Coagulation Treatment of Wastewater: Kinetics and Natural Coagulant Evaluation
Abstract
1. Introduction
2. Materials and Methods
2.1. Wastewater Samples
2.2. Chemicals and Reagents
2.3. Coagulation Tests
Agglomeration Kinetics
3. Results and Discussions
3.1. Coagulants Morphological Results
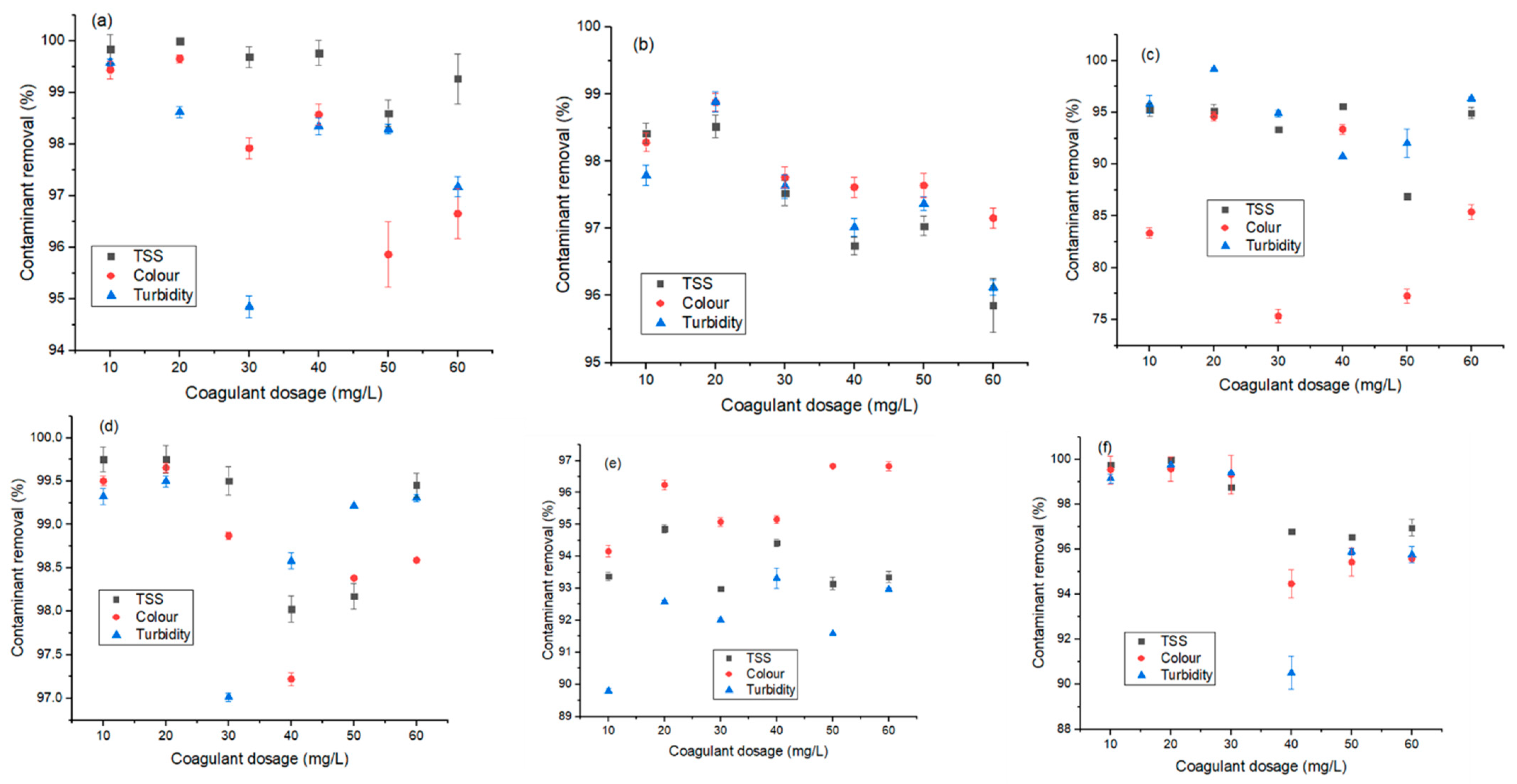
3.2. Effect of Coagulant Dosage
Comparative Study
3.3. Effect of Settling Time
3.4. Coagulation Kinetics
4. Conclusions
Author Contributions
Funding
Data Availability Statement
Acknowledgments
Conflicts of Interest
References
- Tyagi, S.; Sharma, B.; Singh, P.; Dobhal, R. Water Quality Assessment in Terms of Water Quality Index. Am. J. Water Resour. 2020, 1, 34–38. [Google Scholar] [CrossRef]
- Ifeanyi, U.; Chukwudi, M.M.; Okechukwu, O.D. Effect of coag-flocculation kinetics on telfairia occidentalis seed coagulant (TOC) in pharmaceutical wastewater. Int. J. Multidiscip. Sci. Eng. 2012, 3, 22–33. [Google Scholar]
- Ahmed, S.N.; Ali, S.J.; Ali, A.H.; Mohammed, A. Improvement of organic matter removal in water produced of oilfields using low cost Moringa peels as a new green environmental adsorbent. Global Nest 2020, 22, 268–274. [Google Scholar]
- Hossain, S.; Omar, F.; Asis, A.J.; Bachmann, R.; Sarker, Z.I.; Ab Kadir, M.O. Effective treatment of palm oil mill effluent using FeSO4.7H2O waste from titanium oxide industry: Coagulation adsorption isotherm and kinetics studies. J. Clean. Prod. 2019, 219, 86–98. [Google Scholar] [CrossRef]
- Vasudevan, S.; Lakshmi, J.; Sozhan, G. Studies relating to removal of arsenate by electrochemical coagulation: Opti-mization, kinetics, coagulant characterization. Sep. Sci. Technol. 2010, 45, 1313–1325. [Google Scholar] [CrossRef]
- Sher, F.; Malik, A.; Liu, H. Industrial polymer effluent treatment by chemical coagulation and flocculation. J. Environ. Chem. Eng. 2013, 1, 684–689. [Google Scholar] [CrossRef]
- Tetteh, E.K.; Rathilal, S. Application of magnetized nanomaterial for textile effluent remediation using response surface methodology. Mater. Today Proc. 2020. [Google Scholar] [CrossRef]
- Tetteh, E.K. Optimisation of Dissolved Air Flotation (DAF) for Separating Industrial Mineral Oil from Water. Available online: https://openscholar.dut.ac.za/bitstream/10321/3182/1/TETTECHEK_2018.pdf (accessed on 27 December 2020).
- Zhao, S.; Gao, B.; Yue, Q.; Wang, Y. Effect of Enteromorpha polysaccharides on coagulation performance and kinetics for dye removal. Colloids Surf. A Physicochem. Eng. Asp. 2014, 456, 253–260. [Google Scholar] [CrossRef]
- Zahrim, A.; Dexter, Z.; Joseph, C.; Hilal, N. Effective coagulation-flocculation treatment of highly polluted palm oil mill biogas plant wastewater using dual coagulants: Decolourisation, kinetics and phytotoxicity studies. J. Water Process. Eng. 2017, 16, 258–269. [Google Scholar] [CrossRef]
- Nnaji, N.; Ani, J.; Aneke, L.; Onukwuli, O.; Okoro, U.; Ume, J. Modelling the coag-flocculation kinetics of cashew nut testa tannins in an industrial effluent. J. Ind. Eng. Chem. 2014, 20, 1930–1935. [Google Scholar] [CrossRef]
- Jagaba, A.H.; Latiff, A.A.; Umaru, I.; Abubakar, S.; Lawal, I.M. Treatment of palm oil mill effluent (POME) by coag-ulation-flocculation using different natural and chemical coagulants: A review. IOSR J. Mech. Civ. Eng. 2016, 13, 67–75. [Google Scholar] [CrossRef]
- Tetteh, E.K.; Rathilal, S. Application of Organic Coagulants in Water and Wastewater Treatment. Org. Polym. 2020. [Google Scholar] [CrossRef]
- Kumar, P.S.; Karthikeyan, R.; Anbalagan, K.; Bhanushali, M.N. Coagulation process for tannery industry effluent treatment using Moringa oleifera seeds protein: Kinetic study, pH effect on floc characteristics and design of a thickener unit. Sep. Sci. Technol. 2016, 51, 2028–2037. [Google Scholar] [CrossRef]
- Holkar, C.R.; Jadhav, A.J.; Pinjari, V.; Mahamuni, N.M.; Pandit, A.B. A critical review on textile wastewater treat-ments: Possible approaches. J. Environ. Manag. 2016, 182, 351–366. [Google Scholar] [CrossRef] [PubMed]
- Saifuddin, N.; Dinara, S. Pretreatment of Palm Oil Mill Effluent (POME) Using Magnetic Chitosan. E-J. Chem. 2011, 8, S67–S78. [Google Scholar] [CrossRef]
- Balls, M. Relationships between Floc Properties and NOM Removal Using a Moorland Water Source,” University College London, University College London, 2014. Available online: https://discovery.ucl.ac.uk/id/eprint/1417138/1/Balls_M_Thesis.pdf (accessed on 25 December 2020).
- Bodlund, I. Coagulants Protein from Plant materials:Potential Water Treatment Agent. Available online: https://www.diva-portal.org/smash/record.jsf?pid=diva2%3A575557&dswid=-1205 (accessed on 25 December 2020).
- Sahu, O.; Chaudhari, P. Review on Chemical treatment of Industrial Waste Water. J. Appl. Sci. Environ. Manag. 2013, 17, 241–257. [Google Scholar] [CrossRef]
- Sánchez-Martín, J.; Beltrán-Heredia, J.; Peres, J.A. Improvement of the flocculation process in water treatment by using moringa oleifera seeds extract. Braz. J. Chem. Eng. 2012, 29, 495–502. [Google Scholar] [CrossRef]
- Amran, A.H.; Zaidi, N.S.; Muda, K.; Loan, L.W. Effectiveness of Natural Coagulant in Coagulation Process: A Review. Int. J. Eng. Technol. 2018, 7, 34–37. [Google Scholar] [CrossRef]
- Vepsäläinen, M.; Sillanpää, M. Electrocoagulation in the treatment of industrial waters and wastewaters. In Advanced Water Treatment; Elsevier: Amsterdam, The Netherlands, 2020; pp. 1–78. [Google Scholar] [CrossRef]
- Duan, J.; Gregory, J. Coagulation by hydrolysing metal salts. Adv. Colloid Interface Sci. 2003, 102, 475–502. [Google Scholar] [CrossRef]
- Ghaly, A.E.; Ananthashankar, R.; Alhattab, M.; Ramakrishnan, V.V. Production, characterization and treatment of textile effluents: A critical review. J. Chem. Eng. Process. Technol. 2014, 5, 1–18. [Google Scholar]
- Rossi, L.M.; Costa, N.J.; Silva, F.P.; Gonçalves, R.V. Magnetic nanocatalysts: Supported metal nanoparticles for catalytic applications. Nanotechnol. Rev. 2013, 2, 597–614. [Google Scholar] [CrossRef]
- Dos Santos, T.R.T.; Fernandes-Silva, M.; Nishi, L.; Vieira, A.M.S.; Klein, M.R.F.; De Andrade, M.B.; Vieira, M.F.; Bergamasco, R. Development of a magnetic coagulant based on Moringa oleifera seed extract for water treatment. Environ. Sci. Pollut. Res. 2016, 23, 7692–7700. [Google Scholar] [CrossRef] [PubMed]
- Ambashta, R.D.; Sillanpää, M. Water purification using magnetic assistance: A review. J. Hazard. Mater. 2010, 180, 38–49. [Google Scholar] [CrossRef]
- Morsi, R.E.; Al-Sabagh, A.M.; Moustafa, Y.M.; Elkholy, S.G.; Sayed, M.S. Polythiophene modified chitosan/magnetite nanocomposites for heavy metals and selective mercury removal. Egypt. J. Pet. 2018, 27, 1077–1085. [Google Scholar] [CrossRef]
- Dung, D.T.K.; Hai, T.H.; Phuc, L.H.; Long, B.D.; Vinh, L.K.; Truc, P.N. Preparation and characterization of magnetic nanoparticles with chitosan coating. J. Phys. Conf. Ser. 2009, 187, 012036. [Google Scholar] [CrossRef]
- Lakshmanan, R.; Okoli, C.; Boutonnet, M.; Järås, S.; Rajarao, G.K. Effect of magnetic iron oxide nanoparticles in surface water treatment: Trace minerals and microbes. Bioresour. Technol. 2013, 129, 612–615. [Google Scholar] [CrossRef]
- Naghizadeh, M.; Mohammadi, P.; Sheibani, H.; Taher, M.A. Synthesis of Fe3O4/Eggshell nanocomposite and appli-cation for preparation of tetrahydrobenzo[b]pyran derivatives. Iran. J. Energy Environ. 2017, 8, 136–141. [Google Scholar]
- Valtchev, V.; Gao, F.; Tosheva, L. Porous materials via egg-constituents templating. New J. Chem. 2008, 32, 1331–1337. [Google Scholar] [CrossRef]
- Viriya-Empikul, N.; Krasae, P.; Puttasawat, B.; Yoosuk, B.; Chollacoop, N.; Faungnawakij, K. Waste shells of mollusk and egg as biodiesel production catalysts. Bioresour. Technol. 2010, 101, 3765–3767. [Google Scholar] [CrossRef]
- Yang, D.; Qi, L.; Ma, J. Eggshell Membrane Templating of Hierarchically Ordered Macroporous Networks Composed of TiO2 Tubes. Adv. Mater. 2002, 14, 1543–1546. [Google Scholar] [CrossRef]
- Sun, Y.; Zhou, S.; Chiang, P.-C.; Shah, K.J. Evaluation and optimization of enhanced coagulation process: Water and energy nexus. Water Energy Nexus 2019, 2, 25–36. [Google Scholar] [CrossRef]
- Lin, S.H.; Lin, C.M.; Leu, H.G. Operating characteristics and kinetic studies of surfactant wastewater treatment by Fenton oxidation. Water Res. 1999, 33, 1735–1741. [Google Scholar] [CrossRef]
- Kukić, D.; Šćiban, M.; Prodanović, J.; Vasić, V.; Antov, M.; Nastić, N. Application of natural coagulants extracted from common beans for wastewater treatment. e-GFOS 2018, 9, 77–84. [Google Scholar]
- Standard Methods for the Examination of Water and Wastewater, APHA, Washington, DC, USA, 2012. Available online: https://www.standardmethods.org/doi/book/10.2105/SMWW.2882?gclid=CjwKCAiA25v_BRBNEiwAZb4-ZRdKz6ceq6Eyfy-ahChxZCoB9x4BmaaCjuGuCA8vSRLoUOOV8spGWxoCNoEQAvD_BwE& (accessed on 27 December 2020).
- Maurya, S.; Daverey, A. Evaluation of plant-based natural coagulants for municipal wastewater treatment. 3 Biotech 2018, 8, 77. [Google Scholar] [CrossRef]
- Daud, Z.; Awang, H.; Latif, A.A.A.; Nasir, N.; Ridzuan, M.B.; Ahmad, Z. Suspended Solid, Color, COD and Oil and Grease Removal from Biodiesel Wastewater by Coagulation and Flocculation Processes. Procedia Soc. Behav. Sci. 2015, 195, 2407–2411. [Google Scholar] [CrossRef]
- Othman, Z.; Bhatia, S.; Ahmad, A.L. Influence of the settleability parameters for palm oil mill effluent pretreatment by using MoringaOleifera seeds as an environmental friendly coagulant. J. Mater. Sci. Eng. 2011, 5, 332–340. [Google Scholar]
- Abreu, M.; Montel, A.L.; Scapin, E. Use of Natural Coagulants/Flocculants in the Treatment of Hospital Laundry Effluents. ChemRxiv 2020. Available online: https://chemrxiv.org/articles/preprint/Use_of_Natural_Coagulants_Flocculants_in_the_Treatment_of_Hospital_Laundry_Effluents/12982574/3 (accessed on 27 December 2020).
- Dos Santos, T.R.T.; Mateus, G.A.P.; Silva, M.F.; Miyashiro, C.S.; Nishi, L.; De Andrade, M.B.; Fagundes-Klen, M.R.; Gomes, R.G.; Bergamasco, R. Evaluation of Magnetic Coagulant (α-Fe2O3-MO) and its Reuse in Textile Wastewater Treatment. Water Air Soil Pollut. 2018, 229, 92. [Google Scholar] [CrossRef]
- Mateus, G.A.P.; Dos Santos, T.R.T.; Sanches, I.S.; Silva, M.F.; De Andrade, M.B.; Paludo, M.P.; Gomes, R.G.; Bergamasco, R. Evaluation of a magnetic coagulant based on Fe3O4 nanoparticles and Moringa oleifera extract on tartrazine removal: Coagulation-adsorption and kinetics studies. Environ. Technol. 2018, 41, 1648–1663. [Google Scholar] [CrossRef]
- Madrona, G.S.; Serpelloni, G.B.; Vieira, A.M.S.; Nishi, L.; Cardoso, K.C.; Bergamasco, R. Study of the Effect of Saline Solution on the Extraction of the Moringa oleifera Seed’s Active Component for Water Treatment. Water Air Soil Pollut. 2010, 211, 409–415. [Google Scholar] [CrossRef]
- Tisti, H.J.M.; Ghawi, A.H. Performance improvement of package water treatment plant by using static mixer and natural Coagulant. J. Green Eng. 2020, 10, 3717–3744. [Google Scholar]
- Pardede, A.; Budihardjo, M.A. The Removal of Turbidity and TSS of the Domestic Wastewater by Coagula-tion-Flocculation Process Involving Oyster Mushroom as Biocoagulant. Available online: https://www.e3s-conferences.org/articles/e3sconf/abs/2018/06/e3sconf_icenis2018_05007/e3sconf_icenis2018_05007.html (accessed on 27 December 2020).
- Arulmathi, P.; Jeyaprabha, C.; Sivasankar, P.; Rajkumar, V. Treatment of textile wastewater by coagulation–flocculation process using gossypium herbaceum and Polyaniline Coagulants. Clean Soil Air Water 2019, 47, 1800464. [Google Scholar] [CrossRef]
- Siddique, M.; Soomro, S.A.; Aziz, S.; Jatoi, A.S.; Mengal, A.; Mahar, H. Removal of turbidty from turbid water by bio-cogulant prepared from walnut shell. J. Appl. Emerg. Sci. 2016, 6, 66–68. [Google Scholar]
- Gaikwad, V.T.; Munavalli, G.R. Turbidity removal by conventional and ballasted coagulation with natural coagulants. Appl. Water Sci. 2019, 9, 130. [Google Scholar] [CrossRef]
- Hashem, F.S. Removal of methylene blue by magnetite-covered bentonite nano-composite. Eur. Chem. Bull. 2013, 2, 524–529. [Google Scholar]
- Adelodun, B.; Ogunshina, M.S.; Ajibade, F.O.; Abdulkadir, T.S.; Bakare, H.O.; Choi, K.S. Kinetic and prediction modeling studies of organic pollutants pemoval from municipal wastewater using Moringa oleifera Biomass as a coagulant. Water 2020, 12, 2052. [Google Scholar] [CrossRef]








| Chemicals Used | Quantity (g) |
|---|---|
| Peptone | 4 |
| Glucose | 2.75 |
| NaHCO3 | 27.5 |
| Urea | 0.75 |
| Meat extract | 6.25 |
| MgSO4·7H2O | 0.05 |
| K2HPO4 | 0.7 |
| CuCl2·2H2O | 0.00125 |
| NaCl | 0.22 |
| CaCl2·2H2O | 0.1 |
| Potassium silicate | 1.5 |
| Samples | FA (mg/L) | FE (mg/L) | FEA (mg/L) | ||||
|---|---|---|---|---|---|---|---|
| F | A | F | E | F | A | E | |
| S1 | 20 | 10 | 20 | 10 | 10 | 10 | 10 |
| S2 | 20 | 20 | 20 | 20 | 20 | 10 | 10 |
| S3 | 20 | 30 | 20 | 30 | 30 | 10 | 10 |
| S4 | 20 | 40 | 20 | 40 | 40 | 10 | 10 |
| S5 | 20 | 50 | 20 | 50 | 50 | 10 | 10 |
| S6 | 20 | 60 | 20 | 60 | 60 | 10 | 10 |
| Coagulant Type | Dosage (mg/L) | Turbidity Removal (%) | Color Removal (%) | TSS Removal (%) | Reference |
|---|---|---|---|---|---|
| Eggshells (E) | 20 | 98.89 | 98.88 | 98.52 | This study |
| Alum (A) | 20 | 99.58 | 99.66 | 100 | This study |
| 50 | 70 | 75 | - | [7] | |
| Ferromagnetite (F) | 20 | 99.17 | 94.62 | 95.19 | This study |
| FEA | 20 | 99.76 | 99.59 | 100 | This study |
| FA | 50 | 90 | 85 | - | [7] |
| 20 | 99.51 | 99.66 | 99.75 | This study | |
| Alum–Moringa oleifera | 43 | 97.70 | - | - | [48] |
| Oyster mushroom bio- coagulant | 600 | 84.10 | - | 90.69 | [49] |
| Common bean | 0.40 | 90.10 | - | - | [50] |
| PAC and Gossypium herbaceum (GHC) | 1600 and 2200 | 86.10 and 85.48 | 95 and 90.1 | - | [51] |
| Walnut bio-coagulant | 35 | 83 | - | - | [52] |
| First-order kinetics | ||||||
| Coagulant type | A | E | F | FE | FA | FEA |
| R2 | 0.9536 | 0.9523 | 0.9654 | 0.969 | 0.857 | 0.9659 |
| Slope (k1) | 0.0315 | 0.0265 | 0.296 | 0.201 | 0.0291 | 0.0453 |
| y-intercept | 3.38 | 3.11 | 1.99 | 3.61 | 1.92 | 1.05 |
| SSE | 0.0369 | 0.01172 | 0.02043 | 0.00945 | 0.01277 | 0.04292 |
| Second-order kinetic model | ||||||
| R2 | 0.993 | 0.979 | 0.978 | 0.9135 | 0.828 | 0.897 |
| Slope(k1) | 0.00314 | 0.000377 | 0.000341 | 0.00334 | 0.00341 | 0.0002756 |
| y-intercept | −0.0119 | 0.00754 | 0.00487 | −0.0091 | −0.04057 | 0.01036 |
| SSE | 0.06269 | 0.0885 | 0.0374 | 0.041355 | 0.08397 | 0.02323 |
Publisher’s Note: MDPI stays neutral with regard to jurisdictional claims in published maps and institutional affiliations. |
© 2021 by the authors. Licensee MDPI, Basel, Switzerland. This article is an open access article distributed under the terms and conditions of the Creative Commons Attribution (CC BY) license (http://creativecommons.org/licenses/by/4.0/).
Share and Cite
Precious Sibiya, N.; Rathilal, S.; Kweinor Tetteh, E. Coagulation Treatment of Wastewater: Kinetics and Natural Coagulant Evaluation. Molecules 2021, 26, 698. https://doi.org/10.3390/molecules26030698
Precious Sibiya N, Rathilal S, Kweinor Tetteh E. Coagulation Treatment of Wastewater: Kinetics and Natural Coagulant Evaluation. Molecules. 2021; 26(3):698. https://doi.org/10.3390/molecules26030698
Chicago/Turabian StylePrecious Sibiya, Nomthandazo, Sudesh Rathilal, and Emmanuel Kweinor Tetteh. 2021. "Coagulation Treatment of Wastewater: Kinetics and Natural Coagulant Evaluation" Molecules 26, no. 3: 698. https://doi.org/10.3390/molecules26030698
APA StylePrecious Sibiya, N., Rathilal, S., & Kweinor Tetteh, E. (2021). Coagulation Treatment of Wastewater: Kinetics and Natural Coagulant Evaluation. Molecules, 26(3), 698. https://doi.org/10.3390/molecules26030698
