Combating Tuberculosis via Restoring the Host Immune Capacity by Targeting M. tb Kinases and Phosphatases
Abstract
1. Introduction
2. The Critical Role of Macrophages in Controlling Infection
3. Role of M. tb Kinases and Phosphatases in Warding off Phagosome Maturation and Preventing Phagosome–Lysosome Fusion
3.1. PknG
3.2. M. tb-Secreted Phosphatases
3.2.1. MPtpA
3.2.2. MPtpB
3.2.3. SAPM
4. Restoring the Host Immune Capacity via Inhibiting M. tb Kinases and Phosphatases
4.1. PknG Inhibitors
4.2. MPtpA Inhibitors
4.3. MPtpB Inhibitors
4.4. SapM Inhibitors
5. Conclusions and Future Directions
Author Contributions
Funding
Institutional Review Board Statement
Informed Consent Statement
Acknowledgments
Conflicts of Interest
Correction Statement
References
- Prisic, S.; Husson, R.N. Mycobacterium tuberculosis Serine/Threonine Protein Kinases. Microbiol. Spectr. 2014, 2, MGM2-0006-2013. [Google Scholar] [CrossRef]
- Av-Gay, Y.; Everett, M. The eukaryotic-like Ser/Thr protein kinases of Mycobacterium tuberculosis. Trends Microbiol. 2000, 8, 238–244. [Google Scholar] [CrossRef]
- Richard-Greenblatt, M.; Av-Gay, Y. Epigenetic Phosphorylation Control of Mycobacterium tuberculosis Infection and Persistence. Microbiol. Spectr. 2017, 5, TBTB2-0005-2015. [Google Scholar] [CrossRef]
- Parish, T. Two-Component Regulatory Systems of Mycobacteria. Microbiol. Spectr. 2014, 2, MGM2-0010-2013. [Google Scholar] [CrossRef]
- Zahrt, T.C.; Deretic, V. An essential two-component signal transduction system in Mycobacterium tuberculosis. J. Bacteriol. 2000, 182, 3832–3838. [Google Scholar] [CrossRef]
- Chao, J.; Wong, D.; Zheng, X.; Poirier, V.; Bach, H.; Hmama, Z.; Av-Gay, Y. Protein kinase and phosphatase signaling in Mycobacterium tuberculosis physiology and pathogenesis. Biochim. Biophys. Acta 2010, 1804, 620–627. [Google Scholar] [CrossRef]
- Alsayed, S.S.R.; Beh, C.C.; Foster, N.R.; Payne, A.D.; Yu, Y.; Gunosewoyo, H. Kinase Targets for Mycolic Acid Biosynthesis in Mycobacterium tuberculosis. Curr. Mol. Pharmacol. 2019, 12, 27–49. [Google Scholar] [CrossRef]
- Saha, S.; Das, P.; BoseDasgupta, S. “It Takes Two to Tango”: Role of Neglected Macrophage Manipulators Coronin 1 and Protein Kinase G in Mycobacterial Pathogenesis. Front. Cell. Infect. Microbiol. 2020, 10, 582563. [Google Scholar] [CrossRef]
- Carranza, C.; Chavez-Galan, L. Several Routes to the Same Destination: Inhibition of Phagosome-Lysosome Fusion by Mycobacterium tuberculosis. Am. J. Med. Sci. 2019, 357, 184–194. [Google Scholar] [CrossRef]
- Uribe-Querol, E.; Rosales, C. Control of Phagocytosis by Microbial Pathogens. Front. Immunol. 2017, 8, 1368. [Google Scholar] [CrossRef]
- Desjardins, M. Biogenesis of phagolysosomes: The ‘kiss and run’ hypothesis. Trends Cell Biol. 1995, 5, 183–186. [Google Scholar]
- Lee, H.J.; Woo, Y.; Hahn, T.W.; Jung, Y.M.; Jung, Y.J. Formation and Maturation of the Phagosome: A Key Mechanism in Innate Immunity against Intracellular Bacterial Infection. Microorganisms 2020, 8, 1298. [Google Scholar] [CrossRef]
- Becken, U.; Jeschke, A.; Veltman, K.; Haas, A. Cell-free fusion of bacteria-containing phagosomes with endocytic compartments. Proc. Natl. Acad. Sci. USA 2010, 107, 20726–20731. [Google Scholar] [CrossRef]
- Poirier, V.; Av-Gay, Y. Mycobacterium tuberculosis modulators of the macrophage’s cellular events. Microbes Infect. 2012, 14, 1211–1219. [Google Scholar] [CrossRef]
- Wong, D.; Chao, J.D.; Av-Gay, Y. Mycobacterium tuberculosis-secreted phosphatases: From pathogenesis to targets for TB drug development. Trends Microbiol. 2013, 21, 100–109. [Google Scholar] [CrossRef]
- Sturgill-Koszycki, S.; Schlesinger, P.H.; Chakraborty, P.; Haddix, P.L.; Collins, H.L.; Fok, A.K.; Allen, R.D.; Gluck, S.L.; Heuser, J.; Russell, D.G. Lack of acidification in Mycobacterium phagosomes produced by exclusion of the vesicular proton-ATPase. Science 1994, 263, 678–681. [Google Scholar] [CrossRef]
- Kalra, R.; Tiwari, D.; Dkhar, H.K.; Bhagyaraj, E.; Kumar, R.; Bhardwaj, A.; Gupta, P. Host factors subverted by Mycobacterium tuberculosis: Potential targets for host directed therapy. Int. Rev. Immunol. 2023, 42, 43–70. [Google Scholar] [CrossRef]
- Armstrong, J.A.; Hart, P.D. Response of cultured macrophages to Mycobacterium tuberculosis, with observations on fusion of lysosomes with phagosomes. J. Exp. Med. 1971, 134 Pt 1, 713–740. [Google Scholar] [CrossRef]
- Pieters, J. Mycobacterium tuberculosis and the macrophage: Maintaining a balance. Cell Host Microbe 2008, 3, 399–407. [Google Scholar] [CrossRef]
- Walburger, A.; Koul, A.; Ferrari, G.; Nguyen, L.; Prescianotto-Baschong, C.; Huygen, K.; Klebl, B.; Thompson, C.; Bacher, G.; Pieters, J. Protein kinase G from pathogenic mycobacteria promotes survival within macrophages. Science 2004, 304, 1800–1804. [Google Scholar] [CrossRef]
- Fernandez-Soto, P.; Bruce, A.J.E.; Fielding, A.J.; Cavet, J.S.; Tabernero, L. Mechanism of catalysis and inhibition of Mycobacterium tuberculosis SapM, implications for the development of novel antivirulence drugs. Sci. Rep. 2019, 9, 10315. [Google Scholar] [CrossRef] [PubMed]
- Alsayed, S.S.R.; Gunosewoyo, H. Tuberculosis: Pathogenesis, Current Treatment Regimens and New Drug Targets. Int. J. Mol. Sci. 2023, 24, 5202. [Google Scholar] [CrossRef] [PubMed]
- Khan, M.Z.; Kaur, P.; Nandicoori, V.K. Targeting the messengers: Serine/threonine protein kinases as potential targets for antimycobacterial drug development. IUBMB Life 2018, 70, 889–904. [Google Scholar] [CrossRef] [PubMed]
- Nguyen, L.; Pieters, J. The Trojan horse: Survival tactics of pathogenic mycobacteria in macrophages. Trends Cell Biol. 2005, 15, 269–276. [Google Scholar] [CrossRef]
- Tiwari, D.; Singh, R.K.; Goswami, K.; Verma, S.K.; Prakash, B.; Nandicoori, V.K. Key residues in Mycobacterium tuberculosis protein kinase G play a role in regulating kinase activity and survival in the host. J. Biol. Chem. 2009, 284, 27467–27479. [Google Scholar] [CrossRef]
- Majlessi, L.; Combaluzier, B.; Albrecht, I.; Garcia, J.E.; Nouze, C.; Pieters, J.; Leclerc, C. Inhibition of phagosome maturation by mycobacteria does not interfere with presentation of mycobacterial antigens by MHC molecules. J. Immunol. 2007, 179, 1825–1833. [Google Scholar] [CrossRef]
- Nguyen, L.; Walburger, A.; Houben, E.; Koul, A.; Muller, S.; Morbitzer, M.; Klebl, B.; Ferrari, G.; Pieters, J. Role of protein kinase G in growth and glutamine metabolism of Mycobacterium bovis BCG. J. Bacteriol. 2005, 187, 5852–5856. [Google Scholar] [CrossRef]
- Khan, M.Z.; Bhaskar, A.; Upadhyay, S.; Kumari, P.; Rajmani, R.S.; Jain, P.; Singh, A.; Kumar, D.; Bhavesh, N.S.; Nandicoori, V.K. Protein kinase G confers survival advantage to Mycobacterium tuberculosis during latency-like conditions. J. Biol. Chem. 2017, 292, 16093–16108. [Google Scholar] [CrossRef]
- Rieck, B.; Degiacomi, G.; Zimmermann, M.; Cascioferro, A.; Boldrin, F.; Lazar-Adler, N.R.; Bottrill, A.R.; le Chevalier, F.; Frigui, W.; Bellinzoni, M.; et al. PknG senses amino acid availability to control metabolism and virulence of Mycobacterium tuberculosis. PLoS Pathog. 2017, 13, e1006399. [Google Scholar] [CrossRef]
- Wolff, K.A.; Nguyen, H.T.; Cartabuke, R.H.; Singh, A.; Ogwang, S.; Nguyen, L. Protein kinase G is required for intrinsic antibiotic resistance in mycobacteria. Antimicrob. Agents Chemother. 2009, 53, 3515–3519. [Google Scholar] [CrossRef]
- Khan, M.Z.; Nandicoori, V.K. Deletion of pknG Abates Reactivation of Latent Mycobacterium tuberculosis in Mice. Antimicrob. Agents Chemother. 2021, 65, e02095-20. [Google Scholar] [CrossRef] [PubMed]
- Cowley, S.C.; Babakaiff, R.; Av-Gay, Y. Expression and localization of the Mycobacterium tuberculosis protein tyrosine phosphatase PtpA. Res. Microbiol. 2002, 153, 233–241. [Google Scholar] [CrossRef]
- Bach, H.; Papavinasasundaram, K.G.; Wong, D.; Hmama, Z.; Av-Gay, Y. Mycobacterium tuberculosis virulence is mediated by PtpA dephosphorylation of human vacuolar protein sorting 33B. Cell Host Microbe 2008, 3, 316–322. [Google Scholar] [CrossRef]
- Wong, D.; Bach, H.; Sun, J.; Hmama, Z.; Av-Gay, Y. Mycobacterium tuberculosis protein tyrosine phosphatase (PtpA) excludes host vacuolar-H+-ATPase to inhibit phagosome acidification. Proc. Natl. Acad. Sci. USA 2011, 108, 19371–19376. [Google Scholar] [CrossRef]
- Koul, A.; Choidas, A.; Treder, M.; Tyagi, A.K.; Drlica, K.; Singh, Y.; Ullrich, A. Cloning and characterization of secretory tyrosine phosphatases of Mycobacterium tuberculosis. J. Bacteriol. 2000, 182, 5425–5432. [Google Scholar] [CrossRef]
- Zhou, B.; He, Y.; Zhang, X.; Xu, J.; Luo, Y.; Wang, Y.; Franzblau, S.G.; Yang, Z.; Chan, R.J.; Liu, Y.; et al. Targeting mycobacterium protein tyrosine phosphatase B for antituberculosis agents. Proc. Natl. Acad. Sci. USA 2010, 107, 4573–4578. [Google Scholar] [CrossRef]
- Beresford, N.; Patel, S.; Armstrong, J.; Szoor, B.; Fordham-Skelton, A.P.; Tabernero, L. MptpB, a virulence factor from Mycobacterium tuberculosis, exhibits triple-specificity phosphatase activity. Biochem. J. 2007, 406, 13–18. [Google Scholar] [CrossRef]
- Singh, R.; Rao, V.; Shakila, H.; Gupta, R.; Khera, A.; Dhar, N.; Singh, A.; Koul, A.; Singh, Y.; Naseema, M.; et al. Disruption of mptpB impairs the ability of Mycobacterium tuberculosis to survive in guinea pigs. Mol. Microbiol. 2003, 50, 751–762. [Google Scholar] [CrossRef]
- Saleh, M.T.; Belisle, J.T. Secretion of an acid phosphatase (SapM) by Mycobacterium tuberculosis that is similar to eukaryotic acid phosphatases. J. Bacteriol. 2000, 182, 6850–6853. [Google Scholar] [CrossRef]
- Vergne, I.; Chua, J.; Lee, H.H.; Lucas, M.; Belisle, J.; Deretic, V. Mechanism of phagolysosome biogenesis block by viable Mycobacterium tuberculosis. Proc. Natl. Acad. Sci. USA 2005, 102, 4033–4038. [Google Scholar] [CrossRef]
- Hu, D.; Wu, J.; Wang, W.; Mu, M.; Zhao, R.; Xu, X.; Chen, Z.; Xiao, J.; Hu, F.; Yang, Y.; et al. Autophagy regulation revealed by SapM-induced block of autophagosome-lysosome fusion via binding RAB7. Biochem. Biophys. Res. Commun. 2015, 461, 401–407. [Google Scholar] [CrossRef] [PubMed]
- Bruns, H.; Stenger, S. New insights into the interaction of Mycobacterium tuberculosis and human macrophages. Future Microbiol. 2014, 9, 327–341. [Google Scholar] [CrossRef] [PubMed]
- Gutierrez, M.G.; Master, S.S.; Singh, S.B.; Taylor, G.A.; Colombo, M.I.; Deretic, V. Autophagy is a defense mechanism inhibiting BCG and Mycobacterium tuberculosis survival in infected macrophages. Cell 2004, 119, 753–766. [Google Scholar] [CrossRef] [PubMed]
- Puri, R.V.; Reddy, P.V.; Tyagi, A.K. Secreted acid phosphatase (SapM) of Mycobacterium tuberculosis is indispensable for arresting phagosomal maturation and growth of the pathogen in guinea pig tissues. PLoS ONE 2013, 8, e70514. [Google Scholar] [CrossRef]
- Scherr, N.; Honnappa, S.; Kunz, G.; Mueller, P.; Jayachandran, R.; Winkler, F.; Pieters, J.; Steinmetz, M.O. Structural basis for the specific inhibition of protein kinase G, a virulence factor of Mycobacterium tuberculosis. Proc. Natl. Acad. Sci. USA 2007, 104, 12151–12156. [Google Scholar] [CrossRef]
- Chen, D.; Ma, S.; He, L.; Yuan, P.; She, Z.; Lu, Y. Sclerotiorin inhibits protein kinase G from Mycobacterium tuberculosis and impairs mycobacterial growth in macrophages. Tuberculosis 2017, 103, 37–43. [Google Scholar] [CrossRef]
- Kanehiro, Y.; Tomioka, H.; Pieters, J.; Tatano, Y.; Kim, H.; Iizasa, H.; Yoshiyama, H. Identification of Novel Mycobacterial Inhibitors Against Mycobacterial Protein Kinase G. Front. Microbiol. 2018, 9, 1517. [Google Scholar] [CrossRef]
- Kidwai, S.; Bouzeyen, R.; Chakraborti, S.; Khare, N.; Das, S.; Priya Gosain, T.; Behura, A.; Meena, C.L.; Dhiman, R.; Essafi, M.; et al. NU-6027 Inhibits Growth of Mycobacterium tuberculosis by Targeting Protein Kinase D and Protein Kinase G. Antimicrob. Agents Chemother. 2019, 63, e00996-19. [Google Scholar] [CrossRef]
- Mascarello, A.; Chiaradia, L.D.; Vernal, J.; Villarino, A.; Guido, R.V.; Perizzolo, P.; Poirier, V.; Wong, D.; Martins, P.G.; Nunes, R.J.; et al. Inhibition of Mycobacterium tuberculosis tyrosine phosphatase PtpA by synthetic chalcones: Kinetics, molecular modeling, toxicity and effect on growth. Bioorg. Med. Chem. 2010, 18, 3783–3789. [Google Scholar] [CrossRef]
- Dutta, N.K.; He, R.; Pinn, M.L.; He, Y.; Burrows, F.; Zhang, Z.Y.; Karakousis, P.C. Mycobacterial Protein Tyrosine Phosphatases A and B Inhibitors Augment the Bactericidal Activity of the Standard Anti-tuberculosis Regimen. ACS Infect. Dis. 2016, 2, 231–239. [Google Scholar] [CrossRef]
- Beresford, N.J.; Mulhearn, D.; Szczepankiewicz, B.; Liu, G.; Johnson, M.E.; Fordham-Skelton, A.; Abad-Zapatero, C.; Cavet, J.S.; Tabernero, L. Inhibition of MptpB phosphatase from Mycobacterium tuberculosis impairs mycobacterial survival in macrophages. J. Antimicrob. Chemother. 2009, 63, 928–936. [Google Scholar] [CrossRef]
- Chen, L.; Zhou, B.; Zhang, S.; Wu, L.; Wang, Y.; Franzblau, S.G.; Zhang, Z.Y. Identification and characterization of novel inhibitors of mPTPB, an essential virulent phosphatase from Mycobacterium tuberculosis. ACS Med. Chem. Lett. 2010, 1, 355–359. [Google Scholar] [CrossRef] [PubMed]
- Zeng, L.F.; Xu, J.; He, Y.; He, R.; Wu, L.; Gunawan, A.M.; Zhang, Z.Y. A facile hydroxyindole carboxylic acid based focused library approach for potent and selective inhibitors of Mycobacterium protein tyrosine phosphatase B. ChemMedChem 2013, 8, 904–908. [Google Scholar] [CrossRef] [PubMed]
- He, R.; Yu, Z.H.; Zhang, R.Y.; Wu, L.; Gunawan, A.M.; Zhang, Z.Y. Cefsulodin Inspired Potent and Selective Inhibitors of mPTPB, a Virulent Phosphatase from Mycobacterium tuberculosis. ACS Med. Chem. Lett. 2015, 6, 1231–1235. [Google Scholar] [CrossRef] [PubMed]
- Vickers, C.F.; Silva, A.P.G.; Chakraborty, A.; Fernandez, P.; Kurepina, N.; Saville, C.; Naranjo, Y.; Pons, M.; Schnettger, L.S.; Gutierrez, M.G.; et al. Structure-Based Design of MptpB Inhibitors That Reduce Multidrug-Resistant Mycobacterium tuberculosis Survival and Infection Burden in Vivo. J. Med. Chem. 2018, 61, 8337–8352. [Google Scholar] [CrossRef]
- Rodriguez-Fernandez, P.; Botella, L.; Cavet, J.S.; Dominguez, J.; Gutierrez, M.G.; Suckling, C.J.; Scott, F.J.; Tabernero, L. MptpB Inhibitor Improves the Action of Antibiotics against Mycobacterium tuberculosis and Nontuberculous Mycobacterium avium Infections. ACS Infect. Dis. 2024, 10, 170–183. [Google Scholar] [CrossRef]
- Mascarello, A.; Orbem Menegatti, A.C.; Calcaterra, A.; Martins, P.G.A.; Chiaradia-Delatorre, L.D.; D’Acquarica, I.; Ferrari, F.; Pau, V.; Sanna, A.; De Logu, A.; et al. Naturally occurring Diels-Alder-type adducts from Morus nigra as potent inhibitors of Mycobacterium tuberculosis protein tyrosine phosphatase B. Eur. J. Med. Chem. 2018, 144, 277–288. [Google Scholar] [CrossRef]
- Chen, D.; Liu, L.; Lu, Y.; Chen, S. Identification of fusarielin M as a novel inhibitor of Mycobacterium tuberculosis protein tyrosine phosphatase B (MptpB). Bioorg. Chem. 2021, 106, 104495. [Google Scholar] [CrossRef]
- Ruddraraju, K.V.; Aggarwal, D.; Niu, C.; Baker, E.A.; Zhang, R.Y.; Wu, L.; Zhang, Z.Y. Highly Potent and Selective N-Aryl Oxamic Acid-Based Inhibitors for Mycobacterium tuberculosis Protein Tyrosine Phosphatase B. J. Med. Chem. 2020, 63, 9212–9227. [Google Scholar] [CrossRef]
- Cheng, S.; Zou, Y.; Chen, X.; Chen, J.; Wang, B.; Tian, J.; Ye, F.; Lu, Y.; Huang, H.; Lu, Y.; et al. Design, synthesis and biological evaluation of 3-substituted-2-thioxothiazolidin-4-one (rhodanine) derivatives as antitubercular agents against Mycobacterium tuberculosis protein tyrosine phosphatase B. Eur. J. Med. Chem. 2023, 258, 115571. [Google Scholar] [CrossRef]
- Fernandez-Soto, P.; Casulli, J.; Solano-Castro, D.; Rodriguez-Fernandez, P.; Jowitt, T.A.; Travis, M.A.; Cavet, J.S.; Tabernero, L. Discovery of uncompetitive inhibitors of SapM that compromise intracellular survival of Mycobacterium tuberculosis. Sci. Rep. 2021, 11, 7667. [Google Scholar] [CrossRef] [PubMed]
- Arris, C.E.; Boyle, F.T.; Calvert, A.H.; Curtin, N.J.; Endicott, J.A.; Garman, E.F.; Gibson, A.E.; Golding, B.T.; Grant, S.; Griffin, R.J.; et al. Identification of novel purine and pyrimidine cyclin-dependent kinase inhibitors with distinct molecular interactions and tumor cell growth inhibition profiles. J. Med. Chem. 2000, 43, 2797–2804. [Google Scholar] [CrossRef] [PubMed]
- Ruddraraju, K.V.; Aggarwal, D.; Zhang, Z.Y. Therapeutic Targeting of Protein Tyrosine Phosphatases from Mycobacterium tuberculosis. Microorganisms 2020, 9, 14. [Google Scholar] [CrossRef] [PubMed]
- Chatterjee, A. Mycobacterium tuberculosis and its secreted tyrosine phosphatases. Biochimie 2023, 212, 41–47. [Google Scholar] [CrossRef]

| Inhibitor | Target | Efficacy |
|---|---|---|
AX20017 | PknG IC50 = 0.39 µM | - Inhibition of mycobacterial growth in M. tb-infected macrophages [20]. - Suppression of M. tb persistence when combined with antibiotics in vitro and ex vivo [31]. |
Sclerotiorin | PknG IC50 = 76.5 µM | - Reduction in mycobacterial (M. bovis BCG) burden in macrophages. - Enhanced mycobacterial clearance when combined with RIF [46]. |
AZD7762 | PknG IC50 = 30.3 µM | - Enhanced lysosomal transfer and inhibition of mycobacterial (M. bovis BCG) survival in macrophages [47]. |
R406 | PknG IC50 = 7.98 µM | - Enhanced lysosomal transfer and inhibition of mycobacterial (M. bovis BCG) survival in macrophages [47]. |
R406-free base | PknG IC50 = 16.1 µM | - Enhanced lysosomal transfer and inhibition of mycobacterial (M. bovis BCG) survival in macrophages [47]. |
NU-6027 | PknG | - Apoptosis of mycobacteria (M. bovis BCG) in macrophages. - Inhibition of M. tb growth in macrophages and mouse tissues [48]. |
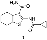
![]() | MPtpA IC50 = 50.2 µM | - Inhibition of mycobacterial (M. tb) survival in macrophages [49]. |
L335M34 | MPtpA IC50 = 160 nM | - Reduction in bacillary load in M. tb-infected macrophages [50]. |
![]() | MPtpB IC50 = 7 µM | - Inhibition of intracellular mycobacterial (M. bovis BCG) growth in macrophages [51]. |
![]() | MPtpB IC50 = 1.3 µM | - Impairment of M. tb growth in macrophages [52]. |
![]() | MPtpB IC50 = 5.6 µM | - Impairment of M. tb growth in macrophages [52]. |
I-A09 | MPtpB IC50 = 1.26 µM | - Inhibition of mycobacterial (M. tb) burden in macrophages [36]. |
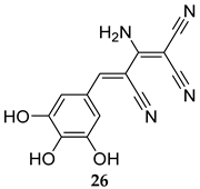
![]() | MPtpB IC50 = 0.079 µM | - Restoration of host immune responses challenged by MPtpB in macrophages [53]. |
![]() | MPtpB IC50 = 18 nM | - Reversing the MPtpB function in macrophages [54]. |
L01Z08 | MPtpB IC50 = 38 nM | - Inhibition of bacillary load in M. tb-infected macrophages [50]. |
![]() | MPtpB | - Reduction in mycobacterial load in macrophages infected with DS and DR M. tb in addition to M. avium. - Enhanced anti-mycobacterial activity in macrophages when combined with different antibiotics [55,56]. |
Kuwanon G | MPtpB IC50 = 0.83 µM | - Inhibition of M. tb burden in macrophages [57]. |
Fusarielin M | MPtpB IC50 = 1.05 µM | - Reduction in mycobacterial (M. bovis BCG) burden in macrophages [58]. |
![]() | MPtpB IC50 = 0.0064 µM | - Blocking the MPtpB activity in murine macrophages [59]. |
| MPtpB 20 IC50 = 0.48 µM 21 IC50 = 0.49 µM 22 IC50 = 0.64 µM 23 IC50 = 0.35 µM | - All four compounds showed dose-dependent inhibition of bacillary load in M. tb-infected macrophages, with compound 22 exhibiting the highest potency. - When compound 22 was combined with RIF, a further reduction in M. tb burden was observed in macrophages [60]. |
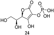
2-phospho-L-ascorbic acid | SapM IC50 = 234 µM | - Diminished mycobacterial (M. tb) load/survival in infected macrophages [21]. |
Tyrphostin 51 | SapM IC50 = 6.3 µM | - Reduction in mycobacterial burden in M. tb-infected macrophages [61]. |
Tyrphostin AG183 | SapM IC50 = 8.2 µM | - Reduction in mycobacterial burden in M. tb-infected macrophages [61]. |
Disclaimer/Publisher’s Note: The statements, opinions and data contained in all publications are solely those of the individual author(s) and contributor(s) and not of MDPI and/or the editor(s). MDPI and/or the editor(s) disclaim responsibility for any injury to people or property resulting from any ideas, methods, instructions or products referred to in the content. |
© 2024 by the authors. Licensee MDPI, Basel, Switzerland. This article is an open access article distributed under the terms and conditions of the Creative Commons Attribution (CC BY) license (https://creativecommons.org/licenses/by/4.0/).
Share and Cite
Alsayed, S.S.R.; Gunosewoyo, H. Combating Tuberculosis via Restoring the Host Immune Capacity by Targeting M. tb Kinases and Phosphatases. Int. J. Mol. Sci. 2024, 25, 12481. https://doi.org/10.3390/ijms252212481
Alsayed SSR, Gunosewoyo H. Combating Tuberculosis via Restoring the Host Immune Capacity by Targeting M. tb Kinases and Phosphatases. International Journal of Molecular Sciences. 2024; 25(22):12481. https://doi.org/10.3390/ijms252212481
Chicago/Turabian StyleAlsayed, Shahinda S. R., and Hendra Gunosewoyo. 2024. "Combating Tuberculosis via Restoring the Host Immune Capacity by Targeting M. tb Kinases and Phosphatases" International Journal of Molecular Sciences 25, no. 22: 12481. https://doi.org/10.3390/ijms252212481
APA StyleAlsayed, S. S. R., & Gunosewoyo, H. (2024). Combating Tuberculosis via Restoring the Host Immune Capacity by Targeting M. tb Kinases and Phosphatases. International Journal of Molecular Sciences, 25(22), 12481. https://doi.org/10.3390/ijms252212481
























