Altered Follicular Fluid Metabolic Pattern Correlates with Female Infertility and Outcome Measures of In Vitro Fertilization
Abstract
:1. Introduction
2. Results
2.1. Clinical Features of Enrolled Subjects
2.2. Concentrations of Metabolites in FF of CTRL and IF
2.3. The Biomarker Score in CTRL and IF
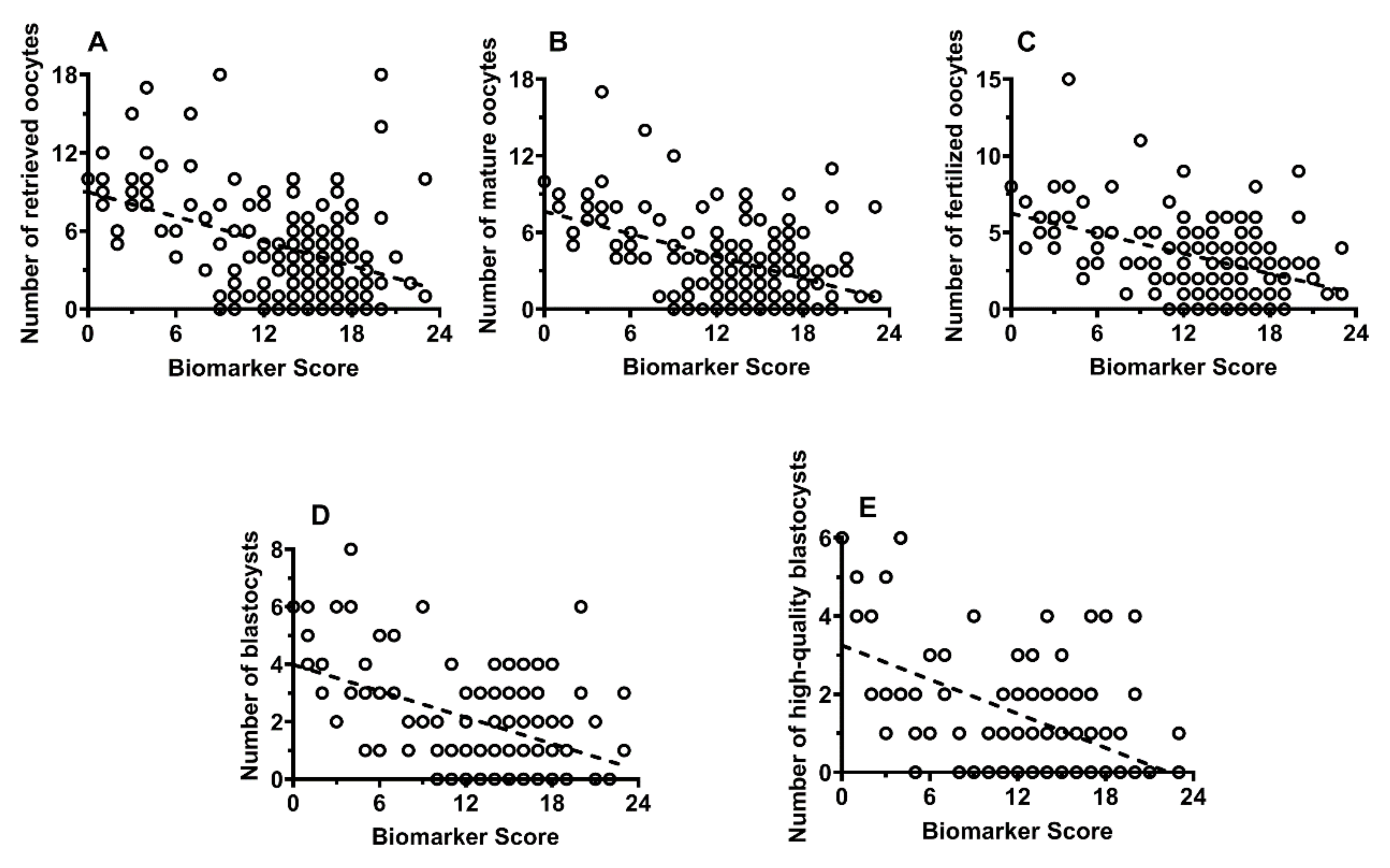
2.4. The Biomarker Score of FF Correlates with Biological and Clinical Parameters of IVF and Pregnancy
3. Discussion
4. Materials and Methods
4.1. Patients’ Characteristics and Protocols for Ovarian Stimulation
4.2. Collection of FF, Quantification of Ovarian Stimulation, Fertilization Procedures, Embryo Culture, Evaluation of Biochemical Pregnancy, Clinical Pregnancy, and Birth Rate
4.3. Samples Processing and HPLC Assays of Hydrophilic Low Molecular Weight Metabolites and Fat-Soluble Vitamins and Antioxidants
4.4. Analysis of Glucose, Lactate and Ammonia in FF Samples
4.5. Statistical Analysis
Supplementary Materials
Author Contributions
Funding
Institutional Review Board Statement
Informed Consent Statement
Data Availability Statement
Conflicts of Interest
References
- Winters, B.R.; Walsh, T.J. The epidemiology of male infertility. Urol. Clin. N. Am. 2014, 41, 195–204. [Google Scholar] [CrossRef]
- Pisarska, M.D.; Chan, J.L.; Lawrenson, K.; Gonzalez, T.L.; Wang, E.T. Genetics and Epigenetics of Infertility and Treatments on Outcomes. J. Clin. Endocrinol. Metab. 2019, 104, 1871–1886. [Google Scholar] [CrossRef] [PubMed]
- Patrizio, P.; Sakkas, D. From oocyte to baby: A clinical evaluation of the biological efficiency of in vitro fertilization. Fertil. Steril. 2009, 91, 1061–1066. [Google Scholar] [CrossRef]
- Dumesic, D.A.; Meldrum, D.R.; Katz-Jaffe, M.G.; Krisher, R.L.; Schoolcraft, W.B. Oocyte environment: Follicular fluid and cumulus cells are critical for oocyte health. Fertil. Steril. 2015, 103, 303–316. [Google Scholar] [CrossRef] [PubMed]
- Zhao, H.; Zhao, Y.; Li, T.; Li, M.; Li, J.; Li, R.; Liu, P.; Yu, Y.; Qiao, J. Metabolism alteration in follicular niche: The nexus among intermediary metabolism, mitochondrial function, and classic polycystic ovary syndrome. Free Radic. Biol. Med. 2015, 86, 295–307. [Google Scholar] [CrossRef]
- Hsu, A.L.; Townsend, P.M.; Oehninger, S.; Castora, F.J. Endometriosis may be associated with mitochondrial dysfunction in cumulus cells from subjects undergoing in vitro fertilization-intracytoplasmic sperm injection, as reflected by decreased adenosine triphosphate production. Fertil. Steril. 2015, 103, 347–352. [Google Scholar] [CrossRef] [PubMed]
- Xu, W.L.; Liu, G.Y.; Zhang, N.; Ren, J.; Li, X.Y.; Li, Y.Q.; Chen, Y.; Liu, J.Y. Untargeted metabolomics analysis of serum and follicular fluid samples from women with polycystic ovary syndrome. Minerva Endocrinol. 2020. [Google Scholar] [CrossRef]
- Freitas, C.; Neto, A.C.; Matos, L.; Silva, E.; Ribeiro, Â.; Silva-Carvalho, J.L.; Almeida, H. Follicular Fluid redox involvement for ovarian follicle growth. J. Ovarian Res. 2017, 10, 44. [Google Scholar] [CrossRef]
- Zhang, Y.; Liu, L.; Yin, T.L.; Yang, J.; Xiong, C.L. Follicular metabolic changes and effects on oocyte quality in polycystic ovary syndrome patients. Oncotarget 2017, 8, 80472–80480. [Google Scholar] [CrossRef] [Green Version]
- Castiglione Morelli, M.A.; Iuliano, A.; Schettini, S.C.A.; Petruzzi, D.; Ferri, A.; Colucci, P.; Viggiani, L.; Ostuni, A. Metabolic changes in follicular fluids of patients treated with recombinant versus urinary human chorionic gonadotropin for triggering ovulation in assisted reproductive technologies: A metabolomics pilot study. Arch. Gynecol. Obstet. 2020, 302, 741–751. [Google Scholar] [CrossRef]
- Luti, S.; Fiaschi, T.; Magherini, F.; Modesti, P.A.; Piomboni, P.; Governini, L.; Luddi, A.; Amoresano, A.; Illiano, A.; Pinto, G.; et al. Relationship between the metabolic and lipid profile in follicular fluid of women undergoing in vitro fertilization. Mol. Reprod. Dev. 2020, 87, 986–997. [Google Scholar] [CrossRef] [PubMed]
- Sun, Z.; Chang, H.M.; Wang, A.; Song, J.; Zhang, X.; Guo, J.; Leung, P.C.K.; Lian, F. Identification of potential metabolic biomarkers of polycystic ovary syndrome in follicular fluid by SWATH mass spectrometry. Reprod. Biol. Endocrinol. 2019, 17, 45. [Google Scholar] [CrossRef] [PubMed]
- De la Barca, J.M.C.; Boueilh, T.; Simard, G.; Boucret, L.; Ferré-L’Hotellier, V.; Tessier, L.; Gadras, C.; Bouet, P.E.; Descamps, P.; Procaccio, V.; et al. Targeted metabolomics reveals reduced levels of polyunsaturated choline plasmalogens and a smaller dimethylarginine/arginine ratio in the follicular fluid of patients with a diminished ovarian reserve. Hum. Reprod. 2017, 32, 2269–2278. [Google Scholar] [CrossRef] [PubMed]
- Santonastaso, M.; Pucciarelli, A.; Costantini, S.; Caprio, F.; Sorice, A.; Capone, F.; Natella, A.; Iardino, P.; Colacurci, N.; Chiosi, E. Metabolomic profiling and biochemical evaluation of the follicular fluid of endometriosis patients. Mol. Biosyst. 2017, 13, 1213–1222. [Google Scholar] [CrossRef] [Green Version]
- Murgia, F.; Angioni, S.; D’Alterio, M.N.; Pirarba, S.; Noto, A.; Santoru, M.L.; Tronci, L.; Fanos, V.; Atzori, L.; Congiu, F. Metabolic Profile of Patients with Severe Endometriosis: A Prospective Experimental Study. Reprod. Sci. 2021, 28, 728–735. [Google Scholar] [CrossRef]
- Wallace, M.; Cottell, E.; Gibney, M.J.; McAuliffe, F.M.; Wingfield, M.; Brennan, L. An investigation into the relationship between the metabolic profile of follicular fluid, oocyte developmental potential, and implantation outcome. Fertil. Steril. 2012, 97, 1078–1084. [Google Scholar] [CrossRef]
- O’Gorman, A.; Wallace, M.; Cottell, E.; Gibney, M.J.; McAuliffe, F.M.; Wingfield, M.; Brennan, L. Metabolic profiling of human follicular fluid identifies potential biomarkers of oocyte developmental competence. Reproduction 2013, 146, 389–395. [Google Scholar] [CrossRef] [Green Version]
- Shehadeh, A.; Bruck-Haimson, R.; Saidemberg, D.; Zacharia, A.; Herzberg, S.; Ben-Meir, A.; Moussaieff, A. A shift in follicular fluid from triacylglycerols to membrane lipids is associated with positive pregnancy outcome. FASEB J. 2019, 33, 10291–10299. [Google Scholar] [CrossRef] [Green Version]
- Lazzarino, G.; Listorti, I.; Muzii, L.; Amorini, A.M.; Longo, S.; Di Stasio, E.; Caruso, G.; D’Urso, S.; Puglia, I.; Pisani, G.; et al. Low-molecular weight compounds in human seminal plasma as potential biomarkers of male infertility. Hum. Reprod. 2018, 33, 1817–1828. [Google Scholar] [CrossRef]
- Salehi, L.B.; Bonifazi, E.; Di Stasio, E.; Gennarelli, M.; Botta, A.; Vallo, L.; Iraci, R.; Massa, R.; Antonini, G.; Angelini, C.; et al. Risk prediction for clinical phenotype in myotonic dystrophy type 1: Data from 2650 patients. Genet. Test. 2007, 11, 84–90. [Google Scholar] [CrossRef]
- McRae, C.; Sharma, V.; Fisher, J. Metabolite Profiling in the Pursuit of Biomarkers for IVF Outcome: The Case for Metabolomics Studies. Int. J. Reprod. Med. 2013, 2013, 603167. [Google Scholar] [CrossRef]
- Bracewell-Milnes, T.; Saso, S.; Abdalla, H.; Nikolau, D.; Norman-Taylor, J.; Johnson, M.; Holmes, E.; Thum, M.Y. Metabolomics as a tool to identify biomarkers to predict and improve outcomes in reproductive medicine: A systematic review. Hum. Reprod. Update 2017, 23, 723–736. [Google Scholar] [CrossRef] [Green Version]
- Lensen, S.; Shreeve, N.; Barnhart, K.T.; Gibreel, A.; Ng, E.H.Y.; Moffett, A. In vitro fertilization add-ons for the endometrium: It doesn’t add-up. Fertil. Steril. 2019, 112, 987–993. [Google Scholar] [CrossRef] [PubMed]
- ElMokhallalati, Y.; van Eekelen, R.; Bhattacharya, S.; McLernon, D.J. Treatment-independent live birth after in-vitro fertilisation: A retrospective cohort study of 2,133 women. Hum. Reprod. 2019, 34, 1470–1478. [Google Scholar] [CrossRef]
- Oostingh, E.C.; Koster, M.P.H.; van Dijk, M.R.; Willemsen, S.P.; Broekmans, F.J.M.; Hoek, A.; Goddijn, M.; Klijn, N.F.; van Santbrink, E.J.P.; Steegers, E.A.P.; et al. First effective mHealth nutrition and lifestyle coaching program for subfertile couples undergoing in vitro fertilization treatment: A single-blinded multicenter randomized controlled trial. Fertil. Steril. 2020, 114, 945–954. [Google Scholar] [CrossRef] [PubMed]
- Budani, M.C.; Tiboni, G.M. Effects of Supplementation with Natural Antioxidants on Oocytes and Preimplantation Embryos. Antioxidants 2020, 9, 612. [Google Scholar] [CrossRef] [PubMed]
- Karaer, A.; Tuncay, G.; Mumcu, A.; Dogan, B. Metabolomics analysis of follicular fluid in women with ovarian endometriosis undergoing in vitro fertilization. Syst. Biol. Reprod. Med. 2019, 65, 39–47. [Google Scholar] [CrossRef]
- Dogan, B.; Karaer, A.; Tuncay, G.; Tecellioglu, N.; Mumcu, A. High-resolution (1)H-NMR spectroscopy indicates variations in metabolomics profile of follicular fluid from women with advanced maternal age. J. Assist. Reprod. Genet. 2020, 37, 321–330. [Google Scholar] [CrossRef]
- Pacella, L.; Zander-Fox, D.L.; Armstrong, D.T.; Lane, M. Women with reduced ovarian reserve or advanced maternal age have an altered follicular environment. Fertil. Steril. 2012, 98, 986–994. [Google Scholar] [CrossRef]
- Pocate-Cheriet, K.; Santulli, P.; Kateb, F.; Bourdon, M.; Maignien, C.; Batteux, F.; Chouzenoux, S.; Patrat, C.; Wolf, J.P.; Bertho, G.; et al. The follicular fluid metabolome differs according to the endometriosis phenotype. Reprod. Biomed. Online 2020, 41, 1023–1037. [Google Scholar] [CrossRef] [PubMed]
- Lazzarino, G.; Amorini, A.M.; Petzold, A.; Gasperini, C.; Ruggieri, S.; Quartuccio, M.E.; Lazzarino, G.; Di Stasio, E.; Tavazzi, B. Serum Compounds of Energy Metabolism Impairment Are Related to Disability, Disease Course and Neuroimaging in Multiple Sclerosis. Mol. Neurobiol. 2017, 54, 7520–7533. [Google Scholar] [CrossRef]
- Toczek, M.; Zielonka, D.; Zukowska, P.; Marcinkowski, J.T.; Slominska, E.; Isalan, M.; Smolenski, R.T.; Mielcarek, M. An impaired metabolism of nucleotides underpins a novel mechanism of cardiac remodeling leading to Huntington’s disease related cardiomyopathy. Biochim. Biophys. Acta 2016, 1862, 2147–2157. [Google Scholar] [CrossRef] [PubMed]
- Singh, A.K.; Chattopadhyay, R.; Chakravarty, B.; Chaudhury, K. Markers of oxidative stress in follicular fluid of women with endometriosis and tubal infertility undergoing IVF. Reprod. Toxicol. 2013, 42, 116–124. [Google Scholar] [CrossRef] [PubMed]
- Pekel, A.; Gönenç, A.; Turhan, N.Ö.; Kafali, H. Changes of sFas and sFasL, oxidative stress markers in serum and follicular fluid of patients undergoing IVF. J. Assist. Reprod. Genet. 2015, 32, 233–241. [Google Scholar] [CrossRef] [PubMed] [Green Version]
- Terao, H.; Wada-Hiraike, O.; Nagumo, A.; Kunitomi, C.; Azhary, J.M.K.; Harada, M.; Hirata, T.; Hirota, Y.; Koga, K.; Fujii, T.; et al. Role of oxidative stress in follicular fluid on embryos of patients undergoing assisted reproductive technology treatment. J. Obstet. Gynaecol. Res. 2019, 45, 1884–1891. [Google Scholar] [CrossRef]
- Thaker, R.; Mishra, V.; Gor, M.; Agarwal, R.; Sheth, H.; Kapadia, P.; Kumar, S. The role of stimulation protocol, number of oocytes retrieved with respect to follicular fluid oxidative stress and IVF outcome. Hum. Fertil. 2020, 23, 23–31. [Google Scholar] [CrossRef] [PubMed]
- Zhang, C.M.; Zhao, Y.; Li, R.; Yu, Y.; Yan, L.Y.; Li, L.; Liu, N.N.; Liu, P.; Qiao, J. Metabolic heterogeneity of follicular amino acids in polycystic ovary syndrome is affected by obesity and related to pregnancy outcome. BMC Pregnancy Childbirth 2014, 14, 11. [Google Scholar] [CrossRef] [PubMed] [Green Version]
- Berker, B.; Kaya, C.; Aytac, R.; Satiroglu, H. Homocysteine concentrations in follicular fluid are associated with poor oocyte and embryo qualities in polycystic ovary syndrome patients undergoing assisted reproduction. Hum. Reprod. 2009, 24, 2293–2302. [Google Scholar] [CrossRef] [Green Version]
- Hou, E.; Zhao, Y.; Hang, J.; Qiao, J. Metabolomics and correlation network analysis of follicular fluid reveals associations between l-tryptophan, l-tyrosine and polycystic ovary syndrome. Biomed. Chromatogr. 2021, 35, e4993. [Google Scholar] [CrossRef]
- Piñero-Sagredo, E.; Nunes, S.; de Los Santos, M.J.; Celda, B.; Esteve, V. NMR metabolic profile of human follicular fluid. NMR Biomed. 2010, 23, 485–495. [Google Scholar] [CrossRef]
- Xia, L.; Zhao, X.; Sun, Y.; Hong, Y.; Gao, Y.; Hu, S. Metabolomic profiling of human follicular fluid from patients with repeated failure of in vitro fertilization using gas chromatography/mass spectrometry. Int. J. Clin. Exp. Pathol. 2014, 7, 7220–7229. [Google Scholar] [PubMed]
- Solaini, G.; Sgarbi, G.; Baracca, A. Oxidative phosphorylation in cancer cells. Biochim. Biophys. Acta 2011, 1807, 534–542. [Google Scholar] [CrossRef] [PubMed] [Green Version]
- Gu, J.; Huang, C.; Hu, X.; Xia, J.; Shao, W.; Lin, D. Nuclear magnetic resonance-based tissue metabolomic analysis clarifies molecular mechanisms of gastric carcinogenesis. Cancer Sci. 2020, 111, 3195–3209. [Google Scholar] [CrossRef] [PubMed]
- Davis, C.; Uthus, E. DNA methylation, cancer susceptibility, and nutrient interactions. Exp. Biol. Med. 2004, 229, 988–995. [Google Scholar] [CrossRef]
- Gavin, D.; Sharma, R. Histone modifications, DNA methylation, and schizophrenia. Neurosci. Biobehav. Rev. 2010, 34, 882–888. [Google Scholar] [CrossRef] [PubMed] [Green Version]
- Duncan, T.M.; Reed, M.C.; Nijhout, H.F. The relationship between intracellular and plasma levels of folate and metabolites in the methionine cycle: A model. Mol. Nutr. Food Res. 2013, 57, 628–636. [Google Scholar] [CrossRef] [PubMed] [Green Version]
- Basile, U.; Gulli, F.; Isgrò, M.A.; Napodano, C.; Pocino, K.; Santini, S.A.; Gragnani, L.; Conti, L.; Rossi, E.; Cordone, I.; et al. A novel biomarker score for the screening and management of patients with plasma cell proliferative disorders. Eur. Rev. Med. Pharmacol. Sci. 2019, 23, 4293–4302. [Google Scholar]
- Lazzarino, G.; Amorini, A.M.; Fazzina, G.; Vagnozzi, R.; Signoretti, S.; Donzelli, S.; Di Stasio, E.; Giardina, B.; Tavazzi, B. Single-sample preparation for simultaneous cellular redox and energy state determination. Anal. Biochem. 2003, 322, 51–59. [Google Scholar] [CrossRef]
- Lazzarino, G.; Longo, S.; Amorini, A.M.; Di Pietro, V.; D’Urso, S.; Lazzarino, G.; Belli, A.; Tavazzi, B. Single-step preparation of selected biological fluids for the high performance liquid chromatographic analysis of fat-soluble vitamins and antioxidants. J Chromatogr. A 2017, 1527, 43–52. [Google Scholar] [CrossRef] [Green Version]
- Tavazzi, B.; Lazzarino, G.; Leone, P.; Amorini, A.M.; Bellia, F.; Janson, C.G.; Di Pietro, V.; Ceccarelli, L.; Donzelli, S.; Francis, J.S.; et al. Simultaneous high performance liquid chromatographic separation of purines, pyrimidines, N-acetylated amino acids, and dicarboxylic acids for the chemical diagnosis of inborn errors of metabolism. Clin. Biochem. 2005, 38, 997–1008. [Google Scholar] [CrossRef]
- Bracko, O.; Di Pietro, V.; Lazzarino, G.; Amorini, A.M.; Tavazzi, B.; Artmann, J.; Wong, E.C.; Buxton, R.B.; Weller, M.; Luft, A.R.; et al. 3-Nitropropionic acid-induced ischemia tolerance in the rat brain is mediated by reduced metabolic activity and cerebral blood flow. J. Cereb. Blood Flow. Metab. 2014, 34, 1522–1530. [Google Scholar] [CrossRef] [PubMed] [Green Version]
- Amorini, A.M.; Giorlandino, C.; Longo, S.; D’Urso, S.; Mesoraca, A.; Santoro, M.L.; Picardi, M.; Gullotta, S.; Cignini, P.; Lazzarino, D.; et al. Metabolic profile of amniotic fluid as a biochemical tool to screen for inborn errors of metabolism and fetal anomalies. Mol. Cell. Biochem. 2012, 359, 205–216. [Google Scholar] [CrossRef] [PubMed]
- Lazzarino, G.; Listorti, I.; Bilotta, G.; Capozzolo, T.; Amorini, A.M.; Longo, S.; Caruso, G.; Lazzarino, G.; Tavazzi, B.; Bilotta, P. Water- and Fat-Soluble Antioxidants in Human Seminal Plasma and Serum of Fertile Males. Antioxidants 2019, 8, 96. [Google Scholar] [CrossRef] [PubMed] [Green Version]
- Artiss, J.D.; Karcher, R.E.; Cavanagh, K.T.; Collins, S.L.; Peterson, V.J.; Varma, S.; Zak, B. A liquid-stable reagent for lactic acid levels. Application to the Hitachi 911 and Beckman CX7. Am. J. Clin. Pathol. 2000, 114, 139–143. [Google Scholar] [CrossRef] [PubMed] [Green Version]








| Group of FF Donors | Age (Years) | BMI (kg/m2) | Serum FSH (IU/L) | Drug Administration Protocol | Number of Retrieved Oocytes | Number of Mature Oocytes |
|---|---|---|---|---|---|---|
| CTRL n = 35 | 30.6 ± 4.7 | 23.4 ± 5.1 | 7.9 ± 3.1 | GnRH antagonist protocol | 9.1 ± 3.5 | 7.4 ± 3.2 |
| IF (pooled) n = 145 | 32.7 ± 7.6 | 24.6 ± 5.9 | 6.9 ± 3.0 | 3.9 ± 3.1 ** | 2.8 ± 2.5 ** | |
| EM n = 19 | 29.4 ± 5.5 | 24.2 ± 7.2 | 6.7 ± 2.4 * | Ultrashort protocol | 4.7 ± 2.8 ** | 3.8 ± 2.4 ** |
| PCOS n = 14 | 32.2 ± 6.8 | 24.8 ± 6.3 | 6.4 ± 3.2 * | GnRH antagonist protocol | 8.4 ± 4.6 | 6.1 ± 2.8 |
| AR-ROR n = 58 | 42.1 ± 5.3 * | 27.6 ± 8.5 * | 7.1 ± 2.8 | Ultrashort protocol | 3.1 ± 2.6 ** | 2.3 ± 2.2 ** |
| ROR n = 29 | 28.8 ± 4.2 | 23.0 ± 3.9 | 6.7 ± 2.2 | Ultrashort protocol | 2.8 ± 2.4 ** | 1.7 ± 1.7 ** |
| UI n = 14 | 35.1 ± 6.6 | 25.7 ± 5.8 | 8.2 ± 3.5 | GnRH antagonist protocol | 4.2 ± 2.8 ** | 2.5 ± 2.3 ** |
| GI n = 11 | 28.5 ± 8.2 | 23.8 ± 4.4 | 7.4 ± 3.0 | GnRH antagonist protocol | 5.1 ± 3.3 ** | 3.6 ± 2.7 ** |
| Compound | Control Subjects (n = 35) | Reference Intervals (10–90% Percentiles) |
|---|---|---|
| NH4+ | 0.11 ± 0.05 | 0.06–0.16 |
| Glucose | 3.00 ± 0.45 | 2.40–3.60 |
| Lactate | 2.55 ± 0.60 | 1.70–3.30 |
| Creatinine | 72.98 ± 11.53 | 57.70–87.80 |
| Hypoxanthine | 0.57 ± 0.25 | 0.29–0.95 |
| Xanthine | 0.67 ± 0.31 | 0.30–1.18 |
| β-pseudouridine | 1.98 ± 0.70 | 1.04–2.84 |
| Uracil | 1.37 ± 0.56 | 0.73–2.30 |
| Cytosine | 0.21 ± 0.14 | 0.05–0.40 |
| Cytidine | 0.24 ± 0.13 | 0.07–0.41 |
| Uridine | 9.72 ± 2.85 | 5.00–12.50 |
| Orotic acid | 0.21 ± 0.27 | 0.00–0.73 |
| Uric acid | 287.38 ± 46.97 | 229.30–348.40 |
| Inosine | 0.58 ± 0.33 | 0.15–1.06 |
| Adenosine | 0.16 ± 0.23 | 0.00–0.34 |
| Guanine | 0.11 ± 0.12 | 0.00–0.27 |
| Guanosine | 0.22 ± 0.12 | 0.08–0.42 |
| GSH | 9.99 ± 4.41 | 5.20–17.50 |
| Ascorbic acid | 52.81 ± 15.57 | 36.25–72.70 |
| MDA | 0.029 ± 0.033 | 0.00–0.071 |
| 8-OH-dG | 0.010 ± 0.010 | 0.00–0.020 |
| Nitrite | 2.07 ± 1.40 | 0.80–4.65 |
| Nitrate | 24.11 ± 9.30 | 15.30–33.20 |
| all-trans-retinoic acid | 0.012 ± 0.005 | 0.003–0.020 |
| all-trans-retinol | 4.89 ± 1.07 | 3.60–6.20 |
| 25-OH-cholecalciferol | 0.066 ± 0.014 | 0.049–0.086 |
| α-tocopherol | 12.60 ± 2.18 | 9.70–16.10 |
| γ-tocopherol | 0.24 ± 0.08 | 0.14–0.36 |
| Coenzyme Q10 | 0.046 ± 0.031 | 0.021–0.110 |
| Total carotenoids | 1.30 ± 0.46 | 0.78–2.00 |
| Compound | Control Subjects (n = 35) | Reference Intervals (10–90% Percentiles) |
|---|---|---|
| Asp | 37.78 ± 11.37 | 23.40–54.30 |
| Glu | 41.27 ± 11.63 | 28.10–56.90 |
| Asn | 34.07 ± 9.39 | 23.45–43.35 |
| Ser | 53.75 ± 19.39 | 38.35–74.80 |
| Gln | 407.41 ± 86.80 | 301.90–508.50 |
| His | 47.93 ± 10,63 | 35.40–62.00 |
| Gly | 258.10 ± 47.44 | 204.50–331.80 |
| Thr | 160.40 ± 37.10 | 120.20–227.20 |
| Citr | 15-06 ± 3.81 | 10.50–20.40 |
| Arg | 40.87 ± 6.86 | 30.80–48.90 |
| Ala | 226.10 ± 61.07 | 163.15–307.45 |
| Carn | 1.61 ± 1.46 | 0.40–3.85 |
| Tau | 19.40 ± 9.22 | 5.65–33.45 |
| GABA | 1.79 ± 1.24 | 0.60–3.90 |
| Tyr | 33.16 ± 8.77 | 20.75–44.25 |
| SAH | 4.59 ± 2.42 | 1.90–7.65 |
| Cystat | 11.20 ± 3.20 | 7.70–14.45 |
| Val | 192.70 ± 39.41 | 152.75–238.35 |
| Met | 21.73 ± 4.54 | 16.55–27.00 |
| Trp | 40.47 ± 5.80 | 32.25–49.30 |
| Phe | 46.65 ± 9.04 | 36.95–58.40 |
| Ile | 40.17 ± 7.31 | 31.90–50.15 |
| Leu | 68.72 ± 12.02 | 53.40–89.50 |
| Orn | 11.61 ± 4.31 | 6.80–18.55 |
| Lys | 86.30 ± 18.41 | 65.35–115.20 |
| Compound | Control Subjects (n = 35) | Infertile Females (n = 145) |
|---|---|---|
| Glucose | 3.00 ± 0.45 | 2.15 ± 0.62 |
| Lactate | 2.55 ± 0.60 | 3.87 ± 0.99 |
| Hypoxanthine | 0.57 ± 0.25 | 1.05 ± 0.74 |
| Xanthine | 0.67 ± 0.31 | 1.28 ± 0.74 |
| β-pseudouridine | 1.98 ± 0.70 | 3.06 ± 1.60 |
| Uracil | 1.37 ± 0.56 | 2.39 ± 1.60 |
| Cytosine | 0.21 ± 0.14 | 0.34–0.29 |
| Cytidine | 0.24 ± 0.13 | 0.44 ± 0.31 |
| GSH | 9.99 ± 4.41 | 6.42 ± 4.10 |
| Ascorbic acid | 52.81 ± 15.57 | 34.54 ± 20.16 |
| MDA | 0.029 ± 0.033 | 0.17 ± 0.12 |
| 8-OH-dG | 0.010 ± 0.010 | 0.045 ± 0.055 |
| Nitrite | 2.07 ± 1.40 | 3.78 ± 3.34 |
| Nitrate | 24.11 ± 9.30 | 50.33 ± 25.10 |
| all-trans-retinol | 4.89 ± 1.07 | 3.84 ± 1.06 |
| 25-OH-cholecalciferol | 0.066 ± 0.014 | 0.051 ± 0.021 |
| α-tocopherol | 12.60 ± 2.18 | 10.78 ± 2.86 |
| Coenzyme Q10 | 0.046 ± 0.031 | 0.018 ± 0.017 |
| Total carotenoids | 1.30 ± 0.46 | 0.99 ± 0.43 |
| Ser | 53.75 ± 19.39 | 43.81 ± 15.40 |
| Thr | 160.40 ± 37.10 | 122.20 ± 37.48 |
| Arg | 40.87 ± 6.86 | 32.24 ± 9.34 |
| Val | 192.70 ± 39.41 | 161.40 ± 38.46 |
| Met | 21.73 ± 4.54 | 15.80 ± 5.67 |
| Trp | 40.47 ± 5.80 | 34.88 ± 7.41 |
| Ile | 40.17 ± 7.31 | 31.95 ± 9.47 |
| Leu | 68.72 ± 12.02 | 57.93 ± 13.93 |
Publisher’s Note: MDPI stays neutral with regard to jurisdictional claims in published maps and institutional affiliations. |
© 2021 by the authors. Licensee MDPI, Basel, Switzerland. This article is an open access article distributed under the terms and conditions of the Creative Commons Attribution (CC BY) license (https://creativecommons.org/licenses/by/4.0/).
Share and Cite
Lazzarino, G.; Pallisco, R.; Bilotta, G.; Listorti, I.; Mangione, R.; Saab, M.W.; Caruso, G.; Amorini, A.M.; Brundo, M.V.; Lazzarino, G.; et al. Altered Follicular Fluid Metabolic Pattern Correlates with Female Infertility and Outcome Measures of In Vitro Fertilization. Int. J. Mol. Sci. 2021, 22, 8735. https://doi.org/10.3390/ijms22168735
Lazzarino G, Pallisco R, Bilotta G, Listorti I, Mangione R, Saab MW, Caruso G, Amorini AM, Brundo MV, Lazzarino G, et al. Altered Follicular Fluid Metabolic Pattern Correlates with Female Infertility and Outcome Measures of In Vitro Fertilization. International Journal of Molecular Sciences. 2021; 22(16):8735. https://doi.org/10.3390/ijms22168735
Chicago/Turabian StyleLazzarino, Giacomo, Romina Pallisco, Gabriele Bilotta, Ilaria Listorti, Renata Mangione, Miriam Wissam Saab, Giuseppe Caruso, Angela Maria Amorini, Maria Violetta Brundo, Giuseppe Lazzarino, and et al. 2021. "Altered Follicular Fluid Metabolic Pattern Correlates with Female Infertility and Outcome Measures of In Vitro Fertilization" International Journal of Molecular Sciences 22, no. 16: 8735. https://doi.org/10.3390/ijms22168735
APA StyleLazzarino, G., Pallisco, R., Bilotta, G., Listorti, I., Mangione, R., Saab, M. W., Caruso, G., Amorini, A. M., Brundo, M. V., Lazzarino, G., Tavazzi, B., & Bilotta, P. (2021). Altered Follicular Fluid Metabolic Pattern Correlates with Female Infertility and Outcome Measures of In Vitro Fertilization. International Journal of Molecular Sciences, 22(16), 8735. https://doi.org/10.3390/ijms22168735

