Antimicrobial Blue Light Reduces Human-Wound Pathogens’ Resistance to Tetracycline-Class Antibiotics in Biofilms
Abstract
1. Background
2. Materials and Methods
2.1. Absorption UV–Vis Spectroscopy
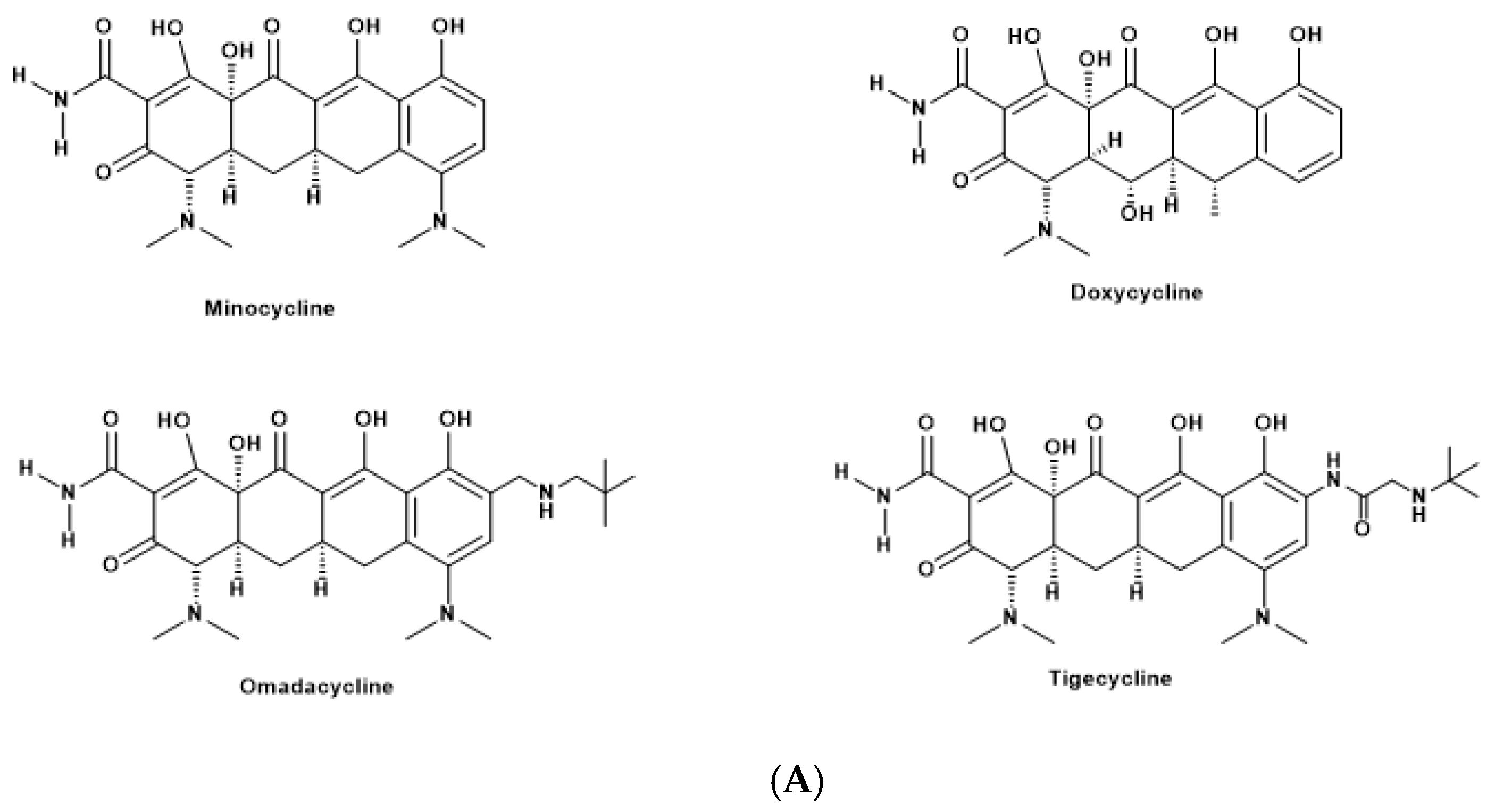
2.2. Chemicals
2.3. Blue Light Source and Light Measurements
2.4. Bacterial Strains and Growth Conditions
2.5. Minimum Inhibitory Concentrations (MICs) for TCs (DOCT, MC, TG, OM)
2.6. Photoinactivation of Bacteria in Biofilm Culture by Tetracyclines (DOCT, MC, TG, OM), Followed by aBL
2.7. Evaluation to Determine the Effect of Post-aBL Incubation Time of TCs on Subsequent Bacterial Viability
2.8. Evaluation of Photosensitization Ability of TCs: Photoinactivation of MRSA in In Vitro Biofilms by aBL, Preceded or After Addition of TCs
2.9. Measurement of Reactive Oxygen Species (ROS)
2.9.1. Using DCFH-DA
2.9.2. Flow Cytometry Analysis of Reactive Oxygen Species (ROS) Production
3. Results
3.1. Spectroscopy
3.2. Minimum Inhibitory Concentrations (MICs) of TCs (DOCT, MC, TG, OM) for MRSA, PA and E. coli
3.3. Antimicrobial Blue Light Dramatically Increases the Microbicidal Effects of TCs (DOCT, MC, TG, OM) on Biofilms of MRSA, PA and E. coli
3.4. Investigating the Ability of TCs (DOCT, MC, TG, OM) to Enhance ROS Levels by aBL
3.5. Evaluation of TCs (DOCT, MC, TG, OM) as Potential Photosensitizers Under Blue Light Exposure of Biofilms
3.6. Evaluation to Determine the Effect of Post-aBL Incubation Time of TCs on Subsequent Bacterial Viability
4. Discussion
Supplementary Materials
Author Contributions
Funding
Institutional Review Board Statement
Informed Consent Statement
Data Availability Statement
Acknowledgments
Conflicts of Interest
References
- Goswami, A.G.; Basu, S.; Banerjee, T.; Shukla, V.K. Biofilm and wound healing: From bench to bedside. Eur. J. Med. Res. 2023, 28, 157. [Google Scholar] [CrossRef] [PubMed]
- Zafer, M.M.; Mohamed, G.A.; Ibrahim, S.R.; Ghosh, S.; Bornman, C.; Elfaky, M.A. Biofilm-mediated infections by multidrug-resistant microbes: A comprehensive exploration and forward perspectives. Arch. Microbiol. 2024, 206, 101. [Google Scholar] [CrossRef] [PubMed]
- Sharma, S.; Mohler, J.; Mahajan, S.D.; Schwartz, S.A.; Bruggemann, L.; Aalinkeel, R. Microbial biofilm: A review on formation, infection, antibiotic resistance, control measures, and innovative treatment. Microorganisms 2023, 11, 1614. [Google Scholar] [CrossRef] [PubMed]
- Römling, U.; Balsalobre, C. Biofilm infections, their resilience to therapy and innovative treatment strategies. J. Intern. Med. 2012, 272, 541–561. [Google Scholar] [CrossRef]
- Negri, L.B.; Mannaa, Y.; Korupolu, S.; Farinelli, W.A.; Anderson, R.R.; Gelfand, J.A. Vitamin K3 (Menadione) is a multifunctional microbicide acting as a photosensitizer and synergizing with blue light to kill drug-resistant bacteria in biofilms. J. Photochem. Photobiol. B Biol. 2023, 244, 112720. [Google Scholar] [CrossRef]
- Amin, R.M.; Bhayana, B.; Hamblin, M.R.; Dai, T. Antimicrobial blue light inactivation of Pseudomonas aeruginosa by photo-excitation of endogenous porphyrins: In vitro and in vivo studies. Lasers Surg. Med. 2016, 48, 562–568. [Google Scholar] [CrossRef]
- Shrestha, L.; Fan, H.-M.; Tao, H.-R.; Huang, J.-D. Recent strategies to combat biofilms using antimicrobial agents and therapeutic approaches. Pathogens 2022, 11, 292. [Google Scholar] [CrossRef]
- Dance, A. Five ways science is tackling the antibiotic resistance crisis. Nature 2024, 632, 494–496. [Google Scholar] [CrossRef]
- Rahbe, E.; Watier, L.; Guillemot, D.; Glaser, P.; Opatowski, L. Determinants of worldwide antibiotic resistance dynamics across drug-bacterium pairs: A multivariable spatial-temporal analysis using ATLAS. Lancet Planet. Health 2023, 7, e547–e557. [Google Scholar] [CrossRef]
- Wright, J.B.; Lam, K.; Burrell, R.E. Wound management in an era of increasing bacterial antibiotic resistance: A role for topical silver treatment. Am. J. Infect. Control 1998, 26, 572–577. [Google Scholar] [CrossRef]
- Durand, G.A.; Raoult, D.; Dubourg, G. Antibiotic discovery: History, methods and perspectives. Int. J. Antimicrob. Agents 2019, 53, 371–382. [Google Scholar] [CrossRef] [PubMed]
- Negri, L.B.; Farinelli, W.; Korupolu, S.; Wang, Y.; Mannaa, Y.; Lee, H.; Hui, J.; Dong, P.-T.; Slate, A.; Tam, J. An antimicrobial blue light prototype device controls infected wounds in a preclinical porcine model. J. Infect. Dis. 2024, jiae548. [Google Scholar] [CrossRef] [PubMed]
- Dai, T.; Gupta, A.; Murray, C.K.; Vrahas, M.S.; Tegos, G.P.; Hamblin, M.R. Blue light for infectious diseases: Propionibacterium acnes, Helicobacter pylori, and beyond? Drug Resist. Updates Rev. Comment. Antimicrob. Anticancer. Chemother. 2012, 15, 223–236. [Google Scholar] [CrossRef] [PubMed]
- Wang, Y.; Wang, Y.; Wang, Y.; Murray, C.K.; Hamblin, M.R.; Hooper, D.C.; Dai, T. Antimicrobial blue light inactivation of pathogenic microbes: State of the art. Drug Resist. Updates 2017, 33–35, 1–22. [Google Scholar] [CrossRef]
- Leanse, L.G.; Dos Anjos, C.; Mushtaq, S.; Dai, T. Antimicrobial blue light: A ‘Magic Bullet’for the 21st century and beyond? Adv. Drug Del. Rev. 2022, 180, 114057. [Google Scholar] [CrossRef]
- Anjos, C.D.; Leanse, L.G.; Ribeiro, M.S.; Sellera, F.P.; Dropa, M.; Arana-Chavez, V.E.; Lincopan, N.; Baptista, M.S.; Pogliani, F.C.; Dai, T.; et al. New Insights into the Bacterial Targets of Antimicrobial Blue Light. Microbiol. Spectr. 2023, 11, e02833-22. [Google Scholar] [CrossRef]
- Leanse, L.G.; Marasini, S.; Dos Anjos, C.; Dai, T. Antimicrobial Resistance: Is There a ‘Light’at the End of the Tunnel? Antibiotics 2023, 12, 1437. [Google Scholar] [CrossRef]
- Tichaczek-Goska, D.; Wojnicz, D.; Symonowicz, K.; Ziółkowski, P.; Hendrich, A.B. Photodynamic enhancement of the activity of antibiotics used in urinary tract infections. Lasers Med. Sci. 2019, 34, 1547–1553. [Google Scholar] [CrossRef]
- Hamblin, M.R.; Abrahamse, H. Tetracyclines: Light-Activated Antibiotics? Future Med. Chem. 2019, 11, 2427–2445. [Google Scholar] [CrossRef]
- Barra, F.; Roscetto, E.; Soriano, A.A.; Vollaro, A.; Postiglione, I.; Pierantoni, G.M.; Palumbo, G.; Catania, M.R. Photodynamic and antibiotic therapy in combination to fight biofilms and resistant surface bacterial infections. Int. J. Mol. Sci. 2015, 16, 20417–20430. [Google Scholar] [CrossRef]
- Goldman, R.A.; Hasan, T.; Hall, C.C.; Strycharz, W.A.; Cooperman, B.S. Photoincorporation of tetracycline into Escherichia coli ribosomes. Identification of the major proteins photolabeled by native tetracycline and tetracycline photoproducts and implications for the inhibitory action of tetracycline on protein synthesis. Biochemistry 1983, 22, 359–368. [Google Scholar] [CrossRef] [PubMed]
- Hasan, T.; Khan, A.U. Phototoxicity of the tetracyclines: Photosensitized emission of singlet delta dioxygen. Proc. Natl. Acad. Sci. USA 1986, 83, 4604–4606. [Google Scholar] [CrossRef] [PubMed]
- He, Y.; Huang, Y.Y.; Xi, L.; Gelfand, J.A.; Hamblin, M.R. Tetracyclines function as dual-action light-activated antibiotics. PLoS ONE 2018, 13, e0196485. [Google Scholar] [CrossRef]
- Selye, H.; Gentile, G.; Jean, P. An experimental model of “dermatomyositis” induced by calciphylaxis. Can. Med. Assoc. J. 1961, 85, 770. [Google Scholar] [PubMed]
- Reller, L.B.; Stratton, C.W. Serum dilution test for bactericidal activity. II. Standardization and correlation with antimicrobial assays and susceptibility tests. J. Infect. Dis. 1977, 136, 196–204. [Google Scholar] [CrossRef]
- Ferrer-Espada, R.; Liu, X.; Goh, X.S.; Dai, T. Antimicrobial blue light inactivation of polymicrobial biofilms. Front. Microbiol. 2019, 10, 721. [Google Scholar] [CrossRef]
- Rusu, A.; Buta, E.L. The development of third-generation tetracycline antibiotics and new perspectives. Pharmaceutics 2021, 13, 2085. [Google Scholar] [CrossRef]
- Moffa, M.B.I. Mandell, Douglas, and Bennett’s Principles and Practice of Infectious Diseases. In Principles and Practice of Infectious Diseases, 9th ed.; Douglas, R.G., Bennett, J.E., Mandell, G.L., Eds.; Elsevier: Philadelphia, PA, USA, 2020; Volume 1, p. 328. ISBN 978-0-323-48255-4. [Google Scholar]
- Nitzan, Y.; Gozhansky, S.; Malik, Z. Effect of photoactivated hematoporphyrin derivative on the viability of Staphylococcus aureus. Curr. Microbiol. 1983, 8, 279–284. [Google Scholar] [CrossRef]
- Kjeldstad, B.; Christensen, T.; Johnsson, A. Uptake of hematoporphyrin derivative in bacteria and photosensitization of Propionibacterium acnes bacteria. Photobiochem. Photobiophys. 1986, 10, 163–173. [Google Scholar] [CrossRef]
- Xuan, W.; He, Y.; Huang, L.; Huang, Y.-Y.; Bhayana, B.; Xi, L.; Gelfand, J.A.; Hamblin, M.R. Antimicrobial photodynamic inactivation mediated by tetracyclines in vitro and in vivo: Photochemical mechanisms and potentiation by potassium iodide. Sci. Rep. 2018, 8, 17130. [Google Scholar] [CrossRef]
- Ferrer-Espada, R.; Wang, Y.; Goh, X.S.; Dai, T. Antimicrobial blue light inactivation of microbial isolates in biofilms. Lasers Surg. Med. 2020, 52, 472–478. [Google Scholar] [CrossRef] [PubMed]
- Huang, Y.-Y.; Wintner, A.; Seed, P.C.; Brauns, T.; Gelfand, J.A.; Hamblin, M.R. Antimicrobial photodynamic therapy mediated by methylene blue and potassium iodide to treat urinary tract infection in a female rat model. Sci. Rep. 2018, 8, 7257. [Google Scholar] [CrossRef] [PubMed]
- Abrahamse, H.; Hamblin, M.R. New photosensitizers for photodynamic therapy. Biochem. J. 2016, 473, 347–364. [Google Scholar] [CrossRef] [PubMed]
- Thaker, M.; Spanogiannopoulos, P.; Wright, G.D. The tetracycline resistome. Cell. Mol. Life Sci. 2010, 67, 419–431. [Google Scholar] [CrossRef]
- Wainwright, M.; Dai, T.; Hamblin, M.R. Antimicrobial photodynamic therapy in the colon: Delivering a light punch to the guts? Photochem. Photobiol. 2011, 87, 754–756. [Google Scholar] [CrossRef]
- Willis, J.A.; Cheburkanov, V.; Chen, S.; Soares, J.M.; Kassab, G.; Blanco, K.C.; Bagnato, V.S.; de Figueiredo, P.; Yakovlev, V.V. Breaking down antibiotic resistance in methicillin-resistant Staphylococcus aureus: Combining antimicrobial photodynamic and antibiotic treatments. Proc. Natl. Acad. Sci. USA 2022, 119, e2208378119. [Google Scholar] [CrossRef]
- Leanse, L.G.; Anjos, C.D.; Kaler, K.R.; Hui, J.; Boyd, J.M.; Hooper, D.C.; Anderson, R.R.; Dai, T. Blue Light Potentiates Antibiotics in Bacteria via Parallel Pathways of Hydroxyl Radical Production and Enhanced Antibiotic Uptake. Adv. Sci. 2023, 10, 2303731. [Google Scholar] [CrossRef]
- Williams, D.L.; Kawaguchi, B.; Taylor, N.B.; Allyn, G.; Badham, M.A.; Rogers, J.C.; Peterson, B.R.; Sebahar, P.R.; Haussener, T.J.; Reddy, H.R.K.; et al. In vivo efficacy of a unique first-in-class antibiofilm antibiotic for biofilm-related wound infections caused by Acinetobacter baumannii. Biofilm 2020, 2, 100032. [Google Scholar] [CrossRef]
- Wang, Y.; Wu, X.; Chen, J.; Amin, R.; Lu, M.; Bhayana, B.; Zhao, J.; Murray, C.K.; Hamblin, M.R.; Hooper, D.C. Antimicrobial blue light inactivation of gram-negative pathogens in biofilms: In vitro and in vivo studies. J. Infect. Dis. 2016, 213, 1380–1387. [Google Scholar] [CrossRef]







| Tetracyclines | ε (M−1·cm−1) (λ = 410 nm) |
|---|---|
| Minocycline (MC) | 12,630 |
| Doxycycline (DOCT) | 2640 |
| Omadacycline (OM) | 2730 |
| Tigecycline (TG) | 2370 |
| MS | MC (µg/mL) | DOCT (µg/mL) | OM (µg/mL) | TG (µg/mL) |
|---|---|---|---|---|
| MRSA | 0.06 | 0.06 | 0.125 | 0.06 |
| PA | 8 | 16 | 64 | 8 |
| E. coli | 0.5 | 1 | 0.25 | 0.06 |
| MRSA Dark | MRSA aBL | PA Dark | PA aBL | E. coli Dark | E. coli aBL | |
|---|---|---|---|---|---|---|
| aBL alone | - | −1.76 ##### | - | −3.38 ##### | - | −1.92 ##### |
| Minocycline | −0.13 | −2.72 **** | 0.06 | −5.39 **** | −0.05 | −2.35 ** |
| Doxycycline | −0.26 | −3.83 **** | −0.10 | −5.24 **** | 0.01 | −2.50 *** |
| Omadacycline | −0.20 | −2.38 * | −0.39 | −4.42 * | −0.02 | −3.83 **** |
| Tigecycline | 0.015 | −1.64 | −0.89 | −3.72 | −0.03 | −3.68 **** |
Disclaimer/Publisher’s Note: The statements, opinions and data contained in all publications are solely those of the individual author(s) and contributor(s) and not of MDPI and/or the editor(s). MDPI and/or the editor(s) disclaim responsibility for any injury to people or property resulting from any ideas, methods, instructions or products referred to in the content. |
© 2025 by the authors. Licensee MDPI, Basel, Switzerland. This article is an open access article distributed under the terms and conditions of the Creative Commons Attribution (CC BY) license (https://creativecommons.org/licenses/by/4.0/).
Share and Cite
Negri, L.B.; Korupolu, S.; Farinelli, W.; Jolly, A.K.; Redmond, R.W.; Aggarwal, S.; Rahme, L.G.; Gilchrist, K.H.; Anderson, R.R.; Gelfand, J.A. Antimicrobial Blue Light Reduces Human-Wound Pathogens’ Resistance to Tetracycline-Class Antibiotics in Biofilms. Cells 2025, 14, 219. https://doi.org/10.3390/cells14030219
Negri LB, Korupolu S, Farinelli W, Jolly AK, Redmond RW, Aggarwal S, Rahme LG, Gilchrist KH, Anderson RR, Gelfand JA. Antimicrobial Blue Light Reduces Human-Wound Pathogens’ Resistance to Tetracycline-Class Antibiotics in Biofilms. Cells. 2025; 14(3):219. https://doi.org/10.3390/cells14030219
Chicago/Turabian StyleNegri, Laisa Bonafim, Sandeep Korupolu, William Farinelli, Alexis K. Jolly, Robert W. Redmond, Shifu Aggarwal, Laurence G. Rahme, Kristin H. Gilchrist, R. Rox Anderson, and Jeffrey A. Gelfand. 2025. "Antimicrobial Blue Light Reduces Human-Wound Pathogens’ Resistance to Tetracycline-Class Antibiotics in Biofilms" Cells 14, no. 3: 219. https://doi.org/10.3390/cells14030219
APA StyleNegri, L. B., Korupolu, S., Farinelli, W., Jolly, A. K., Redmond, R. W., Aggarwal, S., Rahme, L. G., Gilchrist, K. H., Anderson, R. R., & Gelfand, J. A. (2025). Antimicrobial Blue Light Reduces Human-Wound Pathogens’ Resistance to Tetracycline-Class Antibiotics in Biofilms. Cells, 14(3), 219. https://doi.org/10.3390/cells14030219

