Manufacturing of All Inkjet-Printed Organic Photovoltaic Cell Arrays and Evaluating Their Suitability for Flexible Electronics
Abstract
1. Introduction
2. Methods and Materials
2.1. Stack Architecture and Patterns
2.2. Substrate and Functional Inks
2.3. Deposition Process
2.4. Characterization
3. Results and Discussions
3.1. Development and Characteristics of an OPV Stack Based on a Lab Scale
3.2. Development and Characteristics of an OPV Stack Based on a Fab Scale
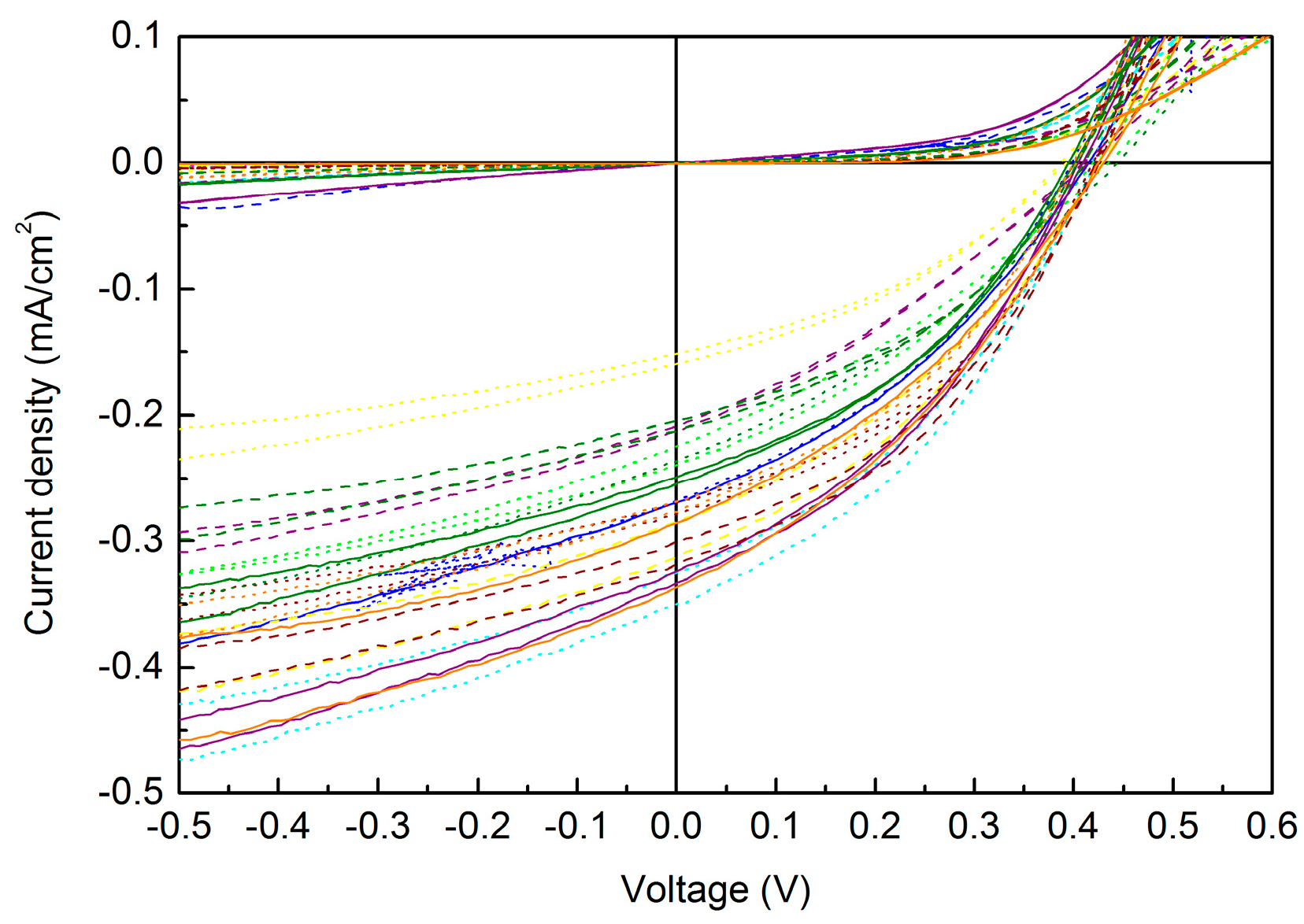
3.3. Electrical Characterization
4. Summary
Supplementary Materials
Author Contributions
Funding
Acknowledgments
Conflicts of Interest
References
- Kipphan, H. Handbook of Print Media Technologies and Production Methods; Springer: Berlin, Germany, 2000. [Google Scholar]
- Sowade, E.; Göthel, F.; Zichner, R.; Baumann, R.R. Inkjet printing of UHF antennas on corrugated cardboards for packaging applications. Appl. Surf. Sci. 2015, 332, 500–506. [Google Scholar] [CrossRef]
- Tentzeris, M.; Yang, L. Inkjet-printed paper-based RFID and nanotechnology-based ultrasensitive sensors: The “Green” ultimate solution for an ever improving life quality and safety. In Proceedings of the IEEE Radio and Wireless Symposium (RWS), New Orleans, LA, USA, 10–14 January 2010; pp. 55–63. [Google Scholar]
- Rida, A.; Yang, L.; Vyas, R.; Tentzeris, M. Conductive inkjet-printed antennas on flexible low-cost paper-based substrates for RFID and WSN applications. IEEE Antennas Propag. Mag. 2009, 51, 13–23. [Google Scholar] [CrossRef]
- Castro, H.; Correia, V.; Sowade, E.; Mitra, K.; Rocha, J.; Baumann, R.; Lanceros-Méndez, S. All-inkjet-printed low-pass filters with adjustable cutoff frequency consisting of resistors, inductors and transistors for sensor applications. Org. Electron. 2016, 38, 205–212. [Google Scholar] [CrossRef]
- Kang, B.J.; Lee, C.K.; Oh, J.H. All-inkjet-printed electrical components and circuit fabrication on a plastic substrate. Microelectron. Eng. 2012, 97, 251–254. [Google Scholar] [CrossRef]
- Gomes, H.; Medioros, M.C.R.; Villani, F.; Canudo, J.; Foffredo, F.; Miscioscia, R.; Martinez-Domingo, C.; Ramon, E.; Sowade, E.; Mitra, K.Y.; et al. All-inkjet printed organic transistors: Dielectric surface passivation techniques for improved operational stability and lifetime. Microelectron. Reliab. 2015, 55, 1192–1195. [Google Scholar] [CrossRef]
- Chung, S.; Jang, J.; Cho, J.; Lee, C.; Kwon, S.; Hong, Y. All-inkjet-printed organic thin-film transistors with silver gate, source/drain electrodes. Jpn. J. Appl. Phys. 2011, 50, 03CB05. [Google Scholar] [CrossRef]
- Kawase, T.; Moriya, S.; Newsome, C.J.; Shimoda, T. Inkjet printing of polymeric field-effect transistors and its applications. Jpn. J. Appl. Phys. 2005, 44, 3649–3658. [Google Scholar] [CrossRef]
- Chung, S.; Kim, S.O.; Kwon, S.; Lee, C.; Hong, Y. All-inkjet-printed organic thin-film transistor inverter on flexible plastic substrate. IEEE Electron Device Lett. 2011, 32, 1134–1136. [Google Scholar] [CrossRef]
- Kim, S.H.; Kang, I.; Kim, Y.G.; Hwang, H.R.; Kim, Y.; Kwon, S.; Jang, J. High performance ink-jet printed diketopyrrolopyrrole-based copolymer thin-film transistors using a solution-processed aluminium oxide dielectric on a flexible substrate. J. Mater. Chem. C 2013, 1, 2408–2411. [Google Scholar] [CrossRef]
- Mitra, K.Y.; Sowade, E.; Martínez-Domingo, C.; Ramon, E.; Carrabina, J.; Gomes, H.L.; Baumann, R.R. Potential up-scaling of inkjet-printed devices for logical circuits in flexible electronics. AIP Conf. Proc. 2015, 1646, 106–114. [Google Scholar]
- Aernouts, T.; Aleksandrov, T.; Girotto, C.; Genoe, J.; Poortmans, J. Polymer based organic solar cells using ink-jet printed active layers. Appl. Phys. Lett. 2008, 92, 22. [Google Scholar] [CrossRef]
- Jung, S.; Sou, A.; Banger, K.; Ko, D.; Chow, P.C.; Mcneill, C.R.; Sirringhaus, H. Organic solar cells: All-inkjet-printed, all-air-processed solar cells. Adv. Energy Mater. 2014, 4, 1400432. [Google Scholar] [CrossRef]
- Eggenhuisen, T.M.; Galagan, Y.; Biezemans, A.F.; Slaats, T.M.; Voorthuijzen, W.P.; Kommeren, S.; Shanmugam, S.; Teunissen, J.P.; Hadipour, A.; Verhees, W.J.H.; et al. High efficiency, fully inkjet printed organic solar cells with freedom of design. J. Mater. Chem. A 2015, 3, 7255–7262. [Google Scholar] [CrossRef]
- Correia, V.; Caparros, C.; Casellas, C.; Francesch, L.; Rocha, J.G.; Lanceros-Mendez, S. Development of inkjet printed strain sensors. Smart Mater. Struct. 2013, 22, 105028. [Google Scholar] [CrossRef]
- Sousa, R.E.; Costa, C.M.; Lanceros-Méndez, S. Advances and future challenges in printed batteries. ChemSusChem 2015, 8, 3539–3555. [Google Scholar] [CrossRef]
- Ho, C.C.; Murata, K.; Steingart, D.A.; Evans, J.W.; Wright, P.K. A super ink jet printed zinc–silver 3D microbattery. J. Micromech. Microeng. 2009, 19, 094013. [Google Scholar] [CrossRef]
- Wang, Y.; Guo, Y.; Wan, L. Inkjet-printed thin films of nanostructured electrode materials for lithium-ion batteries. Chin. Sci. Bull. 2013, 31, 3227–3232. [Google Scholar] [CrossRef]
- Gaikwad, A.M.; Arias, A.C.; Steingart, D.A. Back cover: Recent progress on printed flexible batteries: mechanical challenges, printing technologies, and future prospects. Energy Technol. 2015, 3, 305–328. [Google Scholar] [CrossRef]
- Madigan, C.; Slyke, S.V.; Vronsky, E. Inkjet printing equipment for organic LED mass production. SPIE Newsroom 2015. [Google Scholar] [CrossRef]
- Amruth, C.; Beata, L.; Bertrand, D.; Zbigniew, S. Inkjet printing technique and its application in organic light emitting diodes. Display Imaging 2017, 2, 339–358. [Google Scholar]
- Villani, F.; Vacca, P.; Nenna, G.; Valentino, O.; Burrasca, G.; Fasolino, T.; Minarini, C.; Sala, D.D. Inkjet printed polymer layer on flexible substrate for OLED applications. J. Phys. Chem. C 2009, 113, 13398–13402. [Google Scholar] [CrossRef]
- Olivier, S.; Derue, L.; Geffroy, B.; Ishow, E.; Maindron, T. Inkjet printing of photopolymerizable small molecules for OLED applications. In Proceedings of the SPIE: Organic Light Emitting Materials and Devices XIX, San Diego, CA, USA, 22 September 2015; Volume 9566. [Google Scholar]
- Teichler, A.; Shu, Z.; Wild, A.; Bader, C.; Nowotny, J.; Kirchner, G.; Harkema, S.; Perelaer, J.; Schubert, U.S. Inkjet printing of chemically tailored light-emitting polymers. Eur. Polym. J. 2013, 49, 2186–2195. [Google Scholar] [CrossRef]
- Coenen, M.J.; Slaats, T.M.; Eggenhuisen, T.M.; Groen, P. Inkjet printing the three organic functional layers of two-colored organic light emitting diodes. Thin Solid Films 2015, 583, 194–200. [Google Scholar] [CrossRef]
- Chen, P.; Chen, C.; Chen, C.; Tsai, L.; Ting, H.; Lin, L.; Chen, C.-C.; Chen, C.-Y.; Chang, L.-H.; Shih, T.-H.; et al. 65-inch inkjet printed organic light-emitting display panel with high degree of pixel uniformity. SID Symp. Digest Tech. Pap. 2014, 45, 396–398. [Google Scholar] [CrossRef]
- Shah, A. Thin-film Silicon Solar Cells; EPFL Press: Lausanne, Switzerland, 2010. [Google Scholar]
- Grätzel, M. Dye-sensitized Solar Cells. J. Photochem. Photobiol. C Photochem. Rev. 2003, 4, 145–153. [Google Scholar] [CrossRef]
- You, J.; Dou, L.; Yoshimura, K.; Kato, T.; Ohya, K.; Moriarty, T.; Emery, K.; Chen, C.-C.; Gao, J.; Li, G.; et al. A polymer tandem solar cell with 10.6% power conversion efficiency. Nat. Commun. 2013, 1446, 1–10. [Google Scholar] [CrossRef]
- Choy, W.C.H. Organic Solar Cells: Materials and Device Physics; Springer: London, UK, 2013. [Google Scholar]
- Lupo, D.; Clemens, W.; Breitung, S.; Hecker, K. OE-A Roadmap for Organic and Printed Electronics. In Applications of organic and printed electronics; Cantatore, E., Ed.; Springer: New York, NY, USA, 2012; pp. 1–26. [Google Scholar]
- Park, S.-H.; Roy, A.; Beaupré, S.; Cho, S.; Coates, N.; Moon, J.-S.; Moses, D.; Leclerc, M.; Lee, K.; Heeger, A.J. Bulk heterojunction solar cells with internal quantum efficiency approaching 100%. Nat. Photonics 2009, 3, 297–302. [Google Scholar] [CrossRef]
- Krebs, F.C.; Jørgensen, M.; Norrman, K.; Hagemann, O.; Alstrup, J.; Nielsen, T.D.; Fyenbo, J.; Larsen, K.; Kristensen, J. A complete process for production of flexible large area polymer solar cells entirely using screen printing -first public demonstration. Sol. Energy Mater. Sol. Cells 2009, 93, 422–441. [Google Scholar] [CrossRef]
- Ding, J.M.; Vornbrock, A.D.; Ting, C.; Subramanian, V. Patternable polymer bulk heterojunction photovoltaic cells on plastic by rotogravure printing. Sol. Energy Mater. Sol. Cells 2009, 93, 459–464. [Google Scholar] [CrossRef]
- Hübler, A.; Trnovec, B.; Zillger, T.; Ali, M.; Wetzold, N.; Mingebach, M.; Wagenpfahl, A.; Deibel, C.; Dyakonov, V. Printed Paper Photovoltaic Cells. Adv. Energy Mater. Adv. Energy Mater. 2011, 1, 1018–1022. [Google Scholar] [CrossRef]
- Lungenschmied, C.; Dennler, G.; Neugebauer, H.; Sariciftci, S.N.; Glatthaar, M.; Meyer, T.; Meyer, A. Flexible, Long-lived, Large-area, Organic Solar Cells. Sol. Energy Mater. Sol. Cells 2007, 91, 379–384. [Google Scholar] [CrossRef]
- Krebs, F.C.; Alstrup, J.; Spanggaard, H.; Larsen, K.; Kold, E. Production of large-area polymer solar cells by industrial silk screen printing, lifetime considerations and lamination with polyethyleneterephthalate. Sol. Energy Mater. Sol. Cells 2004, 83, 293–300. [Google Scholar] [CrossRef]
- Glatthaar, M. Zur Funktionsweise Organischer Solarzellen auf der Basis Interpenetrierender Donator-, Akzeptor-Netzwerke. Ph.D. Dissertation, Albert-Ludwigs-Universität, Freiburg (Breisgau), Germany, 2007. [Google Scholar]
- Manceau, M.; Angmo, D.; Jørgensen, M.; Krebs, F.C. ITO-free flexible polymer solar cells: From small model devices to roll-to-roll processed large modules. Org. Electron. 2011, 12, 566–574. [Google Scholar] [CrossRef]
- Kyaw, A.K.; Sun, X.W.; Jiang, C.Y.; Lo, G.Q.; Zhao, D.W.; Kwong, D.L. An inverted organic solar cell employing a sol-gel derived ZnO electron selective layer and thermal evaporated MoO3 hole selective layer. Appl. Phys. Lett. 2008, 93, 221107. [Google Scholar] [CrossRef]
- Cherian, D.; Mitra, K.Y.; Hartwig, M.; Malinowski, P.E.; Baumann, R.R. Fabrication of organic photo detectors using inkjet technology and its comparison to conventional deposition processes. IEEE Sens. J. 2018, 18, 94–105. [Google Scholar] [CrossRef]
- Mitra, D.; Mitra, K.Y.; Dzhagan, V.; Pillai, N.; Zahn, D.R.T.; Baumann, R.R. Work function and conductivity of inkjet-printed silver layers: Effect of inks and post-treatments. J. Electron. Mater. 2018, 47, 2135–2142. [Google Scholar] [CrossRef]
- Material Data Sheet of Product N11, ZnO Based Nanoparticle Dispersion Ink. Available online: https://avantama.com/shop/n-11-jet/ (accessed on 11 November 2018).
- Sowade, E.; Ramon, E.; Mitra, K.Y.; Martínez-Domingo, C.; Pedró, M.; Pallarès, J.; Loffredo, F.; Villani, F.; Gomes, H.L.; Terés, L.; Baumann, R.R. All-inkjet-printed thin-film transistors: Manufacturing process reliability by root cause analysis. Sci. Rep. 2016, 6, 1–15. [Google Scholar] [CrossRef] [PubMed]








| Functional Layer | No. of Nozzles | Jetting Voltage (V) | Substrate Temperature (°C) | Cartridge Temperature (°C) | Drop Space (µm) & No. of Layers | Curing (°C, min) |
|---|---|---|---|---|---|---|
| DMP-2831 & DMC Cartridges, 10 pL drop volume | ||||||
| 1. Ag | 12 | 24 | 28 | 36 | 40 & 1 | 150, 30 |
| 2. ZnO | 8 | 26 | 28 | 36 | 25 & 2 | 135, 20 |
| 3. P3HT:PCBM | 10 | 30 | 60 | 50 | 25 & 2 | 120, 20 |
| 4. PEDOT:PSS | 6 | 32 | 28 | 28 | 15, 11 & 2 | 100, 20 |
| DMP-3000 & SE3 printheads, 35 pL drop volume | ||||||
| 1. Ag | 40 | 99 | 45 | 28 | 65 & 1 | 150, 30 |
| 2. ZnO | 36 | 110 | 55 | 28 | 40 & 2 | 135, 20 |
| 3. P3HT:PCBM | 50 | 131 | 70 | 50 | 40 & 1 | 120, 20 |
| 4. PEDOT:PSS | 30 | 121 | 28 | 28 | 35 & 2 | 100, 20 |
© 2018 by the authors. Licensee MDPI, Basel, Switzerland. This article is an open access article distributed under the terms and conditions of the Creative Commons Attribution (CC BY) license (http://creativecommons.org/licenses/by/4.0/).
Share and Cite
Mitra, K.Y.; Alalawe, A.; Voigt, S.; Boeffel, C.; Baumann, R.R. Manufacturing of All Inkjet-Printed Organic Photovoltaic Cell Arrays and Evaluating Their Suitability for Flexible Electronics. Micromachines 2018, 9, 642. https://doi.org/10.3390/mi9120642
Mitra KY, Alalawe A, Voigt S, Boeffel C, Baumann RR. Manufacturing of All Inkjet-Printed Organic Photovoltaic Cell Arrays and Evaluating Their Suitability for Flexible Electronics. Micromachines. 2018; 9(12):642. https://doi.org/10.3390/mi9120642
Chicago/Turabian StyleMitra, Kalyan Yoti, Abdelrahman Alalawe, Stefanie Voigt, Christine Boeffel, and Reinhard R. Baumann. 2018. "Manufacturing of All Inkjet-Printed Organic Photovoltaic Cell Arrays and Evaluating Their Suitability for Flexible Electronics" Micromachines 9, no. 12: 642. https://doi.org/10.3390/mi9120642
APA StyleMitra, K. Y., Alalawe, A., Voigt, S., Boeffel, C., & Baumann, R. R. (2018). Manufacturing of All Inkjet-Printed Organic Photovoltaic Cell Arrays and Evaluating Their Suitability for Flexible Electronics. Micromachines, 9(12), 642. https://doi.org/10.3390/mi9120642

