Targeting Toxins toward Tumors
Abstract
1. Introduction
2. Prodrugs
2.1. Targeting by Selective Cleavage of Prodrugs in the Microenvironment of Cancer Cells
2.1.1. Prodrugs Cleaved in Acidic Media
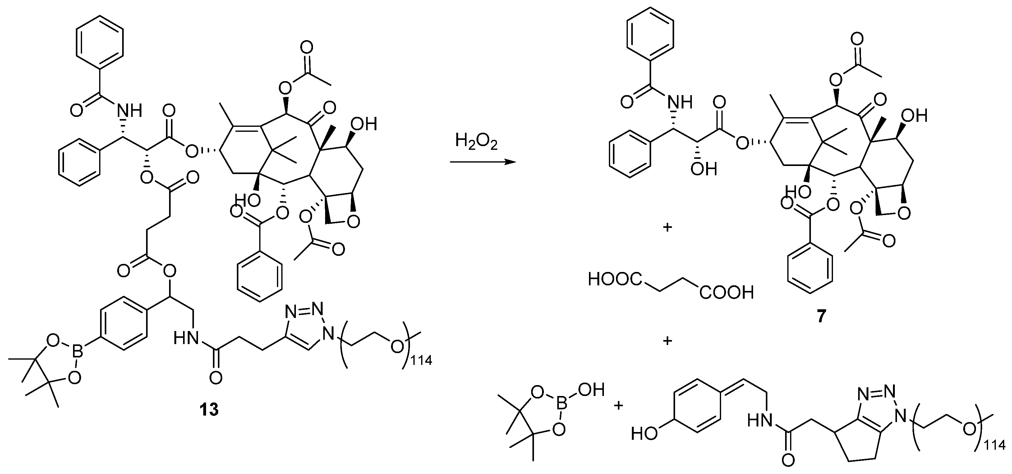
2.1.2. Prodrugs Cleaved by ROS
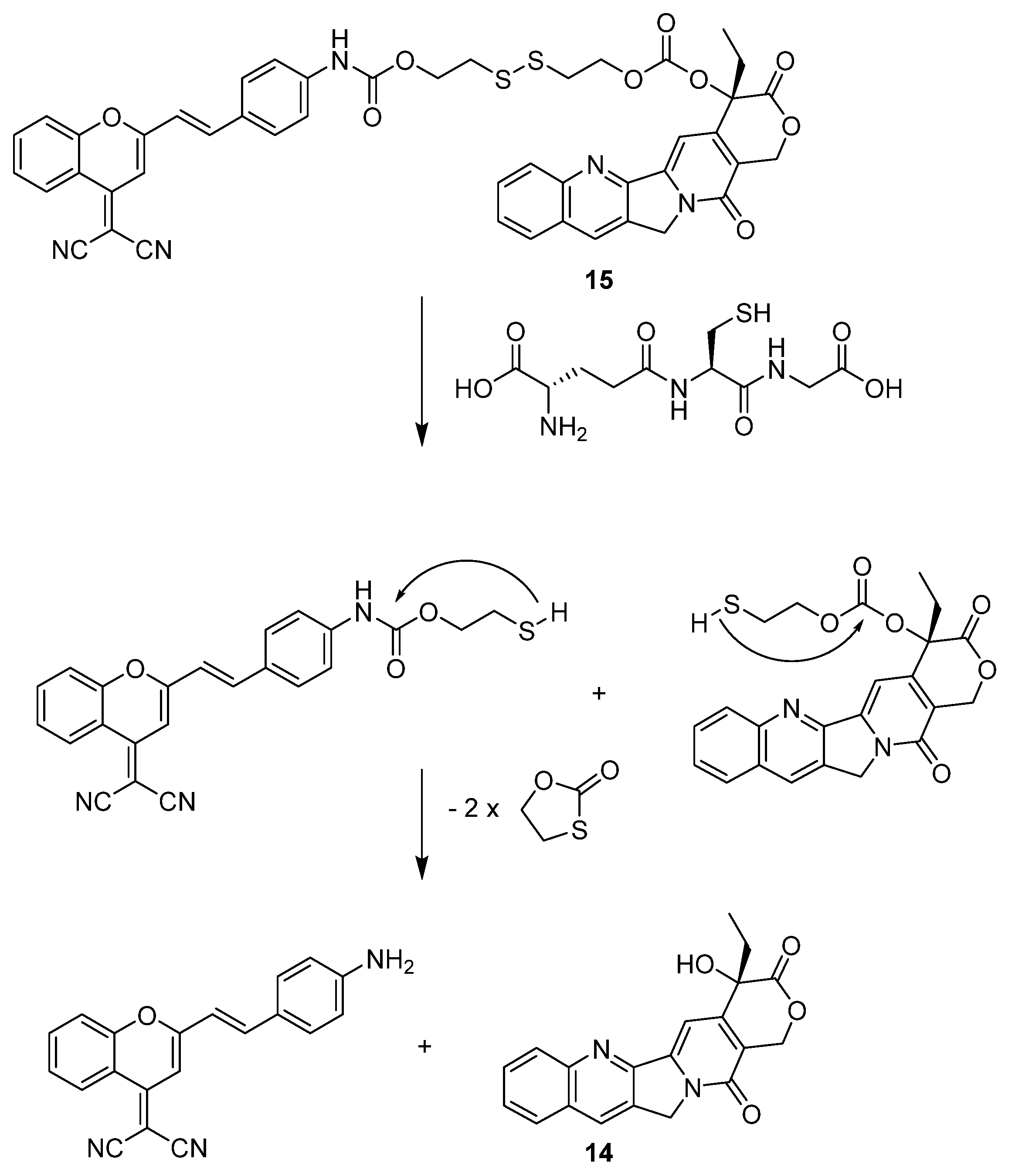
2.1.3. Prodrugs Cleaved by Glutathione
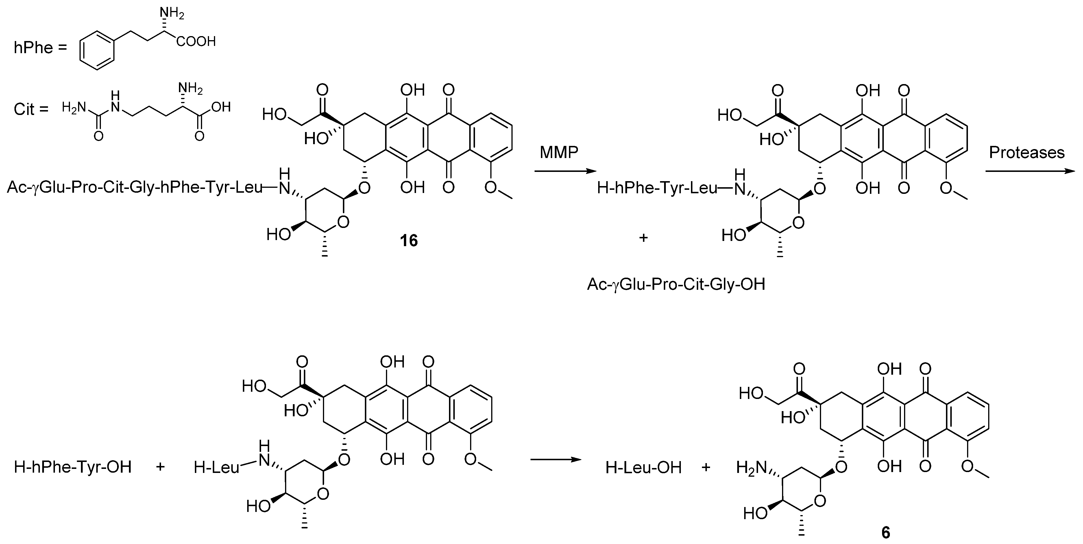
2.1.4. Prodrugs Cleaved by Expressed Enzymes
2.1.5. Prodrugs Cleaved by β-glucuronidase
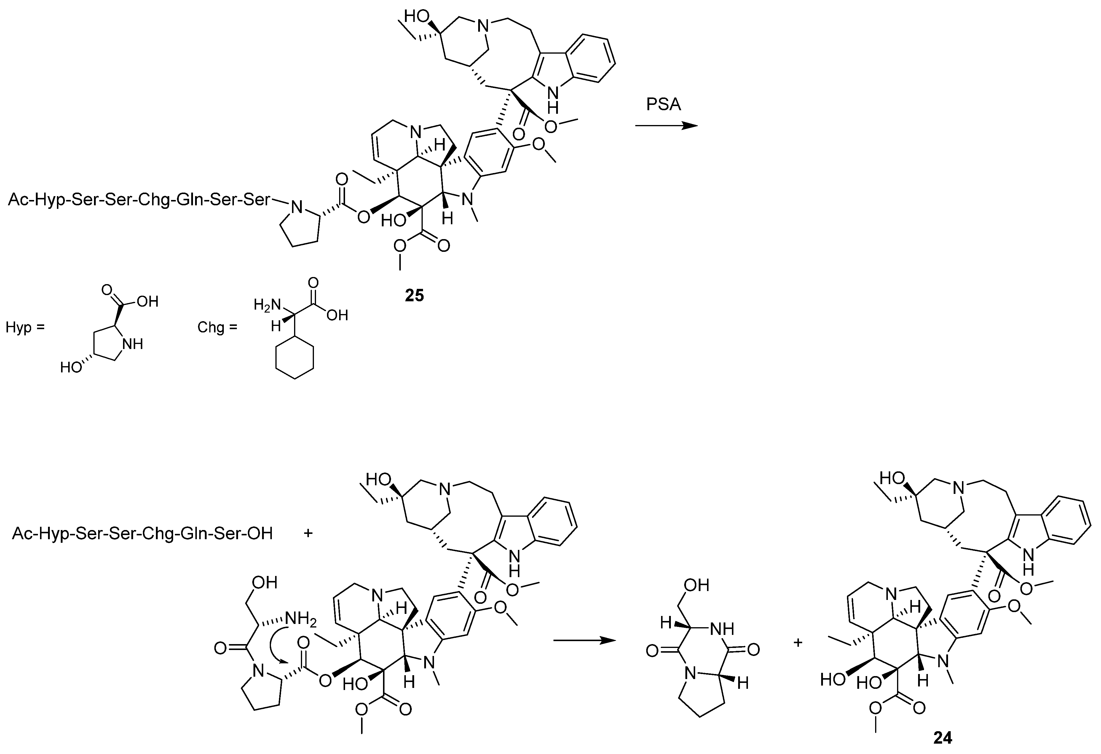
2.1.6. Prodrugs Cleaved by PSA or PSMA
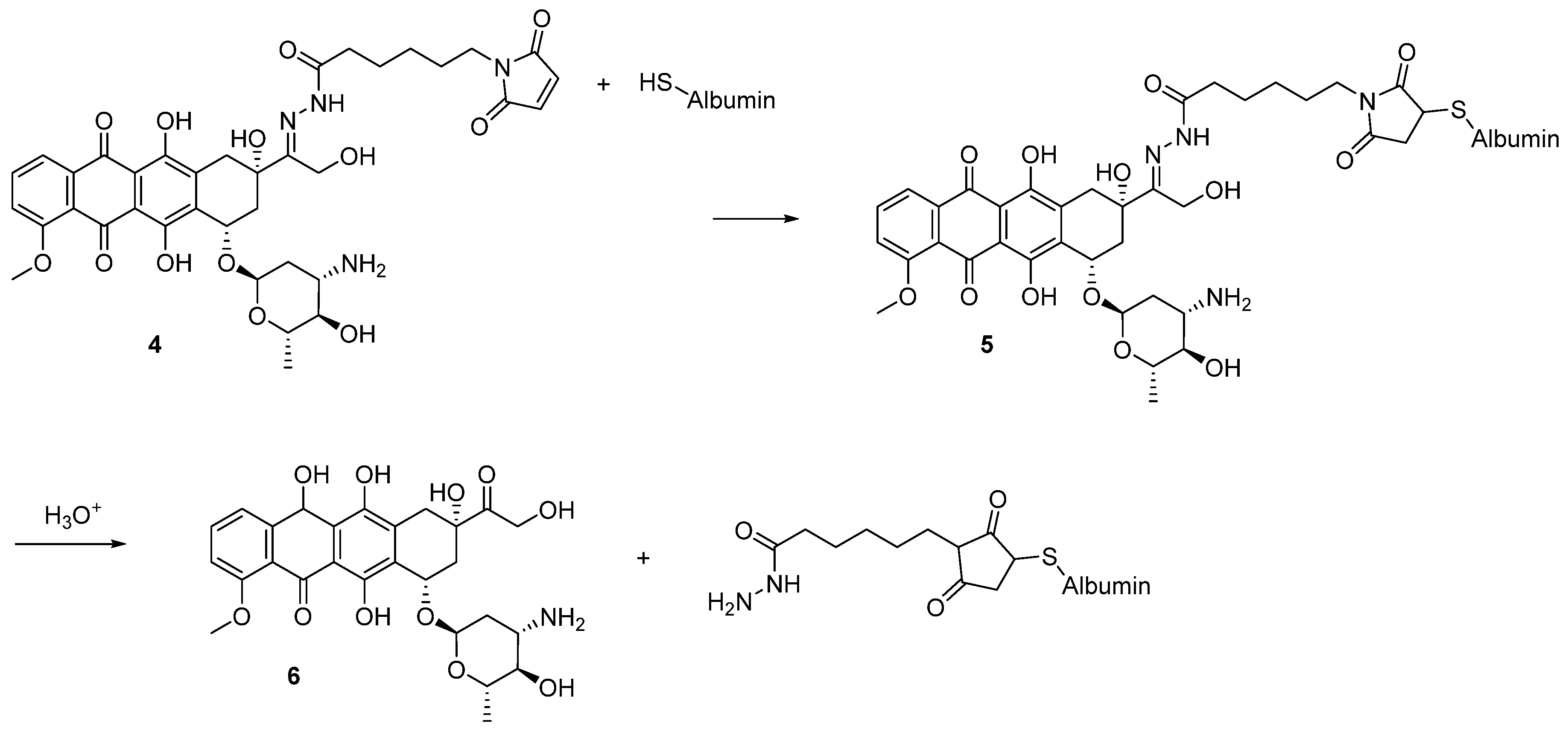
2.2. Antibody–Drug Conjugates (ADCs)
2.3. Antibody-Directed Enzyme Prodrug Therapy
2.4. Gene-Directed Enzyme Prodrug Therapy (GEPDT)
2.5. Lectin-Directed Enzyme-Activated Prodrug Therapy (LEAPT)
3. Protease-Targeting Chimeras (PROTAC)
4. Conclusions
Author Contributions
Funding
Institutional Review Board Statement
Informed Consent Statement
Data Availability Statement
Conflicts of Interest
References
- Mishra, A.P.; Chandra, S.; Tiwari, R.; Srivastava, A.; Tiwari, G. Therapeutic potential of prodrugs towards targeted drug delivery. Open Med. Chem. J. 2018, 12, 111–123. [Google Scholar] [CrossRef]
- Elsharif, N.A. Review: Prodrug concept in drug design. Res. Rev. J. Pharm. Sci. 2018, 9, 22–28. [Google Scholar]
- Zawilska, J.B.; Wojcieszak, J.; Olejniczak, A.B. Prodrugs: A challenge for the drug development. Pharm. Rep. 2013, 65, 1–14. [Google Scholar] [CrossRef]
- McKeage, K.; Scott, L.J. Atovaquone/proguanil: A review of its use for the prophylaxis of Plasmodium falciparum malaria. Drugs 2003, 63, 597–623. [Google Scholar] [CrossRef]
- Oketch-Rabah, H.A.; Marles, R.J.; Jordan, S.A.; Low Dog, T. United States pharmacopeia safety review of willow bark. Planta Med. 2019, 85, 1192–1202. [Google Scholar] [CrossRef]
- Das, N.; Dhanawat, M.; Dash, B.; Nagarwal, R.C.; Shrivastava, S.K. Codrug: An efficient approach for drug optimization. Eur. J. Pharm. Sci. 2010, 41, 571–588. [Google Scholar] [CrossRef] [PubMed]
- Greenstein, R.J.; Su, L.; Shahidi, A.; Brown, S.T. On the action of 5-amino-salicylic acid and sulfapyridine on M. avium including subspecies paratuberculosis. PLoS ONE 2007, 2, e516. [Google Scholar]
- Zhang, X.; Li, X.; You, Q.; Zhang, X. Prodrug strategy for cancer cell-specific targeting: A recent overview. Eur. J. Med. Chem. 2017, 139, 542–563. [Google Scholar] [CrossRef] [PubMed]
- Bondeson, D.P.; Mares, A.; Smith, I.E.D.; Ko, E.; Campos, S.; Miah, A.H.; Mulholland, K.E.; Routly, N.; Buckley, D.L.; Gustafson, J.L.; et al. Catalytic in vivo protein knockdown by small-molecule PROTACs. Nat. Chem. Biol. 2015, 11, 611–617. [Google Scholar] [CrossRef] [PubMed]
- Paiva, S.-L.; Crews, C.M. Targeted protein degradation: Elements of PROTAC design. Curr. Opin. Chem. Biol. 2019, 50, 111–119. [Google Scholar] [CrossRef]
- Weber, C.E.; Kuo, P.C. The tumor microenvironment. Surg. Oncol. 2012, 21, 172–177. [Google Scholar] [CrossRef] [PubMed]
- Corbet, C.; Feron, O. Tumour acidosis: From the passenger to the driver’s seat. Nat. Rev. Cancer 2017, 17, 577–593. [Google Scholar] [CrossRef] [PubMed]
- Mu, J.; Zhong, H.; Zou, H.; Liu, T.; Yu, N.; Zhang, X.; Xu, Z.; Chen, Z.; Guo, S. Acid-sensitive PEGylated paclitaxel prodrug nanoparticles for cancer therapy: Effect of PEG length on antitumor efficacy. J. Control. Release 2020, 326, 265–275. [Google Scholar] [CrossRef] [PubMed]
- Souza, C.; Pellosi, D.S.; Tedesco, A.C. Prodrugs for targeted cancer therapy. Expert Rev. Anticancer 2019, 19, 483–502. [Google Scholar] [CrossRef] [PubMed]
- Maslah, H.; Skarbek, C.; Pethe, S.; Labruere, R. Anticancer boron-containing prodrugs responsive to oxidative stress from the tumor microenvironment. Eur. J. Med. Chem. 2020, 207, 112670. [Google Scholar] [CrossRef] [PubMed]
- Wu, X.; Sun, X.; Guo, Z.; Tang, J.; Shen, Y.; James, T.D.; Tian, H.; Zhu, W. In Vivo and In Situ tracking cancer chemotherapy by highly photostable NIR fluorescent theranostic prodrug. J. Am. Chem. Soc. 2014, 136, 3579–3588. [Google Scholar] [CrossRef]
- De Graaf, M.; Boven, E.; Scheeren, H.W.; Haisma, H.J.; Pinedo, H.M. Beta-glucuronidase-mediated drug release. Curr. Pharm. Des. 2002, 8, 1391–1403. [Google Scholar] [CrossRef]
- Denmeade, S.R.; Lou, W.; Lovgren, J.; Malm, J.; Lilja, H.; Isaacs, J.T. Specific and efficient peptide substrates for assaying the proteolytic activity of prostate-specific antigen. Cancer Res. 1997, 57, 4924–4930. [Google Scholar] [PubMed]
- Brady, S.F.; Pawluczyk, J.M.; Lumma, P.K.; Feng, D.M.; Wai, J.M.; Jones, R.; Feo-Jones, D.; Wong, B.K.; Miller-Stein, C.; Lin, J.H.; et al. Design and synthesis of a pro-drug of vinblastine targeted at treatment of prostate cancer with enhanced efficacy and reduced systemic toxicity. J. Med. Chem. 2002, 45, 4706–4715. [Google Scholar] [CrossRef]
- Akinboye, E.S.; Rosen, M.D.; Denmeade, S.R.; Kwabi-Addo, B.; Bakare, O. Design, synthesis, and evaluation of pH-dependent hydrolyzable emetine analogues as treatment for prostate cancer. J. Med. Chem. 2012, 55, 7450–7459. [Google Scholar] [CrossRef]
- Kratz, F. Doxo-emch (INNO-206): The first albumin-binding prodrug of doxorubicin to enter clinical trials. Expert Opin. Investig. Drugs 2007, 16, 855–866. [Google Scholar] [CrossRef] [PubMed]
- Cranmer, L.D. Spotlight on aldoxorubicin (INNO-206) and its potential in the treatment of soft tissue sarcomas: Evidence to date. OncoTargets Ther. 2019, 12, 2047–2062. [Google Scholar] [CrossRef] [PubMed]
- O’Brien, M.E.R.; Wigler, N.; Inbar, M.; Rosso, R.; Grischke, E.; Santoro, A.; Catane, R.; Kieback, D.G.; Tomczak, P.; Ackland, S.P.; et al. Reduced cardiotoxicity and comparable efficacy in a phase III trial of pegylated liposomal doxorubicin HCl (CAELYX/Doxil) versus conventional doxorubicin for first-line treatment of metastatic breast cancer. Ann. Oncol. 2004, 15, 440–449. [Google Scholar] [CrossRef]
- Gelderblom, H.; Verwij, J.; Nooter, K.; Sparreboom, A. Cremophor EL: The drawbacks and advantages of vehicle selection for drug formulation. Eur. J. Cancer 2001, 37, 1590–1598. [Google Scholar] [CrossRef]
- Miele, E.; Spinelli, G.P.; Miele, E.; Tomao, F.; Tomao, S. Albumin-bound formulation of paclitaxel (Abraxane® ABI-007) in the treatment of breast cancer. Int. J. Nanomed. 2009, 4, 99–105. [Google Scholar]
- Gu, Y.; Zhong, Y.; Meng, F.; Cheng, R.; Deng, C.; Zhong, Z. Acetal-linked paclitaxel prodrug micellar nanoparticles as a versatile and potent platform for cancer therapy. Biomacromolecules 2013, 14, 2772–2780. [Google Scholar] [CrossRef]
- Björkling, F.; Moreira, J.; Stenvang, J. Anticancer Agents. In Textbook of Drug Design and Discovery, 5th ed.; Strømgaard, K., Krogsgaard-Larsen, P., Madsen, U., Eds.; CRC Press: Boca Raton, FL, USA, 2017; pp. 369–386. [Google Scholar]
- Pascale, R.M.; Calvisi, D.F.; Simile, M.M.; Feo, C.F.; Feo, F. The warburg effect 97 years after its discovery. Cancers 2020, 12, 2819. [Google Scholar] [CrossRef]
- Wang, L.; Xie, S.; Ma, L.; Chen, Y.; Lu, W. 10-Boronic acid substituted camptothecin as prodrug of SN-38. Eur. J. Med. Chem. 2016, 116, 84–89. [Google Scholar] [CrossRef]
- Octavia, Y.; Tocchetti, C.G.; Gabrielson, K.L.; Janssens, S.; Crijns, H.J.; Moens, A.L. Doxorubicin-induced cardiomyopathy: From molecular mechanisms to therapeutic strategies. J. Mol. Cell. Cardiol. 2012, 52, 1213–1225. [Google Scholar] [CrossRef]
- Skarbek, C.; Serra, S.; Maslah, H.; Rascol, E.; Labruere, R. Arylboronate prodrugs of doxorubicin as promising chemotherapy for pancreatic cancer. Bioorg. Chem. 2019, 91, 103158. [Google Scholar] [CrossRef] [PubMed]
- Dong, C.; Zhou, Q.; Xiang, J.; Liu, F.; Zhou, Z.; Shen, Y. Self-assembly of oxidation-responsive polyethylene glycol-paclitaxel prodrug for cancer chemotherapy. J. Control. Release 2020, 321, 529–539. [Google Scholar] [CrossRef] [PubMed]
- Gamcsik, M.P.; Kasibhatla, M.S.; Teeter, S.D.; Colvin, O.M. Glutathione levels in human tumors. Biomarkers 2012, 17, 671–691. [Google Scholar] [CrossRef]
- Albright, C.F.; Graciani, N.; Han, W.; Yue, E.; Stein, R.; Lai, Z.; Diamond, M.; Dowling, R.; Grimminger, L.; Zhang, S.-Y.; et al. Matrix metalloproteinase-activated doxorubicin prodrugs inhibit HT1080 xenograft growth better than doxorubicin with less toxicity. Mol. Cancer 2005, 4, 751–760. [Google Scholar] [CrossRef]
- Shao, L.-H.; Liu, S.-P.; Hou, J.-X.; Zhang, Y.-H.; Peng, C.-W.; Zhong, Y.-J.; Liu, X.; Liu, X.-L.; Hong, Y.-P.; Firestone, R.A.; et al. Cathepsin B cleavable novel prodrug Ac-Phe-Lys-PABC-ADM enhances efficacy at reduced toxicity in treating gastric cancer peritoneal carcinomatosis An experimental study. Cancer 2012, 118, 2986–2996. [Google Scholar] [CrossRef] [PubMed]
- Fujita, M.; Taniguchi, N.; Makita, A.; Oikawa, K. Cancer-associated alteration of β-glucuronidase in human lung cancer: Elevated activity and increased phosphorylation. GANN Jpn. J. Cancer Res. 1984, 75, 508–517. [Google Scholar]
- Sperker, B.; Werner, U.; Murdter, T.E.; Tekkaya, C.; Fritz, P.; Wacke, R.; Adam, U.; Gerken, M.; Drewelow, B.; Kroemer, H.K.; et al. Expression and function of β-glucuronidase in pancreatic cancer: Potential role in drug targeting. Naunyn Schmiedeberg’s Arch. Pharm. 2000, 362, 110–115. [Google Scholar] [CrossRef]
- De Bont, D.B.A.; Leenders, R.G.G.; Haisma, H.J.; van der Meulen-Muileman, I.; Scheeren, H.W. Synthesis and biological activity of β-glucuronyl carbamate-based prodrugs of paclitaxel as potential candidates for ADEPT. Bioorg. Med. Chem. 1997, 5, 405–414. [Google Scholar] [CrossRef]
- Leu, Y.-L.; Roffler, S.R.; Chern, J.-W. Design and synthesis of water-soluble glucuronide derivatives of camptothecin for cancer prodrug monotherapy and antibody-directed enzyme prodrug therapy (ADEPT). J. Med. Chem. 1999, 42, 3623–3628. [Google Scholar] [CrossRef] [PubMed]
- Akinboye, E.S.; Brennen, W.N.; Denmeade, S.R.; Isaacs, J.T. Albumin-linked prostate-specific antigen-activated thapsigargin- and niclosamide-based molecular grenades targeting the microenvironment in metastatic castration-resistant prostate cancer. Asian J. Urol. 2019, 6, 99–108. [Google Scholar] [CrossRef]
- Garsky, V.M.; Lumma, P.K.; Feng, D.-M.; Wai, J.; Ramjit, H.G.; Sardana, M.K.; Oliff, A.; Jones, R.E.; DeFeo-Jones, D.; Freidinger, R.M.; et al. The synthesis of a prodrug of doxorubicin designed to provide reduced systemic toxicity and greater target efficacy. J. Med. Chem. 2001, 44, 4216–4224. [Google Scholar] [CrossRef]
- Lindner, P.; Christensen, S.B.; Nissen, P.; Møller, J.V.; Engedal, N. Cell death induced by the ER stressor thapsigargin involves death receptor 5, anon-autophagic function of MAP1LC3B, anddistinct contributions from unfoldedprotein response components. Cell. Commun. Signal. 2020, 18, 12. [Google Scholar] [CrossRef]
- Denmeade, S.R.; Isaacs, J.T. The SERCA pump as a therapeutic target: Making a “Smart bomb” for prostate cancer. Cancer Biol. 2005, 4, 14–22. [Google Scholar] [CrossRef]
- Denmeade, S.R.; Jakobsen, C.M.; Janssen, S.; Khan, S.R.; Garrett, E.S.; Lilja, H.; Christensen, S.B.; Isaacs, J.T. Prostate-specific antigen-activated thapsigargin prodrug as targeted therapy for prostate cancer. J. Natl. Cancer Inst. 2003, 95, 990–1000. [Google Scholar] [CrossRef]
- Darson, M.F.; Pacelli, A.; Roche, P.; Rittenhouse, H.G.; Wolfert, R.L.; Young, C.Y.; Klee, G.G.; Tindall, D.J.; Bostwick, D.G. Human glandular kallikrein 2 (hK2) expression in prostatic intraepithelial neoplasia and adenocarcinoma: A novel prostate cancer marker. Urology 1997, 49, 857–862. [Google Scholar] [CrossRef]
- Darson, M.F.; Pacelli, A.; Roche, P.; Rittenhouse, H.G.; Wolfert, R.L.; Saeid, M.S.; Young, C.Y.; Klee, G.G.; Tindall, D.J.; Bostwick, D.G. Human glandular kallikrein 2 expression in prostate adenocarcinoma and lymph node metastases. Urology 1999, 53, 939–944. [Google Scholar] [CrossRef]
- Janssen, S.; Rosen, D.M.; Ricklis, R.M.; Dionne, C.A.; Lilja, H.; Christensen, S.B.; Isaacs, J.T.; Denmeade, S.R. Pharmacokinetics, biodistribution, and antitumor efficacy of a human glandular kallikrein 2 (hK2)-activated thapsigargin prodrug. Prostate 2006, 66, 358–368. [Google Scholar] [CrossRef] [PubMed]
- Pinto, J.; Suffoletto, B.; Berzin, T.; Qiao, C.; Lin, S.; Tong, W.; Heston, W. Identification of a membrane-bound pteroyl poly gamma-glutamyl carboxypeptidase (folate hydrolase) that is highly expressed in human prostatic carcinoma cells. FASEB J. 1996, 10, A496. [Google Scholar]
- Denmeade, S.R.; Mhaka, A.M.; Rosen, D.M.; Brennen, W.N.; Dalrymple, S.; Dach, I.; Olesen, C.; Gurel, B.; DeMarzo, A.M.; Wilding, G.; et al. Engineering a prostate-specific membrane antigen-activated tumor endothelial cell prodrug for cancer therapy. Sci. Transl. Med. 2012, 4. [Google Scholar] [CrossRef] [PubMed]
- Wang, H.-L.; Wang, S.-S.; Song, W.-H.; Pan, Y.; Yu, H.-P.; Si, T.-G.; Liu, Y.; Cui, X.-N.; Guo, Z. Expression of prostate-specific membrane antigen in lung cancer cells and tumor neovasculature endothelial cells and its clinical significance. PLoS ONE 2015, 10. [Google Scholar] [CrossRef]
- Nomura, N.; Pastorino, S.; Jiang, P.; Lambert, G.; Crawford, J.R.; Gymnopoulos, M.; Piccioni, D.; Juarez, T.; Pingle, S.C.; Makale, M.; et al. Prostate specific membrane antigen (PSMA) expression in primary gliomas and breast cancer brain metastases. Cancer Cell Int. 2014, 14, 1–9. [Google Scholar] [CrossRef]
- Kasoha, M.; Unger, C.; Solomayer, E.-F.; Bohle, R.M.; Zaharia, C.; Khreich, F.; Wagenpfeil, S.; Juhasz-Boess, I. Prostate-specific membrane antigen (PSMA) expression in breast cancer and its metastases. Clin. Exp. Metastasis 2017, 34, 479–490. [Google Scholar] [CrossRef] [PubMed]
- Nimmagadda, S.; Pullambhatla, M.; Chen, Y.; Parsana, P.; Lisok, A.; Chatterjee, S.; Mease, R.; Rowe, S.P.; Lupold, S.; Pienta, K.J.; et al. Low-level endogenous PSMA expression in nonprostatic tumor xenografts is sufficient for In Vivo tumor targeting and imaging. J. Nucl. Med. 2018, 59, 486–493. [Google Scholar] [CrossRef]
- Pinto, J.T.; Suffoletto, B.P.; Berzin, T.M.; Qiao, C.H.; Lin, S.; Tong, W.P.; May, F.; Mukherjee, B.; Heston, W.D.W. Prostate-specific membrane antigen: A novel folate hydrolase in human prostatic carcinoma cells. Clin. Cancer Res. 1996, 2, 1445–1451. [Google Scholar]
- Zimmermann, T.; Christensen, S.B.; Franzyk, H. Preparation of enzyme-activated thapsigargin prodrugs by solid-phase synthesis. Molecules 2018, 23, 1463. [Google Scholar] [CrossRef] [PubMed]
- Mahalingam, D.; Tubb, B.; Nemunaitis, J.J.; Cen, P.; Rowe, J.H.; Sarantopoulos, J.; Kurman, M.R.; Allgood, V.; Campos, L.T. Clinical activity and correlative DCE-MRI imaging of G-202, a thapsigargin-based prostate-specific membrane antigen-activated prodrug, in progressive hepatocellular cancer. J. Clin. Oncol. 2015, 33, 301. [Google Scholar] [CrossRef]
- Denmeade, S.R.; Isaacs, J.T. Engineering enzymatically activated “molecular grenades” for cancer. Oncotarget 2012, 3, 666–667. [Google Scholar] [CrossRef]
- Mahalingam, D.; Mahalingam, D.; Arora, S.P.; Sarantopoulos, J.; Peguero, J.; Campos, L.; Cen, P.; Rowe, J.; Allgood, V.; Tubb, B.; et al. A phase ii, multicenter, single-arm study of mipsagargin (G-202) as a second-line therapy following sorafenib for adult patients with progressive advanced hepatocellular carcinoma. Cancers 2019, 11, 833. [Google Scholar] [CrossRef]
- Tarvainen, I.; Zimmermann, T.; Heinonen, P.; Jantti, M.H.; Yli-Kauhaluoma, J.; Talman, V.; Franzyk, H.; Tuominen, R.K.; Christensen, S.B. Missing selectivity of targeted 4β-phorbol prodrugs expected to be potential chemotherapeutics. ACS Med. Chem. Lett. 2020, 11, 671–677. [Google Scholar] [CrossRef]
- Jakobsen, C.M.; Denmeade, S.R.; Isaacs, J.T.; Gady, A.; Olsen, C.E.; Christensen, S.B. Design, synthesis, and pharmacological evaluation of thapsigargin analogues for targeting apoptosis to prostatic cancer cells. J. Med. Chem. 2001, 44, 4696–4703. [Google Scholar] [CrossRef] [PubMed]
- Dan, N.; Setua, S.; Kashyap, V.K.; Khan, S.; Jaggi, M.; Yallapu, M.M.; Chauhan, S.C. Antibody-drug conjugates for cancer therapy: Chemistry to clinical implications. Pharmaceuticals 2018, 11, 1–22. [Google Scholar]
- Poudel, Y.B.; Chowdari, N.S.; Cheng, H.; Iwuagwu, C.I.; King, H.D.; Kotapati, S.; Passmore, D.; Rampulla, R.; Mathur, A.; Vite, G.; et al. Chemical modification of linkers provide stable linker-payloads for the generation of antibody-drug conjugates. ACS Med. Chem. Lett. 2020, 11, 2190–2194. [Google Scholar] [CrossRef] [PubMed]
- Nicolaou, K.C.; Rigol, S. The role of organic synthesis in the emergence and development of antibody-drug conjugates as targeted cancer therapies. Angew. Chem. Int. Ed. 2019, 58, 11206–11241. [Google Scholar] [CrossRef]
- Tumey, L.N. Thinking Small and Dreaming Big: Medicinal Chemistry Strategies for Designing Optimal Antibody-Drug Conjugates (ADC’s). In 2017-Medicinal Chemistry Reviews; American Chemical Society: Washington, DC, USA, 2017; Volume 52, pp. 363–381. [Google Scholar]
- Morrison, S.L.; Johnson, M.J.; Herzenberg, L.D.; Oi, V.T. Chimeric human antibody molecules: Mouse antigen-binding domains with human constant region domains. Proc. Natl. Acad. Sci. USA 1984, 81, 6851–6855. [Google Scholar] [CrossRef] [PubMed]
- Nicolaou, K.C.; Smith, A.L.; Yue, E.W. Chemistry and biology of natural and designed enediynes. Proc. Natl. Acad. Sci. USA 1993, 90, 5881–5888. [Google Scholar] [CrossRef]
- Maiese, W.M.; Lechevalier, M.P.; Lechevalier, H.A.; Korshalla, J.; Kuck, N.; Fantini, A.; Wildey, M.J.; Thomas, J.; Greenstein, M. Calicheamicins, a novel family of antitumor antibiotics: Taxonomy, fermentation and biological properties. J. Antibiot. 1989, 42, 558–563. [Google Scholar] [CrossRef]
- Sharma, S.K.; Bagshawe, K.D. Antibody directed enzyme prodrug therapy (ADEPT): Trials and tribulations. Advan. Drug Deliv. Rev. 2017, 118, 2–7. [Google Scholar] [CrossRef]
- Aloysius, H.; Hu, L. Targeted prodrug approaches for hormone refractory prostate cancer. Med. Res. Rev. 2015, 35, 554–585. [Google Scholar] [CrossRef]
- Jung, M. Antibody directed enzyme prodrug therapy (ADEPT) and related approaches for anticancer therapy. Mini-Rev. Med. Chem. 2001, 1, 399–407. [Google Scholar] [CrossRef] [PubMed]
- Tranoy-Opalinski, I.; Fernandes, A.; Thomas, M.; Gesson, J.P.; Papot, S. Design of self-immolative linkers for tumour-activated prodrug therapy. Anticancer Agents Med. Chem. 2008, 8, 618–637. [Google Scholar] [CrossRef] [PubMed]
- Moradian Tehrani, R.; Verdi, J.; Noureddini, M.; Salehi, R.; Salarinia, R.; Mosalaei, M.; Simonian, M.; Alani, B.; Ghiasi, M.R.; Jaafari, M.R.; et al. Mesenchymal stem cells: A new platform for targeting suicide genes in cancer. J. Cell. Physiol. 2018, 233, 3831–3845. [Google Scholar] [CrossRef] [PubMed]
- Singhal, S.; Kaiser, L.R. Cancer chemotherapy using suicide genes. Surg. Oncol. Clin. N. Am. 1998, 7, 505–536. [Google Scholar] [CrossRef]
- Sanchez-Sanchez, L.; Tapia-Moreno, A.; Juarez-Moreno, K.; Patterson, D.P.; Cadena-Nava, R.D.; Douglas, T.; Vazquez-Duhalt, R. Design of a VLP-nanovehicle for CYP450 enzymatic activity delivery. J. Nanobiotechnol. 2015, 13, 1–10. [Google Scholar] [CrossRef] [PubMed]
- Sharon, N.; Lis, H. History of lectins: From hemagglutinins to biological recognition molecules. Glycobiology 2004, 14, 53R–62R. [Google Scholar] [CrossRef]
- Ma, Y.; Chen, H.; Su, S.; Wang, T.; Zhang, C.; Fida, G.; Cui, S.; Zhao, J.; Gu, Y. Galactose as broad ligand for multiple tumor imaging and therapy. J. Cancer 2015, 6, 658–670. [Google Scholar] [CrossRef] [PubMed]
- Lin, Y.-S.; Tungpradit, R.; Sinchaikul, S.; An, F.-M.; Liu, D.-Z.; Phutrakul, S.; Chen, S.-T. Targeting the delivery of glycan-based paclitaxel prodrugs to cancer cells via glucose transporters. J. Med. Chem. 2008, 51, 7428–7441. [Google Scholar] [CrossRef]
- Garnier, P.; Wang, X.-T.; Robinson, M.A.; van Kasteren, S.; Perkins, A.C.; Frier, M.; Fairbanks, A.J.; Davis, B.G. Lectin-directed enzyme activated prodrug therapy (LEAPT): Synthesis and evaluation of rhamnose-capped prodrugs. J. Drug Target. 2010, 18, 794–802. [Google Scholar] [CrossRef]
- Mukhopadhyay, D.; Riezman, H. Proteasome-independent functions of ubiquitin in endocytosis and signaling. Science 2007, 315, 201–205. [Google Scholar] [CrossRef]
- Teicher, B.A.; Tomaszewski, J.E. Proteasome inhibitors. Biochem. Pharm. 2015, 96, 1–9. [Google Scholar] [CrossRef]
- Ciechanover, A. The unravelling of the ubiquitin system. Nat. Rev. Mol. Cell Biol. 2015, 16, 322–324. [Google Scholar] [CrossRef] [PubMed]
- Bashraheel, S.S.; Domling, A.; Goda, S.K. Update on targeted cancer therapies, single or in combination, and their fine tuning for precision medicine. Biomed. Pharm. 2020, 125, 110009. [Google Scholar] [CrossRef]
- Bronson, J.J.; Peese, K.M.; Black, A.; Dhar, M.; Pashine, A.; Ellsworth, B.A.; Merritt, J.R. To Market, To Market. In 2015 Medicinal Chemistry Reviews; Desai, M.J.C., Ed.; American Chemcal Society: Washington, DC, USA, 2015; Volume 50, pp. 461–576. [Google Scholar]
- Bronson, J.J.; Peese, K.M.; Dhar, M.; Pashine, A.; Duclos, F.J.; Ellsworth, B.A.; Garcia, R.; Merritt, J.R. To Market, To Market. In 2016 Medicinal Chemistry Reviews; Desai, M.C., Ed.; Amercian Chemical Society: Washington, DC, USA, 2016; Volume 51, pp. 439–540. [Google Scholar]
- Bolger, C.A.; Dhar, T.G.M.; Pashine, A.; Dragovich, P.S.; Mallet, W.; Robert, M.J.; Peese, K.M. To Market, To Market. In 2017 Medicinal Chemistry Review; Bronson, J.J., Ed.; American Chemical Society: Washington, DC, USA, 2017; Volume 52, pp. 537–601. [Google Scholar]
- Bolger, C.A.; Carpenter, J.E.; Dhar, T.G.M.; Pashine, A.; Dragovich, P.S.; Cook, J.H.; Gillis, E.P.; Peese, K.M.; Merritt, J.R. To Market, To Market. In 2018 Medicinal Chemistry Reviews; Bonson, J., Ed.; American Chemical Society: Washington, DC, USA, 2018; Volume 53, pp. 587–696. [Google Scholar]
- Bolger, C.A.; Kahn, S.A.; Lipovšek, D.; Mallet, W.; Wieler, J. To Market, To Market. In 2019 Medicinal Chemistry Reviews; Bonson, J.J., Ed.; American Chemical Society: Washington, DC, USA, 2019; Volume 54, pp. 601–639. [Google Scholar]
- Araujo, E.; Braun, M.-G.; Dragovich, P.S.; Converso, A.; Nantermet, P.G.; Roecker, A.J.; Dhar, T.G.M.; Haile, P.; Hurtley, A.; Merritt, J.R. To Market, To Market-2018: Small Molecules. In 2019 Medicinal Chemistry Reviews-2019; Bonson, J.J., Ed.; American Chemical Society: Washington, DC, USA, 2019; Volume 54, pp. 469–596. [Google Scholar]


























Publisher’s Note: MDPI stays neutral with regard to jurisdictional claims in published maps and institutional affiliations. |
© 2021 by the authors. Licensee MDPI, Basel, Switzerland. This article is an open access article distributed under the terms and conditions of the Creative Commons Attribution (CC BY) license (http://creativecommons.org/licenses/by/4.0/).
Share and Cite
Franzyk, H.; Christensen, S.B. Targeting Toxins toward Tumors. Molecules 2021, 26, 1292. https://doi.org/10.3390/molecules26051292
Franzyk H, Christensen SB. Targeting Toxins toward Tumors. Molecules. 2021; 26(5):1292. https://doi.org/10.3390/molecules26051292
Chicago/Turabian StyleFranzyk, Henrik, and Søren Brøgger Christensen. 2021. "Targeting Toxins toward Tumors" Molecules 26, no. 5: 1292. https://doi.org/10.3390/molecules26051292
APA StyleFranzyk, H., & Christensen, S. B. (2021). Targeting Toxins toward Tumors. Molecules, 26(5), 1292. https://doi.org/10.3390/molecules26051292

