Mechanically Stable Magnetic Metallic Materials for Biomedical Applications
Abstract
1. Introduction
2. Materials and Methods
3. Results and Discussion
3.1. Structural Properties
3.2. Electronic Properties
3.3. Elastic Properties
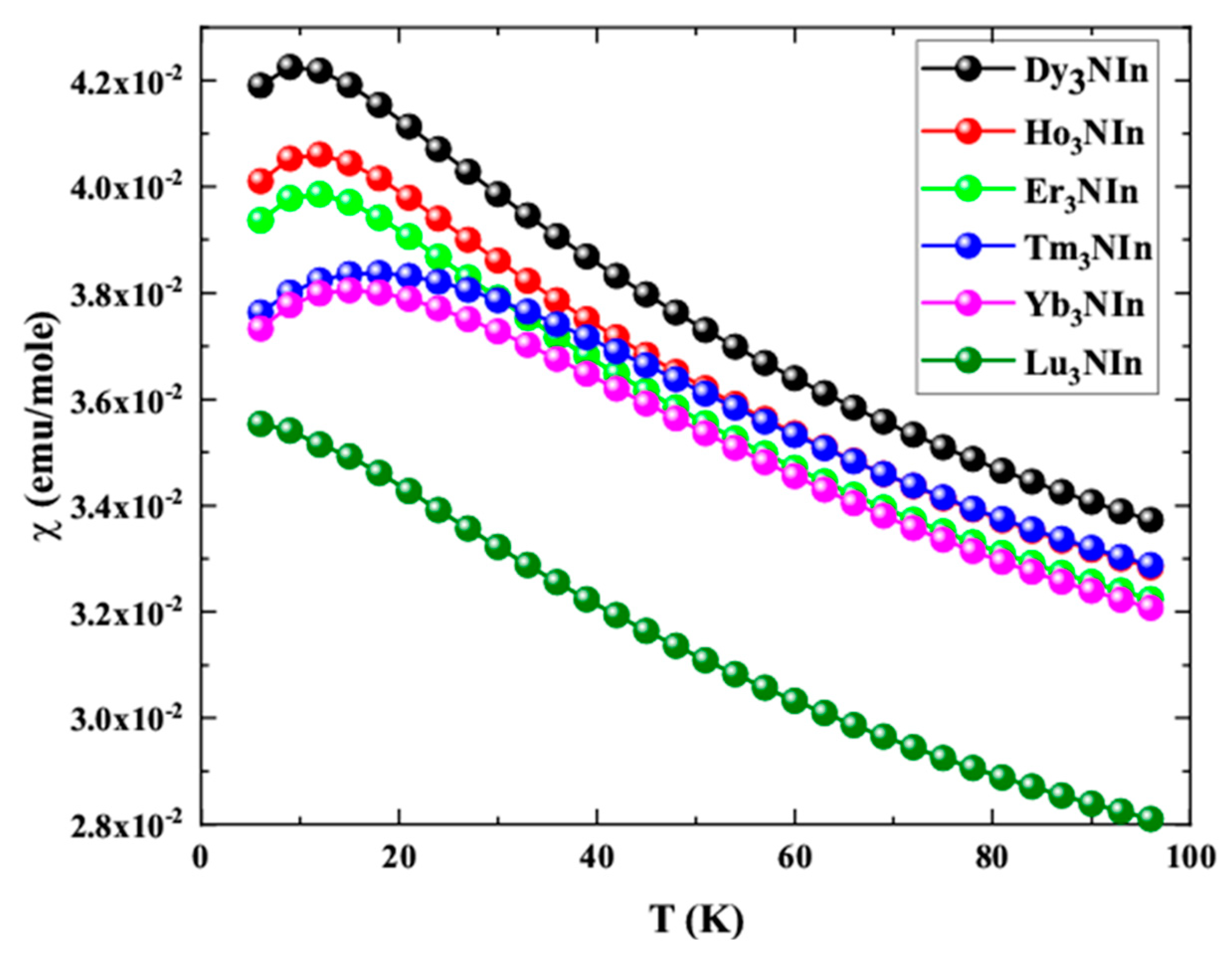
3.4. Magnetic Properties
4. Conclusions
Author Contributions
Funding
Institutional Review Board Statement
Informed Consent Statement
Data Availability Statement
Acknowledgments
Conflicts of Interest
References
- Krivovichev, S.V. Minerals with anti-perovskite structure: A review. Z. Krystallog. 2008, 223, 1–2. [Google Scholar]
- Xia, W.; Zhao, Y.; Zhao, F.; Adair, K.; Zhao, R.; Li, S.; Zou, R.; Zhao, Y.; Sun, X. Anti-perovskite Electrolytes for Solid-State Batteries. Chem. Rev. 2022, 122, 3763–3819. [Google Scholar] [CrossRef]
- Houben, A.; Muller, P.; Von Appen, J.; Lueken, H.; Niewa, R.; Dronskowski, R. Synthesis, Crystal Structure, and Magnetic Properties of the Semihard Itinerant Ferromagnet RhFe3N. Angew. Chem. Int. Ed. 2005, 44, 7212. [Google Scholar] [CrossRef] [PubMed]
- Kuhnen, C.A.; Santos, A.V.d. Electronic and magnetic properties of AlFe3N and AlFe3N nitride. J. Alloys Compd. 2004, 384, 80. [Google Scholar] [CrossRef]
- Santos, A.V.d.; Kuhnen, C.A. Electronic structure and magnetic properties of CoFe3N, CrFe3N and TiFe3N. J. Alloys Compd. 2001, 321, 60. [Google Scholar] [CrossRef]
- De Figueiredo, R.S.; Foct, J.; Santos, A.V.d.; Kuhnen, C.A. Crystallographic and electronic structure of CuXFe4−XN. J. Alloys Compd. 2001, 315, 42. [Google Scholar] [CrossRef]
- Gabler, F.; Prots, Y.; Niewa, R. First Observation of an Inverse Ruddlesden-Popper Series: (A3n+1ONn−1)Bin+1 with A = Sr, Ba and n = 1 and 3. Z. Anorg. Allg. Chem. 2007, 633, 93. [Google Scholar] [CrossRef]
- Gabler, F.; Niewa, R. Stacking Design of Inverse Perovskites: The Systems (Sr3−xBaxN)E, E = Bi, Sb. Inorg. Chem. 2007, 46, 859. [Google Scholar] [CrossRef] [PubMed]
- Chern, M.Y.; Vennos, D.A.; Di Salvo, F.J. Synthesis, Structure, and Properties of Anti-perovskite Nitrides Ca3MN, M = P, As, Sb, Bi, Ge, Sn and Pb. J. Solid State Chem. 1992, 96, 415. [Google Scholar] [CrossRef]
- Kirchner, M.; Gabler, F.; Schnelle, W.; Wagner, F.R.; Niewa, R. (La3Zx)Al and (Ce3Zx)Al with Z = C, N, O: Preparation, physical properties and chemical bonding of metal-rich perovskites. Z. Kristallogr. 2006, 221, 543. [Google Scholar] [CrossRef]
- Kirchner, M.; Schnelle, W.; Wagner, F.R.; Niewa, R. Preparation, crystal structure and physical properties of ternary compounds (R3N)In, R = rare-earth metal. Solid. State Sci. 2003, 5, 1247. [Google Scholar] [CrossRef]
- Kirchner, M.; Schnelle, W.; Niewa, R. Inverse Perovskites (Eu3O)E with E = Sn, In Preparation, Crystal Structures and Physical Properties. Z. Anorg. Allg. Chem. 2006, 632, 559. [Google Scholar] [CrossRef]
- Hossain, M.K.; Ahmed, M.H.; Khan, M.I.; Miah, M.S.; Hossain, S. Recent Progress of Rare Earth Oxides for Sensor, Detector, and Electronic Device Applications: A Review. ACS Appl. Electron. Mater. 2021, 3, 4255–4283. [Google Scholar] [CrossRef]
- Hossain, M.K.; Hossain, S.; Ahmed, M.H.; Khan, M.I.; Haque, N.; Raihan, G.A. A Review on Optical Applications, Prospects, and Challenges of Rare-Earth Oxides. ACS Appl. Electron. Mater. 2021, 3, 3715–3746. [Google Scholar] [CrossRef]
- Hossain, M.K.; Raihan, G.A.; Akbar, M.A.; Rubel, M.H.K.; Ahmed, M.H.; Khan, M.I.; Hossain, S.; Sen, S.K.; Jalal, M.I.E.; El-Denglawey, A. Current Applications and Future Potential of Rare Earth Oxides in Sustainable Nuclear, Radiation, and Energy Devices: A Review. ACS Appl. Electron. Mater. 2022, 4, 3327–3353. [Google Scholar] [CrossRef]
- Pęczkowski, P.; Łuszczek, M.; Szostak, E.; Kumar, N.; Muniraju, C.; Maziopa, A.K.; Gondek, Ł. Superconductivity and appearance of negative magnetocaloric effect in Ba1–xKxBiO3 perovskites, doped by Y, La and Pr. ActaMaterialia 2022, 222, 117437. [Google Scholar]
- Niewa, R. Metal-Rich Ternary Perovskite Nitrides. Eur. J. Inorg. Chem. 2019, 32, 3647. [Google Scholar] [CrossRef]
- Alwadai, N.; Mehmood, S.; Ali, Z.; Al-Buriahi, M.S.; Alomairy, S.; Khosa, R.Y.; Somaily, Z.A.A.H.H.; Aman, S.; Farid, H.M.T. Structural, Electronic, Elastic and Magnetic Properties of Ln3QIn (Ln = Ce, Pr and Nd; Q = C and N) anti-perovskites. J. Electron. Mater. 2022, 15, 2815–2827. [Google Scholar] [CrossRef]
- Blaha, P.; Schwarz, K.; Tran, F.; Laskowski, R.; Madsen, G.K.H.; Marks, L.D. WIEN2k: An augmentedplane wave + Local orbital program for calculating properties of solids. J. Chem. Phys. 2020, 152, 074101. [Google Scholar] [CrossRef]
- Rubel, M.H.K.; Hossain, M.A.; Hossain, M.K.; Hossain, K.M.; Khatun, A.A.; Rahaman, M.M.; Rahman, M.F.; Hossain, M.M.; Hossain, J. First-principles calculations to investigate structural, elastic, electronic, thermodynamic, and thermoelectric properties of CaPd3B4O12 (B = Ti, V) perovskites. Results Phys. 2022, 42, 105977. [Google Scholar] [CrossRef]
- Tran, F.; Blaha, P. Accurate Band Gaps of Semiconductors and Insulators with aSemilocal Exchange-Correlation Potential. Phys. Rev. Lett. 2009, 102, 226401. [Google Scholar] [CrossRef]
- Petukhov, A.G.; Mazin, I.I. Correlated metals and the LDA+U method. Phys. Rev. B 2003, 67, 153106. [Google Scholar] [CrossRef]
- Tran, F.; Blaha, P.; Schwarz, K.; Novak, P. Hybrid exchange-correlation energy functionalfor strongly correlated electrons: Applications to transition-metal monoxides. Phys. Rev. B 2006, 74, 155108. [Google Scholar] [CrossRef]
- Madsen, G.K.H.; Singh, D.J. BoltzTraP. A code for calculating band-structuredependent quantities. Comput. Phys. Commun. 2006, 175, 67. [Google Scholar] [CrossRef]
- Jamal, M.; Bilal, M.; Ahmad, I.; Asadabadi, S.J. IRelast Package. J. Alloys Comp. 2018, 735, 469. [Google Scholar] [CrossRef]
- Birch, F. Finite elastic strain of cubic crystals. Phys. Rev. 1947, 71, 809. [Google Scholar] [CrossRef]
- Mehmood, S.; Ali, Z.; Khan, I.; Ahmad, I. Effects of A-Site cation on the Physical Properties of Quaternary Perovskites AMn3V4O12 (A = Ca, Ce and Sm). Mater. Chem. Phys. 2020, 254, 123229. [Google Scholar] [CrossRef]
- Mehmood, S.; Ali, Z.; Khan, I.; Ahmad, I. Effects of Ni Substitution on the Electronic Structure and Magnetic Properties of Perovskite SrFeO3. J. Electron. Mater. 2020, 49, 3780–3790. [Google Scholar] [CrossRef]
- Zeb, R.; Ali, Z.; Ahmad, I.; Khan, I. Structural and magnetic properties of TlTF3 (T = Fe, Co and Ni) by hybrid functional theory. J. Magn. Magn. Mater. 2015, 388, 143. [Google Scholar] [CrossRef]
- Rubel, M.H.K.; Ali, M.M.; Ali, M.S.; Parvin, R.; Rahaman, M.M.; Hossain, K.M.; Hossain, M.I.; Islam, A.K.M.A.; Kumada, N. First−Principles Study: Structural, Mechanical, Electronic and Thermodynamic Properties of Simple−Cubic−Perovskite (Ba0.62K0.38)(Bi0.92Mg0.08)O3. J. Solid State Cammun. 2019, 288, 22–27. [Google Scholar] [CrossRef]
- Music, D.; Schneider, J.M. Elastic properties of Srn+1TinO3n+1 phases (n = 1–3, infinity). J. Phys. Condens. Matter. 2008, 20, 055224. [Google Scholar] [CrossRef]
- Zada, R.; Ali, Z.; Mehmood, S. Optoelectronic, elastic and thermoelectric properties of the perovskites (Sr3N)Sb and (Sr3N)Bi. Mater. Sci. Semicond. Process. 2022, 47, 106734. [Google Scholar] [CrossRef]
- Ghafoor, N.; Ali, Z.; Mehmood, S.; Khan, I. Electronic structure, elastic and magnetic properties of the binary intermetallics RFe2 (R = Eu, Gd and Tb). J. Comput. Electron. 2022, 21, 561–570. [Google Scholar] [CrossRef]
- Shah, A.; Ali, Z.; Mehmood, S.; Khan, I.; Ahmad, I. Electronic Structure, Mechanical and Magnetic Properties of the Quaternary Perovskites CaA3V4O12 (A = Mn, Fe, Co, Ni and Cu). J. Electron. Mater. 2020, 49, 1230–1242. [Google Scholar] [CrossRef]
- Mehmood, S.; Ali, Z.; Hashmi, Z.; Khan, S. Structural, optoelectronic and elastic properties of quaternary perovskites CaPd3B4O12 (B = Ti, V). Int. J. Mod. Phys. B 2019, 33, 1950212. [Google Scholar] [CrossRef]
- Rubel, M.H.K.; Rahaman, M.A.H.M.M.; Ali, M.S.; Aftabuzzaman, M.; Parvin, R.; Islam, A.K.M.A.; Kumada, N. Density functional theory study of a new Bi-based (K1.00)(Ba1.00)3(Bi0.89Na0.11)4O12 double perovskite superconductor. Comput. Mater. Sci. 2017, 138, 160–165. [Google Scholar] [CrossRef]
- Breme, J.; Biehl, V. Metallic Biomaterials. In Handbook of Biomaterial Properties; Black, J., Hastings, G., Eds.; Springer: Boston, MA, USA, 1998. [Google Scholar]
- Santos, G.A.D. The importance of metallic materials as biomaterials. Adv. Tissue Eng. Regen. Med. 2017, 3, 300–302. [Google Scholar] [CrossRef]
- Mehmood, S.; Ali, Z. New anti-ferromagnetic tri-transition quaternary perovskites for magnetic cloaking and spintronic applications. J. Mater. Chem. Phys. 2022, 282, 125915. [Google Scholar] [CrossRef]
- Mehmood, S.; Ali, Z.; Khan, I.; Ahmad, I. Effects of cobalt substitution on the physical properties of the perovskite strontium ferrite. Mater. Chem. Phys. 2017, 196, 222–228. [Google Scholar] [CrossRef]
- Liu, Z.; Wang, X.; Ye, X.; Shen, X.; Bian, Y.; Ding, W.; Agrestini, S.; Liao, S.C.; Lin, H.J.; Chen, C.T.; et al. Observationof A-site antiferromagnetic and B-site ferrimagnetic orderings in the quadruple perovskite oxide CaCu3Co2Re2O12. Phys. Rev. B 2021, 103, 014414. [Google Scholar] [CrossRef]












| Compounds | GGA | GGA+U | HF | Exp [11] |
|---|---|---|---|---|
| Dy3NIn | ||||
| ao(Å) | 4.744 | 4.775 | 4.856 | 4.785 |
| Eo(Ry) | −84,856.8 | −84,856.7 | −84,856.5 | --- |
| Ec(Ry) | −32.4056 | −32.2442 | −32.1113 | |
| ΔH(Ry) | −6.48111 | −6.44884 | −6.42226 | |
| Ho3NIn | ||||
| ao(Å) | 4.728 | 4.747 | 4.804 | 4.761 |
| Eo(Ry) | −87,617.5 | −87,617.2 | −87,617.1 | --- |
| Ec(Ry) | −33.1698 | −32.8644 | −32.7608 | |
| ΔH(Ry) | −6.63396 | −6.57288 | −6.55216 | |
| Er3NIn | ||||
| ao(Å) | 4.684 | 4.729 | 4.769 | 4.736 |
| Eo(Ry) | −90,444.2 | −90,443.9 | −90,443.2 | --- |
| Ec(Ry) | −33.6942 | −33.3484 | −32.6942 | |
| ΔH(Ry) | −6.73884 | −6.66968 | −6.53884 | |
| Tm3NIn | ||||
| ao(Å) | 4.644 | 4.7074 | 4.731 | 4.708 |
| Eo(Ry) | −93,338 | −93,337.7 | −93,337.6 | --- |
| Ec(Ry) | −34.1974 | −33.8687 | −33.7474 | |
| ΔH(Ry) | −6.83949 | −6.77375 | −6.74947 | |
| Yb3NIn | ||||
| ao(Å) | 4.632 | 4.684 | 4.718 | --- |
| Eo(Ry) | −96,301.1 | −96,301 | −96,299.9 | --- |
| Ec(Ry) | −35.7531 | −35.7116 | −34.6074 | |
| ΔH(Ry) | −7.15062 | −7.14231 | −6.92148 | |
| Lu3NIn | ||||
| ao(Å) | 4.621 | 4.663 | 4.695 | 4.671 |
| Eo(Ry) | −99,330.9 | −99,330.9 | −99,330.8 | --- |
| Ec(Ry) | −36.1007 | −36.0341 | −35.9532 | |
| ΔH(Ry) | −7.22014 | −7.20682 | −7.19063 |
| Parameters | Dy3NIn | Ho3NIn | Er3NIn | Tm3NIn | Yb3NIn | Lu3NIn |
|---|---|---|---|---|---|---|
| C11 | 160.785 | 162.89 | 165.874 | 167.689 | 168.365 | 170.059 |
| C12 | 99.256 | 103.671 | 109.562 | 111.026 | 114.76 | 117.651 |
| C44 | 81.987 | 83.761 | 87.983 | 91.528 | 96.629 | 100.672 |
| GV (GPa) | 61.498 | 62.1 | 64.052 | 66.249 | 68.698 | 70.884 |
| GR (GPa) | 49.212 | 48.373 | 47.559 | 48.369 | 47.318 | 47.114 |
| GH (GPa) | 55.355 | 55.236 | 55.806 | 57.309 | 58.008 | 58.999 |
| BO (GPa) | 119.765 | 123.411 | 128.333 | 129.914 | 132.629 | 135.121 |
| BO/G | 2.163 | 2.234 | 2.299 | 2.266 | 2.286 | 2.29 |
| Y (GPa) | 157.531 | 159.54 | 164.748 | 169.873 | 175.75 | 181.002 |
| C′ | 30.764 | 29.609 | 28.155 | 28.331 | 26.802 | 26.203 |
| C″ | 17.268 | 19.91 | 21.579 | 19.498 | 18.131 | 16.979 |
| A | 2.664 | 2.828 | 3.124 | 3.23 | 3.605 | 3.841 |
| ν | 0.28077 | 0.284 | 0.286 | 0.282 | 0.279 | 0.276 |
| ζ | 1.03 | 1.063 | 1.106 | 1.109 | 1.144 | 1.163 |
| µ | 61.498 | 62.1 | 64.052 | 66.249 | 68.698 | 70.884 |
| λ | 78.767 | 82.011 | 85.631 | 85.747 | 86.83 | 87.864 |
| Parameters | Dy3NIn | Ho3NIn | Er3NIn | Tm3NIn | Yb3NIn |
|---|---|---|---|---|---|
| µeff/Ln TN (K) | 5.13 24 | 3.66 27 | 2.48 27 | 1.413 48 | 0.973 45 |
Publisher’s Note: MDPI stays neutral with regard to jurisdictional claims in published maps and institutional affiliations. |
© 2022 by the authors. Licensee MDPI, Basel, Switzerland. This article is an open access article distributed under the terms and conditions of the Creative Commons Attribution (CC BY) license (https://creativecommons.org/licenses/by/4.0/).
Share and Cite
Mehmood, S.; Ali, Z.; Khan, S.R.; Aman, S.; Elnaggar, A.Y.; Ibrahim, M.M.; Zubar, T.I.; Tishkevich, D.I.; Trukhanov, S.V.; Trukhanov, A.V. Mechanically Stable Magnetic Metallic Materials for Biomedical Applications. Materials 2022, 15, 8009. https://doi.org/10.3390/ma15228009
Mehmood S, Ali Z, Khan SR, Aman S, Elnaggar AY, Ibrahim MM, Zubar TI, Tishkevich DI, Trukhanov SV, Trukhanov AV. Mechanically Stable Magnetic Metallic Materials for Biomedical Applications. Materials. 2022; 15(22):8009. https://doi.org/10.3390/ma15228009
Chicago/Turabian StyleMehmood, Shahid, Zahid Ali, Shah Rukh Khan, Salma Aman, Ashraf Y. Elnaggar, Mohamed M. Ibrahim, Tatiana I. Zubar, Daria I. Tishkevich, Sergei V. Trukhanov, and Alex V. Trukhanov. 2022. "Mechanically Stable Magnetic Metallic Materials for Biomedical Applications" Materials 15, no. 22: 8009. https://doi.org/10.3390/ma15228009
APA StyleMehmood, S., Ali, Z., Khan, S. R., Aman, S., Elnaggar, A. Y., Ibrahim, M. M., Zubar, T. I., Tishkevich, D. I., Trukhanov, S. V., & Trukhanov, A. V. (2022). Mechanically Stable Magnetic Metallic Materials for Biomedical Applications. Materials, 15(22), 8009. https://doi.org/10.3390/ma15228009

