Effects of Extreme Temperatures on Cause-Specific Cardiovascular Mortality in China
Abstract
:1. Introduction
2. Materials and Methods
2.1. Study Areas
2.2. Mortality Data
2.3. Meteorological and Air Pollution Data
2.4. Statistical Analysis
3. Results
3.1. Descriptive Statistics
| City | Cause-Specific Cardiovascular | Group | Mean ± SD | Minimum | 25% | Median | 75% | Maximum |
|---|---|---|---|---|---|---|---|---|
| Beijing | CVD | All ages | 87 ± 18 | 49 | 73 | 84 | 100 | 154 |
| Aged ≥ 65 | 70 ± 16 | 34 | 58 | 68 | 81 | 127 | ||
| CBD | All ages | 40 ± 9 | 18 | 33 | 39 | 46 | 77 | |
| Aged ≥ 65 | 32 ± 8 | 12 | 27 | 32 | 38 | 64 | ||
| IHD | All ages | 38 ± 9 | 13 | 31 | 37 | 45 | 75 | |
| Aged ≥ 65 | 31 ± 9 | 10 | 25 | 31 | 37 | 67 | ||
| HPD | All ages | 2 ± 1 | 0 | 1 | 2 | 3 | 12 | |
| Aged ≥ 65 | 2 ± 1 | 0 | 1 | 2 | 3 | 9 | ||
| Shanghai | CVD | All ages | 35 ± 8 | 14 | 29 | 34 | 40 | 65 |
| Aged ≥ 65 | 30 ± 8 | 11 | 24 | 29 | 35 | 61 | ||
| CBD | All ages | 18 ± 5 | 6 | 14 | 17 | 21 | 34 | |
| Aged ≥ 65 | 15 ± 4 | 4 | 12 | 14 | 18 | 30 | ||
| IHD | All ages | 13 ± 4 | 2 | 9 | 12 | 15 | 28 | |
| Aged ≥ 65 | 11 ± 4 | 1 | 9 | 11 | 14 | 27 | ||
| HPD | All ages | 2 ± 1 | 0 | 1 | 1 | 2 | 6 | |
| Aged ≥ 65 | 1 ± 1 | 0 | 0 | 1 | 2 | 6 |
| City | Variables | Mean ± SD | Min | Percentiles | Max | ||||||
|---|---|---|---|---|---|---|---|---|---|---|---|
| 1th | 10th | 25th | 50th | 75th | 90th | 99th | |||||
| Beijing | Mean temperature (°C) | 13.6 ± 10.9 | −9.4 | −6.1 | −1.5 | 3.0 | 15.1 | 24.1 | 26.9 | 29.8 | 31.4 |
| Relative humidity (%) | 52.5 ± 20.3 | 11.0 | 16.0 | 24.0 | 36.0 | 53.0 | 69.0 | 79.0 | 90.0 | 97.0 | |
| PM10 (µg/m3) | 131.2 ± 8.2 | 7.0 | 17.9 | 45.5 | 74.0 | 116.0 | 162.0 | 238.0 | 403.3 | 600.0 | |
| SO2 (µg/m3) | 39.9 ± 4.1 | 6.0 | 6.0 | 9.0 | 12.0 | 23.0 | 52.0 | 98.0 | 189.0 | 248.0 | |
| NO2 (µg/m3) | 57.1 ± 2.4 | 10.0 | 19.2 | 28.8 | 40.0 | 52.8 | 68.8 | 88.8 | 132.8 | 152.0 | |
| Shanghai | Mean temperature (°C) | 17.7 ± 8.9 | −3.4 | 0.5 | 5.3 | 9.8 | 18.7 | 25.2 | 28.9 | 32.4 | 34.6 |
| Relative humidity (%) | 69.8 ± 12.2 | 30.0 | 38.0 | 53.0 | 62.0 | 71.0 | 79.0 | 84.5 | 91.0 | 95.0 | |
| PM10 (µg/m3) | 84.4 ± 5.3 | 12.0 | 21.9 | 34.0 | 48.0 | 74.0 | 106.0 | 147.0 | 236.4 | 600.0 | |
| SO2 (µg/m3) | 47.4 ± 2.9 | 10.0 | 12.0 | 18.0 | 26.0 | 40.0 | 62.0 | 86.0 | 138.2 | 235.0 | |
| NO2 (µg/m3) | 55.0 ± 2.1 | 13.0 | 16.0 | 30.4 | 40.0 | 53.0 | 67.0 | 85.0 | 115.2 | 146 | |
3.2. The Non-Linear Relationship between Mean Temperature and Cause-Specific Cardiovascular Mortality
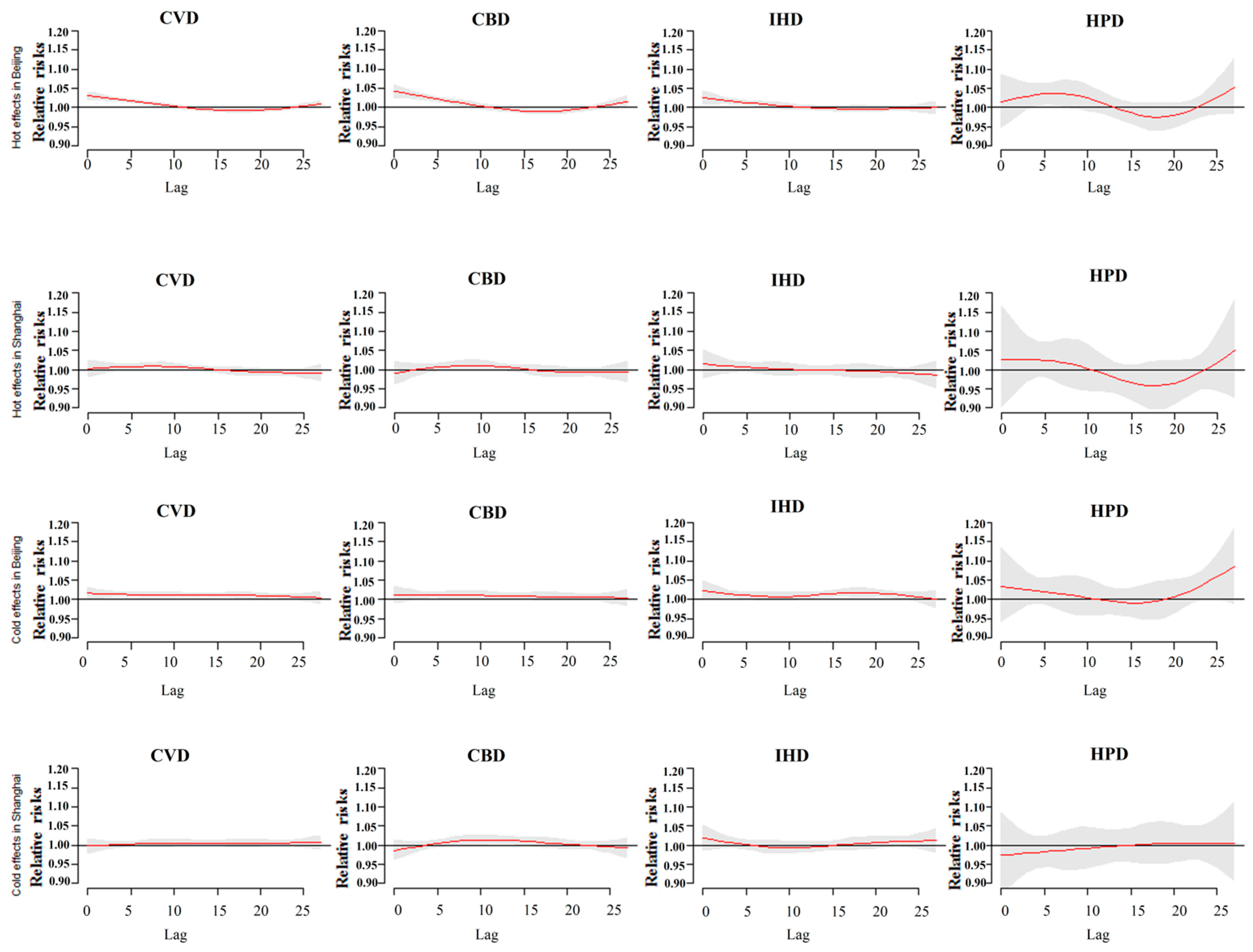
3.3. The Cumulative Hot and Cold Effects of Temperature on Cause-Specific Cardiovascular Mortality
| City | Lag | Hot Effects * (Relative Risks and 95% Confidence Intervals) | |||
|---|---|---|---|---|---|
| CVD | CBD | IHD | HPD | ||
| Beijing | 0 | 1.02 (1.01, 1.04) a | 1.04 (1.02, 1.06) a | 1.02 (1.00, 1.04) a | 1.01 (0.94, 1.08) |
| 0–7 | 1.17 (1.12, 1.22) a | 1.24 (1.16, 1.32) a | 1.13 (1.06, 1.21) a | 1.25 (0.96, 1.61) | |
| 0–14 | 1.18 (1.11, 1.25) a | 1.25 (1.15, 1.34) a | 1.15 (1.05, 1.24) a | 1.39 (1.01, 1.92) a | |
| 0–27 | 1.13 (1.04, 1.22) a | 1.21 (1.08, 1.35) a | 1.11 (0.98, 1.24) | 1.36 (0.87, 2.14) | |
| Shanghai | 0 | 1.00 (0.98, 1.02) | 1.00 (0.96, 1.02) | 1.01 (0.97, 1.05) | 1.01 (0.90, 1.16) |
| 0–7 | 1.05 (0.97, 1.14) | 1.01 (0.91, 1.12) | 1.07 (0.94, 1.22) | 1.21 (0.79, 1.86) | |
| 0–14 | 1.10 (0.99, 1.20) | 1.07 (0.95, 1.21) | 1.08 (0.93, 1.25) | 1.21 (0.71, 1.93) | |
| 0–27 | 1.02 (0.89, 1.16) | 1.01 (0.85, 1.20) | 0.99 (0.80, 1.23) | 0.97 (0.47, 2.01) | |


3.4. The Stratification of Seasonal Analysis for the Cumulative Hot and Cold Effects on Mortality from Cause-Specific Cardiovascular Diseases
| City | Lag | Cold Effects * (Relative Risks and 95% Confidence Intervals) | |||
|---|---|---|---|---|---|
| CVD | CBD | IHD | HPD | ||
| Beijing | 0 | 1.01 (0.99, 1.03) | 1.01 (0.98, 1.03) | 1.02 (0.99, 1.04) | 1.03 (0.93, 1.13) |
| 0–7 | 1.11 (1.05, 1.17) a | 1.10 (1.02, 1.19) a | 1.12 (1.03, 1.21) a | 1.21 (0.88, 1.65) | |
| 0–14 | 1.21 (1.13, 1.28) a | 1.18 (1.07, 1.29) a | 1.19 (1.09, 1.31) a | 1.22 (0.85, 1.74) | |
| 0–27 | 1.35 (1.24, 1.46) a | 1.27 (1.14, 1.42) a | 1.39 (1.24, 1.57) a | 1.64 (1.06, 2.55) a | |
| Shanghai | 0 | 0.99 (0.97, 1.02) | 0.98 (0.96, 1.01) | 1.01 (0.98, 1.05) | 0.97 (0.87, 1.08) |
| 0–7 | 1.01 (0.94, 1.09) | 0.99 (0.90, 1.09) | 1.05 (0.94, 1.18) | 0.85 (0.57, 1.25) | |
| 0–14 | 1.05 (0.97, 1.14) | 1.08 (0.97, 1.21) | 1.02 (0.89, 1.16) | 0.81 (0.52, 1.27) | |
| 0–27 | 1.14 (1.02, 1.27) a | 1.11 (0.95, 1.29) | 1.16 (1.03, 1.34) a | 0.86 (0.47, 1.57) | |
| City | Cause | Hot Effects Lag 0–14 (Warm Period) | Cold Effects Lag 0–27 (Cold Period) |
|---|---|---|---|
| Beijing | CVD | 1.32 (1.16,1.51) a | 1.35 (0.80,2.26) |
| CBD | 1.31 (1.09,1.57) a | 1.11 (0.52,2.36) | |
| IHD | 1.33 (1.08,1.62) a | 1.36 (0.74,3.38) | |
| HPD | 3.04 (1.42,6.48) a | 1.56 (0.02,8.70) | |
| Shanghai | CVD | 1.14 (0.93,1.40) | 1.07 (0.60,1.90) |
| CBD | 1.14 (0.87,1.50) | 1.10 (0.49,2.45) | |
| IHD | 0.99 (0.71,1.38) | 1.10 (0.42,2.86) | |
| HPD | 1.56 (0.50,4.83) | 0.98 (0.10,5.60) |
3.5. The Hot and Cold Effects of Temperature for Older People Who Died from Cause-Specific Cardiovascular Diseases
4. Sensitivity Analysis

5. Discussion
6. Conclusions
Acknowledgements
Author Contributions
Conflicts of Interest
Abbreviations
| CVD | cardiovascular disease |
| CBD | cerebrovascular disease |
| IHD | ischemic heart disease |
| HPD | hypertensive disease |
| RH | relative humidity |
| MT | mean temperature |
| PM10 | aerodynamic diameter less than 10 microns |
| DLNM | distributed lag non-linear model |
| AIC | Akaike information criterion |
Appendix
| Factors * | Beijing | Shanghai |
|---|---|---|
| Population (million) | 17.55 | 19.21 |
| Birth rate (‰) | 8.06 | 8.64 |
| Mortality rate (‰) | 4.56 | 5.94 |
| Natural growth rate (‰) | 3.50 | 2.70 |
| Age structure (proportion, %) | ||
| 0–14 | 9.90 | 7.56 |
| 15–64 | 79.98 | 78.36 |
| ≥65 | 10.09 | 14.08 |
| Life expectancy | 76.10 | 78.14 |
| Education level (proportion, %) | ||
| unschooled | 3.10 | 4.10 |
| Primary school | 13.00 | 13.30 |
| Junior middle school | 30.30 | 33.80 |
| High school | 22.80 | 25.20 |
| College or above | 30.80 | 23.60 |
| City | Lag | Hot Effects * | |||
|---|---|---|---|---|---|
| Cardiovascular | Cerebrovascular | Ischemic Heart Disease | Hypertensive Disease | ||
| Beijing | 0 | 1.04 (1.02, 1.06) a | 1.06 (1.02, 1.09) a | 1.04 (1.01, 1.07) a | 1.03 (0.93, 1.14) |
| 0–7 | 1.26 (1.18, 1.35) a | 1.37 (1.25, 1.51) a | 1.21 (1.10, 1.34) a | 1.32 (0.90, 1.93) | |
| 0–14 | 1.26 (1.16, 1.37) a | 1.38 (1.23, 1.55) a | 1.22 (1.07, 1.37) a | 1.38 (0.86, 2.19) | |
| 0–27 | 1.15 (1.03, 1.29) a | 1.27 (1.09, 1.50) a | 1.13 (0.95, 1.33) | 1.32 (0.69, 2.52) | |
| Shanghai | 0 | 1.01 (0.98, 1.04) | 0.99 (0.95, 1.03) | 1.03 (0.98, 1.09) | 1.03 (0.87, 1.23) |
| 0–7 | 1.08 (0.98, 1.20) | 1.00 (0.87, 1.15) | 1.15 (0.98, 1.36) | 1.30 (0.74, 2.28) | |
| 0–14 | 1.10 (0.98, 1.24) | 1.05 (0.90, 1.22) | 1.12 (0.92, 1.35) | 1.22 (0.64, 2.30) | |
| 0–27 | 1.01 (0.87, 1.19) | 1.01 (0.81, 1.24) | 0.98 (0.92, 1.35) | 1.02 (0.42, 2.46) | |
| City | Lag | Cold Effects * | |||
|---|---|---|---|---|---|
| Cardiovascular | Cerebrovascular | Ischemic Heart Disease | Hypertensive Disease | ||
| Beijing | 0 | 1.02 (1.00, 1.05) a | 1.01 (0.98, 1.04) | 1.04 (1.00, 1.07) a | 1.06 (0.92, 1.21) |
| 0–7 | 1.21 (1.11, 1.31) a | 1.16 (1.04, 1.30) a | 1.23 (1.10, 1.38) a | 1.52 (0.97, 2.37) | |
| 0–14 | 1.38 (1.26, 1.51) a | 1.33 (1.17, 1.52) a | 1.36 (1.19, 1.55) a | 1.68 (1.02, 2.78) a | |
| 0–27 | 1.60 (1.44, 1.78) a | 1.48 (1.28, 1.72) a | 1.64 (1.41, 1.92) a | 2.53 (1.41, 4.53) a | |
| Shanghai | 0 | 1.01 (0.98, 1.04) | 1.00 (0.96, 1.03) | 1.03 (0.99, 1.08) | 0.99 (0.86, 1.14) |
| 0–7 | 1.09 (1.00, 1.21) a | 1.07 (0.94, 1.21) | 1.16 (0.99, 1.35) | 0.93 (0.56, 1.55) | |
| 0–14 | 1.17 (1.06, 1.30) a | 1.20 (1.04, 1.38) a | 1.15 (0.97, 1.16) | 0.86 (0.49, 1.52) | |
| 0–27 | 1.31 (1.15, 1.49) a | 1.23 (1.03, 1.38) a | 1.35 (1.09, 1.66) a | 0.91 (0.45, 1.84) | |





References
- Intergovernmental Panel on Climate Change. Climate Change 2013: The Physical Science Basis; Cambridge University Press: Cambridge, UK and New York, NY, USA, 2013. [Google Scholar]
- Basagana, X.; Sartini, C.; Barrera-Gomez, J.; Dadvand, P.; Cunillera, J.; Ostro, B.; Sunyer, J.; Medina-Ramon, M. Heat waves and cause-specific mortality at all ages. Epidemiology 2011, 22, 765–772. [Google Scholar] [CrossRef] [PubMed]
- Turner, L.R.; Barnett, A.G.; Connell, D.; Tong, S.L. Ambient temperature and cardiorespiratory morbidity: A systematic review and meta-analysis. Epidemiology 2012, 23, 594–606. [Google Scholar] [CrossRef] [PubMed]
- Vasconcelos, J.; Freire, E.; Almendra, R.; Silva, G.L.; Santana, P. The impact of winter cold weather on acute myocardial infarctions in Portugal. Environ. Pollut. 2013, 183, 14–18. [Google Scholar] [CrossRef] [PubMed]
- Madrigano, J.; Mittleman, M.A.; Baccarelli, A.; Goldberg, R.; Melly, S.; von Klot, S.; Schwartz, J. Temperature, myocardial infarction, and mortality: Effect modification by individual- and area-level characteristics. Epidemiology 2013, 24, 439–446. [Google Scholar] [CrossRef] [PubMed]
- Hu, S.S.; Kong, L.Z.; Gao, R.L.; Zhu, M.L.; Wang, W.; Wang, Y.J.; Wu, Z.S.; Chen, W.W.; Liu, M.B. Outline of the report on cardiovascular disease in China, 2010. Biomed. Environ. Sci. 2012, 25, 251–256. [Google Scholar] [PubMed]
- Curriero, F.C.; Heiner, K.S.; Samet, J.M.; Zeger, S.L.; Strug, L.; Patz, J.A. Temperature and mortality in 11 cities of the eastern United States. Am. J. Epidemiol. 2002, 155, 80–87. [Google Scholar] [CrossRef] [PubMed]
- McMichael, A.J.; Wilkinson, P.; Kovats, R.S.; Pattenden, S.; Hajat, S.; Armstrong, B.; Vajanapoom, N.; Niciu, E.M.; Mahomed, H.; Kingkeow, C.; et al. International study of temperature, heat and urban mortality. the “ISOTHURM” project. Int. J. Epidemiol. 2008, 37, 1121–1131. [Google Scholar] [CrossRef] [PubMed]
- Analitis, A.; Katsouyanni, K.; Biggeri, A.; Baccini, M.; Forsberg, B.; Bisanti, L.; Kirchmayer, U.; Ballester, F.; Cadum, E.; Goodman, P.G.; et al. Effects of cold weather on mortality: Results from 15 European cities within the PHEWE project. Am. J. Epidemiol. 2008, 168, 1397–1408. [Google Scholar] [CrossRef] [PubMed]
- Anderson, B.G.; Bell, M.L. Weather-related mortality: How heat, cold, and heat waves affect mortality in the United States. Epidemiology 2009, 20, 205–213. [Google Scholar] [CrossRef] [PubMed]
- Son, J.Y.; Lee, J.T.; Anderson, G.B.; Bell, M.L. Vulnerability to temperature-related mortality in Seoul, Korea. Environ. Res. Lett. 2011, 6, 1–16. [Google Scholar] [CrossRef] [PubMed]
- Guo, Y.M.; Li, S.S.; Zhang, Y.S.; Armstrong, B.; Jaakkola, J.J.K.; Tong, S.L.; Pan, X.C. Extremely cold and hot temperatures increase the risk of ischaemic heart disease mortality: Epidemiological evidence from China. Heart 2013, 99, 195–203. [Google Scholar] [CrossRef] [PubMed]
- Ma, W.J.; Yang, C.X.; Chu, C.; Li, T.T.; Tan, J.G.; Kan, H.D. The temperature-mortality relationship in China: An analysis from 66 Chinese communities. Environ. Res. 2015, 137, 72–77. [Google Scholar] [CrossRef] [PubMed]
- Chen, R.; Wang, C.; Meng, X.; Chen, H.; Thach, T.Q.; Wong, C.M.; Kan, H. Both low and high temperature may increase the risk of stroke mortality. Neurology 2013, 81, 1064–1070. [Google Scholar] [CrossRef] [PubMed]
- Zhang, Y.; Li, S.; Pan, X.; Tong, S.; Jaakkola, J.J.; Gasparrini, A.; Guo, Y.; Wang, S. The effects of ambient temperature on cerebrovascular mortality: An epidemiologic study in four climatic zones in China. Environ. Health 2014, 13. [Google Scholar] [CrossRef] [PubMed]
- Guo, Y.; Barnett, A.G.; Pan, X.; Yu, W.; Tong, S. The impact of temperature on mortality in Tianjin, China: A case-crossover design with a distributed lag nonlinear model. Environ. Health Perspect. 2011, 119, 1719–1725. [Google Scholar] [CrossRef] [PubMed]
- Goggins, W.B.; Chan, E.Y.; Yang, C.; Chong, M. Associations between mortality and meteorological and pollutant variables during the cool season in two Asian cities with sub-tropical climates: Hong Kong and Taipei. Environ. Health 2013, 12. [Google Scholar] [CrossRef] [PubMed]
- Davídkovová, H.; Plavcová, E.; Kynčl, J.; Kyselý, J. Impacts of hot and cold spells differ for acute and chronic ischaemic heart diseases. BMC Public Health 2014, 14. [Google Scholar] [CrossRef] [PubMed]
- Lin, Y.K.; Chang, C.K.; Wang, Y.C.; Ho, T.J. Acute and prolonged adverse effects of temperature on mortality from cardiovascular diseases. PLoS One 2013, 8. [Google Scholar] [CrossRef] [PubMed]
- Medina-Ramon, M.; Zanobetti, A.; Cavanagh, D.P.; Schwartz, J. Extreme temperatures and mortality: Assessing effect modification by personal characteristics and specific cause of death in a multi-city case-only analysis. Environ. Health Perspect. 2006, 114, 1331–1336. [Google Scholar] [CrossRef] [PubMed]
- Grjibovski, A.M.; Nurgaliyeva, N.; Kosbayeva, A.; Menne, B. No association between temperature and deaths from cardiovascular and cerebrovascular diseases during the cold season in Astana, Kazakhstan—The second coldest capital in the world. Int. J. Circumpolar Health 2012, 71. [Google Scholar] [CrossRef] [PubMed]
- Zacharias, S.; Koppe, C.; Mücke, H.G. Influence of heat waves on ischemic heart diseases in Germany. Climate 2014, 2, 133–152. [Google Scholar] [CrossRef]
- Gasparrini, A.; Armstrong, B.; Kenward, M.G. Distributed lag non-linear models. Stat. Med. 2010, 29, 2224–2234. [Google Scholar] [CrossRef] [PubMed]
- Gasparrini, A. Distributed lag linear and non-linear models in R: The package DLNM. J. Stat. Softw. 2011, 43, 1–20. [Google Scholar] [CrossRef] [PubMed]
- Breitner, S.; Wolf, K.; Peters, A.; Schneider, A. Short-term effects of air temperature on cause-specific cardiovascular mortality in Bavaria, Germany. Heart 2014, 100, 1272–1280. [Google Scholar] [CrossRef] [PubMed]
- Armstrong, B. Models for the relationship between ambient temperature and daily mortality. Epidemiology 2006, 17, 624–631. [Google Scholar] [CrossRef] [PubMed]
- Luo, Y.; Zhang, Y.H.; Liu, T.; Rutherford, S.; Xu, Y.J.; Xu, X.J.; Wu, W.; Xiao, J.P.; Zeng, W.L.; Chu, C.; et al. Lagged effect of diurnal temperature range on mortality in a subtropical megacity of China. PLoS ONE 2013, 8. [Google Scholar] [CrossRef] [PubMed]
- Akaike, H. Factor analysis and AIC. Psychometrika 1987, 52, 317–332. [Google Scholar] [CrossRef]
- Gasparrini, A.; Guo, Y.; Hashizume, M.; Lavigne, E.; Zanobetti, A.; Schwartz, J.; Tobias, A.; Tong, S.; Rocklov, J.; Forsberg, B.; et al. Mortality risk attributable to high and low ambient temperature: A multicounty observational study. Lancet 2015, 386, 369–375. [Google Scholar] [CrossRef]
- Guo, Y.; Gasparrini, A.; Armstrong, B.; Li, S.; Tawatsupa, B.; Tobias, A.; Lavigne, E.; de Sousa Zanotti Stagliorio Coelho, M.; Leone, M.; Pan, X.; et al. Global variation in the effects of ambient temperature on mortality: A systematic evaluation. Epidemiology 2014, 25, 781–789. [Google Scholar] [CrossRef] [PubMed]
- Lee, J.K.W.; Nio, A.Q.X.; Fun, D.C.Y.; Teo, Y.S.; Chia, E.V.; Lim, C.L. Effects of heat acclimatisation on work tolerance and thermoregulation in trained tropical natives. J. Therm. Biol. 2012, 37, 366–373. [Google Scholar] [CrossRef]
- Tian, Z.X.; Li, S.S.; Zhang, J.L.; Jaakkola, J.J.K.; Guo, Y.M. Experimental study on physiological and psychological effects of heat acclimatization in extreme hot environments. Bldg. Environ. 2011, 46, 2033–2041. [Google Scholar] [CrossRef]
- Kovats, R.S.; Hajat, S. Heat stress and public health: A critical review. Annu. Rev. Public Health 2008, 29, 41–55. [Google Scholar] [CrossRef] [PubMed]
- Gold, D.R.; Samet, J.M. Air pollution, climate, and heart disease. Circulation 2013, 128, e411–e414. [Google Scholar] [CrossRef] [PubMed]
- Li, L.; Yang, J.; Guo, C.; Chen, P.Y.; Ou, C.Q.; Guo, Y. Particulate matter modifies the magnitude and time course of the non-linear temperature-mortality association. Environ. Pollut. 2015, 196, 423–430. [Google Scholar] [CrossRef] [PubMed]
- Ren, C.; Williams, G.M.; Tong, S. Does particulate matter modify the association between temperature and cardiorespiratory disease? Environ. Health Perspect. 2006, 114, 1690–1696. [Google Scholar] [CrossRef] [PubMed]
- Hosseinpanah, F.; Pour, S.H.; Heibatollahi, M.; Moghbel, N.; Asefzade, S.; Azizi, F. The effects of air pollution on vitamin D status in healthy women: A cross sectional study. BMC Public Health 2010, 10. [Google Scholar] [CrossRef] [PubMed]
- Lee, J.H.; O’Keefe, J.H.; Bell, D.; Hensrud, D.D.; Holick, M.F. Vitamin D deficiency an important, common, and easily treatable cardiovascular risk factor? J. Am. Coll. Cardiol. 2008, 52, 1949–1956. [Google Scholar] [CrossRef] [PubMed]
- Yoon, S.J.; Oh, I.H.; Seo, H.Y.; Kim, E.J. Measuring the burden of disease due to climate change and developing a forecast model in South Korea. Public Health 2014, 128, 725–733. [Google Scholar] [CrossRef] [PubMed]
- Yang, L.; Li, L.; Lewington, S.; Guo, Y.; Sherliker, P.; Bian, Z.; Collins, R.; Peto, R.; Liu, Y.; Yang, R.; et al. Outdoor temperature, blood pressure, and cardiovascular disease mortality among 23,000 individuals with diagnosed cardiovascular diseases from China. Eur. Heart J. 2015, 36, 1178–1185. [Google Scholar] [CrossRef] [PubMed]
- Modesti, P.A.; Morabito, M.; Massetti, L.; Rapi, S.; Orlandini, S.; Mancia, G.; Gensini, G.F.; Parati, G. Seasonal blood pressure changes: An independent relationship with temperature and daylight hours. Hypertension 2013, 61, 908–914. [Google Scholar] [CrossRef] [PubMed]
- Saeki, K.; Obayashi, K.; Kurumatani, N. Short-term effects of instruction in home heating on indoor temperature and blood pressure in elderly people: A randomized controlled trial. J. Hypertension 2015, 33, 2338–2343. [Google Scholar] [CrossRef] [PubMed]
- Beijing Zhongguan Center for Economic Survey. Investigation Report for Beijing Residents’ Concerns. Available online: http://wwwbeinetnetcn/fxyj/zgdc/201001/t537518html (accessed on 1 January 2010).
- Zanobetti, A.; O’Neill, M.S.; Gronlund, C.J.; Schwartz, J.D. Susceptibility to mortality in weather extremes: Effect modification by personal and small-area characteristics. Epidemiology 2013, 24, 809–819. [Google Scholar] [CrossRef] [PubMed]
- Qiao, Z.; Guo, Y.; Yu, W.; Tong, S. Assessment of short- and long-term mortality displacement in heat-related deaths in Brisbane, Australia, 1996–2004. Environ. Health Perspect. 2015, 123, 766–772. [Google Scholar] [CrossRef] [PubMed]
- Gasparrini, A.; Armstrong, B.; Kovats, S.; Wilkinson, P. The effect of high temperatures on cause-specific mortality in England and Wales. Occup. Environ. Med. 2012, 69, 56–61. [Google Scholar] [CrossRef] [PubMed]
- Yu, W.; Hu, W.; Mengersen, K.; Guo, Y.; Pan, X.; Connell, D.; Tong, S. Time course of temperature effects on cardiovascular mortality in Brisbane, Australia. Heart 2011, 97, 1089–1093. [Google Scholar] [CrossRef] [PubMed]
- Applegate, W.B.; Runyan, J.W.; Brasfield, L.; Williams, M.L.; Konigsberg, C.; Fouche, C. Analysis of the 1980 heat wave in Memphis. J. Am. Geriatr. Soc. 1981, 29, 337–342. [Google Scholar] [CrossRef] [PubMed]
- Mercer, J.B. Cold—An underrated risk factor for health. Environ. Res. 2003, 92, 8–13. [Google Scholar] [CrossRef]
- Carder, M.; McNamee, R.; Beverland, I.; Elton, R.; Cohen, G.R.; Boyd, J.; Agius, R.M. The lagged effect of cold temperature and wind chill on cardiorespiratory mortality in Scotland. Occup. Environ. Med. 2005, 62, 702–710. [Google Scholar] [CrossRef] [PubMed]
- Ballester, F.; Corella, D.; Perez-Hoyos, S.; Saez, M.; Hervas, A. Mortality as a function of temperature: A study in Valencia, Spain, 1991–1993. Int. J. Epidemiol. 1997, 26, 551–561. [Google Scholar] [CrossRef] [PubMed]
- McGeehin, M.A.; Mirabelli, M. The potential impacts of climate variability and change on temperature-related morbidity and mortality in the United States. Environ. Health. Perspect. 2001, 109 (Suppl. 2), 185–189. [Google Scholar] [CrossRef] [PubMed]
- Guo, Y.; Barnett, A.G.; Tong, S. Spatiotemporal model or time series model for assessing city-wide temperature effects on mortality? Environ. Res. 2013, 120, 55–62. [Google Scholar] [CrossRef] [PubMed]
© 2015 by the authors; licensee MDPI, Basel, Switzerland. This article is an open access article distributed under the terms and conditions of the Creative Commons by Attribution (CC-BY) license (http://creativecommons.org/licenses/by/4.0/).
Share and Cite
Wang, X.; Li, G.; Liu, L.; Westerdahl, D.; Jin, X.; Pan, X. Effects of Extreme Temperatures on Cause-Specific Cardiovascular Mortality in China. Int. J. Environ. Res. Public Health 2015, 12, 16136-16156. https://doi.org/10.3390/ijerph121215042
Wang X, Li G, Liu L, Westerdahl D, Jin X, Pan X. Effects of Extreme Temperatures on Cause-Specific Cardiovascular Mortality in China. International Journal of Environmental Research and Public Health. 2015; 12(12):16136-16156. https://doi.org/10.3390/ijerph121215042
Chicago/Turabian StyleWang, Xuying, Guoxing Li, Liqun Liu, Dane Westerdahl, Xiaobin Jin, and Xiaochuan Pan. 2015. "Effects of Extreme Temperatures on Cause-Specific Cardiovascular Mortality in China" International Journal of Environmental Research and Public Health 12, no. 12: 16136-16156. https://doi.org/10.3390/ijerph121215042
APA StyleWang, X., Li, G., Liu, L., Westerdahl, D., Jin, X., & Pan, X. (2015). Effects of Extreme Temperatures on Cause-Specific Cardiovascular Mortality in China. International Journal of Environmental Research and Public Health, 12(12), 16136-16156. https://doi.org/10.3390/ijerph121215042
