98 ± 0.24 µM [70] |
| 86 | 8-C-β-d-(6′-O-galloyl)glucosylnoreugenin [2-Methyl-5,7-dihydroxy-chromone-8-β-d-(6′-O-galloyl)-glucopyranoside] | Syzygium aromaticum L. leaves [91] Syzygium aromaticum L. flower buds [68,73] | Cytotoxicity against human ovarian cancer cells (A2780) with an IC50 value of 87.50 ± 1.56 µM [68] Significant inhibition capacity against Prolyl Endopeptidase with IC50 value of 1.48 ± 0.02 µM [73] |
| 87 | 8-β-C-(2′-galloylglucopyranosyl)-5,7-dihydroxy-2-isopropylchromone | Baeckea frutescens leaves [70] | Active against copper-induced LDL oxidation with an IC50 value of 3.91 ± 0.18 µM [70] |
| 88 | Kunzeachromone F [2-Methyl-5,7-dihydroxy-chromone-8-β-d-(2’,3′-di-O-galloyl)-glucopyranoside] | Kunzea ambigua leaves [71] | No reported biological activity |
| 89 | Kunzeachromone B [2-Isopropyl-5,7-dihydroxy-chromone-8-β-d-(2’,3′-di-O-galloyl)-glucopyranoside] | Kunzea ambigua leaves [71] | No reported biological activity |
| 90 | 2,5-dimethyl-8-C-β-d-glucopyranosyl-7-hydroxy-chromone | Aloe vera [92] | No reported biological activity |
| 91 | 2-(E)-propenyl-7- methoxy-8-C-β-d-glucopyranosyl-5-methylchromone | Aloe vera [76,80] | BACE1 (β-secretase) inhibitory activity with an IC50 value of 20.5 µM [80] |
| 92 | 8-C-β-d-glucosyl-(R)-aloesol | Aloe vera [76,80] | BACE1 (β-secretase) inhibitory activity (39.2%) at 100 μM [80] |
| 93 | 8-C-β-d-glucosyl-7-O-methyl-(R)-aloesol | Aloe vera [76,80] and anerobic incubation of aloesin with bacterial mixture [93] | BACE1 (β-secretase) inhibitory activity (26.8%) at 100 μM [80] |
| 94 | 8-C-β-d-glucosyl-(S)-aloesol | Aloe vera [76] and anerobic incubation of aloesin with bacterial mixture [93] | No reported biological activity |
| 95 | 8-C-β-d-glucosyl-7-O-methyl-(S)-aloesol | Aloe vera [76] and anerobic incubation of aloesin with bacterial mixture [93] | No reported biological activity |
| 96 | 8-C-β-d-glucosyl-7-O-methylaloediol | Aloe vera [76,80] | No reported biological activity |
| 97 | Neoaloesin A | Aloe vera [76] Aloe barbadensis leaves [94] | No reported biological activity |
| 98 | Aloesin | Aloe vera [76,80] Aloe barbadensis leaves [95] | Antioxidant activity (50 ± 1 μM trolox equivalent) at 100 mg of soluble solid/L solution [95] BACE1 inhibitory activity (37.5%) at 100 μM [80] Suppresses hyperpigmentation (40%) at 100 mg⁄g polyethylene glycol [2] |
| 99 | 7-O-methylaloesin | Aloe rupestris leaves exudate [96] | No reported biological activity |
| 100 | Aloesin-2″,3″,4″,6″-tetra-O-acetate | Anerobic incubation of aloesin with bacterial mixture [93] | No reported biological activity |
| 101 | 2″-O-tigloylaloesin | Aloe cremnophila leaves exudate [97] | No reported biological activity |
| 102 | 8-C-β-d-glucopyranosyl-7-hydroxy-5-methylchromone-2-carboxylic acid | Herbal tea “muti” [98] | No reported biological activity |
| 103 | 8-[C-β-d-[2-O-(E)-cinnamoyl]glucopyranosyl]-2-[(R)-2-hydroxypropyl]-7-methoxy-5-methylchromone | Aloe vera [76] Aloe barbadensis leaves [99] | Topical anti-inflammatory activity at 200 µg/ear [99] |
| 104 | Aloeresin D | Aloe vera [76] | No reported biological activity |
| 105 | Rabaichromone | Aloe vera [76] | No reported biological activity |
| 106 | Allo-aloeresin D | Aloe vera [76] | No reported biological activity |
| 107 | Aloeresin K | Aloe vera [76] Aloe barbadensis leaf skin [100] | No reported biological activity |
| 108 | Aloeresin J | Aloe vera [76] Aloe barbadensis leaf skin [100] | No reported biological activity |
| 109 | Aloeresin E | Aloe vera leaves [76,82] | Inhibition of tyrosinase enzyme (40% and 80% at 50 and 100 ppm, respectively) [82] |
| 110 | Isoaloeresin D | Aloe vera leaves [76,82] | Inhibition of tyrosinase enzyme (20% and 40% at 50 and 100 ppm, respectively) [82] Antiviral activity against Pepper mild mottle virus; PMMoV (37.5 ± 6.5% at 1.5 mg/mL) [81] |
| 111 | 2′-O-[p-methoxy-(E)-cinnamoyl]-(S)-aloesinol | Aloe nobilis leaves [12] | BACE1 inhibitory activity (34.1%) at 100 μM [80] |
| 112 | Iso-rabaichromone | Aloe vera [76,82] | No reported biological activity |
| 113 | 8-C-glucosyl-(2′-O-cinnamoyl)-7-O-methylaloediol B | Aloe vera leaves [76] | No reported biological activity |
| 114 | Aloeresin A | Aloe vera [76] | Antioxidant activity [101] α-glucosidase inhibitory activities, with IC50 values of 11.94 and 2.16 mM against rat intestinal sucrase and maltase [79] |
| 115 | 7-O-methyl-aloeresin A | Aloe vera [76] | Tyrosinase inhibitory activity with an IC50 value of 9.8 μM [81] |
| 116 | 6′-O-coumaroyl-aloesin | Aloe vera [76] | Anti-lipid peroxidation activity with an IC50 value of 476.4 ± 0.9 µM [75] |
| 117 | 7-Methoxy-6′-O-coumaroyl-aloesin | Aloe vera [76] | Weak anticancer activity against breast cancer cell line, MDA-MB-231 (induce 30% decline in cell survival at 25 μM ) [102] |
| 118 | 2′-Feruloylaloesin | Aloe nobilis leaves [80] | Inhibition activity against β-secretase (36.4%) at 100 μM [80] Inhibition effect against mushroom tyrosinase (27 ± 0.57%) at 0.4 μM [103] |
| 119 | 2′-Feruloyl-7-O-methylaloesin | Aloe nobilis leaves [80] | Inhibition activity against BACE1 (β-secretase) (48.7%) at 100 μM [80] |
| 120 | 9-Dihydroxyl-2′-O-(Z)-cinnamoyl-7-methoxy-aloesin | Aloe vera [76] | Inhibition of tyrosinase enzyme (9.5 ± 9.0%) at 100 μM Antiviral against Pepper mild mottle virus; PMMoV (31.5 ± 4.2% inhibition at 1.5 mg/mL) [81] |
| 121 | 4′-O-β-d-glucosyl-isoaloeresin DI | Aloe vera [76] | No reported biological activity |
| 122 | 4′-O-β-d-glucosyl-isoaloeresin DII | Aloe vera [76] | No reported biological activity |
| No. | Compound | Source | Biological Activity |
|---|---|---|---|
| 123 | Cnidimoside A | Cnidium Juponicum whole plant [104,105] Cnidium monnieri fruits [60,106] | Significant inhibition of fat accumulation at 300 μM in differentiated adipocytes [60] Antitumor and antimetastatic actions at 0.1–100 μM (in vitro) and 20, 50 mg/kg, twice daily (in vivo) [105] |
| 124 | Cnidimoside B | Cnidium Juponicum whole plant [104] Cnidium monnieri fruits [60] | Significant ihibition of fat accumulation at 300 μM in differentiated adipocytes [60] |
| 125 | 2-methyl-5-hydroxy-6-(2- butenyl-3-hydroxymethyl)-7-(β-d-glucopyranosyloxy)-4H- 1-benzopyran-4-one | Cnidium monnieri fruits [60] Angelica archangelica [107] Archangelica litoralis [107] | No reported biological activity |
| 126 | Hydroxycnidimoside A | Cnidium monnieri fruits [60,106] | Significant inhibition of fat accumulation at 300 μM in differentiated adipocytes [60] |
| 127 | Monnieriside B | Cnidium monnieri fruits [60,106] | |
| 128 | Monnieriside C | Cnidium monnieri fruits [60] | No reported biological activity |
| 129 | Monnieriside D | ||
| 130 | Monnieriside E | ||
| 131 | 7,8-Secoeranthin-β-d-glucopyranoside (8-{(2E)-4-[β-d-glucopyranosyl)oxy]-3-methylbut-2-enyl}-5,7- dihydroxy-2-methyl-4H-l-benzopyran-4-one) | Eranthis hyemalis tubers [108] | No reported biological activity |
| 132 | 2-C-Hydroxy-7,8-seroeranthipn-β-d-glucopyranoside (8-{(2E)-4-[β-d-glucopyranosyl)oxy]-3-methylbut-2-enyl}-5,7- dihydroxy-2-(hydroxymethyl)-4H-1-benzopyran-4-on2) | ||
| 133 | 7-[(β-d-glucopyranosyl)oxy]-5-hydroxy-8-[(2E)-4-hydroxy-3-methylbut-2-enyl]-2-methyl-4H-1-benzopyran-4-one | Eranthis cilicica tubers [109] | No reported biological activity |
| 134 | 7-[(β-d-glucopyranosyl)oxy]-5-hydroxy-2-hydroxymethyl-8- [(2E)-4-hydroxy-3-methylbut-2-enyl]-4H-1-benzopyran-4-one |
| No. | Compound | Source |
|---|---|---|
| 135 | Ononin glucoside | Ononis vaginalis whole plant [110] |
| 136 | 7-Glucosyloxy-5-hydroxy-2-[2-(4-hydroxyphenyl)ethyl]chromone | Cucumis melo seeds [111] |
| 137 | Aquilarinoside C (6,4′-dimethoxy-3′-hydroxy-2- (2-phenylethyl)chromone 7-O-β-d-glucopyranoside) | Aquilaria sinensis stems [112] |
| 138 | 2-(2-phenylethyl) chromone-8-O-β-d-glucopyranoside | Imperata cylindrical rhizomes [113] |
| 139 | 2-[2-(4-glucosyloxy-3-methoxyphenyl)ethyl]chromone | Aquilaria sinensis resinous heartwood [114] |
| No. | Compound | Source | Biological Activity |
|---|---|---|---|
| 140 | Khellol glucoside (Khellinin; Khelloside) | Ammi visnaga fruits [117] Eranthhis hyernalis tubers [108] | Potent coronary vasodilator and bronchodilator [115] Hypocholesterolemic effect at 20 mg/kg per day [116] |
| 141 | Norkhelloside | Cimicifuga heracleifolia rhizomes [118] | No reported biological activity |
| 142 | 7-[(O-β-d-glucopyranosyl-(1→6)- β-d-glucopyranosyl)oxy]methyl-4-hydroxy-5H-furo[3,2-g][1]benzopyran-5-one | Eranthis cilicica tubers [109] | No reported biological activity |
| 143 | 4′-O-β-d-glucopyranosylvisamminol (Monnieriside G) | Cnidium monnieri fruits [60] Saposhnikovia divaricata roots [119] | Antitumor activity against SK-OV-3 with an IC50 value of 93.91 μM [120] |
| 144 | 4′-O-β-d-glucopyranosyl-5-O-methylvisamminol | Ledebouriella seseloides roots and rhizomes [121] Saposhnikovia divaricata roots [119,122] Diplolophium buchananii aerial parts [123] Sphallerocarpus gracilis roots [124] | Analgesic, antipyretic, anti-inflammatory, and anti-platelet aggregation activities [125,126] Antitumor activity with against H-460 cell line with an IC50 value of 86.91 μM [120] |
| 145 | (2’S)-4′-O-β-d-apiofuranosyl- (1→6)-β-d-glucopyranosylvisamminol | Saposhnikovia divaricata roots [119] | Antitumor activities against PC-3 and SK-OV-3 cell lines with IC50 values of 48.5, 81.91 μM, respectively [120] |
| 146 | prim-O-glucosylcimifugin | Ammi visnaga fruits [127] Angelica genuflexa roots [128] Eranthis hyernalis tubers [108] Angelica japonica roots [129] Cimicifuga foetida rhizomes [130] Diplolophium buchananii aerial parts [123] Saposhnikovia divaricata roots [131] | Analgesic, antipyretic, anti-inflammatory, anti-platelet aggregation and antitumor activities [125,126,131] |
| 147 | Cimifugin-4′-O-[6″-feruloyl]-β-d-glucopyranoside | Cimicifuga foetida rhizomes [132] | No reported biological activity |
| 148 | Monnieriside F | Cnidium monnieri fruits [60] | No reported biological activity |
| No. | Compound | Source | Biological Activity |
|---|---|---|---|
| 149 | 3′-O-glucopyranosylhamaudol (Sec-O-glucopyranosylhamaudol) | Angelica genuflexa roots [128] Angelica japonica roots [129] Glehnia littoralis roots [133] Peucedanum japonicum roots [134] Saposhnikovia divaricata roots [119,122] | Antitumor activity against H-460 cell line with an IC50 value of 94.25 ± 1.45 μM [119] |
| 150 | (3’S)-3′-O-β-d-apiofuranosyl-(1→6)- β-d-glucopyranosylhamaudol | Saposhnikovia divaricata roots [119] | Antitumor activity against SK-OV-3 with an IC50 value of 86.21 ± 1.03 μM [119] |
| 151 | (2’S)-2′-hydroxy-7-O-methylallopeucenin 2′-O-β-d-glucopyranoside | Diplolophium buchananii aerial parts [123] | No reported biological activity |
| No. | Compound | Source |
|---|---|---|
| 152 | Eranthin β-d-glucopyranoside | Eranthis hyemalis tubers [108] |
| 153 | Eranthin β-d-gentiobioside | Eranthis cilicica tubers [109] Eranthis hyemalis tubers [108] |
| 154 | 2-C-Hydroxyeranthin β-d-glucopyranoside | Eranthis hyemalis tubers [108] |
| 155 | 9-[(O-β-d-glucopyranosyl-(1→6)-β-d-glucopyranosyl)oxy]methyl-8,11-dihydro-5,9-dihydroxy-2-methyl-4Hpyrano[2,3-g][1]benzoxepin-4-one | Eranthis cilicica tubers [109] |
| No. | Compound | Source | Biological Activity |
|---|---|---|---|
| 156 | Schumanniofoside | Schumanniophyton magnificum stem bark [135] | Anti-snake venom activity at 0.01–0.16 g/kg [135] |
| No. | Compound | Source | Biological Activity |
|---|---|---|---|
| 157 | Cimitriteromone A | Cimicifuga foetida rhizomes [130] | No reported biological activity |
| 158 | Cimitriteromone B | Cimicifuga foetida rhizomes [130] | Anti-proliferative activity with an IC50 value of 15.73 ± 0.59 μM [130] |
| 159 | Cimitriteromone C | Cimicifuga foetida rhizomes [130] | No reported biological activity |
| 160 | Cimitriteromone D | Cimicifuga foetida rhizomes [130] | Anti-proliferative activity with an IC50 value of 24.21 ± 0.61 μM [130] |
| 161 | Cimitriteromone E | Cimicifuga foetida rhizomes [130] | No reported biological activity |
| 162 | Cimitriteromone F | Cimicifuga foetida rhizomes [130] | No reported biological activity |
| 163 | Cimitriteromone G | Cimicifuga foetida rhizomes [130] | No reported biological activity |
| 164 | Cimitriteromone H | Cimicifuga foetida rhizomes [136] | No reported biological activity |
| 165 | Cimitriteromone I | Cimicifuga foetida rhizomes [136] | Anti-proliferative activity with an IC50 value of 27.14 ± 1.38 μM [136] |
| No. | Compound | Source | Biological Activity |
|---|---|---|---|
| 168 | Kidamycin (rubiflavin B) | Streptomyces phaeoverticillatus var. takatsukiensis [138] | Antibiotic with MIC (minimum inhibitory concentration) ranges from 0.19–1.56 μg/mL and potent antitumor activity [138] |
| 169 | Neopluramycin | Streptomyces pluricolorescens [139,140] | Antibiotics and potent antitumor activity [140] |
| 170 | 14, 16-Epoxykidamycin | Streptomyces pluricolorescens [141] | Antibiotic against Gram-positive bacteria with MIC ranges from 0.5 to 10 μg/mL and antitumor activity [141] |
| 171 | Pluramycin A | Streptomyces pluricolorescens [139,140] | Antibiotic and antitumor activity [140] |
| 172 | Rubiflavin A | Streptomyces species [142] | Antibiotic and antitumor activity [142] |
| 173 | Rubiflavin C-1 | ||
| 174 | Rubiflavin C-2 | ||
| 175 | Rubiflavin D | ||
| 176 | Rubiflavin E | ||
| 177 | Rubiflavin F (isokidamycin) | ||
| 178 | PD 121,222 | Streptomyces species [143] | Antibiotic and potent antitumor activity [143] |
| 179 | Hedamycin | Streptomyces griseoruber [144,145] | Antibiotic and potent antitumor activity against HeLa cells [144] |
| 180 | Ankinomycin (deangolosaminylhedamycin) | Streptomyces species [146] | Antibiotic against Gram-positive bacteria with MICs ranges from 0.39–1.56 μg/mL and potent antitumor activity [146] |
| 181 | Pluraflavin A | Saccharothrix species [147] | Antibiotic and potent antitumor activity [147] |
| 182 | Pluraflavin B | ||
| 183 | Pluraflavin E | ||
| 184 | Altromycin A | Actinomycete, AB 1246E-26 [148,149] | Antibiotic against Gram-positive bacteria and potent antitumor activity [137] |
| 185 | Altromycin B | ||
| 186 | Altromycin C | ||
| 187 | Altromycin D | ||
| 188 | Altromycin E | Actinomycete, AB 1246E-26 [137] | |
| 189 | Altromycin F | ||
| 190 | Altromycin G | ||
| 191 | Altromycin H | ||
| 192 | Altromycin I |
| Chromones | Chromanones | |
|---|---|---|
| Band system | λmax | λmax |
| A | 360, 352, 345, 337, 324 | 363, 347 322(sh), 312 252, 246 219(sh), 213 |
| B | 301, 290, 283 | |
| C | 225, 246, 239, 227, 223, 216, 202 | |
| C | 1 | 2 | 3 | 4 | 5 | 7 | 11 | 13 | 14 |
|---|---|---|---|---|---|---|---|---|---|
| 2 | 161.2 | 147.4 | 147.7 | 147.8 | 147.4 | 167.2 | 167.8 | 158.6 | 159.5 |
| 3 | 93.1 | 141.2 | 141.0 | 138.1 | 141.5 | 111.7 | 109.1 | 112.0 | 112.8 |
| 4 | 166.6 | 178.4 | 178.5 | 177.0 | 178.4 | 180.3 | 183.2 | 183.6 | 184.4 |
| 5 | 137.1 | 163.4 | 163.3 | 161.5 | 163.4 | 160.2 | 93.9 | 163.4 | 163.9 |
| 6 | 132.0 | 100.1 | 100.2 | 98.8 | 100.2 | 104.6 | 162.0 | 101.3 | 101.9 |
| 7 | 127.8 | 166.4 | 166.3 | 164.3 | 166.5 | 164.7 | 110.2 | 164.9 | 165.2 |
| 8 | 114.9 | 95.0 | 95.0 | 93.8 | 95.0 | 99.1 | 159.6 | 96.2 | 96.9 |
| 9 | 154.3 | 159.3 | 159.3 | 157.2 | 159.4 | 161.1 | 156.6 | 159.5 | 160.2 |
| 10 | 114.5 | 106.2 | 106.2 | 104.8 | 106.1 | 109.2 | 106.1 | 108.4 | 109.3 |
| 11 | 23.2 | - | - | - | - | 19.9 | 20.3 | - | - |
| 12 | - | - | - | - | - | - | 8.2 | - | - |
| 1′ | 100.1 | 104.6 | 104.4 | 100.6 | 104.2 | 105.0 | 101.7 | 101.6 | 102.1 |
| 2′ | 73.2 | 74.6 | 72.0 | 69.9 | 74.8 | 74.6 | 75.1 | 74.7 | 75.1 |
| 3′ | 77.5 | 77.1 | 73.6 | 70.2 | 77.4 | 77.3 | 78.4 | 77.9 | 77.8 |
| 4′ | 69.6 | 70.8 | 69.2 | 71.5 | 71.3 | 71.3 | 80.5 | 71.2 | 73.9 |
| 5′ | 76.7 | 67.1 | 67.1 | 69.7 | 78.5 | 78.7 | 78.1 | 78.4 | 77.5 |
| 6′ | 60.7 | - | - | 17.7 | 62.6 | 62.5 | 60.9 | 62.4 | 171.5 |
| OCH3 | - | - | - | - | - | - | - | - | 53.8 |
| Solvent | DMSO-d6 | CD3OD | CD3OD | DMSO-d6 | CD3OD | CD3OD | C5D5N | CD3OD | CD3OD |
| References | [7] | [10] | [12] | [9] | [11] | [17] | [1] | [27] | [28] |
| C | 15 | 16 | 17 | 18 | 20 | 21 | 22 | 23 |
|---|---|---|---|---|---|---|---|---|
| 2 | 158.1 | 158.4 | 158.5 | 168.9 | 161.6 | 174.3 | 175.5 | 174.6 |
| 3 | 110.8 | 111.9 | 112.0 | 108.8 | 108.8 | 107.8 | 106.2 | 106.6 |
| 4 | 181.8 | 183.6 | 183.6 | 182.5 | 182.5 | 184.3 | 183.3 | 183.1 |
| 5 | 161.3 | 163.1 | 163.2 | 161.2 | 157.9 | 163.0 | 162.2 | 162.7 |
| 6 | 99.8 | 101.2 | 101.2 | 99.8 | 100.3 | 101.0 | 100.6 | 100.7 |
| 7 | 162.9 | 164.6 | 164.8 | 163.1 | 168.9 | 164.8 | 164.2 | 164.2 |
| 8 | 94.6 | 96.2 | 96.2 | 94.9 | 95.0 | 95.9 | 95.3 | 95.3 |
| 9 | 157.7 | 159.4 | 159.4 | 157.9 | 163.4 | 159.5 | 158.4 | 158.4 |
| 10 | 106.8 | 108.5 | 108.5 | 105.5 | 105.5 | 107.0 | 106.5 | 107.4 |
| 11 | - | - | - | 20.5 | 20.5 | 28.3 | 33.3 | 40.4 |
| 12 | - | - | - | - | - | 11.2 | 19.9 | 27.6 |
| 13 | - | - | - | - | - | - | 19.9 | 17.7 |
| 14 | - | - | - | - | - | - | - | 11.7 |
| 1′ | 99.7 | 101.5 | 101.5 | 100.6 | 99.9 | 101.6 | 101.7 | 101.7 |
| 2′ | 73.1 | 74.7 | 74.7 | 73.3 | 73.5 | 74.7 | 74.8 | 74.8 |
| 3′ | 76.2 | 77.9 | 77.9 | 76.6 | 77.6 | 77.8 | 78.5 | 78.5 |
| 4′ | 69.7 | 71.9 | 72.0 | 69.6 | 70.7 | 71.2 | 71.2 | 71.1 |
| 5′ | 74.1 | 75.8 | 76.0 | 66.2 | 76.8 | 78.4 | 79.3 | 79.2 |
| 6′ | 63.4 | 64.2 | 64.7 | - | 61.1 | 62.4 | 62.4 | 62.3 |
| 1″ | 119.5 | 127.4 | 127.3 | - | - | - | - | - |
| 2″ | 108.8 | 133.7 | 131.2 | - | - | - | - | - |
| 3″ | 145.6 | 115.8 | 117.0 | - | - | - | - | - |
| 4″ | 138.6 | 160.0 | 161.4 | - | - | - | - | - |
| 5″ | 145.6 | 115.8 | 117.0 | - | - | - | - | - |
| 6″ | 108.8 | 133.7 | 131.2 | - | - | - | - | - |
| 7″ | 165.9 | 145.1 | 146.9 | - | - | - | - | - |
| 8″ | - | 116.0 | 115.1 | - | - | - | - | - |
| 9″ | - | 168.1 | 168.9 | - | - | - | - | - |
| Solvent | DMSO-d6 | CD3OD | CD3OD | DMSO-d6 | DMSO-d6 | CD3OD | C5D5N | C5D5N |
| References | [29] | [30] | [30] | [31] | [157] | [40] | [41] | [41] |
| C | 24 | 25 | 26 | 28 | 29 | 30 | 31 | 32 |
|---|---|---|---|---|---|---|---|---|
| 2 | 168.7 | 157.3 | 167.9 | 168.2 | 168.9 | 169.2 | 168.9 | 168.5 |
| 3 | 108.7 | 108.3 | 108.8 | 108.8 | 108.8 | 109.3 | 108.8 | 108.4 |
| 4 | 182.4 | 181.9 | 182.7 | 182.8 | 182.5 | 184.2 | 182.5 | 182.1 |
| 5 | 161.5 | 161.1 | 162.4 | 162.4 | 161.7 | 163.1 | 161.7 | 161.3 |
| 6 | 99.9 * | 108.7 | 100.6 | 100.7 | 100.2 | 100.8 | 100.0 | 99.6 |
| 7 | 162.9 | 162.6 | 163.9 | 163.9 | 161.9 | 163.4 | 161.9 | 161.6 |
| 8 | 94.9 | 108.2 | 95.3 | 95.1 | 95.2 | 95.7 | 95.1 | 94.7 |
| 9 | 157.7 | 168.2 | 158.3 | 158.3 | 157.9 | 159.5 | 157.9 | 157.5 |
| 10 | 105.5 | 105.0 | 106.3 | 106.3 | 105.7 | 106.8 | 105.6 | 105.2 |
| 11 | 20.3 | 19.9 | 19.9 | 20.1 | 20.5 | 20.4 | 20.5 | 20.1 |
| 1′ | 99.8 * | 99.3 | 101.9 | 102.0 | 98.8 | 99.6 | 98.5 | 98.1 |
| 2′ | 73.3 | 77.0 | 74.6 | 74.6 | 81.2 | 71.0 | 69.8 | 69.5 |
| 3′ | 76.5 | 75.8 | 78.5 | 78.5 | 70.4 | 82.5 | 82.1 | 70.3 |
| 4′ | 70.2 | 68.9 | 71.5 | 71.6 | 70.9 | 72.4 | 70.7 | 81.4 |
| 5′ | 74.1 | 76.0 | 77.4 | 77.5 | 69.4 | 70.9 | 68.7 | 68.5 |
| 6′ | 63.7 | 60.5 | 69.0 | 68.0 | 18.3 | 18.1 | 18.0 | 17.9 |
| 1″ | - | 108.7 | 111.2 | 102.7 | 105.0 | 105.9 | 104.8 | 104.4 |
| 2″ | - | 76.7 | 77.9 | 72.0 | 74.5 | 75.4 | 74.1 | 74.5 |
| 3″ | - | 79.2 | 80.3 | 72.8 | 77.2 | 77.8 | 76.8 | 77.1 |
| 4″ | - | 73.9 | 75.1 | 74.1 | 70.0 | 71.1 | 70.6 | 70.1 |
| 5″ | - | 64.1 | 65.8 | 69.8 | 76.7 | 77.7 | 74.8 | 76.7 |
| 6″ | - | - | - | 18.6 | 61.5 | 62.2 | 64.1 | 61.2 |
| CH3CO | 20.9, 170.5 | - | - | - | - | - | 21.1, 170.6 | - |
| Solvent | DMSO-d6 | CDCl3, DMSO-d6 | C5D5N | C5D5N | DMSO-d6 | DMSO-d6 | DMSO-d6 | DMSO-d6 |
| References | [33] | [16] | [44] | [46] | [31] | [22] | [31] | [47] |
| C | 33 | 34 | 35 | 36 | 37 | 38 | 39 | 40 | 41 |
|---|---|---|---|---|---|---|---|---|---|
| 2 | 168.3 | 168.2 | 168.3 | 168.3 | 157.8 | 154.8 | 154.7 | 168.6 | 168.4 |
| 3 | 108.2 | 108.7 | 108.3 | 108.2 | 110.6 | 120.3 | 125.8 | 108.7 | 108.4 |
| 4 | 181.4 | 182.7 | 181.9 | 181.9 | 181.5 | 183.8 | 183.5 | 182.5 | 182.3 |
| 5 | 161.1 | 162.3 | 161.1 | 161.2 | 157.7 | 163.0 | 163.1 | 158.4 | 185.1 |
| 6 | 99.5 | 100.6 | 99.8 | 99.5 | 108.9 | 100.9 | 100.8 | 109.1 | 108.5 |
| 7 | 161.4 | 163.7 | 162.6 | 162.6 | 160.9 | 164.6 | 164.6 | 161.1 | 155.56 |
| 8 | 94.5 | 94.6 | 94.3 | 94.5 | 93.3 | 95.8 | 95.8 | 93.3 | 97.7 * |
| 9 | 157.3 | 158.3 | 157.4 | 157.4 | 155.4 | 159.4 | 159.5 | 155.9 | 160.3 |
| 10 | 105.0 | 106.3 | 105.1 | 105.1 | 106.0 | 107.4 | 107.6 | 105.1 | 105.0 |
| 11 | 19.9 | 19.9 | 19.8 | 19.8 | 7.4 | 10.2 | 19.3 | 20.5 | 19.9 |
| 12 | - | - | - | - | - | - | 13.4 | 7.9 | 6.9 |
| 1′ | 98.0 | 101.6 | 99.5 | 98.1 | 100.1 | 101.6 | 101.6 | 100.2 | 93.1 * |
| 2′ | 69.5 | 74.4 | 72.9 | 73.0 | 73.1 | 74.7 | 74.7 | 73.8 | 77.3 |
| 3′ | 69.8 | 78.1 | 76.1 | 76.2 | 76.4 | 77.8 | 77.8 | 76.5 | 74.5 |
| 4′ | 80.9 | 71.3 | 69.9 | 69.9 | 69.6 | 71.2 | 71.2 | 79.4 | 69.7 |
| 5′ | 68.4 | 75.8 | 73.9 | 73.9 | 77.1 | 78.4 | 78.4 | 76.1 | 73.3 |
| 6′ | 17.9 | 64.5 | 63.4 | 63.4 | 60.6 | 62.4 | 62.4 | 60.7 | 60.5 |
| 1″ | 102.3 | 121.0 | 128.5 | 127.9 | - | - | - | - | - |
| 2″ | 81.4 | 110.4 | 114.8 | 114.9 | - | - | - | - | - |
| 3″ | 76.6 | 147.4 | 146.9 | 148.9 | - | - | - | - | - |
| 4″ | 69.8 | 140.8 | 147.7 | 149.3 | - | - | - | - | - |
| 5″ | 77.6 | 147.4 | 120.7 | 122.5 | - | - | - | - | - |
| 6″ | 61.0 | 110.4 | 115.9 | 115.8 | - | - | - | - | - |
| 7″ | - | 167.1 | 144.6 | 144.7 | - | - | - | - | - |
| 8″ | - | - | 115.7 | 115.8 | - | - | - | - | - |
| 9″ | - | - | 166.1 | 166.2 | - | - | - | - | - |
| 1‴ | 103.5 | - | 99.5 | 99.5 | - | - | - | - | - |
| 2‴ | 71.2 | - | 70.3 | 71.2 | - | - | - | - | - |
| 3‴ | 71.7 | - | 71.0 | 71.6 | - | - | - | - | - |
| 4‴ | 66.4 | - | 67.1 | 67.1 | - | - | - | - | - |
| 5‴ | 64.2 | - | 75.0 | 74.8 | - | - | - | - | - |
| 6‴ | - | - | 61.0 | 61.0 | - | - | - | - | - |
| OCH3 | - | - | - | 55.8 | - | - | - | 60.1 | - |
| CH3CO | - | - | - | - | - | - | - | - | 20.7, 169.6 |
| Solvent | DMSO-d6 | C5D5N | DMSO-d6 | DMSO-d6 | DMSO-d6 | CD3OD | CD3OD | DMSO-d6 | DMSO-d6 |
| References | [47] | [48] | [33] | [33] | [49] | [50] | [50] | [23] | [51] |
| C | 43 | 45 | 46 | 47 | 48 | 49 | 50 | 52 |
|---|---|---|---|---|---|---|---|---|
| 2 | 168.7 | 168.4 | 168.4 | 169.5 | 170.0 | 160.0 | 164.9 | 164.9 |
| 3 | 108.4 | 108.0 | 108.0 | 108.4 | 109.1 | 112.5 | 101.9 | 118.6 |
| 4 | 182.9 | 182.7 | 182.7 | 182.4 | 185.0 | 185.0 | 178.8 | 177.6 |
| 5 | 159.5 | 152.6 | 155.9 | 152.5 | 157.8 | 158.8 | 141.8 | 137.9 |
| 6 | 98.3 | 109.7 | 114.3 | 135.2 | 116.3 | 117.3 | 116.6 | 110.5 |
| 7 | 160.9 | 158.5 | 158.8 | 157.8 | 160.2 | 161.2 | 160.4 | 159.8 |
| 8 | 104.6 | 114.3 | 109.8 | 94.7 | 111.6 | 112.9 | 111.5 | 99.6 |
| 9 | 155.0 | 155.9 | 152.6 | 155.6 | 154.6 | 155.5 | 159.3 | 158.5 |
| 10 | 105.2 | 106.5 | 106.5 | 106.2 | 108.2 | 110.6 | 117.1 | 115.7 |
| 11 | 20.5 | 20.0 | 20.1 | 20.2 | 20.5 | 10.3 | 22.8 | 19.4 |
| 12 | 8.1 | 8.8 | 9.0 | - | 8.9 | 10.5 | 19.9 | 48.7 |
| 13 | - | 8.9 | 9.1 | - | 9.5 | - | - | 205.3 |
| 14 | - | - | - | - | - | - | - | 52.0 |
| 15 | - | - | - | - | - | - | - | 62.7 |
| 16 | - | - | - | - | - | - | - | 23.6 |
| 1′ | 100.3 | 104.3 | 104.4 | 100.8 | 105.7 | 106.5 | 100.3 | 102.1 |
| 2′ | 73.9 | 76.0 | 74.1 | 74.1 | 75.3 | 76.5 | 77.6 | 73.0 |
| 3′ | 76.5 | 73.9 | 76.3 | 78.0 | 75.6 | 78.5 | 73.6 | 76.3 |
| 4′ | 79.4 | 70.0 | 69.9 | 69.9 | 71.7 | 72.5 | 70.1 | 69.4 |
| 5′ | 76.1 | 73.4 | 77.0 | 77.0 | 77.7 | 76.4 | 76.9 | 77.0 |
| 6′ | 60.7 | 63.0 | 61.0 | 61.2 | 64.3 | 65.3 | 61.0 | 60.5 |
| 1″ | - | - | - | - | - | 173.1 | - | - |
| 2″ | - | - | - | - | - | 47.3 | - | - |
| 3″ | - | - | - | - | - | 71.4 | - | - |
| 4″ | - | - | - | - | - | 46.9 | - | - |
| 5″ | - | - | - | - | - | 176.6 | - | - |
| 6″ | - | - | - | - | - | 28.4 | - | - |
| OCH3 | 60.1 | - | - | 56.7 | - | - | - | - |
| CH3CO | - | 20.4, 170.1 | - | - | 20.4, 172.5 | - | - | - |
| Solvent | DMSO-d6 | DMSO-d6 | * | DMSO-d6 | * | CD3OD | CDCl3 | DMSO-d6 |
| References | [23] | [51] | [24] | [36] | [24] | [52] | [53] | [57] |
| C | 53 | 54 | 55 | 56 | 57 | 60 | 61 | 62 | 64 |
|---|---|---|---|---|---|---|---|---|---|
| 2 | 161.0 | 166.3 | 169.9 | 166.6 | 166.5 | 105.9 | 104.7 | 83.5 | 148.0 |
| 3 | 117.2 | 110.7 | 109.3 | 107.6 | 106.9 | 46.2 | 52.9 | 42.2 | 140.5 |
| 4 | 178.1 | 177.4 | 184.0 | 182.2 | 182.5 | 199.2 | 198.9 | 193.7 | 178.9 |
| 5 | 141.3 | 117.8 | 96.0 | 162.0 | 162.0 | 165.3 | 165.2 | 161.5 | 163.6 |
| 6 | 113.0 | 125.0 | 162.9 | 99.5 | 98.8 | 97.5 | 97.5 | 100.0 | 100.2 |
| 7 | 159.9 | 119.2 | 101.0 | 165.1 | 164.8 | 168.4 | 168.4 | 166.6 | 166.2 |
| 8 | 99.7 | 147.4 | 164.7 | 94.5 | 93.6 | 97.0 | 97.0 | 99.1 | 95.3 |
| 9 | 158.8 | 147.3 | 159.3 | 158.1 | 158.2 | 160.4 | 160.2 | 166.2 | 159.3 |
| 10 | 116.1 | 125.4 | 119.0 | 104.3 | 104.2 | 102.0 | 102.4 | 106.7 | 106.6 |
| 11 | 47.3 | 20.1 | 20.3 | 66.1 | 66.0 | 13.8 | 23.7 | 33.2 | - |
| 12 | 202.5 | - | - | - | - | - | 11.8 | 18.2 * | - |
| 13 | 29.8 | - | - | - | - | - | - | - | - |
| 14 | 22.3 | - | - | - | - | - | - | - | - |
| 1’ | 101.3 | 102.4 | 101.6 | 102.8 | 102.7 | 104.1 | 104.1 | 104.0 | 102.1 |
| 2’ | 73.1 | 74.8 | 74.7 | 73.9 | 73.6 | 75.0 | 75.0 | 74.6 | 72.0 |
| 3’ | 76.3 | 78.6 | 78.3 | 76.4 | 76.6 | 77.9 | 77.9 | 77.4 | 74.0 |
| 4’ | 69.5 | 71.2 | 71.4 | 67.7 | 70.1 | 71.0 | 71.0 | 71.2 | 71.5 |
| 5’ | 77.0 | 79.2 | 77.8 | 63.6 | 76.8 | 78.0 | 78.0 | 78.5 | 72.4 |
| 6’ | 60.9 | 62.4 | 62.4 | - | 61.3 | 62.5 | 62.5 | 62.5 | 62.5 |
| Solvent | DMSO-d6 | C5D5N | CD3OD | DMSO-d6 | CD3OD | CD3OD | CD3OD | CD3OD | CD3OD |
| References | [57] | [58] | [59] | [31] | [60] | [54] | [50] | [63] | [65] |
| C | 66 | 67 | 68 | 69 | 70 | 71 | 72 |
|---|---|---|---|---|---|---|---|
| 2 | 167.3 | 174.7 | 168.3 | 168.4 | 167.8 | 169.4 | 174.4 |
| 3 | 107.8 | 105.1 | 108.6 | 108.8 | 107.0 | 109.2 | 105.3 |
| 4 | 181.8 | 182.2 | 181.8 | 181.8 | 182.0 | 184.3 | 182.2 |
| 5 | 160.6 | 160.6 | 160.6 | 160.6 | 160.4 | 162.3 | 160.4 |
| 6 | 108.7 | 108.7 | 108.6 | 108.8 | 108.1 | 108.9 | 107.0 |
| 7 | 163.2 | 163.3 | 163.1 | 163.1 | 162.4 | 165.0 | 163.4 |
| 8 | 93.3 | 93.4 | 93.3 | 93.3 | 93.9 | 95.2 | 93.7 |
| 9 | 156.6 | 156.7 | 156.6 | 156.6 | 157.0 | 159.4 | 156.9 |
| 10 | 103.0 | 103.3 | 103.2 | 103.2 | 102.9 | 105.1 | 103.1 |
| 11 | 19.8 | 32.3 | 43.1 | 66.2 | 20.0 | 20.4 | 32.4 |
| 12 | - | 19.8 | 64.1 | 46.0 | - | - | 19.8 |
| 13 | - | 19.8 | 23.3 | 63.8 | - | - | 19.8 |
| 14 | - | - | - | 43.8 | - | - | - |
| 15 | - | - | - | 23.5 | - | - | - |
| 1′ | 73.0 | 73.0 | 72.9 | 72.9 | 70.8 | 75.6 | 70.7 |
| 2′ | 70.1 | 70.2 | 70.0 | 70.0 | 72.0 | 72.6 | 72.0 |
| 3′ | 78.9 | 78.9 | 78.8 | 78.8 | 76.7 | 80.1 | 76.6 |
| 4′ | 70.6 | 70.6 | 70.5 | 70.5 | 70.8 | 71.9 | 70.7 |
| 5′ | 81.4 | 81.6 | 81.4 | 81.4 | 82.0 | 80.2 | 81.8 |
| 6′ | 61.4 | 61.5 | 61.4 | 61.4 | 61.6 | 65.2 | 61.5 |
| 1″ | - | - | - | - | 119.9 | 121.6 | 119.9 |
| 2″ | - | - | - | - | 108.9 | 110.4 | 108.7 |
| 3″ | - | - | - | - | 145.4 | 146.6 | 145.4 |
| 4″ | - | - | - | - | 138.2 | 140.0 | 138.1 |
| 5″ | - | - | - | - | 145.4 | 146.6 | 145.4 |
| 6″ | - | - | - | - | 108.9 | 110.4 | 108.9 |
| 7″ | - | - | - | - | 164.8 | 168.6 | 164.7 |
| Solvent | DMSO-d6 | DMSO-d6 | DMSO-d6 | DMSO-d6 | DMSO-d6 | CD3OD | DMSO-d6 |
| References | [69] | [69] | [72] | [72] | [71] | [73] | [69] |
| C | 73 | 74 | 75 | 76 | 79 |
|---|---|---|---|---|---|
| 2 | 167.7 | 174.9 | 162.3 | 163.1 | 160.6 |
| 3 | 106.3 | 105.3 | 113.2 | 111.0 | 112.4 |
| 4 | 182.0 | 182.2 | 181.9 | 181.8 | 178.5 |
| 5 | 161.1 | 160.9 | 143.1 | 146.1 | * |
| 6 | 108.1 | 106.4 | 127.0 | 128.3 | 126.5 |
| 7 | 163.1 | 163.2 | 160.1 | 161.1 | 160.8 |
| 8 | 93.4 | 93.4 | 119.4 | 121.1 | 100.6 |
| 9 | 157.1 | 157.0 | 161.3 | 157.9 | 159.0 |
| 10 | 103.0 | 103.1 | 115.8 | 114.3 | 114.6 |
| 11 | 19.9 | 32.4 | 48.7 | 48.5 | 47.8 |
| 12 | - | 19.78 | 204.4 | 204.6 | 202.4 |
| 13 | - | 19.75 | 29.8 | 30.7 | 29.8 |
| 14 | - | - | 23.3 | 23.3 | 22.5 |
| CH3O | - | - | - | 55.8 | - |
| 1′ | 70.7 | 70.7 | 75.5 | 75.6 | 71.4 |
| 2′ | 69.7 | 69.7 | 71.9 | 72.3 | 81.7 |
| 3′ | 77.6 | 77.6 | 80.0 | 79.9 | 78.2 |
| 4′ | 68.7 | 68.7 | 72.9 | 72.1 | 70.1 |
| 5′ | 81.8 | 81.7 | 79.8 | 78.5 | 81.1 |
| 6′ | 61.2 | 61.2 | 65.2 | 65.4 | 60.9 |
| 1″ | 119.7 | 119.7 | 133.6 | 128.3 | 105.1 |
| 2″ | 108.9 | 108.9 | 131.2 | 131.0 | 74.3 |
| 3″ | 145.5 | 145.4 | 116.8 | 115.3 | 76.1 |
| 4″ | 138.5 | 138.4 | 161.3 | 160.4 | 69.3 |
| 5″ | 145.5 | 145.4 | 116.8 | 115.3 | 76.1 |
| 6″ | 108.9 | 108.9 | 131.2 | 131.0 | 60.3 |
| 7″ | 165.3 | 165.4 | 146.2 | 146.2 | - |
| 8″ | - | - | 114.9 | 116.0 | - |
| 9″ | - | - | 169.2 | 169.1 | - |
| 1‴ | 119.1 | 119.0 | - | - | - |
| 2‴ | 108.7 | 108.7 | - | - | - |
| 3‴ | 145.3 | 145.3 | - | - | - |
| 4‴ | 138.4 | 138.3 | - | - | - |
| 5‴ | 145.3 | 145.3 | - | - | - |
| 6‴ | 108.7 | 108.7 | - | - | - |
| 7‴ | 164.6 | 164.4 | - | - | - |
| Solvent | DMSO-d6 | DMSO-d6 | CD3OD | CD3OD | DMSO-d6 |
| References | [71] | [71] | [74] | [74] | [78] |
| C | 80 | 81 | 82 | 83 | 84 | 85 | 86 | 87 | 88 | 89 |
|---|---|---|---|---|---|---|---|---|---|---|
| 2 | 167.0 | 169.3 | 174.4 | 173.0 | 168.2 | 167.6 | 167.2 | 174.8 | 167.7 | 174.5 |
| 3 | 107.4 | 108.7 | 105.0 | 106.2 | 108.3 | 107.8 | 107.5 | 105.4 | 108.0 | 105.6 |
| 4 | 181.9 | 184.3 | 182.2 | 181.9 | 181.9 | 182.2 | 181.9 | 182.4 | 182.2 | 182.4 |
| 5 | 160.4 | 149.4 | 160.4 | 160.4 | 160.3 | 160.8 | 160.5 | 160.7 | 161.0 | 161.0 |
| 6 | 98.4 | 94.5 | 98.5 | 98.7 | 98.3 | 97.6 | 98.3 | 97.8 | 98.0 | 97.9 |
| 7 | 162.5 | 162.8 | 162.8 | 164.2 | 162.7 | 162.2 | 162.6 | 162.3 | 162.4 | 162.6 |
| 8 | 104.3 | 105.2 | 104.1 | 104.7 | 108.4 | 103.9 | 104.0 | 102.8 | 103.9 | 102.1 |
| 9 | 156.1 | 164.6 | 156.5 | 156.6 | 158.9 | 157.1 | 156.3 | 157.2 | 157.1 | 157.2 |
| 10 | 103.5 | 106.3 | 102.0 | 103.3 | 103.8 | 102.8 | 103.5 | 104.0 | 102.0 | 104.0 |
| 11 | 19.6 | 20.3 | 32.7 | 39.1 | 42.1 | 11.0 | 19.7 | 33.1 | 20.1 | 33.1 |
| 12 | - | - | 20.0 | 27.0 | 66.5 | - | - | 19.8 | - | 20.3 |
| 13 | - | - | 19.5 | 11.4 | 45.8 | - | - | 20.3 | - | 20.1 |
| 14 | - | - | - | 17.4 | 64.1 | - | - | - | - | - |
| 15 | - | - | - | - | 23.6 | - | - | - | - | - |
| 1′ | 73.1 | 74.9 | 73.1 | 73.3 | 73.2 | 70.6 | 73.3 | 70.7 | 70.7 | 70.8 |
| 2′ | 71.0 | 72.8 | 71.2 | 71.2 | 70.3 | 72.5 | 70.0 | 72.5 | 70.1 | 70.2 |
| 3′ | 78.5 | 80.0 | 78.5 | 78.7 | 78.6 | 76.1 | 78.1 | 76.0 | 77.0 | 77.0 |
| 4′ | 70.3 | 71.7 | 70.8 | 70.9 | 71.0 | 70.8 | 70.7 | 71.2 | 68.5 | 68.9 |
| 5′ | 81.1 | 82.4 | 81.5 | 81.5 | 81.4 | 81.7 | 78.3 | 82.0 | 81.5 | 81.9 |
| 6′ | 61.3 | 62.9 | 61.8 | 61.7 | 61.5 | 61.5 | 63.8 | 61.8 | 61.0 | 61.3 |
| 1″ | - | - | - | - | - | 119.7 | 119.4 | 119.6 | 119.6 | 119.6 |
| 2″, 6″ | - | - | - | - | - | 108.8 | 108.5 | 108.7 | 108.9 | 108.9 |
| 3″, 5″ | - | - | - | - | - | 145.5 | 145.5 | 145.4 | 145.6 | 145.5 |
| 4″ | - | - | - | - | - | 138.8 | 138.3 | 138.3 | 138.7 | 138.7 |
| 7″ | - | - | - | - | - | 165.0 | 165.8 | 165.0 | 165.5 | 165.4 |
| 1‴ | - | - | - | - | - | - | - | - | 118.7 | 118.7 |
| 2‴, 6‴ | - | - | - | - | - | - | - | - | 108.7 | 108.7 |
| 3‴, 5‴ | - | - | - | - | - | - | - | - | 145.5 | 145.4 |
| 4‴ | - | - | - | - | - | - | - | - | 138.5 | 138.6 |
| 7‴ | - | - | - | - | - | - | - | - | 164.8 | 164.8 |
| OCH3 | - | 56.8 | - | - | - | - | - | - | - | - |
| Solvent | DMSO-d6 | CD3OD | DMSO-d6 | DMSO-d6 | DMSO-d6 | DMSO-d6 | DMSO-d6 | DMSO-d6 | DMSO-d6 | DMSO-d6 |
| References | [86] | [87] | [158] | [158] | [72] | [71] | [91] | [69] | [71] | [71] |
| C | 91 | 93 | 94 | 95 | 96 | 97 | 98 | 99 | 100 |
|---|---|---|---|---|---|---|---|---|---|
| 2 | 162.7 | 164.9 | 167.1 | 167.0 | 169.2 | 160.2 | 160.2 | 160.8 | 159.6 |
| 3 | 109.8 | 111.2 | 112.2 | 111.9 | 110.8 | 112.6 | 112.4 | 113.0 | 113.7 |
| 4 | 182.7 | 178.7 | 182.3 | 181.9 | 182.4 | 178.3 | 178.5 | 178.9 | 179.1 |
| 5 | 144.0 | 141.0 | 143.1 | 143.7 | 144.1 | 139.5 | 140.1 | 141.3 | 144.1 |
| 6 | 112.8 | 111.5 | 112.2 | 112.6 | 113.1 | 116.9 | 116.3 | 111.9 | 118.5 |
| 7 | 162.5 | 160.0 | 162.3 | 162.1 | 162.7 | 160.2 | 159.5 | 160.3 | 159.0 |
| 8 | 113.3 | 112.8 | 116.1 | 113.1 | 113.7 | 107.1 | 110.0 | 113.1 | 106.2 |
| 9 | 158.8 | 157.2 | 160.0 | 158.9 | 159.1 | 155.9 | 157.8 | 157.3 | 159.6 |
| 10 | 117.4 | 115.9 | 118.5 | 117.0 | 117.6 | 114.3 | 114.7 | 115.9 | 113.9 |
| 11 | 124.7 | 43.2 | 44.3 | 44.2 | 76.2 | 47.2 | 47.7 | 47.8 | 48.2 |
| 12 | 139.0 | 63.8 | 66.7 | 66.3 | 69.5 | 202.5 | 202.4 | 202.5 | 200.7 |
| 13 | 18.4 | 23.8 | 23.6 | 23.6 | 19.7 | 22.2 | 22.6 | 30.0 | 30.2 |
| 14 | 23.6 | 22.8 | 23.3 | 23.6 | 23.7 | 29.9 | 29.9 | 23.0 | 23.1 |
| 15 | 56.9 | 56.4 | - | 56.7 | 56.9 | - | - | 56.6 | - |
| 1′ | 75.1 | 73.0 | 76.0 | 74.6 | 74.9 | 80.2 | 73.5 | 72.9 | 68.1 |
| 2′ | 72.4 | 70.9 | 73.2 | 72.7 | 72.9 | 77.5 | 71.0 | 71.1 | 73.7 |
| 3′ | 80.3 | 78.8 | 80.1 | 80.0 | 80.3 | 74.8 | 78.7 | 79.1 | 73.7 |
| 4′ | 72.3 | 70.8 | 71.8 | 71.9 | 72.2 | 80.5 | 70.4 | 70.7 | 70.2 |
| 5′ | 82.9 | 81.8 | 82.7 | 82.4 | 82.6 | 68.3 | 81.5 | 81.8 | 76.6 |
| 6′ | 63.0 | 61.7 | 62.8 | 63.0 | 63.3 | 63.8 | 61.4 | 61.8 | 61.6 |
| 2′-OCOCH3 | - | - | - | - | - | - | - | - | 168.6, 20.7 |
| 3′-OCOCH3 | - | - | - | - | - | - | - | - | 169.4, 20.7 |
| 4′-OCOCH3 | - | - | - | - | - | - | - | - | 170.3, 20.7 |
| 6′-OCOCH3 | - | - | - | - | - | - | - | - | 170.6, 20.7 |
| Solvent | CD3OD | DMSO-d6 | CD3OD | CD3OD | CD3OD | DMSO-d6 | DMSO-d6 | CD3OD | CDCl3 |
| References | [80] | [159] | [160] | [82] | [160] | [94] | [94] | [96] | [93] |
| C | 103 | 104 | 106 | 107 | 108 | 109 | 110 |
|---|---|---|---|---|---|---|---|
| 2 | 165.0 | 165.0 | 167.4 | 167.2 | 167.4 | 167.1 | 167.2 |
| 3 | 111.3 | 111.3 | 112.5 | 112.6 | 112.6 | 111.9 | 111.9 |
| 4 | 178.6 | 178.8 | 182.3 | 182.2 | 182.2 | 181.9 | 182.0 |
| 5 | 141.7 | 141.8 | 144.6 | 144.8 | 144.6 | 144.3 | 144.3 |
| 6 | 111.0 | 111.3 | 112.7 | 112.6 | 112.5 | 112.3 | 112.4 |
| 7 | 159.5 | 159.8 | 162.1 | 162.0 | 162.0 | 161.6 | 161.6 |
| 8 | 110.6 | 110.7 | 111.8 | 111.4 | 111.8 | 111.6 | 111.3 |
| 9 | 157.4 | 157.5 | 159.8 | 159.6 | 159.6 | 159.3 | 159.1 |
| 10 | 115.8 | 115.8 | 117.2 | 117.2 | 117.2 | 116.9 | 116.9 |
| 11 | 43.1 | 43.3 | 44.6 | 44.9 | 44.6 | 44.5 | 44.3 |
| 12 | 64.4 | 63.9 | 65.9 | 66.3 | 66.0 | 66.6 | 66.5 |
| 13 | 23.3 | 23.7 | 23.6 | 23.7 | 23.6 | 23.5 | 23.6 |
| 14 | 22.8 | 22.9 | 23.7 | 23.7 | 23.6 | 23.5 | 23.3 |
| 15 | 56.5 | 56.5 | 57.0 | 57.1 | 57.0 | 56.9 | 57.0 |
| 1′ | 70.6 | 70.6 | 72.8 | 72.8 | 72.8 | 71.9 | 71.8 |
| 2′ | 72.6 | 72.3 | 73.4 | 73.7 | 73.9 | 74.0 | 73.7 |
| 3′ | 75.7 | 75.9 | 77.7 | 77.7 | 77.9 | 77.6 | 77.4 |
| 4′ | 70.4 | 70.9 | 72.4 | 72.4 | 72.3 | 72.4 | 72.4 |
| 5′ | 81.8 | 82.0 | 83.0 | 80.1 | 82.9 | 82.7 | 82.4 |
| 6′ | 61.5 | 61.6 | 63.1 | 64.4 | 63.1 | 62.9 | 62.7 |
| 1″ | 133.9 | 125.0 | 127.0 | 127.0 | 128.2 | 135.3 | 126.7 |
| 2″ | 128.9 | 130.3 | 133.2 | 131.1 | 130.9 | 128.9 | 130.9 |
| 3″ | 128.2 | 115.8 | 115.7 | 116.9 | 115.4 | 129.7 | 116.6 |
| 4″ | 130.4 | 159.6 | 160.0 | 161.3 | 163.2 | 131.3 | 160.7 |
| 5″ | 128.2 | 115.8 | 115.7 | 116.9 | 115.4 | 129.7 | 116.6 |
| 6″ | 128.9 | 130.3 | 133.2 | 131.1 | 130.9 | 128.9 | 130.9 |
| 7″ | 144.1 | 144.4 | 145.0 | 146.6 | 146.1 | 146.1 | 146.4 |
| 8″ | 117.8 | 114.0 | 115.7 | 114.6 | 115.6 | 118.1 | 114.2 |
| 9″ | 165.0 | 165.4 | 167.6 | 168.0 | 167.8 | 167.2 | 167.8 |
| OCH3 | - | - | - | - | 55.9 | - | - |
| COCH3 | - | - | - | 173.0, 20.9 | - | - | - |
| Solvent | DMSO-d6 | DMSO-d6 | CD3OD | CD3OD | CD3OD | CD3OD | CD3OD |
| References | [99] | [159] | [80] | [100] | [100] | [82] | [82] |
| C | 111 | 112 | 113 | 114 | 115 | 116 | 117 | 119 | 120 | 121 | 122 |
|---|---|---|---|---|---|---|---|---|---|---|---|
| 2 | 167.2 | 167.6 | 169.7 | 160.3 | 163.0 | 160.1 | 163.1 | 160.6 | 164.0 | 167.6 | 166.8 |
| 3 | 112.1 | 112.2 | 110.5 | 1125 | 113.8 | 112.5 | 111.0 | 112.5 | 112.4 | 112.2 | 112.2 |
| 4 | 182.2 | 182.3 | 182.4 | 178.6 | 182.1 | 178.4 | 181.8 | 178.6 | 182.0 | 182.3 | 182.3 |
| 5 | 143.5 | 144.6 | 144.8 | 141.0 | 144.7 | 140.4 | 146.1 | 141.8 | 144.9 | 144.6 | 144.8 |
| 6 | 116.3 | 112.6 | 112.7 | 115.8 | 112.2 | 115.7 | 128.3 | 111.5 | 113.1 | 112.6 | 112.7 |
| 7 | 161.3 | 162.0 | 162.1 | 159.l | 162.1 | 159.4 | 161.1 | 159.7 | 162.3 | 161.0 | 162.2 |
| 8 | 110.0 | 111.9 | 111.8 | 110.2 | 112.0 | 110.7 | 121.1 | 110.8 | 111.6 | 111.9 | 111.9 |
| 9 | 160.4 | 159.6 | 159.4 | 158.3 | 159.6 | 157.9 | 157.9 | 157.4 | 159.5 | 159.6 | 159.6 |
| 10 | 117.0 | 117.3 | 117.5 | 114.8 | 117.1 | 114.8 | 114.3 | 115.6 | 117.6 | 117.2 | 117.3 |
| 11 | 44.3 | 44.6 | 75.7 | 48.1 | 49.1 | 47.8 | 48.5 | 47.9 | 98.6 | 44.6 | 44.6 |
| 12 | 66.7 | 66.8 | 69.2 | 202.4 | 204.7 | 202.3 | 204.6 | 202.1 | 203.7 | 66.8 | 66.8 |
| 13 | 23.5 | 23.6 | 19.7 | 30.4 | 29.9 | 29.6 | 30.7 | 29.6 | 23.7 | 23.7 | 24.0 |
| 14 | 23.5 | 23.6 | 23.7 | 22.7 | 23.7 | 22.6 | 23.3 | 22.7 | 25.0 | 23.6 | 23.5 |
| 15 | - | 57.1 | 57.1 | - | 57.1 | - | 55.8 | 55.5 | 57.2 | 57.1 | 57.1 |
| 1′ | 73.0 | 72.1 | 72.8 | 70.2 | 72.1 | 73.3 | 75.6 | 70.4 | 72.6 | 72.6 | 72.6 |
| 2′ | 74.0 | 74.0 | 74.1 | 72.3 | 73.9 | 70.8 | 72.3 | 72.2 | 74.3 | 74.1 | 73.6 |
| 3′ | 77.9 | 77.9 | 77.8 | 76.0 | 77.9 | 78.5 | 79.9 | 75.8 | 78.0 | 77.8 | 77.6 |
| 4′ | 72.1 | 72.7 | 72.3 | 70.2 | 72.6 | 70.4 | 72.1 | 70.6 | 71.9 | 78.3 | 78.1 |
| 5′ | 82.8 | 82.9 | 83.0 | 81.8 | 82.8 | 78.4 | 78.5 | 81.9 | 83.3 | 82.9 | 82.9 |
| 6′ | 63.1 | 63.1 | 63.1 | 61.8 | 63.3 | 64.8 | 65.4 | 61.5 | 63.5 | 63.0 | 63.0 |
| 1″ | 128.3 | 127.5 | 135.7 | 125 I | 127.0 | 125.0 | 128.3 | 125.5 | 135.7 | 129.8 | 129.7 |
| 2″ | 131.0 | 115.1 | 129.2 | 1301 | 130.8 | 130.3 | 131.0 | 111.1 | 129.3 | 130.8 | 132.6 |
| 3″ | 116.7 | 149.9 | 130.1 | 115.8 | 116.7 | 115.7 | 115.3 | 147.9 | 130.1 | 118.0 | 116.7 |
| 4″ | 161.2 | 146.6 | 131.6 | 159.6 | 161.3 | 159.7 | 160.4 | 149.2 | 131.6 | 163.8 | 159.7 |
| 5″ | 116.7 | 116.6 | 130.1 | 115.8 | 116.7 | 115.7 | 115.3 | 115.5 | 130.1 | - | - |
| 6″ | 131.0 | 123.0 | 129.2 | 1301 | 130.8 | 130.3 | 131.0 | 122.9 | 129.3 | - | - |
| 7″ | 146.2 | 147.1 | 146.4 | 144.4 | 145.3 | 144.9 | 146.2 | 144.6 | 146.3 | 146.0 | 144.7 |
| 8″ | 115.8 | 114.5 | 118.4 | 114.1 | 115.1 | 114.0 | 116.0 | 114.2 | 118.5 | 116.5 | 117.6 |
| 9″ | 168.0 | 168.2 | 167.4 | 165.4 | 168.1 | 166.7 | 169.1 | 165.4 | 167.4 | 167.8 | 167.7 |
| OCH3 | 56.1 | - | - | - | - | - | - | 56.3 | - | - | - |
| 1‴ | - | - | - | - | - | - | - | - | - | 101.9 | 101.7 |
| 2‴ | - | - | - | - | - | - | - | - | - | 74.8 | 74.9 |
| 3‴ | - | - | - | - | - | - | - | - | - | 72.1 | 72.6 |
| 4‴ | - | - | - | - | - | - | - | - | - | 71.3 | 71.2 |
| 5‴ | - | - | - | - | - | - | - | - | - | 78.0 | 77.9 |
| 6‴ | - | - | - | - | - | - | - | - | - | 62.5 | 62.4 |
| Solvent | CD3OD | CD3OD | CD3OD | DMSO-d6 | DMSO-d6 | DMSO-d6 | CD3OD | DMSO-d6 | CD3OD | CD3OD | CD3OD |
| References | [80] | [82] | [160] | [161] | [162] | [163] | [74] | [164] | [81] | [160] | [160] |
| C | 123 | 124 | 126 | 127 | 128 | 129 |
|---|---|---|---|---|---|---|
| 2 | 167.7 | 168.3 | 171.3 | 170.7 | 167.7 | 169.9 |
| 3 | 108.0 | 108.5 | 105.6 | 105.5 | 108.3 | 108.4 |
| 4 | 182.2 | 182.4 | 184.3 | 183.0 | 182.7 | 182.4 |
| 5 | 158.8 | 157.8 | 160.2 | 158.1 | 159.5 | 159.6 |
| 6 | 110.4 | 111.1 | 112.5 | 112.8 | 107.4 | 105.2 |
| 7 | 162.3 | 163.1 | 163.8 | 161.0 | 162.9 | 163.1 |
| 8 | 93.2 | 90.5 | 94.4 | 93.0 | 92.8 | 92.9 |
| 9 | 156.1 | 156.6 | 157.8 | 156.1 | 156.7 | 156.4 |
| 10 | 103.3 | 104.4 | 106.8 | 105.6 | 103.4 | 103.8 |
| 11 | 19.9 | 19.9 | 61.6 | 60.0 | 18.8 | 60.0 |
| OCH3 | - | 56.5 | - | - | - | - |
| 1′ | 20.5 | 20.5 | 22.1 | 20.5 | 26.4 | 26.4 |
| 2′ | 126.9 | 126.4 | 128.7 | 124.6 | 79.9 | 79.8 |
| 3′ | 131.8 | 132.3 | 132.9 | 134.1 | 143.7 | 143.7 |
| 4′ | 66.1 | 66.1 | 68.4 | 61.0 | 114.2 | 114.2 |
| 5′ | 21.2 | 21.3 | 21.9 | 20.0 | 15.2 | 15.2 |
| 1″ | 101.5 | 101.6 | 102.7 | 100.1 | 99.4 | 99.4 |
| 2″ | 73.6 | 73.6 | 75.3 | 73.2 | 73.6 | 73.6 |
| 3″ | 76.9 | 77.0 | 78.3 | 76.7 | 76.3 | 76.3 |
| 4″ | 70.2 | 70.2 | 71.8 | 67.7 | 70.2 | 70.2 |
| 5″ | 77.0 | 77.0 | 77.9 | 77.0 | 76.7 | 76.7 |
| 6″ | 61.1 | 61.1 | 62.9 | 60.1 | 61.2 | 61.2 |
| Solvent | DMSO-d6 | DMSO-d6 | CD3OD | CD3OD | CD3OD | CD3OD |
| References | [104] | [104] | [106] | [60] | [60] | [60] |
| C | 130 | 131 | 132 | 133 | 134 | 135 | 136 | 137 | 138 | 139 |
|---|---|---|---|---|---|---|---|---|---|---|
| 2 | 170.7 | 167.6 | 170.7 | 168.3 | 171.4 | 168.9 | 165.0 | 171.0 | 171.5 | 171.8 |
| 3 | 105.5 | 107.4 | 104.9 | 108.1 | 105.5 | 113.9 | * | 110.4 | 110.7 | 110.7 |
| 4 | 183.0 | 181.8 | 181.9 | 182.5 | 182.5 | 176.6 | * | 179.3 | 180.4 | 180.6 |
| 5 | 158.8 | 158.8 | 158.9 | 159.5 | 159.5 | 132.6 | * | 106.6 | 119.2 | 126.2 |
| 6 | 111.4 | 97.6 | 97.8 | 98.3 | 98.4 | 111.4 | 99.3 | 150.7 | 126.2 | 126.6 |
| 7 | 162.1 | 159.9 | 160.1 | 160.6 | 160.8 | 158.2 | 162.9 | 153.1 | 122.1 | 135.6 |
| 8 | 93.3 | 107.5 | 107.4 | 108.1 | 108.2 | 103.6 | 94.8 | 106.9 | 147.8 | 119.3 |
| 9 | 156.3 | 153.8 | 153.5 | 154.4 | 154.1 | 163.4 | * | 149.8 | 149.0 | 158.0 |
| 10 | 105.7 | 104.3 | 104.8 | 105.0 | 105.4 | 112.7 | * | 116.2 | 125.0 | 124.3 |
| 11 | 60.0 | 19.5 | 59.3 | 20.2 | 59.5 | 127.9 | 121.6 | 102.2 | 141.4 | 136.2 |
| 1′ | 28.2 | 20.3 | 20.3 | 21.0 | 20.9 | 131.9 | 128.5 | 74.3 | 129.5 | 114.0 |
| 2′ | 74.6 | 120.5 | 120.4 | 121.1 | 121.0 | 115.7 | 115.7 | 78.1 | 129.6 | 150.7 |
| 3′ | 147.9 | 134.9 | 134.9 | 135.6 | 135.7 | 157.1 | 161.5 | 71.5 | 127.4 | 146.4 |
| 4′ | 109.5 | 65.9 | 65.8 | 66.5 | 66.5 | 115.7 | 115.7 | 78.0 | 129.6 | 118.1 |
| 5′ | 16.6 | 13.1 | 13.1 | 13.8 | 13.7 | 131.9 | 128.5 | 62.8 | 129.5 | 122.0 |
| 6′ | - | - | - | - | - | 39.3 | 39.1 | - | 33.8 | 33.6 |
| 7′ | - | - | - | - | - | 86.3 | 37.5 | - | 37.0 | 37.1 |
| 8′ | - | - | - | - | - | 127.9 | 121.6 | 102.2 | 141.4 | 136.2 |
| 1″ | 101.2 | 100.1 | 100.1 | 100.7 | 100.7 | 101.8 | 100.3 | 131.5 | 103.0 | 102.9 |
| 2″ | 73.6 | 72.9 | 72.9 | 73.5 | 73.5 | 74.6 | * | 133.0 | 75.0 | 74.9 |
| 3″ | 76.5 | 76.7 | 76.7 | 76.7 | 76.7 | 78.4 | * | 116.3 | 78.2 | 77.8 |
| 4″ | 69.8 | 69.2 | 69.2 | 69.8 | 69.8 | 71.2 | * | 164.1 | 71.3 | 71.3 |
| 5″ | 77.1 | 76.1 | 76.1 | 77.3 | 77.3 | 78.2 | * | 116.3 | 78.2 | 78.1 |
| 6″ | 61.1 | 60.2 | 60.2 | 60.8 | 60.8 | 62.5 | * | 120.9 | 62.5 | 62.4 |
| 7″ | - | - | - | - | - | - | - | 33.9 | - | - |
| 8″ | - | - | - | - | - | - | - | 37.1 | - | - |
| OCH3 | - | - | - | - | - | - | - | 6-OCH3 56.3 4″-OCH3 55.1 | - | 56.6 |
| Solvent | CD3OD | DMSO-d6 | DMSO-d6 | DMSO-d6 | DMSO-d6 | CD3OD | DMSO-d6 | DMSO-d6 | CD3OD | CD3OD |
| References | [60] | [108] | [108] | [109] | [109] | [110] | [111] | [112] | [113] | [114] |
| C | 140 | 141 | 142 | 143 | 144 | 145 | 146 | 147 | 148 |
|---|---|---|---|---|---|---|---|---|---|
| 2 | 147.2 | 146.9 | 147.3 | 89.9 | 89.0 | 92.9 | 92.1 | 92.3 | 88.2 |
| 3 | 106.1 | 105.0 | 104.9 | 24.3 | 28.3 | 28.1 | 27.9 | 28.0 | 30.1 |
| 4 | 153.7 | 160.5 | 159.2 | 165.5 | 164.5 | 160.3 | 165.3 | 156.3 | 158.5 |
| 5 | 177.2 | 185.9 | 184.7 | 176.9 | 176.4 | 184.7 | 176.6 | 176.6 | 182.9 |
| 6 | 109.7 | 107.8 | 107.2 | 111.9 | 109.8 | 109.5 | 110.9 | 111.4 | 107.2 |
| 7 | 163.7 | 169.0 | 168.7 | 163.3 | 164.0 | 169.7 | 162.7 | 162.6 | 166.7 |
| 9 | 95.8 | 92.0 | 92.0 | 94.8 | 95.2 | 90.4 | 94.0 | 94.2 | 88.8 |
| 10 | 157.8 | 156.1 | 154.5 | 159.9 | 160.1 | 168.3 | 159.7 | 165.4 | 166.6 |
| 11 | 117.0 | 114.3 | 113.4 | 118.7 | 117.2 | 111.3 | 118.1 | 118.5 | 108.7 |
| 12 | 152.8 | 106.9 | 106.3 | 112.3 | 111.4 | 106.6 | 112.5 | 112.8 | 102.9 |
| 13 | 155.6 | 155.7 | 155.2 | 156.4 | 157.7 | 157.9 | 156.1 | 159.9 | 158.6 |
| 14 | 65.7 | 67.8 | 66.3 | 21.4 | 20.7 | 20.8 | 66.4 | 66.8 | 66.1 |
| 4-OCH3 | 61.9 | - | - | - | * | - | 60.8 | 61.0 | - |
| 1′ | 103.0 | 104.4 | 104.4 | 77.3 | 74.3 | 79.7 | 70.8 | 70.8 | 143.7 |
| 2′ | 74.0 | 75.0 | 74.2 | 23.4 | 24.1 | 24.3 | 26.0 | 26.2 | 115.5 |
| 3′ | 77.2 | 77.9 | 77.6 | 22.3 | 23.5 | 23.0 | 25.6 | 25.8 | 15.7 |
| 4′ | 70.6 | 71.6 | 70.9 | - | - | - | - | - | - |
| 5′ | 77.1 | 78.0 | 76.7 | - | - | - | - | - | - |
| 6′ | 61.7 | 68.7 | 69.5 | - | - | - | - | - | - |
| 1″ | - | 111.1 | 103.3 | 98.9 | 100.1 | 99.5 | 104.0 | 104.4 | 102.8 |
| 2″ | - | 77.2 | 74.4 | 75.1 | 74.6 | 75.6 | 74.8 | 75.0 | 73.7 |
| 3″ | - | 80.6 | 77.4 | 78.8 | 78.6 | 78.5 | 78.4 | 78.3 | 76.7 |
| 4″ | - | 74.9 | 70.9 | 71.3 | 71.4 | 72.0 | 71.4 | 71.3 | 70.3 |
| 5″ | - | 65.5 | 77.7 | 77.1 | 78.2 | 76.8 | 78.1 | 75.7 | 76.9 |
| 6″ | - | - | 61.9 | 62.4 | 63.1 | 68.5 | 62.6 | 64.5 | 61.4 |
| 1‴ | - | - | - | - | - | 111.2 | - | 126.5 | - |
| 2‴ | - | - | - | - | - | 78.6 | - | 111.4 | - |
| 3‴ | - | - | - | - | - | 81.0 | - | 149.0 | - |
| 4‴ | - | - | - | - | - | 75.6 | - | 151.2 | - |
| 5‴ | - | - | - | - | - | 66.2 | - | 116.8 | - |
| 6‴ | - | - | - | - | - | - | - | 123.9 | - |
| 7‴ | - | - | - | - | - | - | - | 145.9 | - |
| 8‴ | - | - | - | - | - | - | - | 115.1 | - |
| 9‴ | - | - | - | - | - | - | - | 167.8 | - |
| 3‴-OCH3 | - | - | - | - | - | - | - | 55.9 | - |
| Solvent | DMSO-d6, C6D6 | CD3OD | DMSO-d6 | CDCl3, CD3OD | CDCl3, CD3OD | CD3OD | C5D5N | C5D5N | CD3OD |
| References | [117] | [118] | [109] | [122] | [122] | [119] | [121] | [132] | [60] |
| C | 149 | 150 | 151 | 152 | 153 | 154 | 155 |
|---|---|---|---|---|---|---|---|
| 2 | 167.4 | 169.5 | 162.7 | 167.6 | 167.6 | 170.9 | 168.7 |
| 3 | 108.7 | 108.0 | 111.1 | 107.5 | 107.4 | 105.6 | 108.6 |
| 4 | 182.7 | 184.2 | 175.3 | 181.9 | 181.8 | 182.5 | 182.6 |
| 5 | 160.0 | 160.9 | 160.7 * | 158.6 | 158.5 | 159.2 | 160.3 |
| 6 | 104.1 | 105.0 | 104.9 | 103.1 | 103.1 | 103.8 | 102.5 |
| 7 | 159.6 | 160.4 | 152.7 * | 163.5 | 163.3 | 164.1 | 164.3 |
| 8 | 94.9 | 95.8 | 91.1 | 109.8 | 109.9 | 110.5 | 105.8 |
| 9 | 156.3 | 157.7 | 157.8 | 152.9 | 152.7 | 153.1 | 155.0 |
| 10 | 104.4 | 105.0 | 107.7 | 105.5 | 105.4 | 106.5 | 106.1 |
| 2′ | 78.4 | 79.3 | 76.6 | 69.6 | 69.6 | 70.2 | 74.2 |
| 3′ | 74.3 | 75.0 | 72.4 | 135.2 | 135.0 | 135.8 | 73.5 |
| 4′ | 22.3 | 22.7 | 22.4 | 124.7 | 124.7 | 125.2 | 132.7 |
| 5′ | - | - | - | 20.6 | 20.3 | 20.9 | 117.3 |
| 1″ | 102.4 | 102.0 | 100.4 | 101.2 | 100.9 | 101.9 | 103.9 |
| 2″ | 74.9 | 74.9 | ** | 72.8 | 72.6 | 73.3 | 73.7 |
| 3″ | 78.4 | 78.1 | 76.9 | 76.8 | 76.1 | 76.8 | 76.5 |
| 4″ | 71.8 | 71.9 | 70.2 | 70.1 | 69.4 | 70.1 | 70.9 |
| 5″ | 78.4 | 75.0 | 76.9 | 76.6 | 75.2 | 76.6 | 76.0 |
| 6″ | 63.0 | 68.8 | 61.3 | 60.6 | 67.7 | 61.6 | 68.5 |
| 1‴ | - | 111.0 | - | - | 102.7 | - | 103.4 |
| 2‴ | - | 77.9 | - | - | 72.8 | - | 73.7 |
| 3‴ | - | 80.5 | - | - | 76.1 | - | 76.9 |
| 4‴ | - | 75.0 | - | - | 69.4 | - | 70.0 |
| 5‴ | - | 65.7 | - | - | 75.9 | - | 77.0 |
| 6‴ | - | - | - | - | 60.4 | - | 61.1 |
| 2a | 20.1 | 20.4 | 19.0 | 19.4 | 19.2 | 59.7 | 20.1 |
| 2’a | 22.3 | 22.4 | 21.2 | - | - | - | - |
| 2’b | 25.7 | 26.1 | 25.2 | - | - | - | - |
| 3’a | - | - | - | 69.6 | 69.6 | 70.2 | 73.0 |
| 7-OCH3 | - | - | 56.0 | - | - | - | - |
| Solvent | CDCl3 | CD3OD | DMSO-d6 | DMSO-d6 | DMSO-d6 | DMSO-d6 | DMSO-d6 |
| References | [121] | [119] | [123] | [108] | [108] | [108] | [109] |
| C | 157 | 158 | 159 | 160 | 161 | 162 | 163 | 164 | 165 |
|---|---|---|---|---|---|---|---|---|---|
| Chromone moiety | |||||||||
| 2′ | 92.4 | 92.2 | 92.2 | 92.2 | 92.2 | 92.2 | 92.2 | 92.2 | 92.2 |
| 3′ | 27.9 | 27.8 | 27.8 | 27.8 | 27.8 | 27.8 | 27.8 | 27.8 | 27.8 |
| 4′ | 156.3 | 156.2 | 156.2 | 156.2 | 156.2 | 156.2 | 156.2 | 156.2 | 156.1 |
| 5′ | 176.2 | 176.2 | 176.2 | 176.2 | 176.2 | 176.2 | 176.3 | 176.3 | 176.3 |
| 6′ | 111.5 | 110.9 | 111.1 | 110.9 | 110.9 | 110.8 | 111.1 | 111.2 | 111.1 |
| 7′ | 162.1 | 162.5 | 162.4 | 162.4 | 162.7 | 162.5 | 162.6 | 162.6 | 162.5 |
| 9′ | 94.1 | 94.0 | 94.0 | 94.0 | 94.1 | 94.0 | 94.0 | 94.1 | 94.0 |
| 10′ | 165.4 | 165.2 | 165.2 | 165.2 | 165.2 | 165.2 | 165.2 | 165.2 | 165.2 |
| 11′ | 118.5 | 118.4 | 118.4 | 118.4 | 118.4 | 118.4 | 118.4 | 118.4 | 118.4 |
| 12′ | 112.9 | 112.8 | 112.8 | 112.5 | 112.8 | 112.8 | 112.8 | 112.8 | 112.7 |
| 13′ | 159.9 | 159.8 | 159.8 | 159.7 | 159.8 | 159.7 | 159.8 | 159.9 | 159.8 |
| 14′ | 66.3 | 66.3 | 66.5 | 66.2 | 66.4 | 66.2 | 66.5 | 66.3 | 66.5 |
| 4-OCH3 | 60.9 | 60.9 | 60.9 | 60.8 | 60.9 | 60.9 | 60.9 | 60.9 | 60.8 |
| 1″ | 70.6 | 70.6 | 70.6 | 70.6 | 70.6 | 70.6 | 70.6 | 70.7 | 70.6 |
| 2″ | 26.0 | 26.1 | 26.1 | 26.1 | 26.1 | 26.1 | 26.1 | 26.2 | 26.1 |
| 3″ | 25.6 | 25.7 | 25.7 | 25.6 | 25.7 | 25.7 | 25.6 | 25.6 | 25.7 |
| Glu-1 | 101.7 | 104.1 | 104.2 | 104.1 | 104.1 | 104.0 | 104.2 | 103.9 | 104.3 |
| Glu-2 | 74.5 | 74.9 | 74.8 | 74.8 | 74.9 | 74.9 | 74.9 | 74.8 | 74.9 |
| Glu-3 | 79.1 | 78.3 | 78.1 | 78.4 | 78.4 | 78.4 | 78.4 | 78.2 | 78.1 |
| Glu-4 | 69.3 | 71.2 | 71.4 | 71.4 | 71.5 | 71.3 | 71.5 | 72.0 | 71.9 |
| Glu-5 | 78.4 | 76.9 | 75.4 | 77.1 | 77.1 | 76.7 | 77.0 | 76.8 | 76.7 |
| Glu-6 | 62.4 | 63.5 | 64.2 | 62.7 | 62.7 | 62.8 | 62.6 | 62.9 | 62.7 |
| Triterpene moiety | |||||||||
| 1 | 31.8 | 31.9 | 31.9 | 32.3 | 30.3 | 32.0 | 27.4 | 31.9 | 31.9 |
| 2 | 29.8 | 29.8 | 30.0 | 30.0 | 29.5 | 30.0 | 29.8 | 29.6 | 29.8 |
| 3 | 87.8 | 88.0 | 88.3 | 88.4 | 88.1 | 88.3 | 88.3 | 88.0 | 88.0 |
| 4 | 41.1 | 40.3 | 41.2 | 41.2 | 41.2 | 41.2 | 40.7 | 41.1 | 41.1 |
| 5 | 47.1 | 47.0 | 47.4 | 47.4 | 42.6 | 47.4 | 43.8 | 47.0 | 46.9 |
| 6 | 20.5 | 20.4 | 20.8 | 20.9 | 21.7 | 20.8 | 22.0 | 20.4 | 20.3 |
| 7 | 25.6 | 25.8 | 25.9 | 26.4 | 113.2 | 26.3 | 114.0 | 25.8 | 25.7 |
| 8 | 46.0 | 45.9 | 47.1 | 49.0 | 149.1 | 47.3 | 148.6 | 45.8 | 46.4 |
| 9 | 19.8 | 19.9 | 19.2 | 19.9 | 21.1 | 19.5 | 27.6 | 20.0 | 20.5 |
| 10 | 26.5 | 26.6 | 26.6 | 26.5 | 28.2 | 26.4 | 29.1 | 26.6 | 27.0 |
| 11 | 36.7 | 36.6 | 26.3 | 26.4 | 25.4 | 26.1 | 63.2 | 36.7 | 36.4 |
| 12 | 77.2 | 76.8 | 31.4 | 34.0 | 33.9 | 33.3 | 48.3 | 77.2 | 76.9 |
| 13 | 48.8 | 48.7 | 42.2 | 41.8 | 41.2 | 46.6 | 45.4 | 48.7 | 48.8 |
| 14 | 47.2 | 47.4 | 45.2 | 46.5 | 49.8 | 45.1 | 48.1 | 47.8 | 47.8 |
| 15 | 43.4 | 43.4 | 50.8 | 82.5 | 80.4 | 42.8 | 45.2 | 43.8 | 45.6 |
| 16 | 70.7 | 72.8 | 218.6 | 103.0 | 103.3 | 72.5 | 114.5 | 71.1 | 74.6 |
| 17 | 55.7 | 55.6 | 60.4 | 60.5 | 60.3 | 51.4 | 61.0 | 56.8 | 52.4 |
| 18 | 13.5 | 13.5 | 18.8 | 20.3 | 22.5 | 20.5 | 20.7 | 13.5 | 12.9 |
| 19 | 29.9 | 30.7 | 30.0 | 30.7 | 28.2 | 30.1 | 18.7 | 29.8 | 30.0 |
| 20 | 26.9 | 25.4 | 29.1 | 27.6 | 27.5 | 34.2 | 23.7 | 26.0 | 24.6 |
| 21 | 21.1 | 20.8 | 19.9 | 21.4 | 21.6 | 17.3 | 19.6 | 21.1 | 25.7 |
| 22 | 41.5 | 38.6 | 40.3 | 33.6 | 33.6 | 86.2 | 37.8 | 41.9 | 106.0 |
| 23 | 104.2 | 102.9 | 173.4 | 74.2 | 74.4 | 109.6 | 71.7 | 101.9 | 152.9 |
| 24 | 83.1 | 212.4 | - | 80.5 | 80.4 | 77.3 | 88.5 | 77.7 | 75.9 |
| 25 | 79.1 | 35.0 | - | 76.4 | 76.5 | 83.5 | 76.4 | 81.3 | 78.2 |
| 26 | 19.4 | 19.2 | - | 21.6 | 21.6 | 27.3 | 23.2 | 23.7 | 22.3 |
| 27 | 29.8 | 19.7 | - | 24.1 | 24.1 | 24.5 | 20.2 | 24.9 | 23.1 |
| 28 | 19.4 | 19.4 | 19.6 | 11.8 | 18.2 | 19.4 | 27.4 | 19.5 | 20.7 |
| 29 | 25.6 | 25.6 | 25.6 | 25.5 | 25.6 | 25.6 | 25.8 | 25.6 | 25.6 |
| 30 | 15.2 | 15.2 | 15.2 | 15.5 | 14.2 | 15.3 | 14.5 | 15.2 | 15.2 |
| Xyl-1 | 107.4 | 107.5 | 107.5 | 107.4 | 107.4 | 107.4 | 107.4 | 107.5 | 107.5 |
| Xyl-2 | 75.5 | 75.5 | 75.5 | 75.5 | 75.5 | 75.5 | 75.5 | 75.5 | 75.5 |
| Xyl-3 | 78.5 | 78.6 | 78.5 | 78.5 | 78.5 | 78.5 | 78.5 | 78.5 | 78.5 |
| Xyl-4 | 71.1 | 71.0 | 71.1 | 71.1 | 71.2 | 71.1 | 71.1 | 71.2 | 71.1 |
| Xyl-5 | 67.0 | 67.0 | 67.1 | 67.0 | 67.0 | 67.0 | 67.0 | 67.0 | 67.0 |
| COCH3 | 170.4 21.5 | 170.4 21.5 | - | 171.0 21.1 | 171.0 21.1 | - | - | 170.5 21.6 | 170.6 21.1 |
| Solvent | C5D5N | C5D5N | C5D5N | C5D5N | C5D5N | C5D5N | C5D5N | C5D5N | C5D5N |
| References | [130] | [130] | [130] | [130] | [130] | [130] | [130] | [136] | [136] |
| C | 166 | 167 |
|---|---|---|
| 1 | 98.1 | 98.1 |
| 3 | 154.5 | 154.5 |
| 4 | 105.6 | 105.6 |
| 5 | 28.7 | 28.6 |
| 6 | 30.0 | 29.9 |
| 7 | 75.1 | 75.0 |
| 8 | 133.3 | 133.3 |
| 9 | 43.9 | 43.8 |
| 10 | 121.1 | 121.1 |
| 11 | 168.6 | 168.5 a |
| 1′ | 99.8 | 99.7 |
| 2′ | 74.8 | 74.7 b |
| 3′ | 77.9 | 77.8 c |
| 4′ | 71.6 | 71.2 d |
| 5′ | 78.5 | 78.4 e |
| 6′ | 62.7 | 62.4 f |
| 2″ | 167.5 | 168.1 a |
| 3″ | 118.2 | 118.6 |
| 4″ | 181.6 | 181.8 |
| 5″ | 163.5 | 163.1 |
| 6″ | 100.2 | 101.1 |
| 7″ | 166.2 | 164.9 |
| 8″ | 94.7 | 95.7 |
| 9″ | 159.2 | 158.7 |
| 10″ | 104.9 | 106.6 |
| -CH3 | 18.9 | 19.0 |
| 1‴ | - | 101.6 |
| 2‴ | - | 74.8 b |
| 3‴ | - | 77.9 c |
| 4‴ | - | 71.6 d |
| 5‴ | - | 78.5 e |
| 6‴ | - | 62.7 f |
| NMR | CD3OD | CD3OD |
| References | [43] | [43] |
| C | 168 | 169 | 170 | 171 | 172 | 178 | 179 | 180 |
|---|---|---|---|---|---|---|---|---|
| 2 | 163.7 | 159.3 | 168.0 | 159.6 | 167.5 | 170.2 | 166.3 | 166.3 |
| 3 | 108.7 | 108.8 | 109.7 | 109.9 | 110.0 | 110.8 | 110.0 | 110.0 |
| 4 | 179.2 | 179.5 | 178.9 | 178.8 | 179.0 | 179.0 | 178.7 | 178.8 |
| 4a | 125.8 | 126.2 | 125.9 * | 126.4 | 125.9 * | 125.8 * | 125.8 * | 126.5 |
| 5 | 149.6 | 149.6 | 149.9 | 150.0 | 149.8 | 150.1 | 149.7 | 149.9 |
| 6 | 125.4 | 125.4 | 125.8 | 125.9 | 125.9 * | 125.8 * | 125.9 | 126.0 |
| 6a | 137.0 | 137.2 | 137.0 | 137.0 | 137.4 | 137.2 | 137.3 | 136.3 |
| 7 | 183.0 | 183.3 | 183.2 | 183.5 | 183.3 | 183.1 | 183.1 | 181.5 |
| 7a | 125.8 | 127.3 | 126.3 * | 126.5 | 126.4 * | 126.1 * | 126.2 * | 130.7 |
| 8 | 140.0 | 140.6 | 139.7 | 140.0 | 140.1 | 139.9 | 140.2 | 119.3 |
| 9 | 133.0 | 132.6 | 132.9 | 132.2 | 133.1 | 133.3 | 133.1 | 133.2 |
| 10 | 138.4 | 138.5 | 137.8 | 137.0 | 138.5 | 138.6 | 138.6 | 140.7 |
| 11 | 159.7 | 163.9 | 159.7 | 167.6 | 159.9 | 159.9 | 159.8 | 159.5 |
| 11a | 116.0 | 115.8 | 116.1 | 116.0 | 116.2 | 116.0 | 116.1 | 116.1 |
| 12 | 188.1 | 188.0 | 187.9 | 187.7 | 188.1 | 188.3 | 188.0 | 187.7 |
| 12a | 118.9 | 118.9 | 119.1 | 119.1 | 119.2 | 118.9 | 119.2 | 119.8 |
| 12b | 155.7 | 155.8 | 156.0 | 156.0 | 156.2 | 155.8 | 156.1 | 156.2 |
| 13 | 24.0 | 24.1 | 24.3 | 24.2 | 24.1 | 24.2 | 24.1 | 24.1 |
| 14 | 127.2 | 125.9 | 57.6 | 60.3 | 59.1 | 75.6 | 57.7 | 57.7 |
| 15 | 12.1 | 15.0 | 13.8 | 14.9 | 14.5 | 23.5 | 14.5 | 14.4 |
| 16 | 134.2 | 134.2 | 62.0 | 61.7 | 61.6 | 71.7 * | 63.9 | 63.9 |
| 17 | 14.9 | 12.1 | 14.1 | 123.3 | 123.3 | 127.4 | 55.4 | 55.4 |
| 18 | - | - | - | 134.1 | 134.0 | 130.2 | 51.8 | 51.8 |
| 19 | - | - | - | 14.4 | 13.8 | 13.5 | 17.2 | 17.2 |
| 2′ | 77.3 | 77.7 | 77.2 | 77.6 | 77.3 | 77.2 | 77.3 | 67.9 |
| 3′ | 71.9 | 71.8 | 71.3 | 70.6 | 71.9 | 71.7 * | 71.9 | 71.0 |
| 4′ | 67.4 | 67.5 | 67.8 | 68.1 | 67.4 | 67.3 * | 67.4 | 57.7 |
| 5′ | 28.3 | 41.0 | 28.8 | 38.8 | 28.4 | 28.4 | 28.3 | 35.0 |
| 6′ | 75.2 | 75.4 | 74.8 | 74.0 | 75.2 | 75.0 | 75.2 | 68.2 |
| 7′ | 18.9 | 18.9 | 18.8 | 18.5 | 18.9 | 18.9 | 18.9 | 17.5 |
| 8′ | - | - | - | - | - | - | - | 13.2 |
| 4′-N(CH3)2 | 40.4 | 40.5 | 40.3 | 40.4 | 40.4 | 40.3 | 40.4 | 37.1 |
| 2″ | 67.2 | 69.8 | 67.5 | 69.8 | 67.2 | 67.4 * | 67.3 | - |
| 3″ | 70.8 | 76.4 | 70.3 | 74.5 | 70.9 | 70.7 | 70.9 | - |
| 4″ | 57.4 | 57.6 | 57.6 | 59.1 | 57.3 | 57.9 | 57.3 | - |
| 5″ | 33.6 | 28.6 | 33.3 | 30.4 | 33.6 | 33.3 | 33.7 | - |
| 6″ | 69.5 | 64.9 | 69.4 | 65.7 | 69.7 | 69.6 | 69.6 | - |
| 7″ | 17.6 | 15.0 | 17.4 | 15.1 | 17.7 | 17.6 | 17.6 | - |
| 8″ | 12.3 | 13.7 | 13.1 | 13.9 | 12.3 | 12.6 | 12.3 | - |
| 3″-COCH3 | - | 170.6 21.3 | - | 171.0 21.5 | - | - | - | - |
| 4″-N(CH3)2 | 36.8 | 39.3 | 36.9 | 38.8 | 36.8 | 36.8 | 36.8 | - |
| Solvent | CDCl3 | CDCl3 | CDCl3 | CDCl3 | CDCl3 | CDCl3 | CDCl3 | CDCl3 |
| References | [165] | [140] | [141] | [140] | [142] | [143] | [165] | [146] |
| C | 181 | 182 | 183 |
|---|---|---|---|
| 2 | 168.4 | 176.4 | 176.5 |
| 3 | 112.0 | 111.1 | 111.3 |
| 4 | 180.3 | 181.3 | 178.4 |
| 4a | 126.1 | 126.0 | 124.7 |
| 5 | 150.4 | 150.4 | 149.6 |
| 6 | 121.3 | 121.0 | 121.2 |
| 6a | 138.3 | 138.1 | 139.0 |
| 7 | 182.7 | 182.7 | 182.4 |
| 7a | 133.2 | 133.2 | 133.2 |
| 8 | 120.1 | 120.0 | 119.8 |
| 9 | 135.4 | 135.5 | 135.6 |
| 10 | 137.4 | 137.4 | 137.0 |
| 11 | 161.1 | 161.0 | 161.3 |
| 11a | 118.1 | 118.0 | 118.0 |
| 12 | 189.1 | 189.2 | 189.2 |
| 12a | 122.0 | 121.9 | 121.6 |
| 12b | 157.7 | 157.4 | 156.9 |
| 13 | 70.8 | 70.8 | 175.3 |
| 14 | 61.2 | 77.7 | 77.7 |
| 15 | 63.7 | 72.6 | 72.6 |
| 16 | 20.2 | 23.9 | 23.9 |
| 17 | 13.7 | 17.0 | 17.1 |
| 1′ | 98.9 | 98.9 | - |
| 2′ | 37.2 | 37.2 | - |
| 3′ | 58.3 | 58.4 | - |
| 4′ | 71.2 | 71.1 | - |
| 5′ | 70.4 | 70.4 | - |
| 6′ | 17.2 | 17.2 | - |
| 7′ | 24.6 | 24.5 | - |
| 1″ | 70.2 | 70.1 | 70.3 |
| 2″ | 28.0 | 27.7 | 27.4 |
| 3″ | 65.2 | 65.1 | 64.9 |
| 4″ | 75.1 | 75.0 | 75.2 |
| 5″ | 72.6 | 72.6 | 72.3 |
| 6″ | 18.1 | 18.2 | 18.3 |
| 3″-N(CH3)2 | 43.2 41.7 | 43.3 41.4 | 42.5 42.5 |
| 1‴ | 101.4 | 101.4 | 101.4 |
| 2‴ | 33.4 | 33.4 | 33.4 |
| 3‴ | 66.6 | 66.6 | 66.6 |
| 4‴ | 72.0 | 72.0 | 72.0 |
| 5‴ | 69.5 | 69.5 | 69.5 |
| 6‴ | 17.5 | 17.5 | 17.5 |
| Solvent | CD3OD | CD3OD | CD3OD |
| References | [147] | [147] | [147] |
| C | 184 | 185 | 186 | 187 | 188 | 189 | 190 | 191 | 192 |
|---|---|---|---|---|---|---|---|---|---|
| 2 | 167.5 | 167.4 | 167.0 | 167.0 | 165.7 | 165.7 | 167.5 | 169.3 | 169.3 |
| 3 | 111.1 | 110.9 | 110.9 | 110.8 | 111.3 | 111.3 | 111.1 | 109.1 | 109.1 |
| 4 | 180.2 | 180.0 | 179.4 | 179.4 | 178.5 | 178.6 | 180.2 | 182.4 | 182.5 |
| 4a | 126.6 | 126.4 | 126.5 | 126.4 | 126.3 | 126.3 | 126.6 | 113.3 | 113.3 |
| 5 | 149.2 | 149.1 | 149.4 | 149.2 | 148.2 | 148.2 | 149.3 | 166.7 | 166.7 |
| 6 | 122.5 | 122.4 | 122.9 | 122.8 | 124.1 | 124.0 | 122.5 | 110.7 | 110.7 |
| 6a | 137.2 | 137.1 | 137.0 | 136.9 | 136.9 | 136.9 | 137.2 | 139.8 | 139.9 |
| 7 | 181.2 | 181.0 | 181.2 | 181.2 | 181.5 | 181.4 | 181.2 | 180.8 | 180.8 |
| 7a | 130.3 | 130.2 | 130.4 | 130.3 | 130.5 | 130.5 | 130.5 | 130.6 | 130.4 |
| 8 | 119.8 | 119.7 | 119.7 | 119.7 | 119.5 | 119.5 | 119.8 | 119.4 | 119.5 |
| 9 | 133.6 | 133.7 | 133.4 | 133.6 | 133.3 | 133.5 | 133.7 | 132.4 | 132.8 |
| 10 | 141.3 | 141.1 | 141.0 | 140.9 | 141.0 | 140.9 | 140.7 | 140.2 | 140.9 |
| 11 | 159.1 | 159.2 | 159.3 | 158.9 | 159.3 | 159.3 | 159.4 | 159.1 | 159.1 |
| 11a | 115.8 | 115.6 | 115.9 | 115.7 | 115.9 | 115.9 | 115.9 | 115.6 | 115.4 |
| 12 | 186.9 | 186.9 | 187.1 | 186.9 | 187.5 | 187.4 | 186.9 | 186.2 | 186.3 |
| 12a | 121.8 | 121.6 | 121.6 | 121.6 | 120.8 | 120.8 | 121.8 | 112.3 | 112.4 |
| 12b | 156.8 | 156.7 | 156.6 | 156.5 | 156.1 | 156.1 | 156.8 | 156.6 | 156.6 |
| 13 | 80.9 | 80.0 | 79.0 | 78.9 | 48.3 | 48.2 | 80.9 | - | - |
| 14 | 59.8 | 59.7 | 59.8 | 59.7 | 59.8 | 59.7 | 59.8 | 60.0 | 60.0 |
| 15 | 19.7 | 19.6 | 19.8 | 19.7 | 20.0 | 19.9 | 19.6 | 19.6 | 19.7 |
| 16 | 62.7 | 62.5 | 62.5 | 62.5 | 62.5 | 62.5 | 62.7 | 62.7 | 62.7 |
| 17 | 13.4 | 13.3 | 13.4 | 13.3 | 13.5 | 13.4 | 13.3 | 13.2 | 13.2 |
| 18 | 170.5 | 170.4 | 170.9 | 170.9 | 170.4 | 170.4 | 170.5 | - | - |
| 19 | 52.6 | 52.5 | 52.4 | 52.3 | 52.3 | 52.3 | 52.6 | - | - |
| 2′ | 73.8 | 73.8 | 74.9 | 74.9 | 74.3 | 74.2 | 73.8 | - | - |
| 3′ | 68.9 | 68.9 | 68.5 | 68.2 | 68.8 | 68.8 | 69.0 | - | - |
| 4′ | 80.2 | 80.1 | 74.8 | 74.9 | 81.5 | 81.4 | 80.2 | - | - |
| 5′ | 67.9 | 67.9 | 26.1 | 26.0 | 68.0 | 67.9 | 68.0 | - | - |
| 6′ | 73.7 | 73.6 | 70.3 | 70.2 | 73.9 | 74.0 | 73.7 | - | - |
| 7′ | 14.1 | 14.0 | 14.7 | 14.7 | 14.7 | 14.6 | 14.0 | - | - |
| 4′-OCH3 | 57.9 | 57.8 | 55.6 | 55.5 | 57.1 | 57.1 | 58.0 | - | - |
| 2″ | 70.3 | 70.7 | 70.2 | 70.8 | 70.3 | 70.8 | 70.0 | 70.0 | 70.7 |
| 3″ | 77.7 | 82.6 | 77.8 | 82.7 | 77.8 | 82.8 | 76.0 | 77.3 | 82.8 |
| 4″ | 54.9 | 58.1 | 55.1 | 58.1 | 54.9 | 58.1 | 51.7 | 56.1 | 58.1 |
| 5″ | 40.3 | 44.7 | 40.4 | 44.7 | 40.4 | 44.8 | 44.9 | 38.5 | 44.8 |
| 6″ | 62.1 | 62.2 | 62.3 | 62.2 | 62.2 | 62.3 | 62.3 | 63.6 | 62.3 |
| 7″ | 14.7 | 13.5 | 14.8 | 13.5 | 14.7 | 13.6 | 14.1 | 15.4 | 13.6 |
| 8″ | 24.1 | 14.0 | 23.8 | 13.9 | 24.2 | 14.1 | 32.6 | 22.6 | 14.0 |
| 4″-N(CH3)n | 27.9 | 40.3 | 27.8 | 40.3 | 28.1 | 40.4 | - | 27.2 | 40.3 |
| 1‴ | 93.4 | 94.4 | 93.7 | 94.5 | 93.4 | 94.5 | 93.3 | 94.5 | 94.5 |
| 2‴ | 30.8 | 31.1 | 30.9 | 31.1 | 30.9 | 31.1 | 30.8 | 31.1 | 31.1 |
| 3‴ | 74.8 | 74.9 | 74.8 | 74.9 | 74.9 | 75.0 | 74.8 | 75.0 | 75.0 |
| 4‴ | 72.1 | 72.1 | 72.1 | 72.0 | 72.2 | 72.2 | 72.2 | 71.5 | 72.2 |
| 5‴ | 65.4 | 65.0 | 65.7 | 65.0 | 65.4 | 65.1 | 65.4 | 66.6 | 65.0 |
| 6‴ | 17.7 | 17.6 | 17.7 | 17.6 | 17.8 | 17.7 | 17.8 | 17.5 | 17.7 |
| 3‴-OCH3 | 55.9 | 56.1 | 56.1 | 56.1 | 55.9 | 56.2 | 56.0 | 56.4 | 56.1 |
| Solvent | CDCl3 | CDCl3 | CDCl3 | CDCl3 | CDCl3 | CDCl3 | CDCl3 | CDCl3 | CDCl3 |
| References | [149] | [149] | [149] | [149] | [137] | [137] | [137] | [137] | [137] |
Publisher’s Note: MDPI stays neutral with regard to jurisdictional claims in published maps and institutional affiliations. |
© 2021 by the authors. Licensee MDPI, Basel, Switzerland. This article is an open access article distributed under the terms and conditions of the Creative Commons Attribution (CC BY) license (https://creativecommons.org/licenses/by/4.0/).
Share and Cite
Amen, Y.; Elsbaey, M.; Othman, A.; Sallam, M.; Shimizu, K. Naturally Occurring Chromone Glycosides: Sources, Bioactivities, and Spectroscopic Features. Molecules 2021, 26, 7646. https://doi.org/10.3390/molecules26247646
Amen Y, Elsbaey M, Othman A, Sallam M, Shimizu K. Naturally Occurring Chromone Glycosides: Sources, Bioactivities, and Spectroscopic Features. Molecules. 2021; 26(24):7646. https://doi.org/10.3390/molecules26247646
Chicago/Turabian StyleAmen, Yhiya, Marwa Elsbaey, Ahmed Othman, Mahmoud Sallam, and Kuniyoshi Shimizu. 2021. "Naturally Occurring Chromone Glycosides: Sources, Bioactivities, and Spectroscopic Features" Molecules 26, no. 24: 7646. https://doi.org/10.3390/molecules26247646
APA StyleAmen, Y., Elsbaey, M., Othman, A., Sallam, M., & Shimizu, K. (2021). Naturally Occurring Chromone Glycosides: Sources, Bioactivities, and Spectroscopic Features. Molecules, 26(24), 7646. https://doi.org/10.3390/molecules26247646

