P2Y12 Inhibitor Monotherapy with Clopidogrel versus Ticagrelor in Patients with Acute Coronary Syndrome Undergoing Percutaneous Coronary Intervention
Abstract
1. Background
2. Methods
2.1. Study Population
2.2. Follow-Up
2.3. Statistical Analysis
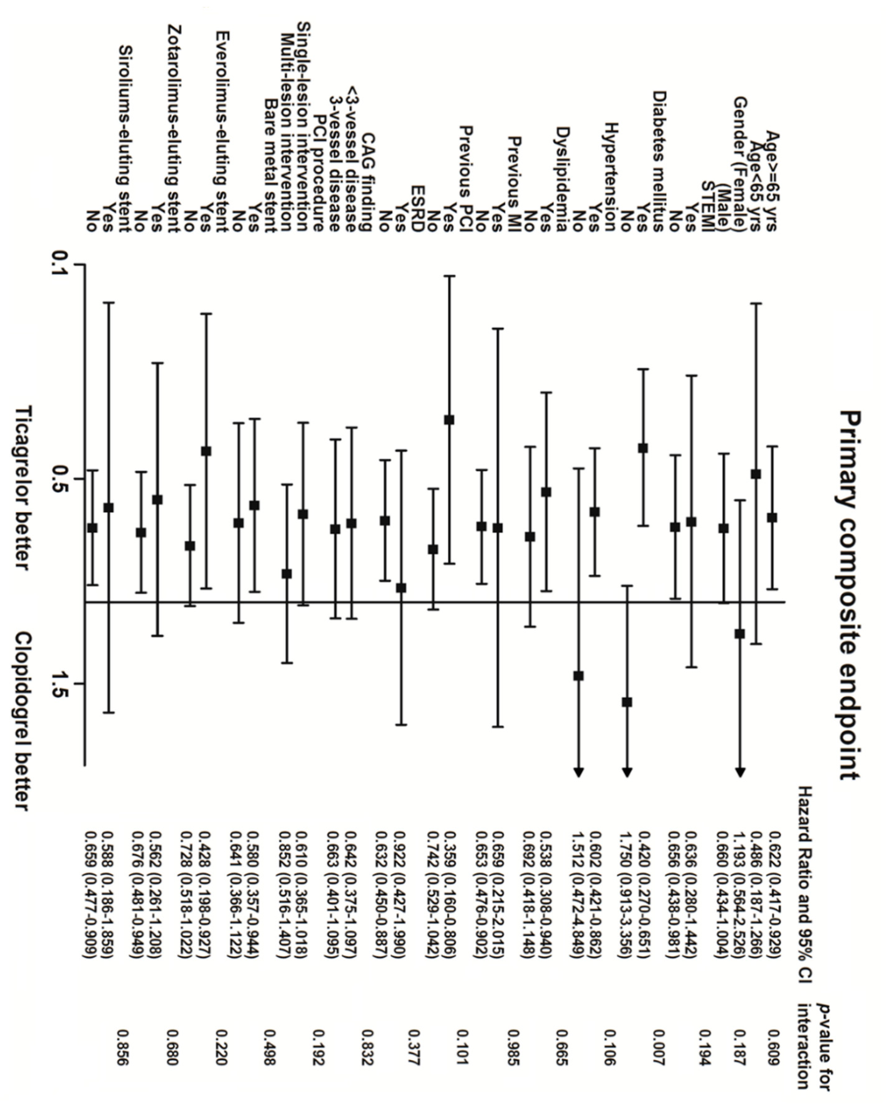
3. Results
4. Discussion
5. Conclusions
Author Contributions
Funding
Acknowledgments
Conflicts of Interest
References
- Levine, G.N.; Bates, E.R.; Bittl, J.A.; Brindis, R.G.; Fihn, S.D.; Fleisher, L.A.; Granger, C.B.; Lange, R.A.; Mack, M.J.; Mauri, L.; et al. 2016 ACC/AHA Guideline Focused Update on Duration of Dual Antiplatelet Therapy in Patients With Coronary Artery Disease: A Report of the American College of Cardiology/American Heart Association Task Force on Clinical Practice Guidelines. J. Am. Coll. Cardiol. 2016, 68, 1082–1115. [Google Scholar] [CrossRef] [PubMed]
- Valgimigli, M.; Bueno, H.; Byrne, R.A.; Collet, J.-P.; Costa, F.; Jeppsson, A.; Jüni, P.; Kastrati, A.; Kolh, P.; Mauri, L.; et al. 2017 ESC focused update on dual antiplatelet therapy in coronary artery disease developed in collaboration with EACTS: The Task Force for dual antiplatelet therapy in coronary artery disease of the European Society of Cardiology (ESC) and of the European Association for Cardio-Thoracic Surgery (EACTS). Eur. Heart J. 2018, 39, 213–260. [Google Scholar] [CrossRef] [PubMed]
- Li, Y.-H.; Wang, Y.-C.; Wang, Y.-C.; Liu, J.-C.; Lee, C.-H.; Chen, C.-C.; Hsieh, I.C.; Kuo, F.-Y.; Huang, W.-C.; Sung, S.-H.; et al. 2018 Guidelines of the Taiwan Society of Cardiology, Taiwan Society of Emergency Medicine and Taiwan Society of Cardiovascular Interventions for the management of non ST-segment elevation acute coronary syndrome. J. Formos. Med. Assoc. 2018, 117, 766–790. [Google Scholar] [CrossRef] [PubMed]
- Mehta, S.R.; Yusuf, S.; Peters, R.J.; Bertrand, M.E.; Lewis, B.S.; Natarajan, M.K.; Malmberg, K.; Rupprecht, H.; Zhao, F.; Chrolavicius, S.; et al. Effects of pretreatment with clopidogrel and aspirin followed by long-term therapy in patients undergoing percutaneous coronary intervention: The PCI-CURE study. Lancet 2001, 358, 527–533. [Google Scholar] [CrossRef]
- Costa, F.; Van Klaveren, D.; Feres, F.; James, S.; Räber, L.; Pilgrim, T.; Hong, M.-K.; Kim, H.-S.; Colombo, A.; Steg, P.G.; et al. Dual Antiplatelet Therapy Duration Based on Ischemic and Bleeding Risks After Coronary Stenting. J. Am. Coll. Cardiol. 2019, 73, 741–754. [Google Scholar] [CrossRef]
- Vranckx, P.; Valgimigli, M.; Jüni, P.; Hamm, C.; Steg, P.G.; Heg, D.; van Es, G.A.; McFadden, E.P.; Onuma, Y.; van Meijeren, C.; et al. Ticagrelor plus aspirin for 1 month, followed by ticagrelor monotherapy for 23 months vs aspirin plus clopidogrel or ticagrelor for 12 months, followed by aspirin monotherapy for 12 months after implantation of a drug-eluting stent: A multicentre, open-label, randomised superiority trial. Lancet 2018, 392, 940–949. [Google Scholar] [CrossRef]
- Mehran, R.; Baber, U.; Sharma, S.K.; Cohen, D.J.; Angiolillo, D.J.; Briguori, C.; Cha, J.Y.; Collier, T.; Dangas, G.; Dudek, D.; et al. Ticagrelor with or without Aspirin in High-Risk Patients after PCI. N. Engl. J. Med. 2019, 381, 2032–2042. [Google Scholar] [CrossRef]
- Watanabe, H.; Domei, T.; Morimoto, T.; Natsuaki, M.; Shiomi, H.; Toyota, T.; Ohya, M.; Suwa, S.; Takagi, K.; Nanasato, M.; et al. Effect of 1-Month Dual Antiplatelet Therapy Followed by Clopidogrel vs. 12-Month Dual Antiplatelet Therapy on Cardiovascular and Bleeding Events in Patients Receiving PCI: The STOPDAPT-2 Randomized Clinical Trial. JAMA 2019, 321, 2414–2427. [Google Scholar] [CrossRef]
- Hahn, J.-Y.; Song, Y.B.; Oh, J.-H.; Chun, W.J.; Park, Y.H.; Jang, W.J.; Im, E.-S.; Jeong, J.-O.; Cho, B.R.; Oh, S.K.; et al. Effect of P2Y12 Inhibitor Monotherapy vs. Dual Antiplatelet Therapy on Cardiovascular Events in Patients Undergoing Percutaneous Coronary Intervention: The SMART-CHOICE Randomized Clinical Trial. JAMA 2019, 321, 2428–2437. [Google Scholar] [CrossRef]
- Storey, R.F.; Angiolillo, D.J.; Patil, S.B.; Desai, B.; Ecob, R.; Husted, S.; Emanuelsson, H.; Cannon, C.P.; Becker, R.C.; Wallentin, L. Inhibitory effects of ticagrelor compared with clopidogrel on platelet function in patients with acute coronary syndromes: The PLATO (PLATelet inhibition and patient Outcomes) PLATELET substudy. J. Am. Coll. Cardiol. 2010, 56, 1456–1462. [Google Scholar] [CrossRef]
- Wallentin, L.; Becker, R.C.; Budaj, A.; Cannon, C.P.; Emanuelsson, H.; Held, C.; Horrow, J.; Husted, S.; James, S.; Katus, H.; et al. Ticagrelor versus clopidogrel in patients with acute coronary syndromes. N. Engl. J. Med. 2009, 361, 1045–1057. [Google Scholar] [CrossRef] [PubMed]
- Lee, C.-H.; Fang, C.-C.; Tsai, L.-M.; Gan, S.-T.; Lin, S.-H.; Li, Y.-H. Patterns of Acute Myocardial Infarction in Taiwan from 2009 to 2015. Am. J. Cardiol. 2018, 122, 1996–2004. [Google Scholar] [CrossRef] [PubMed]
- Yun, J.E.; Kim, Y.J.; Park, J.J.; Kim, S.; Park, K.; Cho, M.S.; Nam, G.-B.; Park, D.-W. Safety and Effectiveness of Contemporary P2Y(12) Inhibitors in an East Asian Population With Acute Coronary Syndrome: A Nationwide Population-Based Cohort Study. J. Am. Heart Assoc. 2019, 8, e012078. [Google Scholar] [CrossRef] [PubMed]
- Choe, J.C.; Cha, K.S.; Ahn, J.; Park, J.S.; Lee, H.W.; Oh, J.-H.; Choi, J.H.; Lee, H.C.; Hong, T.J.; Jeong, M.H.; et al. Comparison of prescription rates and clinical outcomes in acute coronary syndrome patients who underwent percutaneous coronary intervention using different P2Y(12) inhibitors in a large observational study. Int. J. Cardiol. 2019, 274, 21–26. [Google Scholar] [CrossRef] [PubMed]
- Kimura, K.; Kimura, T.; Ishihara, M.; Nakagawa, Y.; Nakao, K.; Miyauchi, K.; Sakamoto, T.; Tsujita, K.; Hagiwara, N.; Miyazaki, S.; et al. JCS 2018 Guideline on Diagnosis and Treatment of Acute Coronary Syndrome. Circ. J. Off. J. Jpn. Circ. Soc. 2019, 83, 1085–1196. [Google Scholar] [CrossRef]
- Mehran, R.; Rao, S.V.; Bhatt, D.L.; Gibson, C.M.; Caixeta, A.; Eikelboom, J.; Kaul, S.; Wiviott, S.D.; Menon, V.; Nikolsky, E.; et al. Standardized bleeding definitions for cardiovascular clinical trials: A consensus report from the Bleeding Academic Research Consortium. Circulation 2011, 123, 2736–2747. [Google Scholar] [CrossRef]
- Austin, P.C. An Introduction to Propensity Score Methods for Reducing the Effects of Confounding in Observational Studies. Multivar. Behav. Res. 2011, 46, 399–424. [Google Scholar] [CrossRef]
- Burden, A.; Roche, N.; Miglio, C.; Hillyer, E.V.; Postma, D.S.; Herings, R.M.; Overbeek, J.A.; Khalid, J.M.; van Eickels, D.; Price, D.B. An evaluation of exact matching and propensity score methods as applied in a comparative effectiveness study of inhaled corticosteroids in asthma. Pragmat. Obs. Res. 2017, 8, 15–30. [Google Scholar] [CrossRef]
- Committee, C.S. A randomised, blinded, trial of clopidogrel versus aspirin in patients at risk of ischaemic events (CAPRIE). CAPRIE Steering Committee. Lancet 1996, 348, 1329–1339. [Google Scholar] [CrossRef]
- Hiatt, W.R.; Fowkes, F.G.R.; Heizer, G.; Berger, J.S.; Baumgartner, I.; Held, P.; Katona, B.G.; Mahaffey, K.W.; Norgren, L.; Jones, W.S.; et al. Ticagrelor versus Clopidogrel in Symptomatic Peripheral Artery Disease. N. Engl. J. Med. 2017, 376, 32–40. [Google Scholar] [CrossRef]
- Kang, H.-J.; Clare, R.M.; Gao, R.; Held, C.; Himmelmann, A.; James, S.K.; Lim, S.T.; Santoso, A.; Yu, C.-M.; Wallentin, L.; et al. Ticagrelor versus clopidogrel in Asian patients with acute coronary syndrome: A retrospective analysis from the Platelet Inhibition and Patient Outcomes (PLATO) Trial. Am. Heart J. 2015, 169, 899–905. [Google Scholar] [CrossRef] [PubMed]
- Goto, S.; Huang, C.-H.; Park, S.-J.; Emanuelsson, H.; Kimura, T. Ticagrelor vs. clopidogrel in Japanese, Korean and Taiwanese patients with acute coronary syndrome—Randomized, double-blind, phase III PHILO study. Circ. J. Off. J. Jpn. Circ. Soc. 2015, 79, 2452–2460. [Google Scholar] [CrossRef] [PubMed]
- Park, D.-W.; Kwon, O.; Jang, J.-S.; Yun, S.-C.; Park, H.; Kang, D.-Y.; Ahn, J.-M.; Lee, P.H.; Lee, S.-W.; Park, S.-W.; et al. Clinically Significant Bleeding With Ticagrelor Versus Clopidogrel in Korean Patients With Acute Coronary Syndromes Intended for Invasive Management: A Randomized Clinical Trial. Circulation 2019, 140, 1865–1877. [Google Scholar] [CrossRef] [PubMed]
- Wang, Y.; Chen, W.; Lin, Y.; Meng, X.; Chen, G.; Wang, Z.; Wu, J.; Wang, D.; Li, J.; Cao, Y.; et al. Ticagrelor plus aspirin versus clopidogrel plus aspirin for platelet reactivity in patients with minor stroke or transient ischaemic attack: Open label, blinded endpoint, randomised controlled phase II trial. BMJ 2019, 365, l2211. [Google Scholar] [CrossRef] [PubMed]
- Lee, C.-H.; Cheng, C.-L.; Kao Yang, Y.-H.; Chao, T.-H.; Chen, J.-Y.; Li, Y.-H. Cardiovascular and Bleeding Risks in Acute Myocardial Infarction Newly Treated With Ticagrelor vs. Clopidogrel in Taiwan. Circ. J. Off. J. Jpn. Circ. Soc. 2018, 82, 747–756. [Google Scholar] [CrossRef]
- Jiang, Z.; Zhang, R.; Sun, M.; Liu, Q.; Wang, S.; Wang, W.; Zhao, Q.; Zhang, H.; Wang, Y.; Hou, J.; et al. Effect of Clopidogrel vs. Ticagrelor on Platelet Aggregation and Inflammation Markers After Percutaneous Coronary Intervention for ST-Elevation Myocardial Infarction. Can. J. Cardiol. 2018, 34, 1606–1612. [Google Scholar] [CrossRef]
- Thomas, M.R.; Outteridge, S.N.; Ajjan, R.A.; Phoenix, F.; Sangha, G.K.; Faulkner, R.E.; Ecob, R.; Judge, H.M.; Khan, H.; West, L.E.; et al. Platelet P2Y12 Inhibitors Reduce Systemic Inflammation and Its Prothrombotic Effects in an Experimental Human Model. Arterioscler. Thromb. Vasc. Biol. 2015, 35, 2562–2570. [Google Scholar] [CrossRef]
- Steg, P.G.; Bhatt, D.L.; Simon, T.; Fox, K.; Mehta, S.R.; Harrington, R.A.; Held, C.; Andersson, M.; Himmelmann, A.; Ridderstråle, W.; et al. Ticagrelor in Patients with Stable Coronary Disease and Diabetes. N. Engl. J. Med. 2019, 381, 1309–1320. [Google Scholar] [CrossRef]
- Wadowski, P.P.; Weikert, C.; Pultar, J.; Lee, S.; Eichelberger, B.; Koppensteiner, R.; Lang, I.M.; Panzer, S.; Gremmel, T. Ticagrelor Inhibits Toll-Like and Protease-Activated Receptor Mediated Platelet Activation in Acute Coronary Syndromes. Cardiovasc. Drugs Ther. 2020, 34, 53–63. [Google Scholar] [CrossRef]
- Genereux, P.; Giustino, G.; Witzenbichler, B.; Weisz, G.; Stuckey, T.D.; Rinaldi, M.J.; Neumann, F.J.; Metzger, D.C.; Henry, T.D.; Cox, D.A.; et al. Incidence, Predictors, and Impact of Post-Discharge Bleeding After Percutaneous Coronary Intervention. J. Am. Coll. Cardiol. 2015, 66, 1036–1045. [Google Scholar] [CrossRef]

| All n = 610 | Clopidogrel (n = 369) | Ticagrelor (n = 241) | p-Value | |
|---|---|---|---|---|
| Gastrointestinal bleeding | 225 (36.9) | 136 (36.9) | 89 (36.9) | 1.000 |
| Other site bleeding | 32 (5.3) | 17 (4.6) | 15 (6.2) | 0.490 |
| Need oral anticoagulation | 122 (20.0) | 105 (28.5) | 17 (7.1) | <0.001 |
| Aspirin allergy or intolerance | 52 (8.5) | 23 (6.2) | 29 (12.0) | 0.018 |
| Gastrointestinal upset or discomfort | 47 (7.7) | 16 (4.3) | 31 (12.9) | <0.001 |
| Need surgery or thrombocytopenia | 13 (2.1) | 9 (2.4) | 4 (1.7) | 0.715 |
| Other or unknown causes | 119 (19.5) | 63 (17.1) | 56 (23.2) | 0.076 |
| Inverse Probability of Treatment Weighting | |||||||
|---|---|---|---|---|---|---|---|
| Before | After | ||||||
| All (n = 610) | Clopidogrel (n = 369) | Ticagrelor (n = 241) | p-Value | Clopidogrel (n = 369) | Ticagrelor (n = 241) | p-Value | |
| Age | 70.4 ± 13.1 | 72.3 ± 13.1 | 67.4 ± 12.5 | <0.01 | 70.7 ± 18.3 | 70.6 ± 19.8 | 0.91 |
| Male | 440 (72.1) | 66.7 | 80.5 | <0.01 | 71.6 | 72.8 | 0.80 |
| STEMI | 174 (28.5) | 25.2 | 33.6 | 0.08 | 28.8 | 26.4 | 0.81 |
| Diabetes mellitus | 323 (53.0) | 52.3 | 53.9 | 0.75 | 54.7 | 58.1 | 0.48 |
| Hypertension | 462 (75.7) | 80.0 | 69.3 | <0.01 | 77.6 | 78.0 | 0.91 |
| Hyperlipidemia | 328 (53.8) | 54.7 | 52.3 | 0.61 | 53.3 | 49.0 | 0.38 |
| Smoker | 165 (27.1) | 26.0 | 28.6 | 0.54 | 25.7 | 23.8 | 0.64 |
| Previous MI | 88 (14.4) | 12.5 | 17.4 | 0.11 | 13.2 | 12.5 | 0.78 |
| Previous PCI | 160 (26.2) | 22.5 | 32.0 | 0.01 | 24.6 | 23.8 | 0.84 |
| Previous CABG | 21 (3.4) | 3.79 | 2.9 | 0.72 | 3.4 | 2.7 | 0.62 |
| Previous ischemic stroke | 95 (15.6) | 17.3 | 12.9 | 0.17 | 15.2 | 19.6 | 0.33 |
| Previous hemorrhagic stroke | 6 (0.98) | 1.4 | 0.4 | 0.41 | 1.3 | 0.6 | 0.38 |
| CKD without dialysis | 227 (37.2) | 39.3 | 34.0 | 0.22 | 38.8 | 42.6 | 0.45 |
| ESRD with dialysis | 69 (11.3) | 13.8 | 7.5 | 0.02 | 11.3 | 10.1 | 0.69 |
| Heart failure | 213 (34.9) | 36.6 | 32.4 | 0.33 | 36.3 | 38.1 | 0.72 |
| Atrial fibrillation | 160 (26.2) | 35.0 | 12.9 | <0.01 | 26.6 | 25.2 | 0.77 |
| Peripheral artery disease | 39 (6.4) | 7.9 | 4.2 | 0.10 | 7.8 | 8.1 | 0.85 |
| LVEF | 56.5 ± 14.5 | 56.6 ± 14.7 | 56.4 ± 14.2 | 0.88 | 56.5 ± 18.9 | 56.5 ± 23.0 | 0.98 |
| CAG finding | 0.42 | 0.76 | |||||
| 1-vessel disease | 158 (25.9) | 27.6 | 23.2 | 0.26 | 26.4 | 26.8 | 0.94 |
| 2-vessel disease | 170 (27.9) | 27.9) | 27.8 | 1.00 | 26.3 | 29.1 | 0.53 |
| 3-vessel disease | 282 (46.2) | 44.4 | 49.0 | 0.31 | 47.3 | 44.1 | 0.51 |
| PCI procedure | 0.19 | 0.98 | |||||
| Single lesion intervention | 341 (55.9) | 53.7 | 59.3 | 56.6 | 56.7 | ||
| Multiple lesions intervention | 269 (44.1) | 46.3 | 40.7 | 43.4 | 43.3 | ||
| Location of lesion treated | |||||||
| LM | 49 (8.0) | 7.1 | 9.5 | 0.34 | 8.0 | 7.6 | 0.89 |
| LAD | 396 (64.9) | 62.9 | 68.1 | 0.22 | 62.1 | 64.3 | 0.80 |
| LCX | 231 (37.9) | 38.2 | 37.3 | 0.89 | 36.8 | 33.1 | 0.41 |
| RCA | 280 (45.9) | 43.9 | 49.0 | 0.25 | 44.2 | 46.0 | 0.71 |
| SVG | 4 (0.7) | 1.1 | 0 | 0.16 | 0 | 0 | - |
| Stent | |||||||
| Bare metal stent | 239 (39.2) | 38.8 | 39.8 | 0.86 | 40.8 | 42.7 | 0.68 |
| Everolimus-eluting stent | 130 (21.3) | 22.5 | 19.5 | 0.43 | 21.9 | 23.8 | 0.68 |
| Zotarolimus-eluting stent | 123 (20.2) | 16.8 | 25.3 | 0.01 | 19.6 | 19.0 | 0.86 |
| Biolimus-eluting stent | 29 (4.8) | 4.1 | 5.8 | 0.43 | 3.9 | 4.1 | 0.92 |
| Siroliums-eluting stent | 80 (13.1) | 11.4 | 15.8 | 0.15 | 12.2 | 11.4 | 0.76 |
| Medications | |||||||
| Beta blocker | 443 (72.6) | 70.2 | 76.4 | 0.12 | 73.3 | 72.9 | 0.93 |
| RAS inhibitor | 359 (58.9) | 61.0 | 55.6 | 0.22 | 60.4 | 59.9 | 0.91 |
| Statin | 494 (81.0) | 78.3 | 85.1 | 0.05 | 81.1 | 80.3 | 0.83 |
| PPI use | 252 (41.3) | 48.8 | 29.9 | <0.01 | 41.6 | 37.8 | 0.43 |
| All n = 610 | Clopidogrel n = 369 | Ticagrelor n = 241 | Crude HR (95% CI) | p-Value | Adjusted HR (95% CI) | p-Value | |
|---|---|---|---|---|---|---|---|
| Primary composite endpoint | 84 (13.77) | 57 (15.45) | 27 (11.20) | 0.66 (0.48–0.90) | 0.008 | 0.67 (0.49–0.93) | 0.018 |
| Secondary endpoint | |||||||
| Recurrent ACS or unplanned revascularization | 51 (8.36) | 33 (8.94) | 18 (7.47) | 0.56 (0.36–0.86) | 0.008 | 0.46 (0.28–0.75) | 0.002 |
| Stroke | 5 (0.82) | 5 (1.36) | 0 (0) | - | - | - | - |
| All-cause death | 28 (4.59) | 19 (5.15) | 9 (3.73) | 0.96 (0.60–1.53) | 0.858 | 0.92 (0.52–1.61) | 0.760 |
| BARC 3 or 5 bleeding | 25 (4.10) | 18 (4.88) | 7 (2.90) | 0.86 (0.50–1.48) | 0.574 | 0.71 (0.35–1.45) | 0.345 |
| All n = 488 | Clopidogrel n = 264 | Ticagrelor n = 224 | Crude HR (95% CI) | p-Value | Adjusted HR (95% CI) | p-Value | |
|---|---|---|---|---|---|---|---|
| Primary composite endpoint | 70 (14.34) | 45 (17.05) | 25 (11.16) | 0.70 (0.50–0.97) | 0.033 | 0.72 (0.51–1.03) | 0.068 |
| Secondary endpoint | |||||||
| Recurrent ACS or unplanned revascularization | 44 (9.02) | 27 (10.23) | 17 (7.59) | 0.58 (0.36–0.91) | 0.019 | 0.50 (0.29–0.86) | 0.013 |
| Stroke | 1 (0.20) | 1 (0.38) | 0 (0.00) | - | - | - | - |
| All-cause death | 25 (5.12) | 17 (6.44) | 8 (3.57) | 0.93 (0.57–1.52) | 0.764 | 0.68 (0.38–1.20) | 0.185 |
| BARC 3 or 5 bleeding | 20 (4.10) | 13 (4.92) | 7 (3.13) | 0.96 (0.51–1.83) | 0.902 | 1.46 (0.65–3.29) | 0.363 |
© 2020 by the authors. Licensee MDPI, Basel, Switzerland. This article is an open access article distributed under the terms and conditions of the Creative Commons Attribution (CC BY) license (http://creativecommons.org/licenses/by/4.0/).
Share and Cite
Chen, P.-W.; Feng, W.-H.; Ho, M.-Y.; Su, C.-H.; Huang, S.-W.; Cheng, C.-W.; Yeh, H.-I.; Chen, C.-P.; Huang, W.-C.; Fang, C.-C.; et al. P2Y12 Inhibitor Monotherapy with Clopidogrel versus Ticagrelor in Patients with Acute Coronary Syndrome Undergoing Percutaneous Coronary Intervention. J. Clin. Med. 2020, 9, 1657. https://doi.org/10.3390/jcm9061657
Chen P-W, Feng W-H, Ho M-Y, Su C-H, Huang S-W, Cheng C-W, Yeh H-I, Chen C-P, Huang W-C, Fang C-C, et al. P2Y12 Inhibitor Monotherapy with Clopidogrel versus Ticagrelor in Patients with Acute Coronary Syndrome Undergoing Percutaneous Coronary Intervention. Journal of Clinical Medicine. 2020; 9(6):1657. https://doi.org/10.3390/jcm9061657
Chicago/Turabian StyleChen, Po-Wei, Wen-Han Feng, Ming-Yun Ho, Chun-Hung Su, Sheng-Wei Huang, Chung-Wei Cheng, Hung-I Yeh, Ching-Pei Chen, Wei-Chun Huang, Ching-Chang Fang, and et al. 2020. "P2Y12 Inhibitor Monotherapy with Clopidogrel versus Ticagrelor in Patients with Acute Coronary Syndrome Undergoing Percutaneous Coronary Intervention" Journal of Clinical Medicine 9, no. 6: 1657. https://doi.org/10.3390/jcm9061657
APA StyleChen, P.-W., Feng, W.-H., Ho, M.-Y., Su, C.-H., Huang, S.-W., Cheng, C.-W., Yeh, H.-I., Chen, C.-P., Huang, W.-C., Fang, C.-C., Lin, H.-W., Lin, S.-H., Hsieh, I.-C., & Li, Y.-H. (2020). P2Y12 Inhibitor Monotherapy with Clopidogrel versus Ticagrelor in Patients with Acute Coronary Syndrome Undergoing Percutaneous Coronary Intervention. Journal of Clinical Medicine, 9(6), 1657. https://doi.org/10.3390/jcm9061657

