Decline in Honeybees and Its Consequences for Beekeepers and Crop Pollination in Western Nepal
Abstract
Simple Summary
Abstract
1. Introduction
2. Materials and Methods
2.1. Study Site and Sampling Methods
2.2. Questionnaire Survey and Interview
2.3. Economic Importance of Honeybees in Jumla District
2.4. Crop Dependency on Apis cerana cerana
3. Results
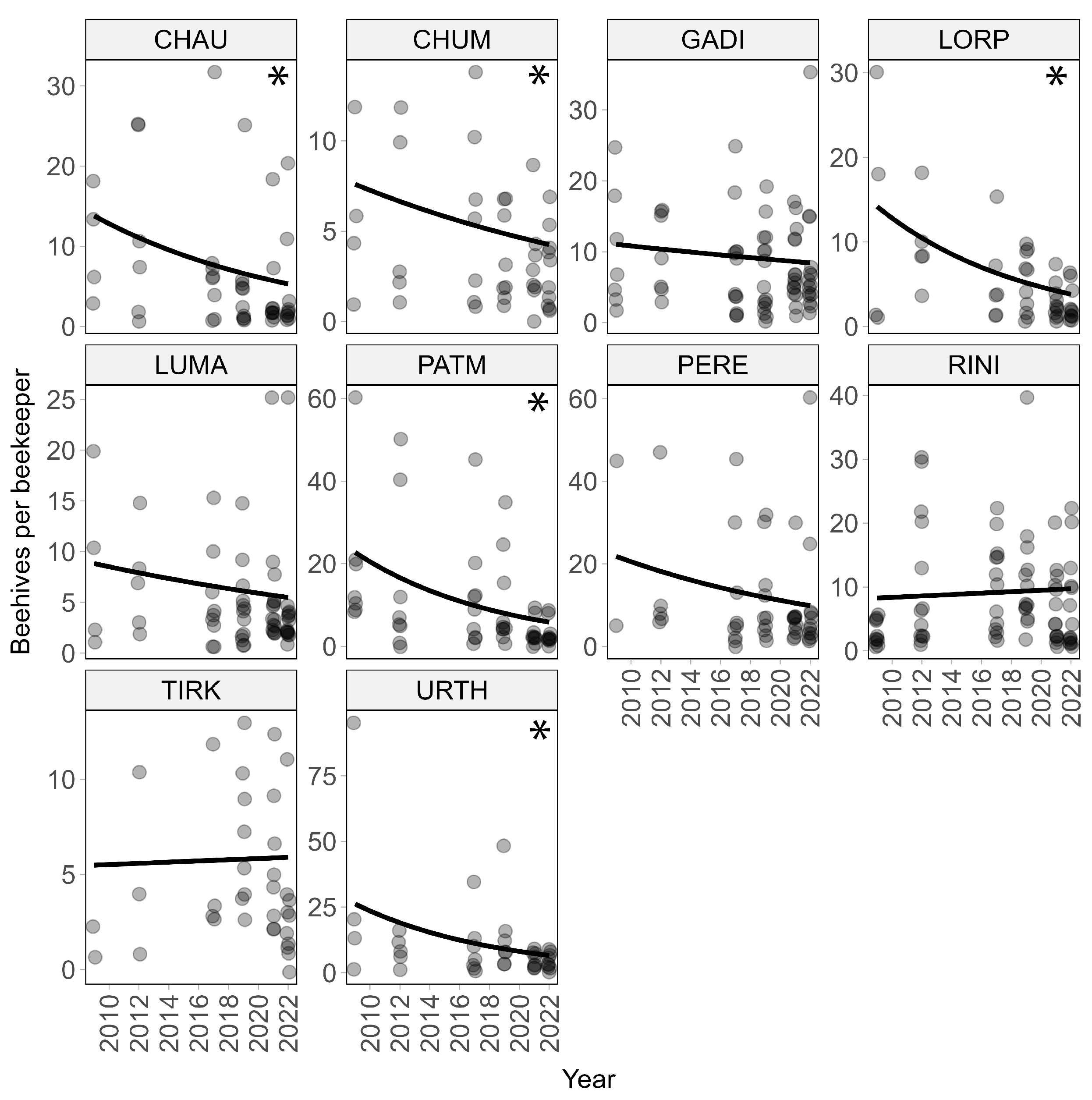
3.1. Temporal Changes in Honey Yield and Beehives
3.2. Reasons for the Decline in Honeybees
3.3. Importance of Apis cerana to Agriculture
3.4. Effects on Beekeepers’ Livelihoods
3.5. Summary of In-Depth Interview with Key Informant
4. Discussion
4.1. Are Honeybees Starving in Western Nepal?
4.2. Honeybee Decline and Its Consequences for Crop Pollination
4.3. Are Wild Insect Pollinators also Declining in Jumla?
4.4. Knowledge Gaps, Future Prospects and Management Advice
5. Conclusions
Author Contributions
Funding
Data Availability Statement
Acknowledgments
Conflicts of Interest
Appendix A. Study Area


| Village | Abbreviation | Number | Location | Altitude (m) | Households | Population | GPS Lat. | GPS Long. |
|---|---|---|---|---|---|---|---|---|
| Chaura | Chau | 10 | Ward 3 | 2713 | 200 | 1223 | 29°18′57″ N | 82°19′17″ E |
| Chuma | Chum | 10 | Ward 3 | 2790 | 171 | 1026 | 29°19′7″ N | 82°20′24″ E |
| Gadigaun | Gadi | 15 | Ward 1 | 2739 | 225 | 1350 | 29°16′54″ N | 82°21′24″ E |
| Lorpa | Lorp | 11 | Ward 5 | 2459 | 230 | 1380 | 29°18′52″ N | 82°15′36″ E |
| Luma | Luma | 15 | Ward 4 | 2567 | 374 | 1545 | 29°18′34″ N | 82°18′9″ E |
| Patmara | Patm | 10 | Ward 7 | 2986 | 180 | 1080 | 29°20′24″ N | 82°11′22″ E |
| Pere | Pere | 12 | Ward 2 | 2657 | 312 | 1240 | 29°18′4″ N | 82°21′36″ E |
| Rini | Rini | 14 | Ward 7 | 2663 | 180 | 1080 | 29°19′2″ N | 82°12′54″ E |
| Tirkhu | Tirk | 10 | Ward 4 | 2636 | 298 | 1788 | 29°17′34″ N | 82°16′52″ E |
| Urthu | Urth | 9 | Ward 6 | 2411 | 120 | 720 | 29°18′18″ N | 82°13′45″ E |
Appendix B
Questionnaire Questions and Possible Answers
- Which study site (village) are you recording in this survey?Chaura, Chuma, Gadigaun, Lorpa, Luma, Pere, Rini, Tirkhu, Urthu, Patmara, Huri, or Mahuri.
- Record the location of this interview: latitude, longitude, altitude.
- How many years have you been keeping bees for?
- How many occupied hives (colonies) do you currently manage?
- How many unoccupied hives (empty hives) do you currently have?
- Has the number of occupied beehives that you manage changed over the past years?
- Yes, an increase in occupied colonies.
- Yes, a decrease in occupied colonies.
- Number of beehives remained the same.
- Don’t know.
- How many occupied hives did you manage:
- (a)
- Last year.
- (b)
- Approximately 3 years ago.
- (c)
- Approximately 5 years ago.
- (d)
- Approximately 10 years ago.
- (e)
- More than 10 years ago.
- How much honey did you produce last year from one individual hive (per hive on average)? Consider only the final product (pressed honey), rather than honey comb. Record in decimals if needed. Answer 999 if you don’t know.
- (a)
- What units are you recording this in?Kilogram or liters or Manna or Dharni.
- (b)
- Honey yield converted to kilograms.
- What type of beehives do you have? Choose all that apply:
- Log hive (round or square type opening at the end).
- Log hive (rectangular opening at the back).
- Wall hive (rectangular opening at the back, built into the wall of the house).
- Top bar hive (where combs are on sticks that can be taken out and replaced).
- Newton hive (modern beehive) made of thin planks of wood.
- Straw hive.
- Other type of hive.
- Did the number of bees (bee population) per hive change over the past years?
- Yes, a decrease in bees per hive (go to question 12).
- Yes, an increase in bees per hive (go to question 13).
- Bee population remained the same.
- Don’t know.
- How many years ago did this change start?
- Why do you think the bee population has declined? Read out the options and choose multiple if needed. Then, please choose the 3 most important reasons for the decline in bee populations.
- Fewer flowers (go to question 14).
- Bee disease (go to question 17).
- Herbicides (go to question 16).
- Insecticides (go to question 16).
- Changing climate/weather patterns (go to question 15).
- Grazing by livestock.
- Changes in flowering time of flowers.
- More pine martens.
- Poor beehive management.
- More hornets.
- Economic costs of beekeeping.
- Other.
- Don’t know.
- Please select all of the reasons why you think the bee population has increased. Read out the options and choose multiple if needed. Then, please choose the 3 most important reasons for the increase in bee populations.
- Less herbicides.
- Less insecticides.
- More flowers.
- Less disease among bees.
- Changing climate/weather patterns.
- Less grazing of flowers by livestock.
- Organic farming.
- Less pine martens.
- Better beehive management.
- Less hornets.
- New wildflowers or crops.
- Other.
- Don’t know.
- You stated that bees are declining because of fewer flowers. Why do you think flowers are decreasing?
- Forests being cleared.
- Overgrazing by livestock.
- Fewer flowering crops.
- More fires.
- Drier weather.
- Wetter weather.
- Hotter weather.
- Colder weather.
- Late frost in April/May.
- Over-harvesting of herbs.
- Other (state the other reason why flowers have decreased).
- Don’t know
- You stated that bees are declining because of changes in climate/weather patterns. Please specify which changes you think are causing this decline:
- Colder.
- Wetter.
- Warmer.
- Drier.
- More unpredictable weather.
- Earlier monsoons.
- Later monsoons.
- Heavier monsoons.
- Drier monsoons.
- Changes in the timing of seasons (e.g., earlier spring).
- Winters are less cold.
- Winters are more cold.
- Snow not falling in winter.
- Late frost in April/May.
- Other (specify).
- Don’t know.
- You stated that bees are declining because of insecticides or herbicides. Do you know the names of any of these pesticides?
- (a)
- If yes, please name the insecticide or herbicide you are referring to.
- (b)
- Which crops are these pesticides are used on?
- You stated that bees are declining because of disease. Please describe the symptoms of this disease in your own words.
- Did you experience a change in the honey yield per hive over the past years?
- Yes, an increase in honey yield per hive.
- Yes, a decrease in honey yield per hive.
- No change.
- Don’t know.
- How many years ago did this change start?
- How much honey did you produce per individual hive (average amount per hive) during each of the time periods below? Give the answers in the same units as you answered previously and consider only the final product (pressed honey), rather than honey comb. Answer 999 if you don’t know.
- (a)
- Honey yield 3 years ago:
- (b)
- Honey yield 5 years ago:
- (c)
- Honey yield 10 years ago:
- (d)
- Honey yield more than 10 years ago:
- What units are you recording honey yield in?Kilogram or liters or Manna or Dharni.
- Does the decline in beehives, bee populations and/or honey yield affect your livelihood?Yes (go to question 23) or No (go to question 24) or Don’t know.
- How does the decline affect you? (Tick all that apply, do not prompt.)
- Loss of income.
- Loss of honey for own consumption (eating, medicine, puja).
- Loss of beeswax production.
- Decrease in crop quality.
- Decrease in crop yield.
- Other.
- Why does the decline not affect you?
- I have other income.
- I still have sufficient beehives to fulfill my need for honey.
- I still have sufficient beehives to fulfill my need for wax.
- I don’t grow pollinator-dependent crops.
- I switched to other farming activities.
- I have never got significant livelihood benefits from beekeeping.
- Other
- Do you have any apple trees?Yes (go to question 26) or No (go to question 29).
- Have you experienced a change in the yield of apples per tree over the past years?
- Yes, there has been an increase.
- Yes, there has been an decrease.
- No change.
- Don’t know.
- How many years ago did the change in apple yield start?
- Have you experienced a change in the quality of apples over the past years?
- Yes, there has been an increase in quality.
- Yes, there has been an decrease in quality.
- No change.
- Don’t know.
- How has the quality of apples changed? (read out options)
- Apples are smaller.
- Apples are bigger.
- Apples are less round.
- Apples are more round.
- Apples are often deformed.
- Apples taste worse.
- Apples taste better.
- Apple color has changed.
- Apples rot more quickly.
- Other (specify other change).
- Don’t know.
- How many beekeepers are there currently keeping bees in your village?
- Has the number of beekeepers in your village changed over the past years?
- Yes, there has been an increase.
- Yes, there has been an decrease.
- No change.
- Don’t know.
- How many beekeepers were there in your village at each of these time points? Answer 999 if you don’t know.
- (a)
- Beekeepers 3 years ago:
- (b)
- Beekeepers 5 years ago:
- (c)
- Beekeepers 10 years ago:
- (d)
- Beekeepers more than 10 years ago:
- What are the main reasons you keep bees? Read out options.
- To produce my own honey for consumption.
- To produce my own honey for puja (worship).
- To produce my own honey for medicine.
- To sell honey.
- To sell wax.
- To make beeswax products (balms, candles).
- To save the bees.
- For crop pollination.
- I find it enjoyable.
- Other (specify other reason).
- How do you inspect your colonies? Read out options
- By looking at the movement of bees at the hive entrance.
- By opening the end of the log hive and looking inside at the size of the colony.
- By looking at the combs that I can see in my log hives.
- By taking combs out and putting them back in (using a top bar or modern hive).
- By looking at the combs at the time of harvesting the honey.
- How often do you inspect the movement of bees at the hive entrance?
- Every day.
- Every week.
- Every 2 weeks.
- Every month.
- Every few months.
- Once per year.
- Once every few years.
- Never.
- When do you inspect the hives by opening the hive?
- When harvesting honey.
- When deciding whether the honey is ready to harvest.
- When the movement decreases at the hive entrance.
- To check for queen cells.
- At swarming time.
- In the weeks after hiving a swarm.
- Other (specify).
- Which months during the year are your bees active?
- Baisakh (April–May).
- Jyesth (May–June).
- Asad (June–July).
- Shrawan (July–August).
- Bhadau (August–Sep).
- Asoj (September–October).
- Kartik (October–November).
- Mangsir (November–December).
- Push (December–January).
- Magh (January–February).
- Falgun (February–March).
- Chait (March–April).
- Don’t know.
- Which months during the year do you extract honey from your hives?
- Baisakh (April–May).
- Jyesth (May–June).
- Asad (June–July).
- Shrawan (July–August).
- Bhadau (August–September).
- Asoj (September–October).
- Kartik (October–November).
- Mangsir (November–December).
- Push (December–January).
- Magh (January–February).
- Falgun (Februaru–March).
- Chait (March–April).
- Do you supplementally feed your hives (e.g., sugar syrup/ honey and candy)?Yes (go to question 40) or No (go to question 42).
- What do you feed your bees with?
- Sugar syrup.
- Sugar candy.
- Honey.
- Koiro sweet turnip boiled down.
- Buckwheat ‘desu’ made of buckwheat flour and honey.
- Other
- Which months during the year do you supplementally feed your bees?
- Baisakh (April–May).
- Jyesth (May–June).
- Asad (June–July).
- Shrawan (July–August).
- Bhadau (August–September).
- Asoj (September–October).
- Kartik (October–November).
- Mangsir (November–December).
- Push (December–January).
- Magh (January–February).
- Falgun (February–March).
- Chait (March–April).
- Don’t know.
- Do you treat your hives for parasites/diseases?
- (a)
- If yes, please provide a brief description of how you treat your bees for disease and what products you use.
- How much do you help/collaborate with other beekeepers to maintain your hives? A lot (very regularly) or occasionally (not essential) or not at all.
- What sources of information are most important in informing how you manage your bees? Read out options and select all that apply.
- Learning from my household members (people in my household with more experience than me).
- Attending knowledge-sharing events organized by beekeeping organizations.
- Government guidelines.
- Books on beekeeping.
- Personal communication with other beekeepers from my village.
- Personal communication with other beekeepers from other villages.
- Own experience.
- Internet—looking things up on a smart phone or computer.
- Competition.
- Other.
- Don’t know.
- Do you know about any wild honeybee colonies in and around your village?
- Have you noticed a change in wild honeybee populations over the past years?
- Yes—an increase.
- Yes—a decrease.
- Remained the same.
- Don’t know.
- Do you think honeybees use the same flowers as wild insects?Yes or No or Don’t know.
- Which months during the year do you think wild insects and honeybees compete for food?
- Baisakh (April–May).
- Jyesth (May–June).
- Asad (June–July).
- Shrawan (July–August).
- Bhadau (August–September).
- Asoj (September–October).
- Kartik (October–November).
- Mangsir (November–December).
- Push (December–January).
- Magh (January–February).
- Falgun (February–March).
- Chait (March–April).
- Don’t know.
Appendix C. In-Depth Interview with Lead Beekeeper
- Principal Research Associate, Institute for Global Health, University College London
- Respondent: Lead Beekeeper, Patmara Village, Patarasi RM (anonymous)
- Place of Interview: HERD Office, Chandannath-4, Jumla, Nepal
- Date: 15 September 2021
- Attendees: Dr. Susanne Kortsch, Mr. Manish Rokaya
Lead beekeeper: As we know that Bee can fly three km away from their home hive to feed flower. During feeding flower and water, all bees are getting contaminated because the bee of bazar area are usually contaminated with Butachlor as it is used to in the water of rice field so the effect of herbicide Butachlor is not only limited in bazar area and surprisingly also seen in upper Himalayas like Chimara of Jumla. As a result bees are declining and honey production is also declined. Naomi: Can we record the conversation that we are doing, if not we forget?Lead beekeeper: Yes why not? (Laughing)
Naomi: What are the other causes after Butachlor?
Lead beekeeper: Use of insecticide such as Nuvan, Malathion and Sythion in improper time. And the concerned authorities should aware farmers about the proper use of insecticide in proper time but they are not doing it. Thus it can also be the reason behind decline in bee.
Naomi: What might be other reasons in decline in number of bees?
Lead beekeeper: Farmers are not prioritizing bee keeping practice any more as compared to past we used to prioritize. Farmers don’t know about the importance of bees in pollination. They don’t understand about the importance of bee in crops, food production and vegetable production. As a result they are not prioritizing beekeeping.
Naomi: What are other causes?
Lead beekeeper: There is no good coordination between three tiers of government and the three tiers of government are not aware about their responsibility. Similarly local governments don’t understand the importance of beekeeping. The concerned authorities such as District Forest Office, Community Forest Development Committee, District Agriculture Development Office, local government and farmers are unaware about the importance of bee keeping. For example excessive collection of medicinal herbs from the forest is the sole reason behind the habitat destruction and decline in bees. Concerned authority like District forest office and community forest development committee are not taking action about people for harvesting herbs excessively. When it comes to harvest there should be strict laws like some years they can harvest some years they should not harvest. But people just carry on harvesting every year as a result there are fewer flowers in forest. The importance of pollination is not communicated in concerned authorities especially DADO and local government in the importance of pollination in quantity and quality of crop production and fruit production. Hence, the communication between forest office, community forest committee, DADO, farmers, local government and bee keepers themselves is not sufficient. Also the concerned authority, farmer and bee keepers are not coordinating to make sure that over cropping and harvesting of these herbs is prevented.
Naomi: How prevalent of bee diseases affect population of bees in Jumla?
Lead beekeeper: (excitedly) I have no word in front of you, as you are bee specialist, but if I have to say I would say there is no prevalent of such diseases in our community. In the context of Jumla, bee get increased in the month of(April) Chaitra, Baisakh, Jestha and Asar at a same time people use insecticide and pesticide for crops and fruit. While in this period queen in hive is producing many eggs inside the hive. So whole colonies of bees get affected from these insecticide and pesticide sprayed in plants and these bee get back to the hive and the bees inside the colony get killed. Mite is also another problem. Increased mites result absconding of bees.
Naomi: What about the effects of climatic change?
Lead beekeeper: Yes, there is massive effect of climatic change, when bee start to increase during April, May and June at the same time rain occurs when it should not come, when there should be more flowers, there are few flowers, there is no nectar and pollen when there should be in flower and there is heavy rain fall which usually washes away pollen and nectar from flower. (Sadly) There is so worst condition for bee by the nature and human too. We human don’t feel the effect of climatic change but bee is the one that feel and suffer from the climatic change.
Naomi: Is there a problem of overgrazing forest by cow and sheep which affect population of bee?
Lead beekeeper: There is no such problem of overgrazing due to cow and sheep but there is something that effect bees. In comparison to past we used to rear less cows and sheep now, but the yield is less nowadays it might due to unsuitable time and climatic change.
Naomi: What sort of effect is caused by change in flowering time of flower as you have already said that it cause problem in bee?
Lead beekeeper: I think that flower has own planning and process to grow, for example. In the time of today, cucumber should be flowering till the time of Bhadra and Ashoj whereas in older time it used to grow and have flowers during this time. It is all due to climate change, i.e., excessive dry hot weather and the use of Butachlor herbicide which decreases the longevity of plant and flowering pattern change nowadays. So plants are growing fast but they are also dying earlier so flowers are not available at the same time.
Naomi: Is there a problem of pine martens here comparison to past and its population is increasing or decreasing?
Lead beekeeper: Yes, the population of pine marten is increasing as well as number of bear is also increasing. It is because in past time there used to be tigers [leopards] which eat these animals and make balance but nowadays no single tiger is found here. Pine martens are not hunted by man. The meat, skin or anything else of this animal is considered not useful. In the ecosystem, there are no such predators which eat pine martens, so it becomes chief on its own. Nowadays, it is seen even in bazar area eating and destroying entire bee hives.
Naomi: How the problem of poor management of bee hive is in your area?
Lead beekeeper: Yes I have already told you that there is no coordination and communication on importance of bees between local government, DADO and concerned authorities. There is lack of awareness in general public to government official in pros of bee keeping. So the beekeeping is decreasing as due to lack of support and awareness from concerned authorities.
Naomi: Do you agree with this statement that poor management of hive by beekeeper is another problem in decreasing bee and honey production or not?
Lead beekeeper: If we plant apple, we need water, manure (cowdung), labor, pests and time to look after after caring and to protect from animals, but if we just put bee in hive, we think all work is done. There is no management of colonies. People don’t know how to manage colonies. They don’t know about the disease, they don’t inspect and they don’t feed. And at the end of season they collect honey.Naomi notes: I’m little confused about the bee keeping management he is saying earlier Earlier he is saying about the government side management and now he told about the beekeeper side.
Naomi: (Excitedly) How about the problem of hornet?
Lead beekeeper: Nowadays hornets are increasing. They used to put colony nearby beehive by which they kill the bees for their food. In comparison to past population of hornet increased dominating bee population.
Naomi: How about the wild honey, i.e., sallah maha [honeydew honey from pine sap] responsible in increasing or decreasing population of honey bee?
Lead beekeeper: I think there is no any research conducted in this topic. Wild honey is usually produced during winter season. If bees eat wild honey they get poisoned so it is believed that it is so harmful for domestic bees. Also, it is believed that where the wild honey put colony in the tree, the tree get decayed fast. And so I’m not sure that wild bee cannot cause problem in domestic bees.
Naomi: Is it expensive or cheaper to maintain hive? Can it cause a problem or not?
Lead beekeeper: There is Nepalese proverb that “aau mauri jaau mauri” which mean bee put colony and stay in their own and can also go away from hive in their own. It is so beneficial to keep bee. It is so cheap to do. It takes so less time and less labor. We usually don’t do anything for bee. I usually look after it for two times one time when there is colonization and another time for collecting honey and feeding them only. There is no need of such capital for beekeeping. Making of beehive is problem but for them who want to keep bee they can make in their own. We should look after some while to protect from honey badger and hornet only. The big problem is in the lack of communication in local government, concerned authorities and farmer abut beekeeping and management.
Lead beekeeper: We used to have a saying that “ek kisan ek bagaicha, euta jarsi gaai euta mauri ko ghar” which means in each farming household there should be apple farm, there should be one ‘jersey’ cow and there should be one bee hive in farm which promote agriculture production with bee keeping. But it is not implemented through all sector even by ourselves.
Naomi: Which problem do you think is most important among climate change, use of insecticide, pine marten?
Lead beekeeper: The important reason is extensive use of insecticide and pesticide. Herbicide like Butachlor should be banned which is the major cause, climatic change is second cause and lack of awareness about bee keeping among farmers is third important cause of decline in population of bee. I think climate change issue cannot be solved by ourselves. The measure should be taken by government. And also increased number of honey badger [pine marten?] affect the bee population.
Naomi: How less number of flower affect the bee? And what are the reasons for flowers declining in our locality?
Lead beekeeper: It is due to lack of control in overgrazing of herbs and excessive collection of flora and fauna of medical importance. Also climatic change affect the longevity of plant and flower.
Naomi: What sorts of climatic change affect decline in flower?
phone rang of Lead beekeeperLead beekeeper: We are facing increasing temperature. Temperature is increasing year by year. Expert should be curious on this issue but no one is here to talk about climatic change. For example in 2045 BS this area used to be snowier but now there is no such big snow fall. In near future it will be hard to see snow. (Excitingly)
Naomi: What sort of change in pattern of weather did you feel in these years?
Lead beekeeper: There is no raining when there should be and there is no snow when there should be. Sometime there is heavy rainfall when there should not be. And we know the pattern of weather in past but now we have so unpredictable weather. Flowers are flowering earlier but do not have longevity. That’s why bees don’t have flower to feed them and die.
Naomi: What are the insecticide and pesticide and for what crops and vegetable they used for?
Lead beekeeper: Butachlor is significantly used herbicide and it remains for long time. It is use in rice field. Malthion and Sythion are used for vegetables and fruit for example cucumber, cauliflower, cabbage, pumpkin, carrot and apple. The concerned authorities like DADO are not making farmers aware on the use of these insecticides and pesticides. People are using haphazardly. If people use these insecticides and pesticides in night time, it will be beneficial for bees.
Naomi: Is there production increase or decrease in recent year?
Lead beekeeper: Yes, there is decrease in honey yield in these years. Yielded honey is not even sufficient for bee.
Naomi: What about three years ago?
Lead beekeeper: Three, four kilogram per hive three years ago from approximately 9 hives. This year I get 2–3 kg from the hive in the month of Asaar. We should look after the hive during 1 July to 15 July when there is no egg. Previous year, I have collected only 1–1.5 kg per hive only. In total, how much is the yield before three years? When I had 30 hives also, the yield was only about 3 kg.Naomi: What about 5 years ago, 10 years ago and more than 10 years ago?Lead beekeeper: I have collected 50 kg in total about five years ago from 26 hives. I have collected 100 kg in total about 10 years ago from 25 hives. I have collected 300 kg in total about more than 10 years ago from 35 hives.
Naomi: What about the production of apple? From how many years that apple production change?
Lead beekeeper: Recent news showed that this year apple produced in good quantity but in my field apple produced in less quantity. Overall, the production of apple is decreasing about four or five years ago.
Naomi: What about the quality of apple?
Lead beekeeper: The quality of apple is not as good as like that of past. Apple are not so dark and big round as that of past. I think it is all due to climate change. Apple also taste not so good. Flower of apple start to fall earlier.
Naomi: How many beekeepers are there in your locality?
Lead beekeeper: (happily) Now I’m the only one in my village. One year earlier there were two more beekeepers but now they don’t have.
Naomi: What about 3 years ago, about 5 years ago, 10 years ago and more than 10 years ago?
Lead beekeeper: There were four people about three years ago. There were nine about five years ago. There were two or three about 10 years ago. There were three or four about more than 10 years ago.
Naomi: What is the reason behind beekeeping?
Lead beekeeper: My fathers used to keep from my childhood and I have kept bee for many years myself and I have got the training on management of bee by organization. I have also registered Karnali Bee Rearing Institution and it also encourage me for keeping bee. It is so cost effective and it is so easy. We use this honey to eat and to sell.
Naomi: How do you inspect your colonies?
Lead beekeeper: We used to look after the movement of bee. And also we used to look after the opening of hive also.
Naomi: When you open and look inside the log hive? How do you inspect your colonies?
Lead beekeeper: We inspect when there is no good movement, we look inside the hive. As Apis cerana don’t like to be touched. We should watch once a week inside the hive but we inspect in urgency only.
Naomi: How often do you look after top bar hive?
Lead beekeeper: We inspect when there is needed only as Apis cerana don’t like to be touched. We generally inspect inside the hive when you are going to take honey from hive. And we inspect queen cells inside the hive sometime and inspect whether there is diseases or destruction made by other animal like rat. We look the honey, the size of colony and combs from the mouth of hive and confirm whether bee is doing good or bad. And also we look combs at the time of harvesting the honey.
Naomi: How often do you look/inspect after the movement of bee at the hive entrance?
Lead beekeeper: We look frequently after hive hive nearby home and we look once a week for hive which we have put far away from home.
Naomi: When do you generally look inside the hive?
Lead beekeeper: We generally look inside the hive When we are going to harvest honey and also to decide whether the honey is ready to harvest or not. When the movement decreases at the hive entrance we also inspect and we also check how many queen cells are there also we look At swarming time.
Naomi: Do you inspect new colony or not?
Lead beekeeper: Yes, I do inspect to know whether it accept or not in the hive and also confirms its stability inside the hive. We look new colonies whether to confirm that it is producing honey and forming many combs during night.
Naomi: Which months during the year are your bees active?
Lead beekeeper: Bees are generally active from Chaitra to Ashoj. From Ashoj 15 they start to become less active. In the month of Kartik they become so less active. In the winter it is hard for their movement.
Naomi: Which months during the year do you extract honey from your hives?
Lead beekeeper: We extract honey in the month of Kartik (from Kartik 25 because honey is shield and good. Some people extract also in the month of Ashoj and Kartik but it is not good as there may be eggs. In Asar we also extract honey only after confirming that there are no eggs in the combs. I extracted honey this year during Asar it was good.
Naomi: What do you feed your bees with? And Which months during the year do you feed your bees?
Lead beekeeper: We generally feed them in winter season and rainy season especially shrawan. I fed them with honey syrup with water in the ratio of 1:2. I did not feed candy and sugar till date. We feed bees maximum in the month of Poush to Chaitra [December to April]. If there is heavy rainfall, we also feed them during Shrawan [July/August]. According to the healthiness and movement of bee among hive, we usually prefer feeding weak hive.
Naomi: Do you treat your bees with disease?
Lead beekeeper: I have not seen such dreadful disease for bee. In Jumla, there is only problem of mite for bee.
Naomi: How much do you help/collaborate with other beekeepers to maintain your hives?
Lead beekeeper: I usually suggest my all friends to keep bees. And I also give advice and to neighbor bee keepers frequently and who are willing to take advice, as I’m the vice chairperson of XXXX Co-operative Organization.
Naomi: Can you please provide the names of all the beekeepers or advisors who you collaborate with?
Lead beekeeper: Interview section removed for privacy reasons
Naomi: Are you a member of a beekeeping organization/ group/cooperative?
Lead beekeeper: Yes I’m the member of XXXX Co-operative Organization.
Naomi: What are your main reasons for being part of this group?
Lead beekeeper: As I’m the vice-chair person of this co-operative organization, we have meeting in which we discuss about the effective management of beekeeping. We sell all our honey through this co-operative as possible. We have also collected wax sometimes but now we do not collect wax. Although wax is important due to lack coordination with wax market we are unable to sell those wax. Please make help us with the necessary co-ordination. People can borrow necessary equipment from this co-operative. People can also take loan for beekeeping purpose.
Naomi: How often do you get involved with this beekeeping organization/cooperative?
Lead beekeeper: We have monthly meeting.
Naomi: What sources of information are most important in informing how you manage your bees?
Lead beekeeper: As I was born in bee keeper family, it also gives experience to do beekeeping. When I was working in DADO, Jumla, I get opportunity to take training on beekeeping that encourage me in modern beekeeping. And also I have book of beekeeping.
Naomi: Do you have books related to honey bee?
Lead beekeeper: Yes, I have beekeeping book.
Naomi: Do you have government direction information on beekeeping?
Lead beekeeper: Government directions’ are very less studied.
Naomi: Do you look something on internet?
Lead beekeeper: Not much seen.
Naomi: As global temperature is rising, do you know about global climate change?
Lead beekeeper: Due to excessive use of plastic and degradation of forest, illegal killing of wild animals and birds, it promote climatic change. In the past, wild deer used come nearby our home; now, it is hard to find these animal in forest. As well as there were few houses having steel sheet roof but now there are many houses of this that also increase the temperature. In about 2030 BS, we drink water of this river jugada but now we cannot even take bath there. Something is bad happened in the environment nowadays. There is so much unpredictable weather nowadays. When there must be rain, there is no rain, when there should not be rain, there is heavy rainfall. I think we human are the main responsible for this. There is more warmer in these years, as I wore few clothes earlier but now with these clothes I feel so hot. And there is extreme cold in the morning. Relatively, there is less snow falling relative to past years.
Naomi: What are the main problem do you face in beekeeping?
Lead beekeeper: The first point is due to lack of unified socialistic development in beekeeping. Due to lack of awareness about importance of beekeeping among farmers. Lack of communication by local organization on beekeeping.
Naomi: As you have said use of Butachlor, competition among bees, climatic change and less flowers, which is the most important challenges?
Lead beekeeper: The Butachlor is the main reason. Climatic change is the second most reason. Destruction of forest by overgrazing of herbs and medical importance plant from plant flowering times of crop plants changed.
Naomi: Do you know about any wild honeybee colonies in and around your village?
Lead beekeeper: Yes, very few hive are seen nowadays. The population of these bee is decreasing because if man know and find it’s colony, people destroy the whole colony for honey.
Naomi: Where do you get your bees from?
Lead beekeeper: Originally it is wild bee but now on breed of domestic bee we get it at swarming season (bherr phaatnay bela). We get from each one another.
Naomi: Do you think honeybees compete with wild insects?
Lead beekeeper: In my experience there is no competition among bees and wild insect. Apis cerana do not sit on flower where Bhamara (bumblebees) had taken place earlier [visited]. (phone rang of Lead beekeeper)
Naomi: In which ways does the decline in bee and honey production affect you?
Lead beekeeper: It has directly affected my livelihood by decreasing loss of income. It is hard to get enough honey for consumption and sell. There is no exact research on importance of pollination on apple and we farmers don’t know exactly but it affect crop and apple production as I kept my hive in my apple farm.
Naomi: Do you want to say something about these questions and for our correction?
Lead beekeeper: I feel very glad to participate in this study. Jumla is the perfect one for agriculture but people see us as hungry. We are lacking necessary equipment and technical advice on agriculture. We are lacking local government on these sectors. With the less effort and capital, we can do beekeeping with more pros. It is so beneficial in direct or indirect way. I argue you all respected persons, NGOs and INGOs to make an enabling environment for beekeeping through awareness and technical guidance.
Appendix D. Pollination Field Data
Appendix D.1. Pollinator Surveys
Appendix D.2. Pollen Analysis Methods
Appendix E. Supplemental Results




References
- Klein, A.M.; Vaissière, B.E.; Cane, J.H.; Steffan-Dewenter, I.; Cunningham, S.A.; Kremen, C.; Tscharntke, T. Importance of pollinators in changing landscapes for world crops. Proc. R. Soc. B Biol. Sci. 2007, 274, 303–313. [Google Scholar] [CrossRef]
- Potts, S.; Imperatriz-Fonseca, V.; Ngo, H.; Aizen, M.; Biesmeijer, J.; Breeze, T.; Dicks, L.; Garibaldi, L.; Hill, R.; Settele, J.; et al. Safeguarding pollinators and their values to human well-being. Nature 2016, 540, 220–229. [Google Scholar] [CrossRef]
- Biesmeijer, J.; Roberts, S.; Reemer, M.; Ohlemuller, R.; Edwards, M.; Peeters, T.; Schaffers, A.; Potts, S.; Kleukers, R.; Thomas, C.; et al. Parallel declines in pollinators and insect-pollinated plants in Britain and the Netherlands. Science 2006, 313, 351–354. [Google Scholar] [CrossRef]
- Cameron, S.; Lozier, J.; Strange, J.; Koch, J.; Cordes, N.; Solter, L.; Griswold, T. Patterns of widespread decline in North American bumble bees. Proc. Natl. Acad. Sci. USA 2011, 108, 662–667. [Google Scholar] [CrossRef]
- Powney, G.; Carvell, C.; Edwards, M.; Morris, R.; Roy, H.; Woodcock, B.; Isaac, N. Widespread losses of pollinating insects in Britain. Nat. Commun. 2019, 10, 1018. [Google Scholar] [CrossRef]
- Van Klink, R.; Bowler, D.; Gongalsky, K.; Swengel, A.; Gentile, A.; Chase, J. Meta-analysis reveals declines in terrestrial but increases in freshwater insect abundances. Science 2020, 368, 417–420. [Google Scholar] [CrossRef]
- Goulson, D.; Nicholls, E.; Botías, C.; Rotheray, E.L. Bee declines driven by combined Stress from parasites, pesticides, and lack of flowers. Science 2015, 347, 1255957. [Google Scholar] [CrossRef]
- Potts, S.; Biesmeijer, J.; Kremen, C.; Neumann, P.; Schweiger, O.; Kunin, W. Global pollinator declines: Trends, impacts and drivers. Trends Ecol. Evol. 2010, 25, 345–353. [Google Scholar] [CrossRef]
- Dicks, L.; Breeze, T.; Ngo, H.; Senapathi, D.; An, J.; Aizen, M.; Basu, P.; Buchori, D.; Galetto, L.; Garibaldi, L.; et al. A global-scale expert assessment of drivers and risks associated with pollinator decline. Nat. Ecol. Evol. 2021, 5, 1453–1461. [Google Scholar] [CrossRef]
- Müller, J.; Hothorn, T.; Yuan, Y.; Seibold, S.; Mitesser, O.; Rothacher, J.; Freund, J.; Wild, C.; Wolz, M.; Menzel, A. Weather explains the decline and rise of insect biomass over 34 years. Nature 2023, 628, 349–354. [Google Scholar] [CrossRef]
- Timberlake, T.P.; Cirtwill, A.R.; Baral, S.C.; Bhusal, D.R.; Devkota, K.; Harris-Fry, H.A.; Kortsch, S.; Myers, S.S.; Roslin, T.; Saville, N.M.; et al. A network approach for managing ecosystem services and improving food and nutrition security on smallholder farms. People Nat. 2022, 4, 563–575. [Google Scholar] [CrossRef]
- Garibaldi, L.A.; Carvalheiro, L.G.; Vaissière, B.E.; Gemmill-Herren, B.; Hipólito, J.; Freitas, B.M.; Ngo, H.T.; Azzu, N.; Sáez, A.; Åström, J.; et al. Mutually beneficial pollinator diversity and crop yield outcomes in small and large farms. Science 2016, 351, 388–391. [Google Scholar] [CrossRef]
- Steward, P.; Shackelford, G.; Carvalheiro, L.; Benton, T.; Garibaldi, L.; Sait, S. Pollination and biological control research: Are we neglecting two billion smallholders. Agric. Food Secur. 2014, 3, 5. [Google Scholar] [CrossRef]
- Crane, E. The World History of Beekeeping and Honey Hunting; Routledge: New York, NY, USA, 1999. [Google Scholar]
- Osterman, J.; Aizen, M.A.; Biesmeijer, J.C.; Bosch, J.; Howlett, B.G.; Inouye, D.W.; Jung, C.; Martins, D.J.; Medel, R.; Pauw, A.; et al. Global trends in the number and diversity of managed pollinator species. Agric. Ecosyst. Environ. 2021, 322, 107653. [Google Scholar] [CrossRef]
- Nat Schouten, C.; John Lloyd, D. Considerations and Factors Influencing the Success of Beekeeping Programs in Developing Countries. Bee World 2019, 96, 75–80. [Google Scholar] [CrossRef]
- Devkota, K.; Egan, P.A.; Dos Santos, C.F.; Blochtein, B. Beekeeping Livelihood Development in Nepal: Value-Added Opportunities and Professional Support Needs. J. Econ. Entomol. 2022, 115, 706–714. [Google Scholar] [CrossRef]
- Devkota, K. Beekeeping: Sustainable Livelihoods and Agriculture Production in Nepal. In Modern Beekeeping; Ranz, R.E.R., Ed.; IntechOpen: Rijeka, Croatia, 2020; Section 6. [Google Scholar] [CrossRef]
- Isaacs, R.; Kirk, A.K. Pollination services provided to small and large highbush blueberry fields by wild and managed bees. J. Appl. Ecol. 2010, 47, 841–849. [Google Scholar] [CrossRef]
- Partap, L.; Verma, L. Asian bees and beekeeping: Issues and initiatives. In Proceedings of the 4th Asian Apiculture Association International Conference, Kathmandu, Nepal, 23–28 March 1998; pp. 23–28. [Google Scholar]
- Theisen-Jones, H.; Bienefeld, K. The Asian honey bee (Apis cerana) Is Significantly Decline. Bee World 2016, 93, 90–97. [Google Scholar] [CrossRef]
- Pokhrel, S.; Thapa, R.; Neupane, F.; Shrestha, S. Absconding Behavior and Management of Apis cerana F. Honeybee in Chitwan, Nepal. J. Inst. Agric. Anim. Sci. 2006, 27, 77–86. [Google Scholar] [CrossRef]
- Timberlake, T.; Cirtwill, A.R.; Sapkota, S.; Bhusal, D.; Devkota, K.; Karki, R.; Joshi, D.; Saville, N.M.; Kortsch, S.; Baral, S.; et al. Agricultural specialisation increases the vulnerability of pollination services for smallholder farmers. J. Appl. Ecol. 2024. in-revision. [Google Scholar]
- Potts, S.G.; Roberts, S.P.; Dean, R.; Marris, G.; Brown, M.A.; Jones, R.; Neumann, P.; Settele, J. Declines of managed honey bees and beekeepers in Europe. J. Apic. Res. 2010, 49, 15–22. [Google Scholar] [CrossRef]
- Saville, N.M.; Upadhaya, S.N. Indigenous Knowledge of Beekeeping in Jumla, Western Nepal. In Asian Bees and Beekeeping: Progress of Research and Development: International Centre for Integrated Mountain Development; Matsuka, M., Verma, L.R., Wongsiri, S., Shrestha, K.K., Partap, U., Eds.; Oxford & IBH Publishing Co. PVT. Ltd.: New Dehli, India, 2000; Chapter 66; pp. 248–251. [Google Scholar] [CrossRef]
- Central Bureau of Statistics; UNICEF Nepal. Nepal Multiple Indicator Cluster Survey 2019, Survey Findings Report; UNICEF Nepal: Kathmandu, Nepal, 2020. [Google Scholar]
- R Core Team. R: A Language and Environment for Statistical Computing; R Foundation for Statistical Computing: Vienna, Austria, 2019. [Google Scholar]
- Wickham, H. ggplot2: Elegant Graphics for Data Analysis; Springer: New York, NY, USA, 2016; Available online: https://ggplot2.tidyverse.org (accessed on 10 April 2024).
- Racys, J.; Montviliene, R. Effect of bees-pollinators in buckwheat [Fagopyrum esculentum Moench] crops. J. Apic. Sci. 2005, 49. [Google Scholar]
- Warrit, N.; Ascher, J.; Basu, P.; Belavadi, V.; Brockmann, A.; Buchori, D.; Dorey, J.B.; Hughes, A.; Krishnan, S.; Ngo, H.T.; et al. Opportunities and challenges in Asian bee research and conservation. Biol. Conserv. 2023, 285, 110173. [Google Scholar] [CrossRef]
- Baude, M.; Kunin, W.E.; Boatman, N.D.; Conyers, S.; Davies, N.; Gillespie, M.A.K.; Morton, R.D.; Smart, S.M.; Memmott, J. Historical nectar assessment reveals the fall and rise of floral resources in Britain. Nature 2016, 530, 85–88. [Google Scholar] [CrossRef] [PubMed]
- Roulston, T.H.; Goodell, K. The Role of Resources and Risks in Regulating Wild Bee Populations. Annu. Rev. Entomol. 2011, 56, 293–312. [Google Scholar] [CrossRef] [PubMed]
- Woodard, S.H.; Jha, S. Wild bee nutritional ecology: Predicting pollinator population dynamics, movement, and services from floral resources. Curr. Opin. Insect Sci. 2017, 21, 83–90. [Google Scholar] [CrossRef] [PubMed]
- Quinlan, G.M.; Miller, D.A.W.; Grozinger, C.M. Examining spatial and temporal drivers of pollinator nutritional resources: Evidence from five decades of honey bee colony productivity data. Environ. Res. Lett. 2023, 18, 110173. [Google Scholar] [CrossRef]
- Karbassioon, A.; Yearlsey, J.; Dirilgen, T.; Hodge, S.; Stout, J.C.; Stanley, D.A. Responses in honeybee and bumblebee activity to changes in weather conditions. Oecologia 2023, 201, 689–701. [Google Scholar] [CrossRef] [PubMed]
- Clarke, D.; Robert, D. Predictive modelling of honey bee foraging activity using local weather conditions. Apidologie 2018, 49, 386–396. [Google Scholar] [CrossRef]
- Shrestha, U.B.; Shrestha, A.M.; Aryal, S.; Shrestha, S.; Gautam, M.S.; Ojha, H. Climate change in Nepal: A comprehensive analysis of instrumental data and people’s perceptions. Clim. Chang. 2019, 154, 315–334. [Google Scholar] [CrossRef]
- Sabin, T.P.; Krishnan, R.; Vellore, R.; Priya, P.; Borgaonkar, H.P.; Singh, B.B.; Sagar, A. Climate Change Over the Himalayas. In Assessment of Climate Change over the Indian Region; Krishnan, R., Sanjay, J., Gnanaseelan, C., Mujumdar, M., Kulkarni, A., Chakraborty, S., Eds.; Springer: Singapore, 2020; pp. 207–222. [Google Scholar] [CrossRef]
- Thuiller, W.; Lavorel, S.; Araújo, M.B.; Sykes, M.T.; Prentice, I.C. Climate change threats to plant diversity in Europe. Proc. Natl. Acad. Sci. USA 2005, 102, 8245–8250. [Google Scholar] [CrossRef]
- Roslin, T.; Antão, L.; Hällfors, M.; Meyke, E.; Lo, C.; Tikhonov, G.; Delgado, M.d.M.; Gurarie, E.; Abadonova, M.; Abduraimov, O.; et al. Phenological shifts of abiotic events, producers and consumers across a continent. Nat. Clim. Chang. 2021, 11, 241–248. [Google Scholar] [CrossRef]
- Ribbands, C. The flight range of the honey-bee. J. Anim. Ecol. 1951, 20, 220–226. [Google Scholar] [CrossRef]
- Hayes, L.; Grüter, C. When should bees be flower constant? An agent-based model highlights the importance of social information and foraging conditions. J. Anim. Ecol. 2023, 92, 580–593. [Google Scholar] [CrossRef]
- Couvillon, M.J.; Schürch, R.; Ratnieks, F.L.W. Waggle Dance Distances as Integrative Indicators of Seasonal Foraging Challenges. PLoS ONE 2014, 9, e93495. [Google Scholar] [CrossRef] [PubMed]
- Danner, N.; Molitor, A.M.; Schiele, S.; Härtel, S.; Steffan-Dewenter, I. Season and landscape composition affect pollen foraging distances and habitat use of honey bees. Ecol. Appl. 2016, 26, 1920–1929. [Google Scholar] [CrossRef] [PubMed]
- Nolan, W. The Brood-Rearing Cycle of the Honeybee; U.S. Department of Agriculture: Washington, DC, USA, 1925; Volume 1349, pp. 1–55.
- Zattara, E.E.; Aizen, M.A. Worldwide occurrence records suggest a global decline in bee species richness. One Earth 2021, 4, 114–123. [Google Scholar] [CrossRef]
- Aldercotte, A.H.; Simpson, D.T.; Winfree, R. Crop visitation by wild bees declines over an 8-year time series: A dramatic trend, or just dramatic between-year variation? Insect Conserv. Divers. 2022, 15, 522–533. [Google Scholar] [CrossRef]
- Goulson, D.; Nicholls, E. The Canary in the Coalmine; Bee Declines as an Indicator of Environmental Health. Sci. Prog. 2016, 99, 312–326. [Google Scholar] [CrossRef] [PubMed]
- Winfree, R.; Williams, N.M.; Dushoff, J.; Kremen, C. Native bees provide insurance against ongoing honey bee losses. Ecol. Lett. 2007, 10, 1105–1113. [Google Scholar] [CrossRef]
- Paini, D.R. Impact of the introduced honey bee (Apis Mellifera) (Hymenoptera: Apidae) Nativ. Bees: A Rev. Austral Ecol. 2004, 29, 399–407. [Google Scholar] [CrossRef]
- Saville, N.M. Battling with bee brood disease in Apis cerana in W. Nepal - some findings. In Proceedings of the Seventh IBRA Conference on Tropical Bees: Management and Diversity, and Fifth Asian Apicultural Association Conference, Chiang Mai, Thailand, 19–26 March 2000. [Google Scholar]
- QGIS Development Team. QGIS Geographic Information System; Version 3.16.8; QGIS Association: Berne, Switzerland, 2021; Available online: http://qgis.osgeo.org (accessed on 10 April 2024).





| Honey Yield | Beehives | |||
|---|---|---|---|---|
| Term | p-Value | p-Value | ||
| Intercept | 90.11 | <0.001 | 112.3 | <0.001 |
| Slope | −0.044 | <0.001 | −0.055 | <0.001 |
| McFadden’s pseudo- | 0.010 | 0.048 | ||
Disclaimer/Publisher’s Note: The statements, opinions and data contained in all publications are solely those of the individual author(s) and contributor(s) and not of MDPI and/or the editor(s). MDPI and/or the editor(s) disclaim responsibility for any injury to people or property resulting from any ideas, methods, instructions or products referred to in the content. |
© 2024 by the authors. Licensee MDPI, Basel, Switzerland. This article is an open access article distributed under the terms and conditions of the Creative Commons Attribution (CC BY) license (https://creativecommons.org/licenses/by/4.0/).
Share and Cite
Kortsch, S.; Timberlake, T.P.; Cirtwill, A.R.; Sapkota, S.; Rokoya, M.; Devkota, K.; Roslin, T.; Memmott, J.; Saville, N. Decline in Honeybees and Its Consequences for Beekeepers and Crop Pollination in Western Nepal. Insects 2024, 15, 281. https://doi.org/10.3390/insects15040281
Kortsch S, Timberlake TP, Cirtwill AR, Sapkota S, Rokoya M, Devkota K, Roslin T, Memmott J, Saville N. Decline in Honeybees and Its Consequences for Beekeepers and Crop Pollination in Western Nepal. Insects. 2024; 15(4):281. https://doi.org/10.3390/insects15040281
Chicago/Turabian StyleKortsch, Susanne, Thomas P. Timberlake, Alyssa R. Cirtwill, Sujan Sapkota, Manish Rokoya, Kedar Devkota, Tomas Roslin, Jane Memmott, and Naomi Saville. 2024. "Decline in Honeybees and Its Consequences for Beekeepers and Crop Pollination in Western Nepal" Insects 15, no. 4: 281. https://doi.org/10.3390/insects15040281
APA StyleKortsch, S., Timberlake, T. P., Cirtwill, A. R., Sapkota, S., Rokoya, M., Devkota, K., Roslin, T., Memmott, J., & Saville, N. (2024). Decline in Honeybees and Its Consequences for Beekeepers and Crop Pollination in Western Nepal. Insects, 15(4), 281. https://doi.org/10.3390/insects15040281

