Long Term Outcomes and Effects of Surgery on Degenerative Spinal Deformity: A 14-Year National Cohort Study
Abstract
1. Introduction
2. Materials and Methods
2.1. Data Source and Ethical Concerns
2.2. Identification of Study Cohort
2.3. Treatment Strategies: Operation Group versus Non-Operation Group
2.4. Follow-Up Outcomes
2.5. Demographics, Medical Comorbidities, and Other Covariates
2.6. Identification of Propensity Score Matched Cohort
2.7. Statistical Analysis
2.8. Quantitative Bias Analysis
3. Results
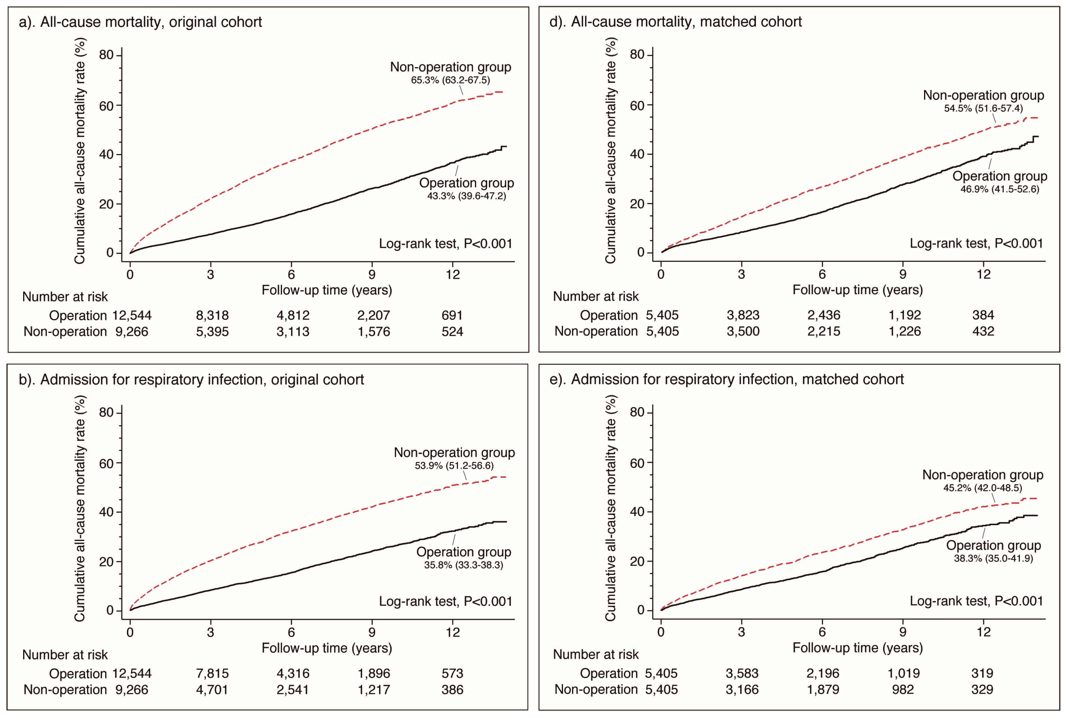
3.1. Overall Outcomes of DSD
3.2. Treatment Strategies versus Outcomes
3.3. Probabilistic Sensitivity Analysis
4. Discussion
5. Conclusions
Author Contributions
Funding
Acknowledgments
Conflicts of Interest
Appendix A
| Co-Morbidities | ICD-9-CM Codes |
|---|---|
| Depression | 300.4, 301.12, 309.0, 309.1, 311 |
| Psychoses | 295.x–298.x, 299.1 |
| Diabetes | (uncomplicated) 490x–492.x, 493.x, 494x-505.x, 506.4 (complicated) 250.0–250.3, 648.0 |
| Hypertension | (uncomplicated) 401.1, 401.9, 642.0 (complicated) 401.0, 402.x–405.x, 642.1, 642.2, 642.7, 642.9 |
| Cerebrovascular disease | 362.34, 430.x–438.x |
| Paralysis | 342.x–344.x, 438.2–438.5 |
| Other neurological disorders | 330.x–331.x, 332.0, 333.4, 333.5, 334.x, 335.x, 340, 341.1–341.9, 345.x, 347.x, 780.3, 784.3 |
| Congestive heart failure | 398.91, 402.01, 402.91, 404.01, 404.11, 404.13, 404.93, 428.x, 402.11, 404.03, 404.91 |
| Valvular disease | 093.2, 394.x–397.1, 397.9, 424.x, 746.3–746.6, V42.2, V43.3 |
| Chronic pulmonary disease | 490x–492.x, 493.x, 494x–505.x, 506.4 |
| Liver disease | 070.22, 070.23, 070.32, 070.33, 070.44, 070.54, 456.0, 456.1, 456.20, 571.0, 571.2–571.9, 572.3, 572.8, V42.7 |
| Peptic ulcer disease excluding bleeding | 531.41, 531.51, 531.61, 531.7, 531.91, 532.41, 532.51, 532.61, 532.7, 532.91, 533.41, 533.51, 533.61, 533.7, 533.91, 534.41, 534.51, 534.61, 534.7, 534.91 |
| Peripheral vascular disorders | 440.x, 441.x, 442.x, 443.1–443.9, 447.1, 557.1, 557.9, V43.4 |
| Deficiency anemia | 280.1–281.9, 285.2, 285.9 |
| Rheumatoid arthritis/collagen vascular diseases | 701.0, 710.x, 714.x, 720.x, 725.x |
References
- Yagi, M.; King, A.B.; Boachie-Adjei, O. Characterization of osteopenia/osteoporosis in adult scoliosis: Does bone density affect surgical outcome? Spine 2011, 36, 1652–1657. [Google Scholar] [CrossRef]
- Xu, L.; Sun, X.; Huang, S.; Zhu, Z.; Qiao, J.; Zhu, F.; Mao, S.; Ding, Y.; Qiu, Y. Degenerative lumbar scoliosis in Chinese Han population: Prevalence and relationship to age, gender, bone mineral density, and body mass index. Eur. Spine J. 2013, 22, 1326–1331. [Google Scholar] [CrossRef]
- Yadla, S.; Maltenfort, M.G.; Ratliff, J.K.; Harrop, J.S. Adult scoliosis surgery outcomes: A systematic review. Neurosurg. Focus 2010, 28, E3. [Google Scholar] [CrossRef]
- Wang, M.Y.; Mummaneni, P.V. Minimally invasive surgery for thoracolumbar spinal deformity: Initial clinical experience with clinical and radiographic outcomes. Neurosurg. Focus 2010, 28, E9. [Google Scholar] [CrossRef]
- Dorward, I.G.; Lenke, L.G. Osteotomies in the posterior-only treatment of complex adult spinal deformity: A comparative review. Neurosurg. Focus 2010, 28, E4. [Google Scholar] [CrossRef]
- Upadhyaya, C.D.; Starr, P.A.; Mummaneni, P.V. Spinal deformity and Parkinson disease: A treatment algorithm. Neurosurg. Focus 2010, 28, E5. [Google Scholar] [CrossRef]
- Lenke, L.G.; Sides, B.A.; Koester, L.A.; Hensley, M.; Blanke, K.M. Vertebral column resection for the treatment of severe spinal deformity. Clin. Orthop. Relat. Res. 2010, 468, 687–699. [Google Scholar] [CrossRef] [PubMed]
- Park, P.; Fu, K.M.; Mummaneni, P.V.; Uribe, J.S.; Wang, M.Y.; Tran, S.; Kanter, A.S.; Nunley, P.D.; Okonkwo, D.O.; Shaffrey, C.I.; et al. The impact of age on surgical goals for spinopelvic alignment in minimally invasive surgery for adult spinal deformity. J. Neurosurg. Spine 2018, 29, 560–564. [Google Scholar] [CrossRef] [PubMed]
- Wang, M.Y.; Bordon, G. Mini-open pedicle subtraction osteotomy as a treatment for severe adult spinal deformities: Case series with initial clinical and radiographic outcomes. J. Neurosurg. Spine 2016, 24, 769–776. [Google Scholar] [CrossRef]
- Liu, X.; Yuan, S.; Tian, Y.; Wang, L.; Zheng, Y.; Li, J. Expanded eggshell procedure combined with closing-opening technique (a modified vertebral column resection) for the treatment of thoracic and thoracolumbar angular kyphosis. J. Neurosurg. Spine 2015, 23, 42–48. [Google Scholar] [CrossRef] [PubMed]
- Deukmedjian, A.R.; Le, T.V.; Baaj, A.A.; Dakwar, E.; Smith, D.A.; Uribe, J.S. Anterior longitudinal ligament release using the minimally invasive lateral retroperitoneal transpsoas approach: A cadaveric feasibility study and report of 4 clinical cases. J. Neurosurg. Spine 2012, 17, 530–539. [Google Scholar] [CrossRef]
- Uribe, J.S.; Smith, D.A.; Dakwar, E.; Baaj, A.A.; Mundis, G.M.; Turner, A.W.; Cornwall, G.B.; Akbarnia, B.A. Lordosis restoration after anterior longitudinal ligament release and placement of lateral hyperlordotic interbody cages during the minimally invasive lateral transpsoas approach: A radiographic study in cadavers. J. Neurosurg. Spine 2012, 17, 476–485. [Google Scholar] [CrossRef]
- Buell, T.J.; Nguyen, J.H.; Mazur, M.D.; Mullin, J.P.; Garces, J.; Taylor, D.G.; Yen, C.P.; Shaffrey, M.E.; Shaffrey, C.I.; Smith, J.S. Radiographic outcome and complications after single-level lumbar extended pedicle subtraction osteotomy for fixed sagittal malalignment: A retrospective analysis of 55 adult spinal deformity patients with a minimum 2-year follow-up. J. Neurosurg. Spine 2018, 30, 242–252. [Google Scholar] [CrossRef] [PubMed]
- Jain, A.; Hassanzadeh, H.; Puvanesarajah, V.; Klineberg, E.O.; Sciubba, D.M.; Kelly, M.P.; Hamilton, D.K.; Lafage, V.; Buckland, A.J.; Passias, P.G.; et al. Incidence of perioperative medical complications and mortality among elderly patients undergoing surgery for spinal deformity: Analysis of 3519 patients. J. Neurosurg. Spine 2017, 27, 534–539. [Google Scholar] [CrossRef]
- Scheer, J.K.; Smith, J.S.; Schwab, F.; Lafage, V.; Shaffrey, C.I.; Bess, S.; Daniels, A.H.; Hart, R.A.; Protopsaltis, T.S.; Mundis, G.M., Jr.; et al. Development of a preoperative predictive model for major complications following adult spinal deformity surgery. J. Neurosurg. Spine 2017, 26, 736–743. [Google Scholar] [CrossRef] [PubMed]
- Moore, B.J.; White, S.; Washington, R.; Coenen, N.; Elixhauser, A. Identifying increased risk of readmission and in-hospital mortality using hospital administrative data: The AHRQ elixhauser comorbidity index. Med. Care 2017, 55, 698–705. [Google Scholar] [CrossRef]
- Quan, H.; Sundararajan, V.; Halfon, P.; Fong, A.; Burnand, B.; Luthi, J.C.; Saunders, L.D.; Beck, C.A.; Feasby, T.E.; Ghali, W.A. Coding algorithms for defining comorbidities in ICD-9-CM and ICD-10 administrative data. Med. Care 2005, 43, 1130–1139. [Google Scholar] [CrossRef]
- Johnson, S.R.; Tomlinson, G.A.; Hawker, G.A.; Granton, J.T.; Feldman, B.M. Propensity score methods for bias reduction in observational studies of treatment effect. Rheum. Dis. Clin. N. Am. 2018, 44, 203–213. [Google Scholar] [CrossRef] [PubMed]
- Lunt, M. Selecting an appropriate caliper can be essential for achieving good balance with propensity score matching. Am. J. Epidemiol. 2014, 179, 226–235. [Google Scholar] [CrossRef]
- Fu, W.J.; Carroll, R.J.; Wang, S. Estimating misclassification error with small samples via bootstrap cross-validation. Bioinformatics 2005, 21, 1979–1986. [Google Scholar] [CrossRef] [PubMed]
- Cheng, C.L.; Kao, Y.H.; Lin, S.J.; Lee, C.H.; Lai, M.L. Validation of the National Health Insurance research database with ischemic stroke cases in Taiwan. Pharmacoepidemiol. Drug Saf. 2011, 20, 236–242. [Google Scholar] [CrossRef]
- Lash, T.L.; Fox, M.P.; MacLehose, R.F.; Maldonado, G.; McCandless, L.C.; Greenland, S. Good practices for quantitative bias analysis. Int. J. Epidemiol. 2014, 43, 1969–1985. [Google Scholar] [CrossRef]
- Kado, D.M.; Browner, W.S.; Palermo, L.; Nevitt, M.C.; Genant, H.K.; Cummings, S.R. Vertebral fractures and mortality in older women: A prospective study. study of osteoporotic fractures research group. Arch. Intern. Med. 1999, 159, 1215–1220. [Google Scholar] [CrossRef]
- Kado, D.M.; Huang, M.H.; Karlamangla, A.S.; Barrett-Connor, E.; Greendale, G.A. Hyperkyphotic posture predicts mortality in older community-dwelling men and women: A prospective study. J. Am. Geriatr. Soc. 2004, 52, 1662–1667. [Google Scholar] [CrossRef]
- Kado, D.M.; Lui, L.Y.; Ensrud, K.E.; Fink, H.A.; Karlamangla, A.S.; Cummings, S.R.; Study of Osteoporotic, F. Hyperkyphosis predicts mortality independent of vertebral osteoporosis in older women. Ann. Intern. Med. 2009, 150, 681–687. [Google Scholar] [CrossRef]
- Worley, N.; Marascalchi, B.; Jalai, C.M.; Yang, S.; Diebo, B.; Vira, S.; Boniello, A.; Lafage, V.; Passias, P.G. Predictors of inpatient morbidity and mortality in adult spinal deformity surgery. Eur. Spine J. 2016, 25, 819–827. [Google Scholar] [CrossRef]
- Street, J.T.; Lenehan, B.J.; DiPaola, C.P.; Boyd, M.D.; Kwon, B.K.; Paquette, S.J.; Dvorak, M.F.; Rampersaud, Y.R.; Fisher, C.G. Morbidity and mortality of major adult spinal surgery. A prospective cohort analysis of 942 consecutive patients. Spine J. 2012, 12, 22–34. [Google Scholar] [CrossRef]
- McCarthy, I.; O’Brien, M.; Ames, C.; Robinson, C.; Errico, T.; Polly, D.W., Jr.; Hostin, R.; International Spine Study, G. Incremental cost-effectiveness of adult spinal deformity surgery: Observed quality-adjusted life years with surgery compared with predicted quality-adjusted life years without surgery. Neurosurg. Focus 2014, 36, E3. [Google Scholar] [CrossRef]
- Yoshida, G.; Boissiere, L.; Larrieu, D.; Bourghli, A.; Vital, J.M.; Gille, O.; Pointillart, V.; Challier, V.; Mariey, R.; Pellise, F.; et al. Advantages and disadvantages of adult spinal deformity surgery and its impact on health-related quality of life. Spine 2017, 42, 411–419. [Google Scholar] [CrossRef]
- Riley, M.S.; Bridwell, K.H.; Lenke, L.G.; Dalton, J.; Kelly, M.P. Health-related quality of life outcomes in complex adult spinal deformity surgery. J. Neurosurg. Spine 2018, 28, 194–200. [Google Scholar] [CrossRef]
- Haque, R.M.; Mundis, G.M., Jr.; Ahmed, Y.; El Ahmadieh, T.Y.; Wang, M.Y.; Mummaneni, P.V.; Uribe, J.S.; Okonkwo, D.O.; Eastlack, R.K.; Anand, N.; et al. Comparison of radiographic results after minimally invasive, hybrid, and open surgery for adult spinal deformity: A multicenter study of 184 patients. Neurosurg. Focus 2014, 36, E13. [Google Scholar] [CrossRef]
- Park, P.; Wang, M.Y.; Lafage, V.; Nguyen, S.; Ziewacz, J.; Okonkwo, D.O.; Uribe, J.S.; Eastlack, R.K.; Anand, N.; Haque, R.; et al. Comparison of two minimally invasive surgery strategies to treat adult spinal deformity. J. Neurosurg. Spine 2015, 22, 374–380. [Google Scholar] [CrossRef]
- Than, K.D.; Mummaneni, P.V.; Bridges, K.J.; Tran, S.; Park, P.; Chou, D.; La Marca, F.; Uribe, J.S.; Vogel, T.D.; Nunley, P.D.; et al. Complication rates associated with open versus percutaneous pedicle screw instrumentation among patients undergoing minimally invasive interbody fusion for adult spinal deformity. Neurosurg. Focus 2017, 43, E7. [Google Scholar] [CrossRef]
- Wang, M.Y.; Vasudevan, R.; Mindea, S.A. Minimally invasive lateral interbody fusion for the treatment of rostral adjacent-segment lumbar degenerative stenosis without supplemental pedicle screw fixation. J. Neurosurg. Spine 2014, 21, 861–866. [Google Scholar] [CrossRef]
- Patel, A.A.; Zfass-Mendez, M.; Lebwohl, N.H.; Wang, M.Y.; Green, B.A.; Levi, A.D.; Vanni, S.; Williams, S.K. Minimally invasive versus open lumbar fusion: A comparison of blood loss, surgical complications, and hospital course. Iowa Orthop. J. 2015, 35, 130–134. [Google Scholar]
- Smith, Z.A.; Fessler, R.G. Paradigm changes in spine surgery: Evolution of minimally invasive techniques. Nat. Rev. Neurol. 2012, 8, 443–450. [Google Scholar] [CrossRef]
- Wu, J.C.; Chen, Y.C.; Liu, L.; Chen, T.J.; Huang, W.C.; Cheng, H.; Tung-Ping, S. Increased risk of stroke after spinal cord injury: A nationwide 4-year follow-up cohort study. Neurology 2012, 78, 1051–1057. [Google Scholar] [CrossRef]
- Chung, W.F.; Liu, S.W.; Huang, L.C.; Chang, H.K.; Wu, J.C.; Chen, L.F.; Chen, Y.C.; Huang, W.C.; Cheng, H.; Lo, S.S. Serious dysphagia following anterior cervical discectomy and fusion: Long-term incidence in a national cohort. J. Neurosurg. Sci. 2017. [Google Scholar] [CrossRef]
- Chen, L.F.; Tu, T.H.; Chen, Y.C.; Wu, J.C.; Chang, P.Y.; Liu, L.; Huang, W.C.; Lo, S.S.; Cheng, H. Risk of spinal cord injury in patients with cervical spondylotic myelopathy and ossification of posterior longitudinal ligament: A national cohort study. Neurosurg. Focus 2016, 40, E4. [Google Scholar] [CrossRef]
- Huang, L.C.; Chung, W.F.; Liu, S.W.; Chang, P.Y.; Chen, L.F.; Wu, J.C.; Chen, Y.C.; Huang, W.C.; Liu, L.; Cheng, H.; et al. Lower risk of stroke after deformity surgery: Long term benefit demonstrated by a National Cohort study. Int. J. Environ. Res. Public Health 2015, 12, 12618–12627. [Google Scholar] [CrossRef]
- Elixhauser Comorbidity Software, Version 3.7. Available online: https://www.hcup-us.ahrq.gov/toolssoftware/comorbidity/comorbidity.jsp#overview (accessed on 23 July 2018).
- Charlson Comorbidities Index. Available online: http://mchp-appserv.cpe.umanitoba.ca/viewConcept.php?conceptID=1098 (accessed on 23 July 2018).



| Original Cohort n = 21,810 | P-Value | Propensity Score Matched Cohort 1 n = 10,810 | P-Value | |||
|---|---|---|---|---|---|---|
| Non-Operation Group | Operation Group | Non-Operation Group | Operation Group | |||
| n = 9266 (%) | n = 12,544 (%) | n = 5405 (%) | n = 5405 (%) | |||
| Gender | <0.001 | 1.000 | ||||
| Female | 6005 (64.8) | 8564 (68.3) | 3524 (65.2) | 3524 (65.2) | ||
| Male | 3261 (35.2) | 3980 (31.7) | 1881 (34.8) | 1881 (34.8) | ||
| Age mean (SD) | 72.4 (11.0) | 68.0 (8.4) | <0.001 | 69.2 (9.5) | 69.2 (9.5) | 1.000 |
| Co-morbidities | ||||||
| Anemia | 1021 (11.0) | 824 (6.6) | <0.001 | 148 (2.7) | 148 (2.7) | 1.000 |
| Chronic liver disease | 991 (10.7) | 1601 (12.8) | <0.001 | 272 (5.0) | 272 (5.0) | 1.000 |
| Chronic pulmonary disease | 2103 (22.7) | 2112 (16.8) | <0.001 | 569 (10.5) | 569 (10.5) | 1.000 |
| Congestive heart failure | 797 (8.6) | 655 (5.2) | <0.001 | 93 (1.7) | 93 (1.7) | 1.000 |
| Diabetes | 1597 (17.2) | 2934 (23.4) | <0.001 | 677 (12.5) | 677 (12.5) | 1.000 |
| Fluid and electrolyte disorders | 893 (9.6) | 622 (5.0) | <0.001 | 117 (2.2) | 117 (2.2) | 1.000 |
| Hypertension | 3132 (33.8) | 5031 (40.1) | <0.001 | 1549 (28.7) | 1549 (28.7) | 1.000 |
| Rheumatoid arthritis/collagen diseases | 549 (5.9) | 1031 (8.2) | <0.001 | 141 (2.6) | 141 (2.6) | 1.000 |
| Tumor | 728 (7.9) | 557 (4.4) | <0.001 | 104 (1.9) | 104 (1.9) | 1.000 |
| Valvular disease | 620 (6.7) | 762 (6.1) | 0.065 | 108 (2.0) | 108 (2.0) | 1.000 |
| Outcome | ||||||
| All-cause mortality | 3615 (39.0) | 2114 (16.9) | <0.001 | 1633 (30.2) | 1085 (20.1) | <0.001 |
| Admission for respiratory infection | ||||||
| Post-OP admission rate | 2537 (27.4) | 1800 (14.3) | <0.001 | 1217 (22.5) | 908 (16.8) | <0.001 |
| Admission for hip fracture | ||||||
| Post-OP admission rate | 625 (6.7) | 594 (4.7) | <0.001 | 310 (5.7) | 309 (5.7) | 0.967 |
| Follow-Up after Index Spinal Deformity Admission | Original Cohort n = 21,810 | Propensity Score Matched Cohort 1 n = 10,810 | ||
|---|---|---|---|---|
| Non-Operation Group | Operation Group | Non-Operation Group | Operation Group | |
| All-cause mortality | ||||
| Incidence of all-cause mortality (per 1000 person-years) | 80.1 | 32.3 | 54.3 | 34.9 |
| Number of mortality | 3548 | 2111 | 1615 | 1083 |
| Observed person-years | 44,313.0 | 65,278.2 | 29,719.0 | 30,991.2 |
| Crude hazard ratio (95% C.I.) | 1.00 | 0.40 (0.38–0.43) ***,3 | 1.00 | 0.64 (0.59–0.69) *** |
| Adjusted hazard ratio (95% C.I.) 2 | 1.00 | 0.60 (0.57–0.64) *** | 1.00 | 0.66 (0.61–0.72) *** |
| Admission for respiratory infection | ||||
| Incidence of admission (per 1000 person-years) | 66.1 | 29.5 | 46.0 | 31.5 |
| Number of occurrences | 2537 | 1794 | 1217 | 905 |
| Observed person-years | 38391.1 | 60,714.2 | 26,444.2 | 28,716.8 |
| Crude hazard ratio (95% C.I.) | 1.00 | 0.45 (0.42–0.48) *** | 1.00 | 0.68 (0.63–0.75) *** |
| Adjusted hazard ratio (95% C.I.) 4 | 1.00 | 0.65 (0.61–0.69) *** | 1.00 | 0.74 (0.68–81.2) *** |
| Admission for hip fracture | ||||
| Incidence of hip fracture (per 1000 person-years) | 14.8 | 9.3 | 10.8 | 10.3 |
| Number of occurrences | 625 | 593 | 310 | 309 |
| Observed person-years | 42,371.6 | 63,455.8 | 28,674.2 | 29,981.4 |
| Crude hazard ratio (95% C.I.) | 1.00 | 0.63 (0.57–0.71) *** | 1.00 | 0.95 (0.81–1.12) |
| Adjusted hazard ratio (95% C.I.) 4 | 1.00 | 1.08 (0.95–1.22) | 1.00 | 1.07 (0.91–1.25) |
| Follow-Up after Index Spinal Deformity Admission | Original Cohort n = 21,810 | Propensity Score Matched Cohort 1 n = 10,810 |
|---|---|---|
| All-cause mortality | ||
| Observed incidence rate ratio (95% C.I.) | 0.40 (0.38–0.43) | 0.64 (0.59–0.69) |
| Bias corrected rate ratio (bcRR) (95% limit) 2 | 0.40 (0.37–0.44) | 0.64 (0.58–0.71) |
| Admission for respiratory infection | ||
| Observed incidence rate ratio (95% C.I.) | 0.45 (0.42–0.48) | 0.68 (0.63–0.75) |
| Bias corrected rate ratio (bcRR) (95% limit) 2 | 0.45 (0.41–0.49) | 0.68 (0.62–0.76) |
| Admission for hip fracture | ||
| Observed incidence rate ratio (95% C.I.) | 0.63 (0.56–0.71) | 0.95 (0.81–1.12) |
| Bias corrected rate ratio (bcRR) (95% limit) 2 | 0.63 (0.96–0.72) | 0.95 (0.80–1.13) |
© 2019 by the authors. Licensee MDPI, Basel, Switzerland. This article is an open access article distributed under the terms and conditions of the Creative Commons Attribution (CC BY) license (http://creativecommons.org/licenses/by/4.0/).
Share and Cite
Chen, Y.-C.; Huang, W.-C.; Chang, H.-K.; Lirng, J.-F.; Wu, J.-C. Long Term Outcomes and Effects of Surgery on Degenerative Spinal Deformity: A 14-Year National Cohort Study. J. Clin. Med. 2019, 8, 483. https://doi.org/10.3390/jcm8040483
Chen Y-C, Huang W-C, Chang H-K, Lirng J-F, Wu J-C. Long Term Outcomes and Effects of Surgery on Degenerative Spinal Deformity: A 14-Year National Cohort Study. Journal of Clinical Medicine. 2019; 8(4):483. https://doi.org/10.3390/jcm8040483
Chicago/Turabian StyleChen, Yu-Chun, Wen-Cheng Huang, Hsuan-Kan Chang, Jiing-Feng Lirng, and Jau-Ching Wu. 2019. "Long Term Outcomes and Effects of Surgery on Degenerative Spinal Deformity: A 14-Year National Cohort Study" Journal of Clinical Medicine 8, no. 4: 483. https://doi.org/10.3390/jcm8040483
APA StyleChen, Y.-C., Huang, W.-C., Chang, H.-K., Lirng, J.-F., & Wu, J.-C. (2019). Long Term Outcomes and Effects of Surgery on Degenerative Spinal Deformity: A 14-Year National Cohort Study. Journal of Clinical Medicine, 8(4), 483. https://doi.org/10.3390/jcm8040483

