Grinding Burn Detection via Magnetic Barkhausen Noise Analysis Independently of Induction Hardened Depth
Abstract
1. Introduction
2. Materials and Methods
2.1. Materials
2.2. MBN Measurements
- The signal at the output of the pick-up coil is amplified and band-pass filtered to obtain the MBN signal. The MBN envelope or root mean square (RMS) profile of MBN (MBNenv) is obtained using an analog RMS-DC converter integrated circuit.
- The voltage measured using the Hall effect sensor is amplified and filtered.
- These preprocessed signals are sent to a PC via a National Instruments DAQ device.
- The MBN envelope (MBNenv) is the average of the 12 magnetising cycles measured through the helical path of the ball screw shaft (e.g., the MBNenv of a positive excitation semycile is shown in Figure 2b).
- The MIN*, H1* and P2* parameters representative of the ball screw thread are calculated as the mean values of the MIN, H1 and P2 values, respectively, measured along the ball screw helical path (e.g., the average of the values shown in Figure 2b are calculated to yield the MIN* parameter of each part).
- The H2* parameter representative of the ball screw thread is taken differently, as the minimum value of all the H2 measured points along the ball screw’s helical path, since this is the worst scenario in each part according to the previous grinding burn detection methodology [17].
- The standard deviations of the analysed parameters representative of the ball screw thread are: MIN* = 0.6 mV, H1* = 112 A/m, P2* = 1.6 mV and H2* = 210 A/m. The variation in the measurement along the helical thread of each ball screw strongly depends on the homogeneity of each ball screw (both from the heat treatment and the grinding process).
2.3. Destructive Tests: Microhardness and Nanohardness Measurements, SEM Micrographs
- A matrix of 20 × 20 indentations with a spacing of 3 μm and with the first line aiming at 3 μm from the surface. The average value of this matrix is considered as the surface hardness value (Nanohardness at 3–60 µm).
- A line of 20 indentations, spaced 3 μm, at 350 μm from the edge.
- A line of 20 indentations, spaced 3 μm, at 2 mm from the edge.
3. Results
3.1. Microhardness, Nanohardness Measurements and SEM Micrograpghs
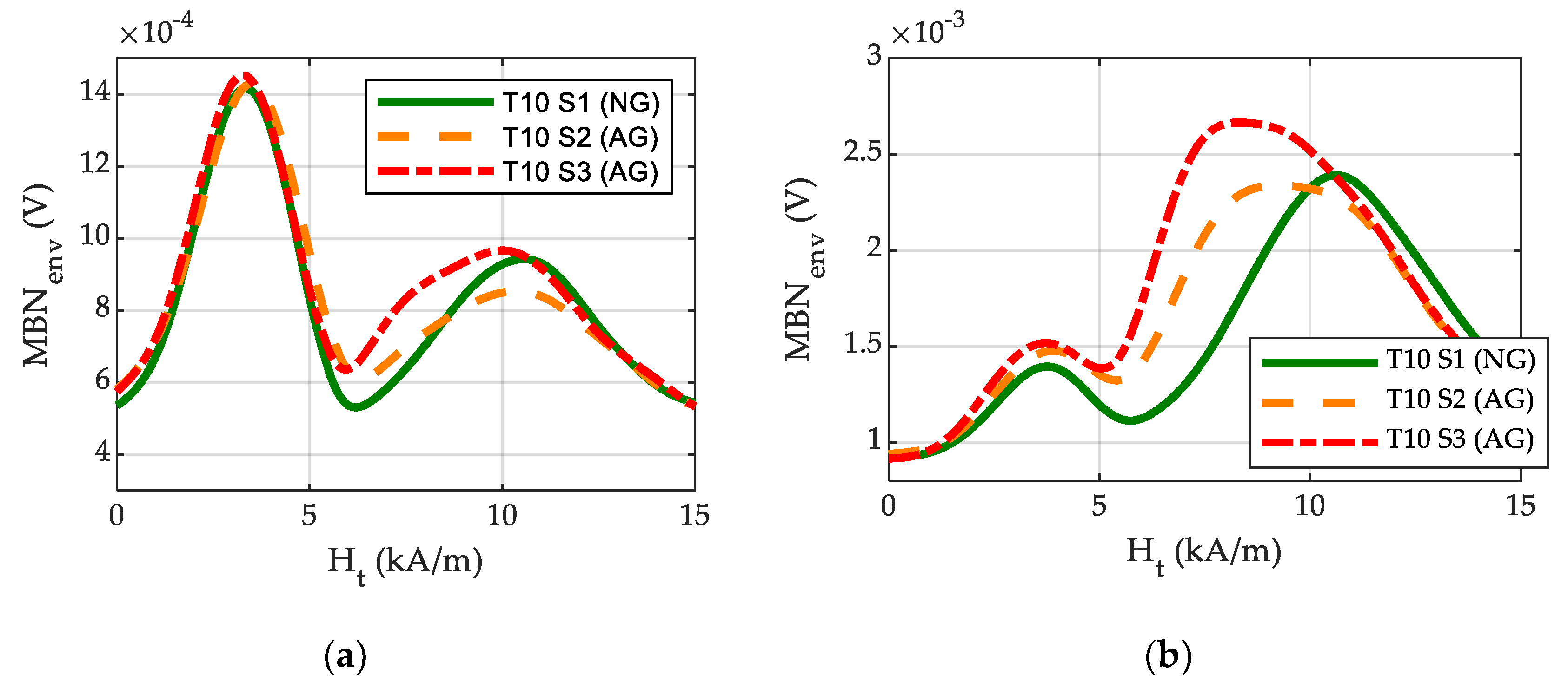
3.2. Magnetic Measurements
3.3. Multi-Parametric Analysis Using System 1
- Group 1 (G1)
- ○
- 5.25 kA/m < H1≤ 6.2 kA/m
- ○
- 4.65 kA/m ≤ H1 ≤ 5.25 kA/m and P2 ≤ 0.096 V
- ○
- H1 > 4.92 kA/m and 0.096 V < P2 < 0.13 V
- Group 2 (G2)
- ○
- 4.405 kA/m ≤ H1< 4.65 kA/m
- ○
- 4.65 kA/m ≤ H1 ≤ 5.25 kA/m and P2 ≥ 0.13 V
- ○
- H1 ≤ 4.92 kA/m and 0.096 V < P2 < 0.13 V
- Incorrect due to case depth (not further analysed in the present work as they do not have correct case depth):
- ○
- H1 > 6.2 kA/m
- ○
- H1 < 4.405 kA/m
- Threshold for slight GBs of Group 1: if Min (V) > 0.035 V + 0.218 P2 (V)
- Threshold for slight GBs of Group 2: if Min (V) > 0.023 V + 0.296 P2 (V)
- The next step involves classification of the part into groups, considering H1 (representative of the induction hardening layer depth (LD)) and a combination of H1 and P2.
- Finally, according to the relationships between P2 and MIN and depending on the classified group, threshold values for the MIN parameter are applied to detect any slight GB.
4. Conclusions
- Grouping the measurements based on estimated hardened layer depth (which is performed based on the parameter H1 measured).
- Generating detection threshold lines for the MIN parameter in terms of P2 by considering the relationship that exists between these parameters for each group in samples without grinding burns.
- Using the threshold line corresponding to the group of the piece (defined by its estimated hardened layer depth), determining whether the measured part falls in the area corresponding to the correct pieces (NG) or to the area corresponding to the abnormally ground parts (AG).
Author Contributions
Funding
Institutional Review Board Statement
Informed Consent Statement
Data Availability Statement
Conflicts of Interest
References
- Grum, J. A review of the influence of grinding conditions on resulting residual stresses after induction surface hardening and grinding. J. Mater. Process. Technol. 2001, 114, 212–226. [Google Scholar] [CrossRef]
- Savaria, V.; Monajati, H.; Bridier, F.; Bocher, P. Measurement and correction of residual stress gradients in aeronautical gears after various induction surface hardening treatments. J. Mater. Process. Technol. 2015, 220, 113–123. [Google Scholar] [CrossRef]
- He, B.; Wei, C.; Ding, S.; Shi, Z. A survey of methods for detecting metallic grinding burn. Meas. J. Int. Meas. Confed. 2019, 134, 426–439. [Google Scholar] [CrossRef]
- Dychton, K.; Gradzik, A.; Kolek, L.; Raga, K. Evaluation of thermal damage impact on microstructure and properties of carburized aisi 9310 gear steel grade by destructive and non-destructive testing methods. Materials 2021, 14, 5276. [Google Scholar] [CrossRef] [PubMed]
- Bach, G.; Goebbels, K.; Theiner, W.A. Characterization of hardening depth by Barkhausen noise measurement. Mater. Eval. 1988, 46, 1576–1580. [Google Scholar] [CrossRef]
- Saquet, O.; Tapuleasa, D.; Chicois, J. Use of Barkhausen noise for determination of surface hardened depth. Nondestr. Test. Eval. 1998, 14, 277–292. [Google Scholar] [CrossRef]
- Vaidyanathan, S.; Moorthy, V.; Jayakumar, T.; Raj, B. Evaluation of induction hardened case depth through microstructural characterisation using magnetic Barkhausen emission technique. Mater. Sci. Technol. Ser. 2000, 16, 202–208. [Google Scholar] [CrossRef]
- Moorthy, V.; Shaw, B.A.; Day, S. Evaluation of applied and residual stresses in case-carburised En36 steel subjected to bending using the magnetic Barkhausen emission technique. Acta Mater. 2004, 52, 1927–1936. [Google Scholar] [CrossRef]
- Blaow, M.; Evans, J.T.; Shaw, B.A. The effect of microstructure and applied stress on magnetic Barkhausen emission in induction hardened steel. J. Mater. Sci. 2007, 42, 4364–4371. [Google Scholar] [CrossRef]
- Bahadur, A.; Mitra, A.; Kumar, R.B.; Sagar, P.S. Evaluation and correlation of residual stress measurement in steel. J. Nondestr. Eval. 2007, 26, 47–55. [Google Scholar] [CrossRef]
- Kypris, O.; Nlebedim, I.C.; Jiles, D.C. A model for the Barkhausen frequency spectrum as a function of applied stress. J. Appl. Phys. 2014, 115, 083906. [Google Scholar] [CrossRef]
- Lasaosa, A.; Gurruchaga, K.; Arizti, F.; Martinez-de-Guerenu, A. Quantitative estimation of nonmonotonic residual stress depth-profiles using an extended Kypris-Jiles model of the magnetic Barkhausen noise spectrum. J. Appl. Phys. 2018, 123, 033904. [Google Scholar] [CrossRef]
- Sorsa, A.; Ruusunen, M.; Santa-aho, S.; Vippola, M. Sub-Surface analysis of grinding burns with Barkhausen noise measurements. Materials 2023, 16, 159. [Google Scholar] [CrossRef] [PubMed]
- Sackmann, D.; Heinzel, J.; Karpuschewski, B. An approach for a reliable detection of grinding burn using the Barkhausen noise multi-parameter analysis. Procedia CIRP 2020, 87, 415–419. [Google Scholar] [CrossRef]
- Roskosz, M.; Fryczowski, K.; Schabowicz, K. Evaluation of ferromagnetic steel hardness based on an analysis of the Barkhausen noise number of events. Materials 2020, 13, 2059. [Google Scholar] [CrossRef] [PubMed]
- Holmberg, J.; Hammersberg, P.; Lundin, P.; Olavison, J. Predictive modeling of induction-hardened depth based on the Barkhasuen noise signal. Micromachines 2023, 14, 97. [Google Scholar] [CrossRef] [PubMed]
- Lasaosa, A.; Gurruchaga, K.; Arizti, F.; Martinez-de-Guerenu, A. Induction Hardened Layer Characterization and Grinding Burn Detection by Magnetic Barkhausen Noise Analysis. J. Nondestruct. Eval. 2017, 36, 27. [Google Scholar] [CrossRef]
- Gurruchaga, K.; Martinez-de-Guerenu, A.; Lasaosa, A.; Arizti, F. Quality control of the induction hardened layer and the grinding process in aerospace ball screws via magnetic Barkhausen noise analysis. In Proceedings of the 19th World Conference on Non-Destructive Testing, Munich, Germany, 13–17 June 2016; Available online: https://www.ndt.net/article/wcndt2016/papers/p34.pdf (accessed on 30 November 2022).
- Lasaosa, A.; Gurruchaga, K.; Arizti, F.; Martinez-de-Guerenu, A. Influence of the magnetising field frequency and the analysis frequency bands on Barkhausen measurements to improve grinding burn detection and induction hardened layer depth characterization. In Proceedings of the 12th Edition of European Conference on Non-Destructive Testing, Gothenburg, Sweden, 11–15 June 2018; Available online: https://www.ndt.net/article/ecndt2018/papers/ecndt-0184-2018.pdf (accessed on 30 November 2022).
- Oliver, W.C.; Pharr, G.M. An improved technique for determining hardness and elastic modulus using load and displacement sensing indentation experiments. J. Mater. Res. 1992, 7, 1564–1583. [Google Scholar] [CrossRef]
- Nix, W.D.; Gao, H. Indentation size effects in crystalline materials: A law for strain gradient plasticity. J. Mech. Phys. Solids 1998, 46, 411–425. [Google Scholar] [CrossRef]
- Moorthy, V.; Shaow, B.A. Magnetic Barkhausen emission measurements for evaluation of material properties in gears. Nondestruct. Test. Eval. 2008, 23, 317–348. [Google Scholar] [CrossRef]











| Sample | Hardened Layer Depth (µm) | Grinding Condition | Microhardness at 150 µm (HV) | Microhardness at 350 µm (HV) | Nanohardness at 3–60 µm (HV) | Nanohardness at 350 µm (HV) | Presence of GB |
|---|---|---|---|---|---|---|---|
| T3 S1 | 519 | NG | 647 | 650 | - | - | No |
| T3 S2 | 500 | AG | 632 | 626 | - | - | Yes, observed in SEM |
| T10 S1 | 1056 | NG | 709 | 698 | 849 | 808 | No |
| T10 S2 | 1150 | NG | 716 | 713 | 855 | 907 | Yes, slight |
| T10 S3 | 1100 | AG | 678 | 698 | 814 | 846 | Yes |
| T12 S1 | 1250 | NG | 722 | 720 | - | - | No |
| T12 S2 | 1210 | AG | 580 | 646 | - | - | Yes, severe |
Disclaimer/Publisher’s Note: The statements, opinions and data contained in all publications are solely those of the individual author(s) and contributor(s) and not of MDPI and/or the editor(s). MDPI and/or the editor(s) disclaim responsibility for any injury to people or property resulting from any ideas, methods, instructions or products referred to in the content. |
© 2023 by the authors. Licensee MDPI, Basel, Switzerland. This article is an open access article distributed under the terms and conditions of the Creative Commons Attribution (CC BY) license (https://creativecommons.org/licenses/by/4.0/).
Share and Cite
Gurruchaga, K.; Lasaosa, A.; Artetxe, I.; Martínez-de-Guerenu, A. Grinding Burn Detection via Magnetic Barkhausen Noise Analysis Independently of Induction Hardened Depth. Materials 2023, 16, 2127. https://doi.org/10.3390/ma16052127
Gurruchaga K, Lasaosa A, Artetxe I, Martínez-de-Guerenu A. Grinding Burn Detection via Magnetic Barkhausen Noise Analysis Independently of Induction Hardened Depth. Materials. 2023; 16(5):2127. https://doi.org/10.3390/ma16052127
Chicago/Turabian StyleGurruchaga, Kizkitza, Aitor Lasaosa, Itsaso Artetxe, and Ane Martínez-de-Guerenu. 2023. "Grinding Burn Detection via Magnetic Barkhausen Noise Analysis Independently of Induction Hardened Depth" Materials 16, no. 5: 2127. https://doi.org/10.3390/ma16052127
APA StyleGurruchaga, K., Lasaosa, A., Artetxe, I., & Martínez-de-Guerenu, A. (2023). Grinding Burn Detection via Magnetic Barkhausen Noise Analysis Independently of Induction Hardened Depth. Materials, 16(5), 2127. https://doi.org/10.3390/ma16052127

