Numerical Study on Thermodynamic Behavior during Selective Laser Melting of 24CrNiMo Alloy Steel
Abstract
1. Introduction
2. Modeling
2.1. Mathematical Model
2.2. Boundary Conditions
2.3. Heat Source Model
2.4. FE Model
2.5. Material Properties
2.6. Latent Heat of Phase Transformation
3. Results and Discussion
3.1. Distribution and Variation Rules of Temperature Field and Stress Field
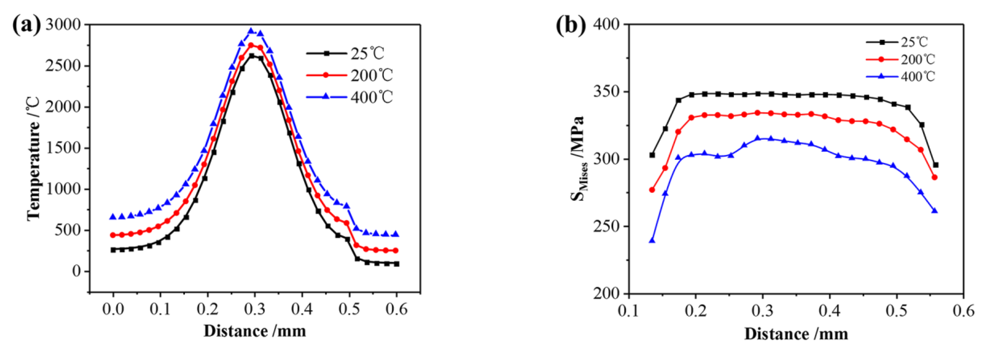
3.2. Effects of Process Parameters on Temperature Field and Stress Field
3.3. Effects of Scanning Strategy on Temperature Field and Stress Field
3.4. Experimental Verification
4. Conclusions
Author Contributions
Funding
Acknowledgments
Conflicts of Interest
References
- Buchbinder, D.; Meiners, W.; Pirch, N.; Wissenbach, K. Investigation on reducing distortion by preheating during manufacture of aluminum components using selective laser melting. J. Laser Appl. 2014, 26, 012004. [Google Scholar] [CrossRef]
- Xia, M.J.; Gu, D.D.; Ma, C.L.; Chen, H.Y.; Zhang, H.M. Microstructure evolution, mechanical response and underlying thermodynamic mechanism of multi-phase strengthening WC/Inconel 718 composites using selective laser melting. J. Alloy. Compd. 2018, 747, 684–695. [Google Scholar] [CrossRef]
- Zhang, X.; Yocom, C.J.; Mao, B.; Liao, Y.L. Microstructure evolution during selective laser melting of metallic materials: A review. J. Laser Appl. 2019, 31, 031201. [Google Scholar] [CrossRef]
- Suryawanshi, J.; Prashanth, K.G.; Ramamurty, U. Mechanical behavior of selective laser melted 316L stainless steel. Mater. Sci. Eng. A 2017, 696, 113–121. [Google Scholar] [CrossRef]
- Gu, D.D.; Dai, D.H. Role of melt behavior in modifying oxidation distribution using an interface incorporated model in selective laser melting of aluminum-based material. J. Appl. Phys. 2016, 120, 083104. [Google Scholar] [CrossRef]
- Guan, T.T.; Chen, S.Y.; Chen, X.T.; Liang, J.; Liu, C.S.; Wang, M. Effect of laser incident energy on microstructures and mechanical properties of 12CrNi2Y alloy steel by direct laser deposition. J. Mater. Sci. Technol. 2019, 35, 395–402. [Google Scholar] [CrossRef]
- Wang, L.Z.; Wei, W.H. Selective laser melting of 30CrMnSiA steel: Laser energy density dependence of microstructural and mechanical properties. Acta Metall. Sin. Engl. Lett. 2018, 31, 807–814. [Google Scholar] [CrossRef]
- Mueller, M.; Riede, M.; Eberle, S.; Reutlinger, A.; Brandão, A.D.; Pambaguian, L.; Seidel, A.; López, E.; Brueckner, F.; Beyer, E.; et al. Microstructural, mechanical, and thermo-physical characterization of hypereutectic AlSi40 fabricated by selective laser melting. J. Laser Appl. 2019, 31, 022321. [Google Scholar] [CrossRef]
- Wei, M.W.; Chen, S.Y.; Xi, L.Y.; Liang, J.; Liu, C.S. Selective laser melting of 24CrNiMo steel for brake disc: Fabrication efficiency, microstructure evolution, and properties. Opt. Laser Technol. 2018, 107, 99–109. [Google Scholar] [CrossRef]
- Chen, C.Y.; Gu, D.D.; Dai, D.H.; Du, L.; Wang, R.; Ma, C.L.; Xia, M.J. Laser additive manufacturing of layered TiB2/Ti6Al4V multi-material parts: Understanding thermal behavior evolution. Opt. Laser Technol. 2019, 119, 105666. [Google Scholar] [CrossRef]
- Woo, Y.; Hwang, T.; Oh, I.; Seo, D.; Moon, Y. Analysis on selective laser melting of WC-reinforced H13 steel composite powder by finite element method. Adv. Mech. Eng. 2019, 11, 1–11. [Google Scholar] [CrossRef]
- Ali, H.; Ghadbeigi, H.; Mumtaz, K. Residual stress development in selective laser-melted Ti6Al4V: A parametric thermal modelling approach. Int. J. Adv. Manuf. Technol. 2018, 97, 2621–2633. [Google Scholar] [CrossRef]
- Foroozmehr, A.; Badrossamay, M.; Foroozmehr, E.; Golabi, S. Finite element simulation of selective laser melting process considering optical penetration depth of laser in powder bed. Mater. Des. 2016, 89, 255–263. [Google Scholar] [CrossRef]
- Wang, L.F.; Jiang, X.H.; Zhu, Y.H.; Zhu, X.G.; Sun, J.; Yan, B. An approach to predict the residual stress and distortion during the selective laser melting of AlSi10Mg parts. Int. J. Adv. Manuf. Technol. 2018, 97, 3535–3546. [Google Scholar] [CrossRef]
- Wen, S.; Dong, A.P.; Lu, H.Y.; Zhu, G.L.; Shu, D.; Sun, B.D. Finite element simulation of the temperature field and residual stress in GH536 superalloy treated by selective laser melting. Acta Metall. Sin. 2018, 54, 393–403. [Google Scholar]
- Goldak, J.; Chakravarti, A.; Bibby, M. A new finite element model for welding heat sources. Metall. Trans. B 1984, 15, 299–305. [Google Scholar] [CrossRef]
- Duan, C.H.; Hao, X.J.; Luo, X.P. Study on temperature field of selective laser melting 316L. Appl. Laser 2018, 38, 48–53. [Google Scholar]
- Alhafadhi, M.H.; Krallics, G. Numerical simulation prediction and validation two dimensional model weld pipe. Mach. Technol. Mater. 2019, 13, 447–450. [Google Scholar]
- Behrens, B.; Schröder, J.; Brands, D.; Scheunemann, L.; Niekamp, R.; Chugreev, A.; Sarhil, M.; Uebing, S.; Kock, C. Experimental and numerical investigations of the development of residual stresses in thermo-mechanically processed Cr-alloyed steel 1.3505. Metals 2019, 9, 480. [Google Scholar] [CrossRef]
- Zhao, G.X.; Du, J.; Wei, Z.Y.; Geng, R.W.; Xu, S.Y. Numerical analysis of arc driving forces and temperature distribution in pulsed TIG welding. J. Braz. Soc. Mech. Sci. Eng. 2019, 41, 60. [Google Scholar] [CrossRef]
- Yagi, S.; Kunii, D.; Wakao, N. Studies on axial effective thermal conductivities in packed beds. AIChE J. 1960, 6, 373–381. [Google Scholar] [CrossRef]
- Du, L.; Gu, D.D.; Dai, D.H.; Shi, Q.M.; Ma, C.L.; Xia, M.J. Relation of thermal behavior and microstructure evolution during multi-track laser melting deposition of Ni-based material. Opt. Laser Technol. 2018, 108, 207–217. [Google Scholar] [CrossRef]
- Kumar, S.; Roy, S.; Paul, C.P.; Nath, A.K. Three-dimensional conduction heat transfer model for laser cladding process. Numer. Heat Transf. Part B Fundam. 2008, 53, 271–287. [Google Scholar] [CrossRef]
- Toyserkani, E.; Khajepour, A.; Corbin, S. 3-D finite element modeling of laser cladding by powder injection: Effects of laser pulse shaping on the process. Opt. Laser Eng. 2004, 41, 849–867. [Google Scholar] [CrossRef]





















| Element | Fe | Cr | Ni | Mo | C | Mn | Al | P | S | Si | Nb |
|---|---|---|---|---|---|---|---|---|---|---|---|
| Content | Bal. | 0.86 | 1.11 | 0.50 | 0.23 | 1.12 | 0.04 | 0.015 | 0.08 | 0.55 | 0.03 |
| Molten Pool Dimensions | Experimental Results (μm) | Numerical Results (μm) | Error |
|---|---|---|---|
| The average molten pool depth | 76.5 | 79.5 | 3.9% |
| Half of the average molten pool width | 111.5 | 109.5 | 1.8% |
© 2019 by the authors. Licensee MDPI, Basel, Switzerland. This article is an open access article distributed under the terms and conditions of the Creative Commons Attribution (CC BY) license (http://creativecommons.org/licenses/by/4.0/).
Share and Cite
Luo, X.; Zhao, M.; Li, J.; Duan, C. Numerical Study on Thermodynamic Behavior during Selective Laser Melting of 24CrNiMo Alloy Steel. Materials 2020, 13, 45. https://doi.org/10.3390/ma13010045
Luo X, Zhao M, Li J, Duan C. Numerical Study on Thermodynamic Behavior during Selective Laser Melting of 24CrNiMo Alloy Steel. Materials. 2020; 13(1):45. https://doi.org/10.3390/ma13010045
Chicago/Turabian StyleLuo, Xiangpeng, Minghuang Zhao, Jiayi Li, and Chenghong Duan. 2020. "Numerical Study on Thermodynamic Behavior during Selective Laser Melting of 24CrNiMo Alloy Steel" Materials 13, no. 1: 45. https://doi.org/10.3390/ma13010045
APA StyleLuo, X., Zhao, M., Li, J., & Duan, C. (2020). Numerical Study on Thermodynamic Behavior during Selective Laser Melting of 24CrNiMo Alloy Steel. Materials, 13(1), 45. https://doi.org/10.3390/ma13010045

