Numerical and Experimental Study into Paper Compression Test
Abstract
:1. Introduction
2. Materials and Methods
2.1. Measuring Stand
2.2. Image Processing and Analysis Technique
2.3. Hill’s Anisotropic Potential Theory
2.4. Finite Element Model
3. Results and Discussion
3.1. Shape of Paper Samples Subjected to Compressive Forces in Subsequent Measurement Phases
- compression without visible deflection—linear dependence of force on shortening;
- significant deflection (possible appearance of buckling force) and consequent nonlinear increase in force with further shortening;
- visible deformation of sample and nonlinear drop of force vs. shortening;
- appearance of a joint in the middle of the sample or destruction in the area of the joints.
3.2. Critical Forces
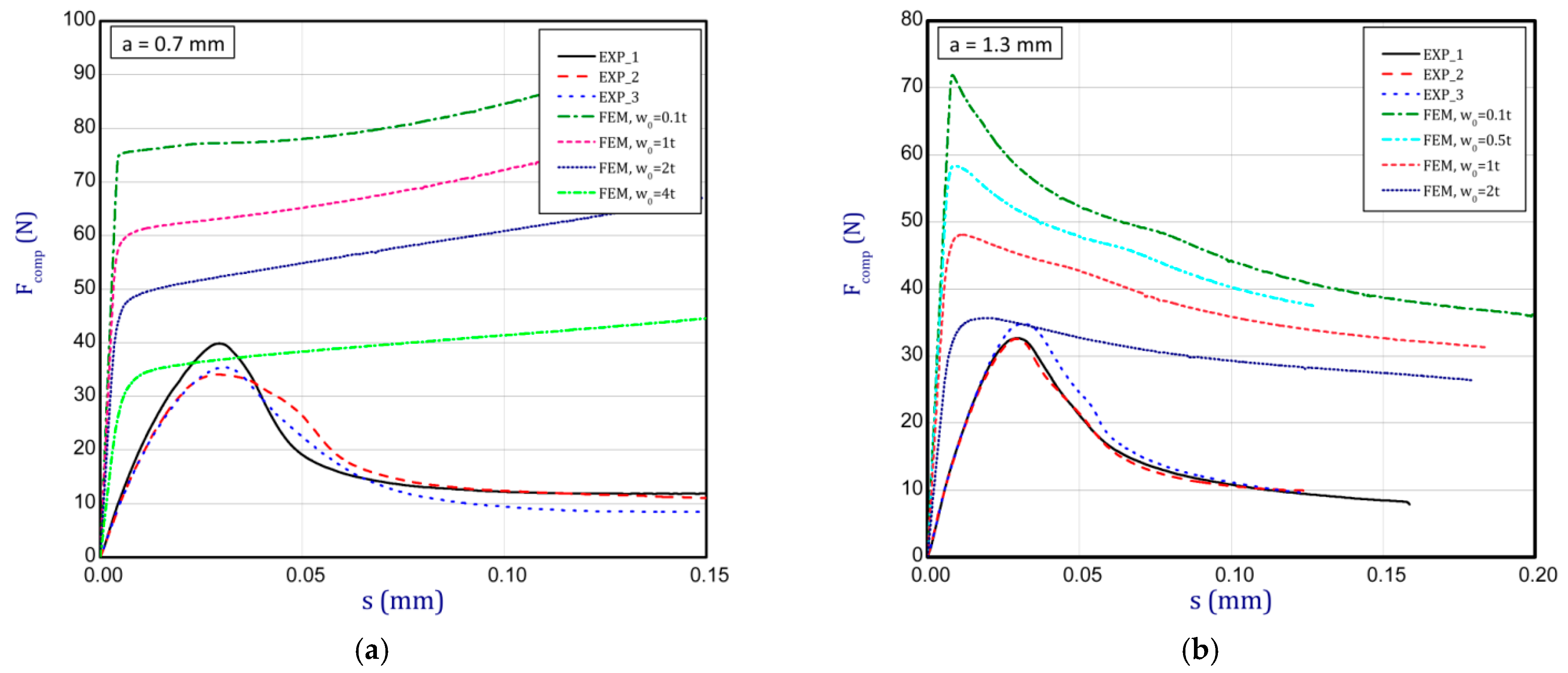
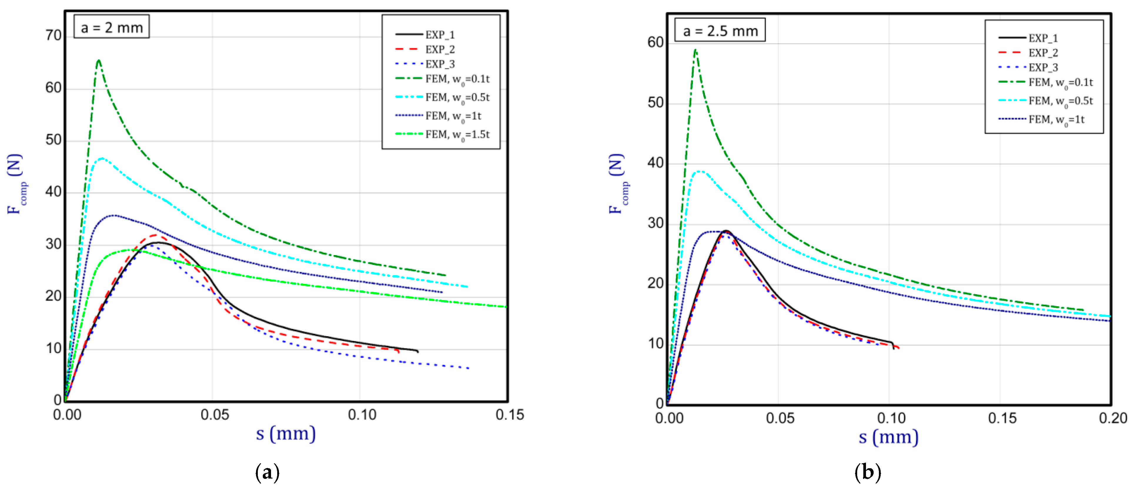
3.3. Full Curves of Compression
3.4. Deformation Edge Points
4. Conclusions
Author Contributions
Funding
Institutional Review Board Statement
Informed Consent Statement
Data Availability Statement
Conflicts of Interest
References
- Rzepa, S. Parametry papieru. In Proceedings of the Sympozjum Mondi Packaging “From Fibre to Corrugated Board”, Świecie, Poland, 1–2 December 2004. [Google Scholar]
- Bai, J.; Wang, J.; Pan, L.; Lu, L.; Lu, G. Quasi-static axial crushing of single wall corrugated paperboard. Compos. Struct. 2019, 226, 111237. [Google Scholar] [CrossRef]
- Fadiji, T.; Coetzee, C.J.; Oparab, U.L. Analysis of the creep behaviour of ventilated corrugated paperboard packaging for handling fresh produce—An experimental study. Food Bioprod. Process. 2019, 117, 126–137. [Google Scholar] [CrossRef]
- Czechowski, L.; Bieńkowska, M.; Szewczyk, W. Paperboard tubes failure due to lateral compression—Experimental and numerical study. Compos. Struct. 2018, 203, 132–141. [Google Scholar] [CrossRef]
- Kołakowski, Z.; Szewczyk, W.; Bieńkowska, M.; Czechowski, L. New method for evaluation of radial crush strength of paper cores. Mechanika 2018, 24, 169–173. [Google Scholar] [CrossRef]
- Gajewski, T.; Garbowski, T.; Staszak, N.; Kuca, M. Crushing of double-walled corrugated board and its influence on the load capacity of various boxes. Energies 2021, 14, 4321. [Google Scholar] [CrossRef]
- Yu-Ping, E.; Wang, Z.-W. Plateau stress of paper honeycomb as response to various relative humidities. Packag. Technol. Sci. 2010, 23, 203–216. [Google Scholar] [CrossRef]
- Abbès, B.; Guo, Y.Q. Analytic homogenization for torsion of orthotropic sandwich plates: Application to corrugated cardboard. Compos. Struct. 2010, 92, 699–706. [Google Scholar] [CrossRef]
- Semple, K.E.; Sam-Brew, S.; Deng, J.; Cote, F.; Yan, N.; Chen, Z.; Smith, G.D. Properties of commercial Kraft paper honeycomb furniture stock panels conditioned under 65 and 95 percent relative humidity. For. Prod. J. 2015, 65, 106–122. [Google Scholar] [CrossRef]
- Kmita-Fudalej, G.; Szewczyk, W.; Kołakowski, Z. Calculation of honeycomb paperboard resistance to edge crush test. Materials 2020, 13, 1706. [Google Scholar] [CrossRef]
- Calvin, S.; Fellers, C. A new method for measuring the edgewise compression properties of paper. Sven. Papperstidng 1975, 78, 329–332. [Google Scholar]
- Åslund, P.E.; Hägglund, R.; A Carlsson, L.; Isaksson, P. Modeling of global and local buckling of corrugated board panels loaded in edge-to-edge compression. J. Sandw. Struct. Mater. 2014, 16, 272–292. [Google Scholar] [CrossRef]
- Fadiji, T.; Ambaw, A.; Coetzee, C.J.; Berry, T.M.; Opara, U.L. Application of finite element analysis to predict the mechanical strength of ventilated corrugated paperboard packaging for handling fresh produce. Biosyst. Eng. 2018, 174, 260–281. [Google Scholar] [CrossRef]
- Li, X.; Wang, J.; Chuang, C.; Gao, D.; Lu, G.; Lu, L.; Wang, Z. Mathematical models for predicting the quasi-static stress characteristics of corrugated paperboard with sinusoidal core along the longitudinal compression. Int. J. Mech. Sci. 2018, 149, 136–149. [Google Scholar] [CrossRef]
- Kubiak, T.; Kołakowski, Z.; Swiniarski, J.; Urbaniak, M.; Gliszczynski, A. Local buckling and post-buckling of composite channel-section beams—Numerical and experimental investigations. Compos. Part B Eng. 2016, 91, 176–188. [Google Scholar] [CrossRef]
- Mou, X.N.; Lu, L.X.; Zhou, Y.L. Evaluation of in-plane compressive densification strain of honeycomb paperboard. Adv. Mech. Eng. 2020, 12, 1–11. [Google Scholar] [CrossRef]
- Wang, D.M.; Wang, Z.-W. Experimental investigation into the cushioning properties of honeycomb paperboard. Packag. Technol. Sci. 2008, 21, 309–316. [Google Scholar] [CrossRef]
- Smardzewski, J.; Prekrat, S. Modelling of thin paper honeycomb panels for furniture. In Proceedings of the International Conference Ambienta, Wood Is Good—With Knowledge and Technology to a Competitive Forestry and Wood Technology Sector, Zagreb, Croatia, 12 October 2012; pp. 179–186. [Google Scholar]
- PN-EN ISO 3035:2011; Tektura Falista Oznaczanie Odporności na Zgniatanie Płaskie. PKN: Warszawa, Poland, 2011. (In Polish)
- Hagman, A.; Huang, H.; Nygårds, M. Investigation of shear induced failure during SCT loading of paperboards. Nord. Pulp Pap. Res. J. 2013, 28, 415–429. [Google Scholar] [CrossRef]
- Murray, N.W.; Khoo, P.S. Some basic plastic mechanism in the local buckling of thin-walled steel structures. Int. J. Mech. Sci. 1981, 23, 703–713. [Google Scholar] [CrossRef]
- Królak, M. (Ed.) Stany zakrytyczne i nośność graniczna cienkościennych dźwigarów o ścianach płaskich; PWN: Warszawa-Łódź, Poland, 1990; p. 553. (In Polish) [Google Scholar]
- Volmir, A.S. Nonlinear Dynamics of Plates and Shells; Science Publishing House: Moscow, Russia, 1972; p. 432. (In Russian) [Google Scholar]
- Reddy, J.N. Mechanics of Laminated Composite Plates and Shells: Theory and Analysis, 2nd ed.; CRC Press: Boca Raton, FL, USA, 2004. [Google Scholar]
- Kołakowski, Z.; Jankowski, J. Some inconsistencies in the nonlinear buckling plate theories—FSDT, S-FSDT, HSDT. Materials 2021, 14, 2154. [Google Scholar] [CrossRef]
- Fellers, C. The Significance of Structure on the Compression Behavior of Paper. Ph.D. Thesis, Department of Paper Technology, Royal Institute of Technology, Stockholm, Sweden, 1980. [Google Scholar]
- Brandberg, A.; Kulachenko, A. Compression failure in dense non-woven fiber networks. Cellulose 2020, 27, 6065–6082. [Google Scholar] [CrossRef]
- Gonzalez, R.C.; Woods, R.E. Digital Image Processing; Prentice Hall: Hoboken, NJ, USA, 2002. [Google Scholar]
- Laermann, K.H. (Ed.) Optical Methods in Experimental Solid Mechanics; Springer: Vienna, Austria, 2000. [Google Scholar] [CrossRef]
- Zhu, C.; Wang, H.; Kaufmann, K.; Vecchio, K.S. A computer vision approach to study surface deformation of materials. Meas. Sci. Technol. 2020, 31, 055602. [Google Scholar] [CrossRef]
- Sutton, M.A.; Orteu, J.J.; Schreier, H. Image Correlation for Shape, Motion and Deformation Measurements: Basic Concepts, Theory and Applications; Springer Science & Business Media: New York, NY, USA, 2009. [Google Scholar] [CrossRef]
- Pełczyński, P.; Szewczyk, W.; Bieńkowska, M.; Kołakowski, Z. A New Technique for Determining the Shape of a Paper Sample in In-Plane Compression Test Using Image Sequence Analysis. Appl. Sci. 2023, 13, 1389. [Google Scholar] [CrossRef]
- Borgqvist, E.; Wallin, M.; Tryding, J.; Ristinmaa, M.; Tudisco, E. Localized deformation in compression and folding of paperboard. Packag. Technol. Sci. 2016, 29, 397–414. [Google Scholar] [CrossRef]
- Pełczyński, P.; Szewczyk, W.; Bieńkowska, M. Single-Camera Sysytem for Measuring Paper Deformations Based on Image Analysis. Metrol. Meas. Syst. 2021, 28, 509–522. [Google Scholar] [CrossRef]
- Hill, R. Theoretical plasticity of textured aggregates. Math. Proc. Camb Philos. Soc. 1979, 85, 179. [Google Scholar] [CrossRef]
- Hill, R. A theory of the yielding and plastic flow of anisotropic metals. Proc. R. Soc. Lond. Ser. A 1948, 193, 281. [Google Scholar]
- Hill, R. The Mathematical Theory of Plasticity; Oxford University Press: New York, NY, USA, 1983. [Google Scholar]
- ANSYS 18.1 User’s Guide; Ansys Inc.: Houston, TX, USA, 2017.














| (N) | |||||||||
|---|---|---|---|---|---|---|---|---|---|
| Mode | a = 0.7 mm | a = 1.3 mm | a = 2 mm | a = 2.5 mm | a = 3 mm | a = 3.5 mm | a = 4 mm | a = 4.5 mm | a = 5 mm |
| 1 | 1124.3 | 415.3 | 187.5 | 122.2 | 85.7 | 63.4 | 48.7 | 38.6 | 31.3 |
| 2 | 1125.8 | 416.9 | 189.1 | 123.8 | 87.3 | 64.9 | 50.2 | 40.1 | 32.8 |
| 3 | 1128.4 | 420.2 | 192.6 | 127.4 | 90.9 | 68.6 | 54.0 | 43.9 | 36.7 |
| 4 | 1132.2 | 425.3 | 198.3 | 133.4 | 97.1 | 75.0 | 60.6 | 50.8 | 43.8 |
| 5 | 1137.4 | 432.5 | 206.5 | 142.1 | 106.3 | 84.7 | 70.8 | 61.4 | 54.9 |
| a (mm) | Number of Mode | ||||
|---|---|---|---|---|---|
| 1 | 2 | 3 | 4 | 5 | |
| 0.7 | ![]() | ![]() | ![]() | ![]() | ![]() |
| 1.3 | ![]() | ![]() | ![]() | ![]() | ![]() |
| 2 | ![]() | ![]() | ![]() | ![]() | ![]() |
| 2.5 | ![]() | ![]() | ![]() | ![]() | ![]() |
| 3 | ![]() | ![]() | ![]() | ![]() | ![]() |
| 3.5 | ![]() | ![]() | ![]() | ![]() | ![]() |
| 4 | ![]() | ![]() | ![]() | ![]() | ![]() |
| 4.5 | ![]() | ![]() | ![]() | ![]() | ![]() |
| 5 | ![]() | ![]() | ![]() | ![]() | ![]() |
| Variant | a = 0.7 mm | a = 1.3 mm | a = 2 mm | a = 2.5 mm | a = 3 mm | a = 3.5 mm | a = 4 mm | a = 4.5 mm | a = 5 mm |
|---|---|---|---|---|---|---|---|---|---|
| EXPmean | 36.5 ± 3.1 | 33.4 ± 1.3 | 30.8 ± 1.0 | 28.7 ± 0.4 | 26.8 ± 0.7 | 24.0 ± 1.7 | 20.4 ± 1.4 | 17.5 ± 1.5 | 15.9 ± 0.9 |
| FEM/ w0 = 0.1 t | - | 71.9 | 65.7 | 59.3 | 51.6 | 44.8 | 38.2 | 32.2 | 27.2 |
| FEM/ w0 = 0.5 t | - | 58.3 | 46.7 | 38.8 | 32.4 | 28.6 | 25.3 | 22.5 | 19.9 |
| FEM/ w0 = 0.75 t | - | - | - | - | 27.3 | 24.2 | - | - | 17.4 |
| FEM/ w0 = 1 t | - | 48.1 | 35.7 | 28.8 | 23.6 | 21.1 | 19.0 | 17.1 | 15.5 |
| FEM/ w0 = 1.5 t | - | - | 29.1 | - | - | - | - | - | - |
| FEM/ w0 = 2 t | - | 35.6 | - | - | - | - | - | - | - |
| FEM/ w0 = 4 t | - | - | - | - | - | - | - | - | - |
Disclaimer/Publisher’s Note: The statements, opinions and data contained in all publications are solely those of the individual author(s) and contributor(s) and not of MDPI and/or the editor(s). MDPI and/or the editor(s) disclaim responsibility for any injury to people or property resulting from any ideas, methods, instructions or products referred to in the content. |
© 2023 by the authors. Licensee MDPI, Basel, Switzerland. This article is an open access article distributed under the terms and conditions of the Creative Commons Attribution (CC BY) license (https://creativecommons.org/licenses/by/4.0/).
Share and Cite
Czechowski, L.; Pełczyński, P.; Bieńkowska, M.; Szewczyk, W. Numerical and Experimental Study into Paper Compression Test. Materials 2023, 16, 7513. https://doi.org/10.3390/ma16247513
Czechowski L, Pełczyński P, Bieńkowska M, Szewczyk W. Numerical and Experimental Study into Paper Compression Test. Materials. 2023; 16(24):7513. https://doi.org/10.3390/ma16247513
Chicago/Turabian StyleCzechowski, Leszek, Paweł Pełczyński, Maria Bieńkowska, and Włodzimierz Szewczyk. 2023. "Numerical and Experimental Study into Paper Compression Test" Materials 16, no. 24: 7513. https://doi.org/10.3390/ma16247513
APA StyleCzechowski, L., Pełczyński, P., Bieńkowska, M., & Szewczyk, W. (2023). Numerical and Experimental Study into Paper Compression Test. Materials, 16(24), 7513. https://doi.org/10.3390/ma16247513














































