Seismic Performance Evaluation of RC Columns Retrofitted by 3D Textile Reinforced Mortars
Abstract
1. Introduction
2. 3D-TRM Panel
2.1. Proposed Method Using 3D-TRM Panel
2.2. Properties of 3D-TRM Panel
2.2.1. Mortar and Textile
2.2.2. Flexural Behavior of 3D-TRM Panel
3. Experimental Program
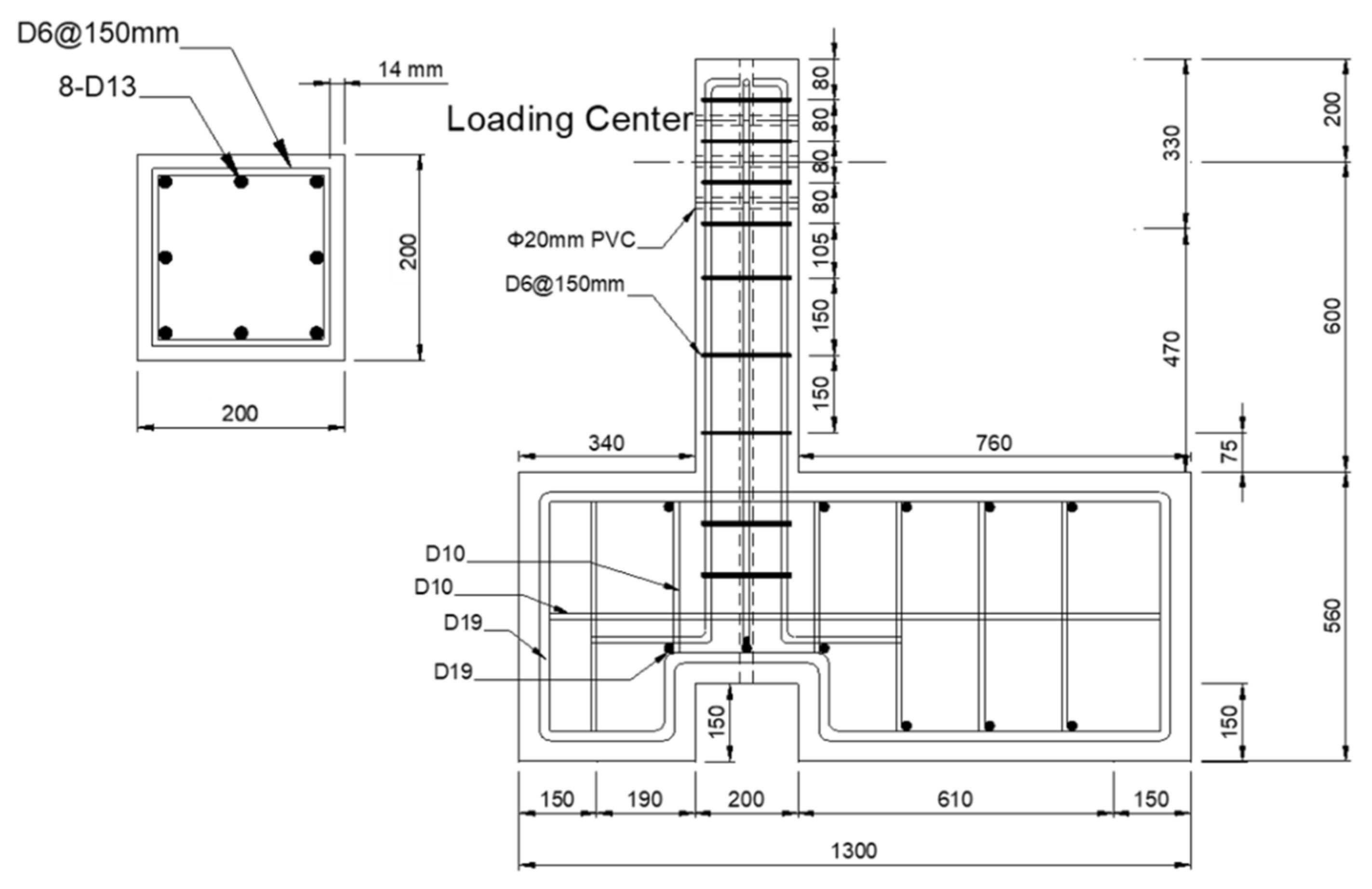
3.1. Design and Details of Specimens
3.2. Retrofitting Procedure Using 3D-TRM Panel
3.3. Loading and Instrumentation Plan
4. Experimental Results
4.1. General Observations
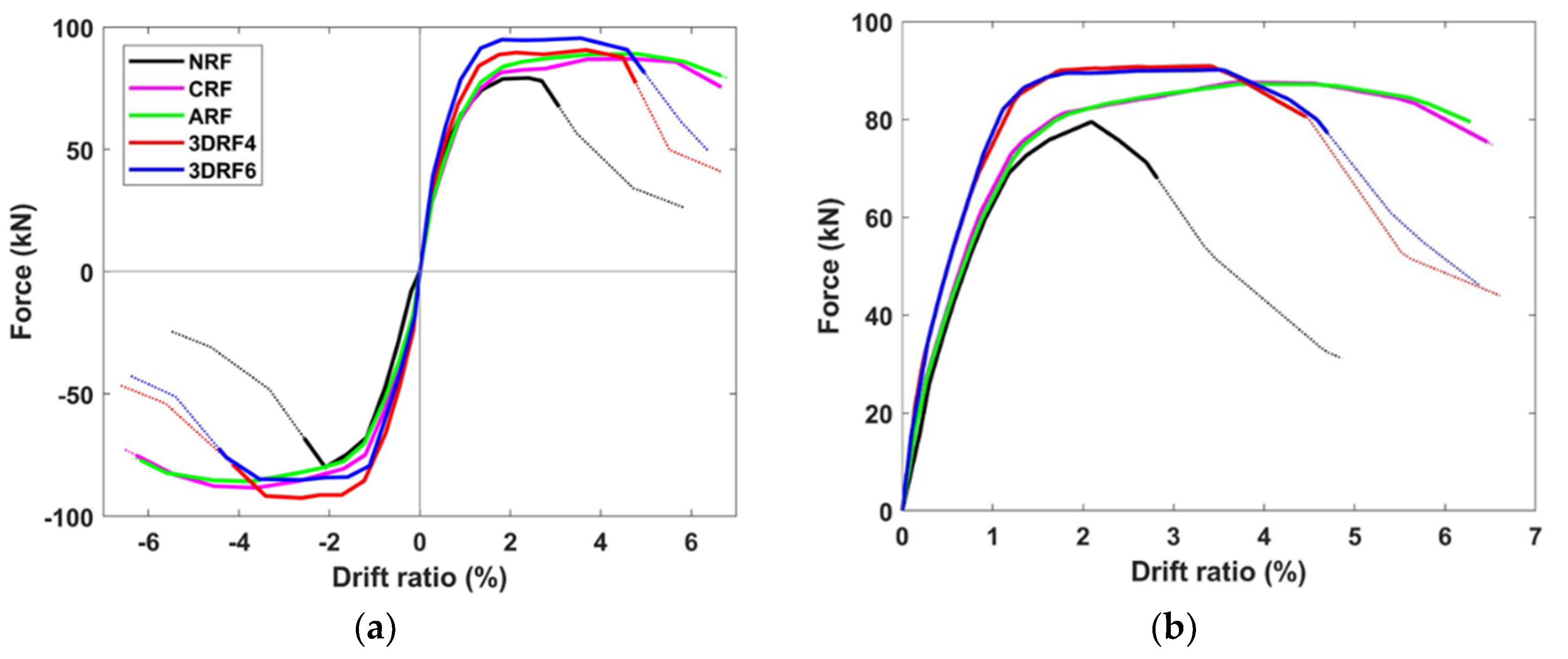
4.2. Hysteretic Behavior
4.3. Effect on Ductility
4.4. Effect on Stiffness Degradation
4.5. Effect on Energy Dissipation
4.6. Effect on Strain Distribution
5. Conclusions
Author Contributions
Funding
Institutional Review Board Statement
Informed Consent Statement
Data Availability Statement
Conflicts of Interest
References
- DesRoches, R.; Comerio, M.; Eberhard, M.; Mooney, W.; Rix, G.J. Overview of the 2010 Haiti earthquake. Earthq. Spectra 2011, 27, 1–22. [Google Scholar] [CrossRef]
- Elnashai, A.S.; Gencturk, B.; Kwon, O.S.; Hashash, Y.M.; Kim, S.J.; Jeong, S.H.; Dukes, J. The Maule (Chile) earthquake of February 27, 2010: Development of hazard, site specific ground motions and back-analysis of structures. Soil Dyn. Earthq. Eng. 2012, 42, 229–245. [Google Scholar] [CrossRef]
- Miyamoto, H.K.; Gilani, A.S.; Wada, A. Reconnaissance report of the 2008 Sichuan earthquake, damage survey of buildings and retrofit options. In Proceedings of the 14th World Conference on Earthquake Engineering (14WCEE), Beijing, China, 12–17 October 2008; pp. 12–17. [Google Scholar]
- Karapetrou, S.T.; Fotopoulou, S.D.; Pitilakis, K.D. Seismic vulnerability of RC buildings under the effect of aging. Procedia Environ. Sci. 2017, 38, 461–468. [Google Scholar] [CrossRef]
- Architectural Institute of Korea. A Study on Earthquake Prevention Measures for Earthquake Vulnerable Buildings Such as Piloti; Ministry of Land, Infrastructure and Transport: Sejong City, Korea, 2018; pp. 1–413. [Google Scholar]
- Kuang, J.S.; Wong, H.F. Improving ductility of non-seismically designed RC columns. Proc. Inst. Civ. Eng.-Struct. Build. 2005, 158, 13–20. [Google Scholar] [CrossRef]
- Dang, H.V.; Lee, K.; Han, S.W.; Kim, S.J. Experimental assessment of the effects of biaxial bending moment and axial force on reinforced concrete corner columns. Struct. Concr. 2018, 19, 1063–1078. [Google Scholar] [CrossRef]
- Kim, S.; Moon, T.; Kim, S.J. Effect of uncertainties in material and structural detailing on the seismic vulnerability of RC frames considering construction quality. Appl. Sci. 2020, 10, 8832. [Google Scholar] [CrossRef]
- Katumata, H. A study on strengthening with carbon fiber for earthquake resistant capacity of existing reinforced concrete columns. In Proceedings of the 9th World Conference on Earthquake Engineering (9WCEE), Tokyo, Japan, 2–9 August 1988; pp. 517–522. [Google Scholar]
- Ozcan, O.; Binici, B.; Ozcebe, G. Improving seismic performance of deficient reinforced concrete columns using carbon fiber-reinforced polymers. Eng. Struct. 2008, 30, 1632–1646. [Google Scholar] [CrossRef]
- Lee, H.H.; Kim, J.H.; Rho, K.G. Strengthening effects of RC column using fiber reinforced polymer. J. Korea Concr. Inst. 2012, 24, 473–480. [Google Scholar] [CrossRef]
- Kim, J.S.; Seo, H.S.; Lim, J.H.; Kwon, M.H. An performance evaluation of seismic retrofitted column using FRP composite reinforcement for rapid retrofitting. J. Korea Concr. Inst. 2014, 26, 47–55. [Google Scholar] [CrossRef][Green Version]
- Hegger, J.; Will, N.; Bruckermann, O.; Voss, S. Load-bearing behaviour and simulation of textile reinforced concrete. Mater. Struct. 2006, 39, 765–776. [Google Scholar] [CrossRef]
- Contamine, R.; Larbi, A.S.; Hamelin, P. Contribution to direct tensile testing of textile reinforced concrete (TRC) composites. Mater. Sci. Eng. A 2011, 528, 8589–8598. [Google Scholar] [CrossRef]
- Du, Y.; Zhang, X.; Zhou, F.; Zhu, D.; Zhang, M.; Pan, W. Flexural behavior of basalt textile-reinforced concrete. Constr. Build. Mater. 2018, 183, 7–21. [Google Scholar] [CrossRef]
- Schladitz, F.; Frenzel, M.; Ehlig, D.; Curbach, M. Bending load capacity of reinforced concrete slabs strengthened with textile reinforced concrete. Eng. Struct. 2012, 40, 317–326. [Google Scholar] [CrossRef]
- Triantafillou, T.C.; Papanicolaou, C.G.; Zissimpoulos, P.; Laourdekis, T. Concrete confinement with textile-reinforced mortar jackets. ACI Struct. J. 2006, 103, 28. [Google Scholar]
- Brückner, A.; Ortlepp, R.; Curbach, M. Textile reinforced concrete for strengthening in bending and shear. Mater. Struct. 2006, 39, 741–748. [Google Scholar] [CrossRef]
- Bournas, D.A.; Lontou, P.V.; Papanicolaou, C.G.; Triantafillou, T.C. Textile-reinforced mortar versus fiber-reinforced polymer confinement in reinforced concrete columns. ACI Struct. J. 2007, 104, 740. [Google Scholar]
- Larbi, A.S.; Contamine, R.; Ferrier, E.; Hamelin, P. Shear strengthening of RC beams with textile reinforced concrete (TRC) plate. Constr. Build. Mater. 2010, 24, 1928–1936. [Google Scholar] [CrossRef]
- Larbi, A.S.; Agbossou, A.; Hamelin, P. Experimental and numerical investigations about textile-reinforced concrete and hybrid solutions for repairing and/or strengthening reinforced concrete beams. Compos. Struct. 2013, 99, 152–162. [Google Scholar] [CrossRef]
- Contamine, R.; Larbi, A.S.; Hamelin, P. Identifying the contributing mechanisms of textile reinforced concrete (TRC) in the case of shear repairing damaged and reinforced concrete beams. Eng. Struct. 2013, 46, 447–458. [Google Scholar] [CrossRef]
- Ks, K. Textiles-Tensile Properties of Fabrics—Determination of Maximum Force and Elongation at Maximum Force Using the Strip Method; Korea Standard Association: Seoul, Korea, 2011; pp. 1–11. [Google Scholar]
- Chang, C.; Kim, S.J.; Park, D.; Choi, S. Experimental investigation of reinforced concrete columns retrofitted with polyester sheet. Earthq. Struct. 2014, 6, 237–250. [Google Scholar] [CrossRef]
- Raza, S.; Khan, M.K.; Menegon, S.J.; Tsang, H.H.; Wilson, J.L. Strengthening and repair of reinforced concrete columns by jacketing: State-of-the-art review. Sustainability 2019, 11, 3208. [Google Scholar] [CrossRef]
- Kalogeropoulos, G.; Tsonos, A.D. Cyclic performance of RC columns with inadequate lap splices strengthened with CFRP jackets. Fibers 2020, 8, 39. [Google Scholar] [CrossRef]
- Dymiotis, C.; Kappos, A.J.; Chryssanthopoulos, M.K. Seismic reliability of RC frames with uncertain drift and member capacity. J. Struct. Eng. 1999, 125, 1038–1047. [Google Scholar] [CrossRef]
- Lu, Y.; Gu, X.; Guan, J. Probabilistic drift limits and performance evaluation of reinforced concrete columns. J. Struct. Eng. 2005, 131, 966–978. [Google Scholar] [CrossRef]
- FEMA-356. Prestandard and Commentary for the Seismic Rehabilitation of Buildings; American Society of Civil Engineers: Reston, VA, USA, 2000. [Google Scholar]
- AIK. Korean Design Standard 41 (KDS 41) Korean Design Standard 41; Architectural Institute of Korea: Seoul, Korea, 2019. [Google Scholar]
- ASCE. Minimum Design Loads for Buildings and Other Structures; American Society of Civil Engineering: Reston, VA, USA, 2010. [Google Scholar]














| Reference Name | Type of Yarn | Type of Textile | Weight (g/yd) | Mesh Size (Length × Width × Height) | Tensile Strength (N) | Elongation (%) | ||
|---|---|---|---|---|---|---|---|---|
| Warp | Weft | Warp | Weft | |||||
| 3DTH4 | Meta aramid 20/2 + Polyarylate 1500D | Honey comb (3D) | 666 | 18 × 10 × 4 mm | 2800 | 320 | 47.5 | 94.9 |
| 3DTH6 | 399 | 25 × 12 × 6 mm | 2800 | 87 | 29.4 | 73.4 | ||
| Carbon | UHMWPE (1) 1500D + Carbon 3K | Woven (2D) | 490 | - | 8100 | 4200 | 22.8 | 4.4 |
| Aramid | Vectran 1500D + Meta aramid 20/2 | 415 | - | 6600 | 1600 | 10.8 | 37.0 | |
| Reference Name | Textiles | Mortar Strength (MPa) | Size (mm) | No. of Specimens |
|---|---|---|---|---|
| NFS | - | 43.1 | 400 × 100 × 30 | 3 |
| 4FS | 3DTH4 | |||
| 6FS | 3DTH6 |
| Reference Name | Retrofitting Type | Concrete Compressive Strength | Longitudinal Rebar Ratio | Volumetric Ratio of Transverse Rebar |
|---|---|---|---|---|
| NRF | - | 24.7 MPa | 2.53% (8-D13) | 0.51% (D6@150 mm) |
| 3DRF4 | 3D-TRM panel with 3DTH4 | |||
| 3DRF6 | 3D-TRM panel with 3DTH6 | |||
| CRF | Carbon FRP sheets | |||
| ARF | Aramid FRP sheets |
| Reference Name | Push Direction | Pull Direction | Average Force (kN) | Effect on Lateral Force (%) | ||
|---|---|---|---|---|---|---|
| Drift Ratio (%) | Maximum Force (kN) | Drift Ratio (%) | Maximum Force (kN) | |||
| NRF | 2.40 | 79.12 | 2.09 | 80.00 | 79.56 | - |
| 3DRF4 | 3.68 | 90.56 | 2.62 | 92.51 | 91.54 | 15.05 |
| 3DRF6 | 3.56 | 95.40 | 2.59 | 85.12 | 90.26 | 13.45 |
| CRF | 4.71 | 86.92 | 3.61 | 88.33 | 87.63 | 10.14 |
| ARF | 4.81 | 88.99 | 3.72 | 85.69 | 87.34 | 9.78 |
| Reference Name | Push Direction | Pull Direction | Average Ductility | Effect on Ductility Ratio (%) | ||||
|---|---|---|---|---|---|---|---|---|
| NRF | 4.72 | 18.48 | 3.92 | 4.05 | 15.34 | 3.79 | 3.85 | - |
| 3DRF4 | 3.69 | 28.65 | 7.76 | 3.83 | 24.89 | 6.50 | 7.13 | 85.16 |
| 3DRF6 | 4.14 | 29.82 | 7.20 | 4.12 | 26.63 | 6.46 | 6.83 | 77.42 |
| CRF | 4.28 | 40.00 | 9.35 | 4.28 | 37.61 | 8.79 | 9.07 | 135.41 |
| ARF | 4.00 | 39.93 | 9.98 | 3.94 | 37.03 | 9.40 | 9.69 | 151.61 |
Publisher’s Note: MDPI stays neutral with regard to jurisdictional claims in published maps and institutional affiliations. |
© 2022 by the authors. Licensee MDPI, Basel, Switzerland. This article is an open access article distributed under the terms and conditions of the Creative Commons Attribution (CC BY) license (https://creativecommons.org/licenses/by/4.0/).
Share and Cite
Kim, S.; Kim, S.J.; Chang, C. Seismic Performance Evaluation of RC Columns Retrofitted by 3D Textile Reinforced Mortars. Materials 2022, 15, 592. https://doi.org/10.3390/ma15020592
Kim S, Kim SJ, Chang C. Seismic Performance Evaluation of RC Columns Retrofitted by 3D Textile Reinforced Mortars. Materials. 2022; 15(2):592. https://doi.org/10.3390/ma15020592
Chicago/Turabian StyleKim, Siyun, Sung Jig Kim, and Chunho Chang. 2022. "Seismic Performance Evaluation of RC Columns Retrofitted by 3D Textile Reinforced Mortars" Materials 15, no. 2: 592. https://doi.org/10.3390/ma15020592
APA StyleKim, S., Kim, S. J., & Chang, C. (2022). Seismic Performance Evaluation of RC Columns Retrofitted by 3D Textile Reinforced Mortars. Materials, 15(2), 592. https://doi.org/10.3390/ma15020592

