Maternal Separation Followed by Chronic Mild Stress in Adulthood Is Associated with Concerted Epigenetic Regulation of AP-1 Complex Genes
Abstract
1. Introduction
2. Materials and Methods
2.1. Animals and Treatment

2.2. Sucrose Consumption Test
2.3. Tissue Preparation
2.4. Expression Analysis
2.5. Chromatin Immunoprecipitation
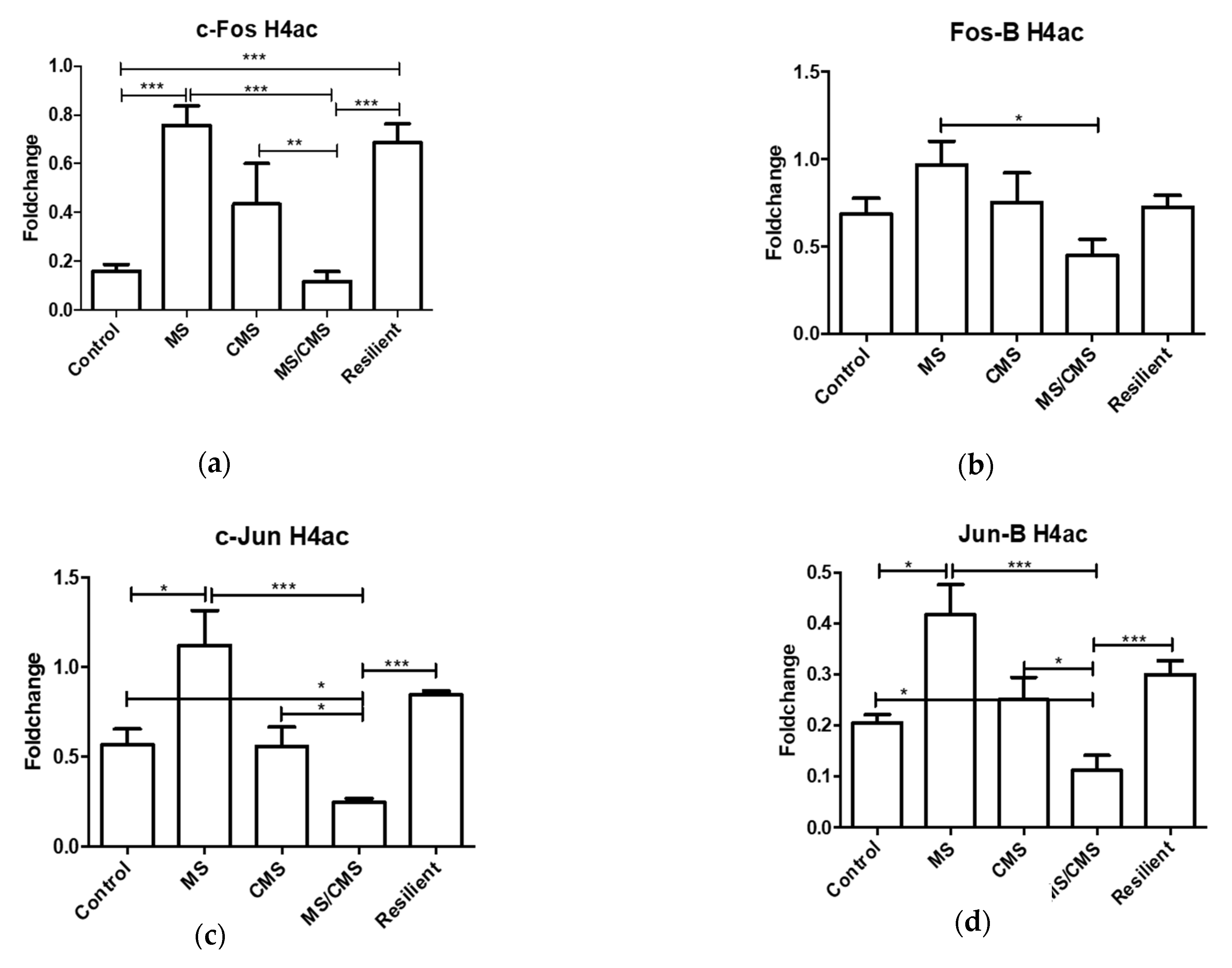
3. Results and Discussion
4. Conclusions
Supplementary Materials
Author Contributions
Funding
Institutional Review Board Statement
Acknowledgments
Conflicts of Interest
References
- Mathers, C.; Ma Fat, D.; Boerma, J.T. The Global Burden of Disease: 2004 Update; World Health Organization: Geneva, Switzerland, 2008. [Google Scholar]
- Warden, D.; Rush, A.J.; Trivedi, M.H.; Fava, M.; Wisniewski, S.R. The STAR*D project results: A comprehensive review of findings. Curr. Psychiatry Rep. 2007, 9, 449–459. [Google Scholar] [CrossRef] [PubMed]
- Heim, C.; Binder, E.B. Current research trends in early life stress and depression: Review of human studies on sensitive periods, gene-environment interactions, and epigenetics. Exp. Neurol. 2012, 233, 102–111. [Google Scholar] [CrossRef] [PubMed]
- Kendler, K.S.; Sheth, K.; Gardner, C.O.; Prescott, C.A. Childhood parental loss and risk for first-onset of major depression and alcohol dependence: The time-decay of risk and sex differences. Psychol. Med. 2002, 32, 1187–1194. [Google Scholar] [CrossRef] [PubMed]
- Holmes, S.J.; Robins, L.N. The influence of childhood disciplinary experience on the development of alcoholism and depression. J. Child. Psychol. Psychiatry 1987, 28, 399–415. [Google Scholar] [CrossRef] [PubMed]
- Szyf, M. The early life social environment and DNA methylation: DNA methylation mediating the long-term impact of social environments early in life. Epigenetics 2011, 6, 971–978. [Google Scholar] [CrossRef] [PubMed]
- Francis, D.; Diorio, J.; Liu, D.; Meaney, M.J. Nongenomic transmission across generations of maternal behavior and stress responses in the rat. Science 1999, 286, 1155–1158. [Google Scholar] [CrossRef]
- Henningsen, K.; Dyrvig, M.; Bouzinova, E.V.; Christiansen, S.; Christensen, T.; Andreasen, J.T.; Palme, R.; Lichota, J.; Wiborg, O. Low maternal care exacerbates adult stress susceptibility in the chronic mild stress rat model of depression. Behav. Pharmacol. 2012, 23, 735–743. [Google Scholar] [CrossRef] [PubMed]
- Sullivan, P.F.; Neale, M.C.; Kendler, K.S. Genetic epidemiology of major depression: Review and meta analysis. Am. J. Psychiatry 2000, 157, 1552–1562. [Google Scholar] [CrossRef]
- Vetulani, J. Early maternal separation: A rodent model of depression and a prevailing human condition. Pharmacol. Rep. 2013, 65, 1451–1461. [Google Scholar] [CrossRef]
- Huot, R.L.; Thrivikraman, K.V.; Meaney, M.J.; Plotsky, P.M. Development of adult ethanol preference and anxiety as a consequence of neonatal maternal separation in Long Evans rats and reversal with antidepressant treatment. Psychopharmacology 2001, 158, 366–373. [Google Scholar] [CrossRef]
- Matthews, K.; Robbins, T.W. Early experience as a determinant of adult behavioral responses to reward: The effects of repeated maternal separation in the rat. Neurosci. Biobehav. Rev. 2003, 27, 45–55. [Google Scholar] [CrossRef]
- McGowan, P.O.; Suderman, M.; Sasaki, A.; Huang, T.C.; Hallett, M.; Meaney, M.J.; Szyf, M. Broad epigenetic signature of maternal care in the brain of adult rats. PLoS ONE 2011, 6, e14739. [Google Scholar] [CrossRef]
- Weaver, I.C.; Cervoni, N.; Champagne, F.A.; D’Alessio, A.C.; Sharma, S.; Seckl, J.R.; Dymov, S.; Szyf, M.; Meaney, M.J. Epigenetic programming by maternal behavior. Nat. Neurosci. 2004, 7, 847–854. [Google Scholar] [CrossRef] [PubMed]
- Suderman, M.; Borghol, N.; Pappas, J.J.; Pinto Pereira, S.M.; Pembrey, M.; Hertzman, C.; Power, C.; Szyf, M. Childhood abuse is associated with methylation of multiple loci in adult DNA. BMC Med. Genom. 2014, 7, 13. [Google Scholar] [CrossRef] [PubMed]
- Borghol, N.; Suderman, M.; McArdle, W.; Racine, A.; Hallett, M.; Pembrey, M.; Hertzman, C.; Power, C.; Szyf, M. Associations with early-life socio-economic position in adult DNA methylation. Int. J. Epidemiol. 2012, 41, 62–74. [Google Scholar] [CrossRef] [PubMed]
- Wiborg, O. Chronic mild stress for modeling anhedonia. Cell Tissue Res. 2013, 354, 155–169. [Google Scholar] [CrossRef]
- Pfaffl, W. A new mathematical model for relative quantification in real-time RT-PCR. Nucleic Acids Res. 2001, 1, e45. [Google Scholar] [CrossRef] [PubMed]
- Donovan, L.L.; Lichota, J. Native chromatin immunoprecipitation from brain tissue using magnetic beads. Med. Chem. 2014, 4, 738–741. [Google Scholar] [CrossRef]
- Herdegen, T.; Leah, J.D. Inducible and constitutive transcription factors in the mammalian nervous system: Control of gene expression by Jun, Fos and Krox, and CREB/ATF proteins. Brain Res. Rev. 1998, 28, 370–490. [Google Scholar] [CrossRef]
- Naqvi, S.; Martin, K.J.; Arthur, J.S. CREB phosphorylation at Ser133 regulates transcription via distinct mechanisms downstream of cAMP and MAPK signalling. Biochem. J. 2014, 458, 469–479. [Google Scholar] [CrossRef] [PubMed]
- Heilig, M. The NPY system in stress, anxiety and depression. Neuropeptides 2004, 38, 213–224. [Google Scholar] [CrossRef]
- Pandey, S.C. Anxiety and alcohol abuse disorders: A common role for CREB and its target, the neuropeptide Y gene. Trends Pharmacol. Sci. 2003, 24, 456–460. [Google Scholar] [CrossRef]
- Ping, X.; Qin, S.-K.; Liu, S.-N.; Lu, Y.; Zhao, Y.-N.; Cao, Y.-F.; Zhang, Y.-H.; Zhang, S.-D.; Chu, L.; Pei, L. Effects of Huazhuo Jiedu Shugan Decoction on Cognitive and Emotional Disorders in a Rat Model of Epilepsy: Possible Involvement of AC-cAMP-CREB Signaling and NPY Expression. Evid. Based Complement. Altern. Med. 2019, 2019, 1–15. [Google Scholar] [CrossRef]
- Mørkholt, A.S.; Wiborg, O.; Nieland, J.G.K.; Nielsen, S.; Nieland, J.D. Blocking of carnitine palmitoyl transferase 1 potently reduces stress-induced depression in rat highlighting a pivotal role of lipid metabolism. Sci. Rep. 2017, 7, 1–9. [Google Scholar] [CrossRef]
- Schonthaler, H.B.; Guinea-Viniegra, J.; Wagner, E.F. Targeting inflammation by modulating the Jun/AP-1 pathway. Ann. Rheum. Dis. 2011, 70, i109–i112. [Google Scholar] [CrossRef] [PubMed]
- Lukey, M.J.; Greene, K.S.; Erickson, J.W.; Wilson, K.F.; Cerione, R.A. The oncogenic transcription factor c-Jun regulates glutaminase expression and sensitizes cells to glutaminase-targeted therapy. Nat. Commun. 2016, 7, 11321. [Google Scholar] [CrossRef] [PubMed]





| Control | MS | CMS | MS/CMS-A | MS/CMS-R | |
|---|---|---|---|---|---|
| Paradigm exposure | None | MS in early life (180 min/day p2–p14) | CMS in adulthood (7 weeks of 7 mild stressors for 10–14 h/stressor) | MS in early life + CMS in adulthood | MS in early life + CMS in adulthood |
| Phenotype | Normal | Normal | Anhedonic | Anhedonic | Resilient |
| Molecular investigations N | 6 | 6 | 6 (mRNA = 5) | 6 | 6 |
Publisher’s Note: MDPI stays neutral with regard to jurisdictional claims in published maps and institutional affiliations. |
© 2021 by the authors. Licensee MDPI, Basel, Switzerland. This article is an open access article distributed under the terms and conditions of the Creative Commons Attribution (CC BY) license (http://creativecommons.org/licenses/by/4.0/).
Share and Cite
Lundgaard Donovan, L.; Henningsen, K.; Flou Kristensen, A.; Wiborg, O.; Nieland, J.D.; Lichota, J. Maternal Separation Followed by Chronic Mild Stress in Adulthood Is Associated with Concerted Epigenetic Regulation of AP-1 Complex Genes. J. Pers. Med. 2021, 11, 209. https://doi.org/10.3390/jpm11030209
Lundgaard Donovan L, Henningsen K, Flou Kristensen A, Wiborg O, Nieland JD, Lichota J. Maternal Separation Followed by Chronic Mild Stress in Adulthood Is Associated with Concerted Epigenetic Regulation of AP-1 Complex Genes. Journal of Personalized Medicine. 2021; 11(3):209. https://doi.org/10.3390/jpm11030209
Chicago/Turabian StyleLundgaard Donovan, Lene, Kim Henningsen, Anne Flou Kristensen, Ove Wiborg, John Dirk Nieland, and Jacek Lichota. 2021. "Maternal Separation Followed by Chronic Mild Stress in Adulthood Is Associated with Concerted Epigenetic Regulation of AP-1 Complex Genes" Journal of Personalized Medicine 11, no. 3: 209. https://doi.org/10.3390/jpm11030209
APA StyleLundgaard Donovan, L., Henningsen, K., Flou Kristensen, A., Wiborg, O., Nieland, J. D., & Lichota, J. (2021). Maternal Separation Followed by Chronic Mild Stress in Adulthood Is Associated with Concerted Epigenetic Regulation of AP-1 Complex Genes. Journal of Personalized Medicine, 11(3), 209. https://doi.org/10.3390/jpm11030209

