Tacrine-Coumarin Derivatives as Topoisomerase Inhibitors with Antitumor Effects on A549 Human Lung Carcinoma Cancer Cell Lines
Abstract
1. Introduction
2. Results
2.1. Topoisomerase Relaxation Assay
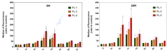
2.2. Intracellular Localization and Cytotoxicity Assays
2.3. MTT Assay
2.4. Quantification of Cell Number and Viability
2.5. Cell Cycle Distribution
2.6. Clonogenic Assay
3. Discussion
4. Materials and Methods
4.1. Compounds
4.2. Topoisomerase Relaxation Assay
4.3. Cell Culture
4.4. Intracellular Localization and Cytotoxicity Assays
4.5. Clonogenic Assay
4.6. Statistical Analysis
5. Conclusions
Author Contributions
Funding
Data Availability Statement
Acknowledgments
Conflicts of Interest
Sample Availability
References
- Hamulakova, S.; Poprac, P.; Jomova, K.; Brezova, V.; Lauro, P.; Drostinova, L.; Jun, D.; Sepsova, V.; Hrabinova, M.; Soukup, O.; et al. Targeting copper (II)-induced oxidative stress and the acetylcholinesterase system in Alzheimer’s disease using multifunctional tacrine-coumarin hybrid molecules. J. Inorg. Biochem. 2016, 161, 52–62. [Google Scholar] [CrossRef] [PubMed]
- Meng, T.; Qin, Q.P.; Wang, Z.R.; Peng, L.T.; Zou, H.H.; Gan, Z.-Y.; Tan, M.-X.; Wang, K.; Liang, F.-P. Synthesis and biological evaluation of substituted 3-(2′-benzimidazolyl) coumarin platinum (II) complexes as new telomerase inhibitors. J. Inorg. Biochem. 2018, 189, 143–150. [Google Scholar] [CrossRef] [PubMed]
- Menezes, J.C.J.M.D.S.; Diederich, M.F. Natural dimers of coumarin; chalcones, and resveratrol and the link between structure and pharmacology. Eur. J. Med. Chem. 2019, 182, 111637. [Google Scholar] [CrossRef]
- Akkol, K.E.; Genç, Y.; Karpuz, B.; Sobarzo-Sánchez, E.; Capasso, R. Coumarins and coumarin-related compounds in pharmacotherapy of cancer. Cancers 2020, 12, 1959. [Google Scholar] [CrossRef]
- Carniero, A.; Matos, M.J.; Uriarte, E.; Santana, L. Trending topics on coumarin and its derivatives. Molecules 2021, 26, 501. [Google Scholar] [CrossRef]
- Goud, N.S.; Kumar, P.; Bharath, R.W. Recent developments of target based coumarin derivatives as potential anticancer agents. Mini-Rev. Med. Chem. 2020, 20, 1754–1766. [Google Scholar] [CrossRef]
- Al-Warhi, T.; Sabt, A.; Elkaeed, E.B.; Eldehna, W.M. Recent advancements of coumarin-based anticancer agents: An up-to-date Review. Bioorg. Chem. 2020, 103, 104163. [Google Scholar] [CrossRef]
- Endo, S.; Oguri, H.; Segawa, J.; Kawai, M.; Hu, D.; Xia, S.; Okada, T.; Irie, K.; Fujii, S.; Gouda, H.; et al. Development of novel AKR1C3 inhibitors as new potential treatment for castration-resistant prostate cancer. Med. Chem. 2020, 63, 10396–10411. [Google Scholar] [CrossRef] [PubMed]
- Finn, G.; Kenealy, E.; Creaven, B.; Egan, D. In vitro cytotoxic potential and mechanism of action of selected coumarins; using human renal cell lines. Cancer Lett. 2002, 183, 61–68. [Google Scholar] [CrossRef]
- Nautiyal, J.; Banerjee, S.; Kanwar, S.S.; Yu, Y.; Patel, B.B.; Sarkar, F.H.; Majumdar, A.P. Curcumin enhances dasatinib-induced inhibition of growth and transformation of colon cancer cells. Int. J. Cancer 2011, 128, 951–961. [Google Scholar] [CrossRef] [PubMed]
- Purohit, A.; Foster, P.A. Steroid sulfatase inhibitors for estrogen- and androgen-dependent cancers. J. Endocrinol. 2012, 212, 99–110. [Google Scholar] [CrossRef]
- Pádua, D.; Rocha, E.; Gargiulo, D.R.; Ramos, A.A. Bioactive compounds from brown seaweeds: Phloroglucinol, Fucoxanthin and Fucoidan as promising therapeutic agents against breast cancer. Phytochem. Lett. 2015, 14, 91–98. [Google Scholar] [CrossRef]
- Curini, M.; Cravotto, G.; Epifano, F.; Giannone, G. Chemistry and biological activity of natural and synthetic prenyloxycoumarins. Curr. Med. Chem. 2006, 13, 199–222. [Google Scholar] [CrossRef]
- Chirieac, L.R.; Dacic, S. Target therapies in lung cancer. Surg. Pathol. Clin. 2010, 3, 71–82. [Google Scholar] [CrossRef][Green Version]
- Meng, Y.; Bai, X.; Huang, Y.; He, L.; Zhang, Z.; Li, X.; Cui, D.; Zang, X. Basic fibroblast growth factor signaling regulates cancer stem cells in lung cancer A549 cells. J. Pharm. Pharm. 2019, 71, 1412–1420. [Google Scholar] [CrossRef] [PubMed]
- Kumar, M.; Singla, R.; Dandriyal, J.; Jaitak, V. Coumarin derivatives as anticancer agents for lung cancer therapy: A review. Anticancer Agents Med. Chem. 2018, 18, 964–984. [Google Scholar] [CrossRef] [PubMed]
- Hueso-Falcon, I.; Amesty, A.; Anaissi-Alfonso, L.; Lozenzo-Castrillejo, I.; Machin, F.; Estevez-Braun, A. Synthesis and biological evaluation of naphtoquinone-coumarin conjugates ass topoisomerase II inhibitors. Bioorg. Med. Chem. Lett. 2017, 27, 484–489. [Google Scholar] [CrossRef] [PubMed]
- Liang, X.; Wu, Q.; Luan, S.; Yin, Z.; He, C.; Yin, L.; He, C.; Yin, L.; Zou, Y.; Yuan, Z.; et al. A comprehensive review of topoisomerase inhibitors as anticancer agents in the past decade. Eur. J. Med. Chem. 2019, 171, 129–168. [Google Scholar] [CrossRef] [PubMed]
- Paul, K.; Bindal, S.; Luxami, V. Synthesis of new conjugated coumarin–benzimidazole hybrids and their anticancer activity. Bioorg. Med. Chem. Lett. 2013, 23, 3667–3672. [Google Scholar] [CrossRef]
- Chen, H.; Li, S.; Yao, Y.; Zhou, L.; Zhao, J.; Gu, Y.; Wang, K.; Li, X. Design, synthesis, and anti-tumor activities of novel triphenylethylene-coumarin hybrids, and their interactions with ct-DNA. Bioorg. Med. Chem. Lett. 2013, 23, 4785–4789. [Google Scholar] [CrossRef]
- Musa, M.A.; Badisa, V.L.; Latinwo, L.M.; Patterson, T.A.; Owens, M.A. Coumarin-based benzopyranone derivatives induced apoptosis in human lung (A549) cancer cells. Anticancer Res. 2012, 32, 4271–4276. [Google Scholar]
- Vijay Avin, B.R.; Thirusangu, P.; Lakshmi Ranganatha, V.; Firdouse, A.; Prabhakar, B.T.; Khanum, S.A. Synthesis and tumor inhibitory activity of novel coumarin analogs targeting angiogenesis and apoptosis. Eur. J. Med. Chem. 2014, 75, 211–221. [Google Scholar] [CrossRef] [PubMed]
- Kozurkova, M.; Kristian, P. Biological characteristics of tacrine derivatives. In Acridine isothiocyanates: Chemistry and Biology; Kristian, P., Ed.; Lambert Academic Publishing: Saarbrücken, Germany, 2014; pp. 206–233. [Google Scholar]
- Kozurkova, M.; Hamulakova, S.; Gazova, Z.; Paulikova, H.; Kristian, P. Neuroactive multifunctional tacrine congeners with cholinesterase, anti-amyloid aggregation and neuroprotective properties. Pharmaceuticals 2011, 7, 4382–4418. [Google Scholar] [CrossRef]
- Agbo, E.N.; Gildenhuys, S.; Choong, Y.S.; Mphahlele, M.J.; More, G.K. Synthesis of furocoumarin-stilbene hybrids as potential multifunctional drugs against multiple biochemical targets associated with Alzheimer’s disease. Bioorg. Chem. 2020, 101, 103997. [Google Scholar] [CrossRef]
- Mansouri, A.; Haouzi, D.; Descatoire, V.; Demeilliers, C.H.; Sutton, A.; Vadrot, N.; Fromenty, B.; Feldman, G.; Pessayre, D.; Berson, A. Tacrine inhibits topoisomerase and DNA synthesis to cause mitochondrial DNA depletion and apoptosis in mouse liver. Hepatology 2003, 38, 715–725. [Google Scholar] [CrossRef] [PubMed]
- Snyder, R.D.; Arone, M.R. Putative identification of functional interaction s between DNA intercalating agents and topoisomerase II using the V79 in vitro micronucleus assay. Mutat. Res. 2002, 503, 21–35. [Google Scholar] [CrossRef]
- Krajňáková, L.; Pisarčíková, J.; Drajna, L.; Labudova, M.; Imrich, J.; Paulikova, H.; Kožurková, M. Intracellular distribution of new tacrine analogues as a potential cause of their cytotoxicity against human neuroblastoma cells SH-SY5Y. Med. Chem. Res. 2018, 27, 2353–2365. [Google Scholar] [CrossRef]
- Sabolová, D.; Kristian, P.; Kožurková, M. Multifunctional properties of novel tacrine congeners: Cholinesterase inhibition and cytotoxic activity. J. Appl. Tox. 2018, 38, 1377–1387. [Google Scholar] [CrossRef]
- Singh, H.; Vir Singh, J.; Bhagat, K.; Kaur Gulati, H.; Sanduja, M.; Kumar, N.; Kinarivala, N.; Sharma, S. Rational approaches, design strategies, structure activity relationship and mechanistic insights for therapeutic coumarin hybrids. Bioorg. Med. Chem. 2019, 27, 3477–3510. [Google Scholar] [CrossRef] [PubMed]
- Thomas, A.; Bates, S.; Figg, W.D.; Pommier, Y. DNA Topoisomerase targeting drugs. Holl. -Frei. Cancer Med. 2017, 1–17. [Google Scholar]
- Shi, W.L.; Marcus, S.; Lowary, T. Cytotoxicity and topoisomerase I/II inhibition of glycosylated 2-phenyl-indoles, 2-phenyl-benzo[b]thiophenes and 2-phenyl-benzo[b] furans. Bioorg. Med. Chem. 2011, 19, 603–612. [Google Scholar] [CrossRef] [PubMed]
- Konkoľová, E.; Janočková, J.; Perjési, P.; Vašková, J.; Kožurková, M. Selected ferrocenyl chalcones as DNA/BSA-interacting agents and inhibitors of DNA topoisomerase I and II activity. J. Organomet. Chem. 2018, 861, 1–9. [Google Scholar] [CrossRef]
- Solárová, Z.; Kello, M.; Hamuľáková, S.; Mirossay, L.; Solár, P. Anticancer effect of tacrine-coumarin derivatives on diverse human and mouse cancer cell lines. Acta Chim. Slov. 2018, 65, 875–881. [Google Scholar] [CrossRef] [PubMed]
- Hu, M.-K. Synthesis and in-vitro anticancer evaluation of bis-tacrine congeners. J. Pharm. Pharm. 2000, 53, 83–88. [Google Scholar] [CrossRef] [PubMed]
- Roldan-Pena, J.M.; Alejandre-Ramos, D.; Lopez, O.; Maya, I.; Lagunes, I.; Padron, J.M.; Pena-Altamira, L.E.; Bartolini, M.; Monti, B.; Bolognesi, M.L.; et al. New tacrine dimers with antioxidant linkers as dual drugs: Anti-Alzheimer´s and antiproliferative agents. Eur. J. Med. Chem. 2017, 138, 761–773. [Google Scholar] [CrossRef]
- Janočková, J.; Korabečný, J.; Plšíková, J.; Babková, K.; Konkoľová, E.; Kučerová, D.; Vargová, J.; Kovaľ, J.; Jendželovský, R.; Fedoročko, P.; et al. In vitro investigating of anticancer activity of new 7-MEOTA-tacrine heterodimers. J. Enz. Inhib. Med. Chem. 2019, 34, 877–897. [Google Scholar] [CrossRef] [PubMed]
- Brunet, C.L.; Gunby, R.H.; Benson, R.S.P.; Hickman, J.A.; Watson, A.J.M.; Brady, G. Commitment to cell death measured by loss of clonogenicity is separable from the appearance of apoptotic markers. Cell Death Differ. 1998, 5, 107–115. [Google Scholar] [CrossRef] [PubMed]
- Janočková, J.; Plšíková, J.; Kašpárková, J.; Brabec, V.; Jendželovský, R.; Mikeš, J.; Kovaľ, J.; Hamuľaková, S.; Fedoročko, P.; Kuča, K.; et al. Inhibition of DNA topoisomerases I and II and growth inhibition of HL-60 cells by novel acridine-based compounds. Eur. J. Med. Chem. 2015, 76, 192–202. [Google Scholar] [CrossRef]
- Konkoľová, E.; Hudáčová, M.; Hamuľaková, S.; Kožurková, M. Spectroscopic evaluation of novel tacrine-coumarin hybrids as BSA-interacting agents. Org. Med. Chem. Int. J. 2019, 8, 1–7. [Google Scholar]







| Compound | a IC50 (× 10−6 M) | |
|---|---|---|
| 24 h | 48 h | |
| 1a | n.d. | n.d. |
| 1b | 83.54 | 74.27 |
| 1c | 42.36 | 27.04 |
| 1d | 27.25 | 21.22 |
| 2a | n.d. | n.d. |
| 2b | 74.05 | 62.33 |
| 2c | n.d. | 98.68 |
| Compound | Concentration (× 10−6 M) | G1 | S | G2 |
|---|---|---|---|---|
| Control | 0 | 53.77 ± 1.43 | 33.43 ± 0.71 | 12.81 ± 0.94 |
| 1a | 25 | 57.03 ± 0.86 | 31.02 ± 0.65 | 11.94 ± 1.37 |
| 50 | 57.88 ± 1.68 | 30.56 ± 0.72 | 11.56 ± 0.99 | |
| 1b | 25 | 59.08 ± 1.32 | 29.64 ± 0.22 | 11.29 ± 1.36 |
| 50 | 71.13 ± 1.59 * | 21.72 ± 1.22 * | 7.15 ± 1.29 * | |
| 1c | 25 | 79.97 ± 1.25 * | 14.64 ± 1.56 * | 5.39 ± 0.9 * |
| 50 | 91.86 ± 2.24 * | 6.09 ± 1.98 * | 2.05 ± 0.62* | |
| 1d | 25 | 86.21 ± 1.67 * | 10.73 ± 0.97 * | 3.06 ± 0.85 * |
| 50 | 80.85 ± 2.30 * | 12.54 ± 3.46 * | 6.61 ± 1.84 * | |
| 2a | 25 | 55.54 ± 1.43 | 33.00 ± 1.03 | 11.46 ± 1.41 |
| 50 | 56.94 ±1.20 | 32.06 ± 0.22 | 11.01 ± 1.07 | |
| 2b | 25 | 58.18 ± 0.35 | 30.51 ± 1.20 | 11.30 ± 0.86 |
| 50 | 56.69 ± 2.40 | 32.49 ± 1.56 | 10.83 ± 0.9 | |
| 2c | 25 | 57.03 ± 2.74 | 31.77 ± 1.73 | 11.20 ± 1.21 |
| 50 | 57.68 ± 1.24 | 31.80 ± 0.6 | 10.51 ± 1.67 |
Publisher’s Note: MDPI stays neutral with regard to jurisdictional claims in published maps and institutional affiliations. |
© 2021 by the authors. Licensee MDPI, Basel, Switzerland. This article is an open access article distributed under the terms and conditions of the Creative Commons Attribution (CC BY) license (http://creativecommons.org/licenses/by/4.0/).
Share and Cite
Konkoľová, E.; Hudáčová, M.; Hamuľaková, S.; Jendželovský, R.; Vargová, J.; Ševc, J.; Fedoročko, P.; Kožurková, M. Tacrine-Coumarin Derivatives as Topoisomerase Inhibitors with Antitumor Effects on A549 Human Lung Carcinoma Cancer Cell Lines. Molecules 2021, 26, 1133. https://doi.org/10.3390/molecules26041133
Konkoľová E, Hudáčová M, Hamuľaková S, Jendželovský R, Vargová J, Ševc J, Fedoročko P, Kožurková M. Tacrine-Coumarin Derivatives as Topoisomerase Inhibitors with Antitumor Effects on A549 Human Lung Carcinoma Cancer Cell Lines. Molecules. 2021; 26(4):1133. https://doi.org/10.3390/molecules26041133
Chicago/Turabian StyleKonkoľová, Eva, Monika Hudáčová, Slávka Hamuľaková, Rastislav Jendželovský, Jana Vargová, Juraj Ševc, Peter Fedoročko, and Mária Kožurková. 2021. "Tacrine-Coumarin Derivatives as Topoisomerase Inhibitors with Antitumor Effects on A549 Human Lung Carcinoma Cancer Cell Lines" Molecules 26, no. 4: 1133. https://doi.org/10.3390/molecules26041133
APA StyleKonkoľová, E., Hudáčová, M., Hamuľaková, S., Jendželovský, R., Vargová, J., Ševc, J., Fedoročko, P., & Kožurková, M. (2021). Tacrine-Coumarin Derivatives as Topoisomerase Inhibitors with Antitumor Effects on A549 Human Lung Carcinoma Cancer Cell Lines. Molecules, 26(4), 1133. https://doi.org/10.3390/molecules26041133

