A Closed Loop Stimuli-Responsive Concanavalin A-Loaded Chitosan–Pluronic Hydrogel for Glucose-Responsive Delivery of Short-Acting Insulin Prototyped in RIN-5F Pancreatic Cells
Abstract
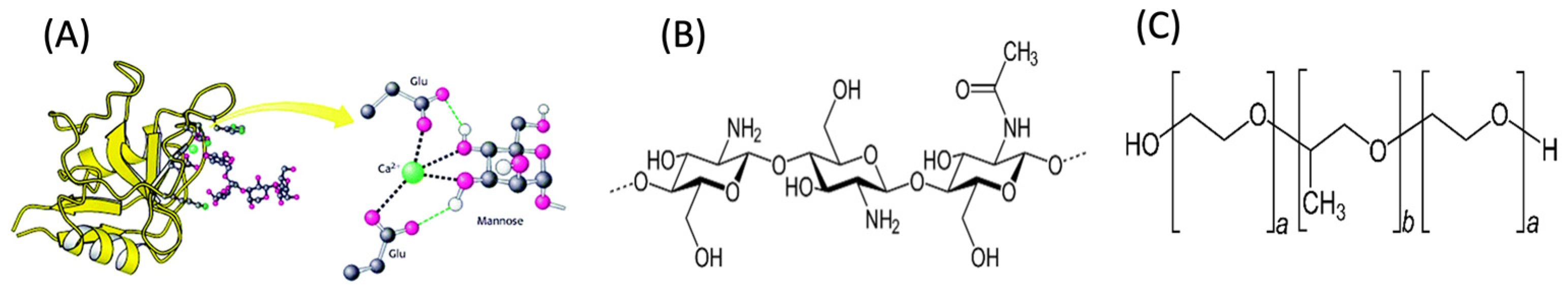
:1. Introduction

2. Materials and Methods
2.1. Materials
2.2. Synthesis of the Insulin-Loaded PL–CHT–ConA Stimulus-Responsive Hydrogel
2.3. Elucidation of the Physicochemical and Morphological Stability of the Stimuli-Responsive PL–CHT–ConA Hydrogel
2.4. Determination of the Physicomechanical Properties of the PL–CHT–ConA Stimuli-Responsive Hydrogel
2.4.1. Textural Profiling Analysis for System Injectability
2.4.2. Dynamic Nondestructive Sol–Gel Transitioning Analysis of the PL–CHT–ConA Hydrogel
2.4.3. Temperature-Dependent Flow Analysis of the PL–CHT–ConA Hydrogel Matrix
2.5. Surface Morphology Analysis of the PL–CHT–ConA Hydogel Matrix
2.6. Determination of In Vitro Glucose Responsivity and Insulin Release from the PL–CHT–ConA Hydrogel Matrix
(Total amt of insulin incorporated into gel)) × 100
2.7. Insulin Stability Analysis within the PL–CHT–ConA Hydrogel Matrix
2.8. Cytotoxic Assay of the PL–CHT–ConA Hydrogel Matrix
3. Results and Discussion
3.1. Preparation of PL–CHT–ConA Hydrogel Matrix Dual-Responsive Hydrogel
3.2. Determination of Structure and Purity of Pristine Polymers and Formulated PL–CHT–ConA Hydrogel Matrix
3.3. X-ray Diffraction Studies on Pristine Polymers and PL–CHT–ConA Hydrogel Matrix
3.4. Determination of Mass Change in PL–CHT–ConA Hydrogel System and Components
3.5. Determination of the Viscoelastic Characteristics of the Thermo/Glucose PL–CHT–ConA Responsive Hydrogel
3.5.1. Determination of Force Required for Injectability of PL–CHT–ConA Hydrogel
3.5.2. ElastoSensTM Bio2 Thermoresponsiveness Studies of PL–CHT–ConA Hydrogel
3.5.3. Determination of G′ and G″ of Hydrogel System
Temperature Ramp and Viscoelasticity
Rheometer—Yield Stress and Shear Viscosity Determination of PL–CHT–ConA Hydrogel
Oscillation Stress Sweep
3.6. Surface Morphology Analysis (SEM) of Formulated PL–CHT–ConA Hydrogel
3.7. In Vitro Insulin Release Kinetics from PL–CHT–ConA Hydrogel
3.8. Structural Integrity of Insulin within PL–CHT–ConA Hydrogel Delivery System
3.9. Cytotoxic Assay of PL–CHT–ConA Hydrogel System
4. Conclusions
Author Contributions
Funding
Data Availability Statement
Acknowledgments
Conflicts of Interest
References
- Almawash, S.; Osman, S.K.; Mustafa, G.; El Hamd, M.A. Current and Future Prospective of Injectable Hydrogels-Design Challenges and Limitations. Pharmaceuticals 2022, 15, 371. [Google Scholar] [CrossRef] [PubMed]
- Salehi, S.; Naghib, S.M.; Garshasbi, H.R.; Ghorbanzadeh, S.; Zhang, W. Smart Stimuli-Responsive Injectable Gels and Hydrogels for Drug Delivery and Tissue Engineering Applications: A Review. Front. Bioeng. Biotechnol. 2023, 11, 1104126. [Google Scholar] [CrossRef] [PubMed]
- Park, K.M.; Lee, S.Y.; Joung, Y.K.; Na, J.S.; Lee, M.C.; Park, K.D. Thermosensitive Chitosan-Pluronic Hydrogel as an Injectable Cell Delivery Carrier for Cartilage Regeneration. Acta Biomater. 2009, 5, 1956–1965. [Google Scholar] [CrossRef] [PubMed]
- Matsumoto, A.; Tanaka, M.; Matsumoto, H.; Ochi, K.; Moro-oka, Y.; Kuwata, H.; Yamada, H.; Shirakawa, I.; Miyazawa, T.; Ishii, H.; et al. Synthetic “Smart Gel” Provides Glucose-Responsive Insulin Delivery in Diabetic Mice. Sci. Adv. 2017, 3, eaaq0723. [Google Scholar] [CrossRef]
- Bakh, N.A.; Cortinas, A.B.; Weiss, M.A.; Langer, R.S.; Anderson, D.G.; Gu, Z.; Dutta, S.; Strano, M.S. Glucose-Responsive Insulin by Molecular and Physical Design. Nat. Chem. 2017, 9, 937–944. [Google Scholar] [CrossRef]
- Mansoor, S.; Kondiah, P.P.D.; Choonara, Y.E. Advanced Hydrogels for the Controlled Delivery of Insulin. Pharmaceutics 2021, 13, 2113. [Google Scholar] [CrossRef]
- Souto, E.B.; Souto, S.B.; Campos, J.R.; Severino, P.; Pashirova, T.N.; Zakharova, L.Y.; Silva, A.M.; Durazzo, A.; Lucarini, M.; Izzo, A.A.; et al. Nanoparticle Delivery Systems in the Treatment of Diabetes Complications. Molecules 2019, 24, 4209. [Google Scholar] [CrossRef]
- Yin, R.; Wang, K.; Du, S.; Chen, L.; Nie, J.; Zhang, W. Design of Genipin-Crosslinked Microgels from Concanavalin A and Glucosyloxyethyl Acrylated Chitosan for Glucose-Responsive Insulin Delivery. Carbohydr. Polym. 2014, 103, 369–376. [Google Scholar] [CrossRef]
- Yin, R.; He, J.; Bai, M.; Huang, C.; Wang, K.; Zhang, H.; Yang, S.-M.; Zhang, W. Engineering Synthetic Artificial Pancreas Using Chitosan Hydrogels Integrated with Glucose-Responsive Microspheres for Insulin Delivery. Mater. Sci. Eng. C Mater. Biol. Appl. 2019, 96, 374–382. [Google Scholar] [CrossRef]
- Chatterjee, S.; Hui, P.C.; Kan, C.; Wang, W. Dual-Responsive (pH/Temperature) Pluronic F-127 Hydrogel Drug Delivery System for Textile-Based Transdermal Therapy. Sci. Rep. 2019, 9, 11658. [Google Scholar] [CrossRef]
- Kumar, A.; Vimal, A.; Kumar, A. Why Chitosan? From Properties to Perspective of Mucosal Drug Delivery. Int. J. Biol. Macromol. 2016, 91, 615–622. [Google Scholar] [CrossRef]
- Sanchez-Salvador, J.L.; Balea, A.; Monte, M.C.; Negro, C.; Blanco, A. Chitosan Grafted/Cross-Linked with Biodegradable Polymers: A Review. Int. J. Biol. Macromol. 2021, 178, 325–343. [Google Scholar] [CrossRef] [PubMed]
- Yilmaz, G.; Becer, C.R. Glyconanoparticles and Their Interactions with Lectins. Polym. Chem. 2015, 6, 5503–5514. [Google Scholar] [CrossRef]
- Chung, H.J.; Bae, J.W.; Park, H.D.; Lee, J.W.; Park, K.D. Thermosensitive Chitosans as Novel Injectable Biomaterials. Macromol. Symp. 2005, 224, 275–286. [Google Scholar] [CrossRef]
- Lin, K.; Yi, J.; Mao, X.; Wu, H.; Zhang, L.-M.; Yang, L. Glucose-Sensitive Hydrogels from Covalently Modified Carboxylated Pullulan and Concanavalin A for Smart Controlled Release of Insulin. React. Funct. Polym. 2019, 139, 112–119. [Google Scholar] [CrossRef]
- Zhang, R.; Tang, M.; Bowyer, A.; Eisenthal, R.; Hubble, J. Synthesis and Characterization of a D-Glucose Sensitive Hydrogel Based on CM-Dextran and Concanavalin A. React. Funct. Polym. 2006, 66, 757–767. [Google Scholar] [CrossRef]
- Nakajima, N.; Ikada, Y. Mechanism of Amide Formation by Carbodiimide for Bioconjugation in Aqueous Media. Bioconjugate Chem. 1995, 6, 123–130. [Google Scholar] [CrossRef]
- Zhao, F.; Wu, D.; Yao, D.; Guo, R.; Wang, W.; Dong, A.; Kong, D.; Zhang, J. An Injectable Particle-Hydrogel Hybrid System for Glucose-Regulatory Insulin Delivery. Acta Biomater. 2017, 64, 334–345. [Google Scholar] [CrossRef] [PubMed]
- Zuidema, J.M.; Rivet, C.J.; Gilbert, R.J.; Morrison, F.A. A Protocol for Rheological Characterization of Hydrogels for Tissue Engineering Strategies. J. Biomed. Mater. Res. B Appl. Biomater. 2014, 102, 1063–1073. [Google Scholar] [CrossRef]
- Mahlumba, P.; Kumar, P.; du Toit, L.C.; Poka, M.S.; Ubanako, P.; Choonara, Y.E. Fabrication and Characterisation of a Photo-Responsive, Injectable Nanosystem for Sustained Delivery of Macromolecules. Int. J. Mol. Sci. 2021, 22, 3359. [Google Scholar] [CrossRef]
- Bai, M.; He, J.; Kang, L.; Nie, J.; Yin, R. Regulated Basal and Bolus Insulin Release from Glucose-Responsive Core-Shell Microspheres Based on Concanavalin A-Sugar Affinity. Int. J. Biol. Macromol. 2018, 113, 889–899. [Google Scholar] [CrossRef] [PubMed]
- Mani, S.; Swargiary, G. In Vitro Cytotoxicity Analysis: MTT/XTT, Trypan Blue Exclusion. In Animal Cell Culture: Principles and Practice; Mani, S., Singh, M., Kumar, A., Eds.; Techniques in Life Science and Biomedicine for the Non-Expert; Springer International Publishing: Cham, Switzerland, 2023; pp. 267–284. ISBN 978-3-031-19485-6. [Google Scholar]
- Wei, H.; Han, L.; Yin, R.; Yang, T.; Liu, Y.; Mou, C.; Pang, F.; Wang, T. Micro-3D Printed Concanavalin A Hydrogel Based Photonic Devices for High-Sensitivity Glucose Sensing. Sens. Actuators B Chem. 2023, 386, 133707. [Google Scholar] [CrossRef]
- Panda, P.K.; Dash, P.; Chang, Y.-H.; Yang, J.-M. Improvement of Chitosan Water Solubility by Fumaric Acid Modification. Mater. Lett. 2022, 316, 132046. [Google Scholar] [CrossRef]
- Zhang, X.-Y. Biomedical Engineering for Health Research and Development. Eur. Rev. Med. Pharmacol. Sci. 2015, 19, 220–224. [Google Scholar] [PubMed]
- Karolewicz, B.; Gajda, M.; Górniak, A.; Owczarek, A.; Mucha, I. Pluronic F127 as a Suitable Carrier for Preparing the Imatinib Base Solid Dispersions and Its Potential in Development of a Modified Release Dosage Forms. J. Therm. Anal. Calorim. 2017, 130, 383–390. [Google Scholar] [CrossRef]
- Xu, M.; Huang, J.; Jiang, S.; He, J.; Wang, Z.; Qin, H.; Guan, Y.-Q. Glucose Sensitive Konjac Glucomannan/Concanavalin A Nanoparticles as Oral Insulin Delivery System. Int. J. Biol. Macromol. 2022, 202, 296–308. [Google Scholar] [CrossRef]
- Novak, U.; Grdadolnik, J. The Hydration of Concanavalin A Studied by Infrared Spectroscopy. J. Mol. Struct. 2017, 1135, 138–143. [Google Scholar] [CrossRef]
- Husseini, F.S.; Robinson, D.; Hunt, N.T.; Parker, A.W.; Hirst, J.D. Computing Infrared Spectra of Proteins Using the Exciton Model. J. Comput. Chem. 2017, 38, 1362–1375. [Google Scholar] [CrossRef]
- Jayaramudu, T.; Varaprasad, K.; Reddy, K.K.; Pyarasani, R.D.; Akbari-Fakhrabadi, A.; Amalraj, J. Chitosan-Pluronic Based Cu Nanocomposite Hydrogels for Prototype Antimicrobial Applications. Int. J. Biol. Macromol. 2020, 143, 825–832. [Google Scholar] [CrossRef]
- Tabesh, E.; Salimijazi, H.R.; Kharaziha, M.; Mahmoudi, M.; Hejazi, M. Development of an In-Situ Chitosan-copper Nanoparticle Coating by Electrophoretic Deposition. Surf. Coat. Technol. 2019, 364, 239–247. [Google Scholar] [CrossRef]
- Bashir, S.; Teo, Y.Y.; Ramesh, S.; Ramesh, K.; Rizwan, M.; Bashir, S.; Teo, Y.Y.; Ramesh, S.; Ramesh, K.; Rizwan, M. Synthesis and Characterization of Ph-Sensitive N-Succinyl Chitosan Hydrogel and Its Properties for Biomedical Applications. J. Chil. Chem. Soc. 2019, 64, 4571–4574. [Google Scholar] [CrossRef]
- Ullah, F.; Iqbal, Z.; Khan, A.; Khan, S.A.; Ahmad, L.; Alotaibi, A.; Ullah, R.; Shafique, M. Formulation Development and Characterization of pH Responsive Polymeric Nano-Pharmaceuticals for Targeted Delivery of Anti-Cancer Drug (Methotrexate). Front. Pharmacol. 2022, 13, 911771. [Google Scholar] [CrossRef] [PubMed]
- Deng, J.; Huang, L.; Liu, F. Understanding the Structure and Stability of Paclitaxel Nanocrystals. Int. J. Pharm. 2010, 390, 242–249. [Google Scholar] [CrossRef]
- Montaser, A.S.; Wassel, A.R.; Al-Shaye’a, O.N. Synthesis, Characterization and Antimicrobial Activity of Schiff Bases from Chitosan and Salicylaldehyde/TiO2 Nanocomposite Membrane. Int. J. Biol. Macromol. 2019, 124, 802–809. [Google Scholar] [CrossRef] [PubMed]
- Mirhosseini, M.M.; Haddadi-Asl, V.; Zargarian, S.S. Fabrication and Characterization of Polymer–Ceramic Nanocomposites Containing Pluronic F127 Immobilized on Hydroxyapatite Nanoparticles. RSC Adv. 2016, 6, 80564–80575. [Google Scholar] [CrossRef]
- Nguyen, D.T.; Dinh, V.T.; Dang, L.H.; Nguyen, D.N.; Giang, B.L.; Nguyen, C.T.; Nguyen, T.B.T.; Thu, L.V.; Tran, N.Q. Dual Interactions of Amphiphilic Gelatin Copolymer and Nanocurcumin Improving the Delivery Efficiency of the Nanogels. Polymers 2019, 11, 814. [Google Scholar] [CrossRef]
- El-Baba, T.J.; Clemmer, D.E. Solution Thermochemistry of Concanavalin A Tetramer Conformers Measured by Variable-Temperature ESI-IMS-MS. Int. J. Mass Spectrom. 2019, 443, 93–100. [Google Scholar] [CrossRef]
- Rusu, A.G.; Popa, M.I.; Lisa, G.; Vereştiuc, L. Thermal Behavior of Hydrophobically Modified Hydrogels Using TGA/FTIR/MS Analysis Technique. Thermochim. Acta 2015, 613, 28–40. [Google Scholar] [CrossRef]
- Banerjee, T.; Kishore, N. A Differential Scanning Calorimetric Study on the Irreversible Thermal Unfolding of Concanavalin A. Thermochim. Acta 2004, 411, 195–201. [Google Scholar] [CrossRef]
- Al Homsi, R.; Eltahir, S.; Jagal, J.; Ali Abdelkareem, M.; Ghoneim, M.M.; Rawas-Qalaji, M.M.; Greish, K.; Haider, M. Thermosensitive Injectable Graphene Oxide/Chitosan-Based Nanocomposite Hydrogels for Controlling the in Vivo Release of Bupivacaine Hydrochloride. Int. J. Pharm. 2022, 621, 121786. [Google Scholar] [CrossRef]
- Wang, Q.; Sun, C.; Xu, B.; Tu, J.; Shen, Y. Synthesis, Physicochemical Properties and Ocular Pharmacokinetics of Thermosensitive in Situ Hydrogels for Ganciclovir in Cytomegalovirus Retinitis Treatment. Drug Deliv. 2018, 25, 59–69. [Google Scholar] [CrossRef] [PubMed]
- Alinejad, Y.; Adoungotchodo, A.; Hui, E.; Zehtabi, F.; Lerouge, S. An Injectable Chitosan/Chondroitin Sulfate Hydrogel with Tunable Mechanical Properties for Cell Therapy/Tissue Engineering. Int. J. Biol. Macromol. 2018, 113, 132–141. [Google Scholar] [CrossRef] [PubMed]
- Gogoi, R.; Manik, G.; Sahoo, S.K. 10—Viscoelastic Behavior of Elastomer Blends and Composites. In Elastomer Blends and Composites; Rangappa, S.M., Parameswaranpillai, J., Siengchin, S., Ozbakkaloglu, T., Eds.; Elsevier: Amsterdam, The Netherlands, 2022; pp. 171–194. ISBN 978-0-323-85832-8. [Google Scholar]
- Sabbagh, F.; Muhamad, I.I.; Niazmand, R.; Dikshit, P.K.; Kim, B.S. Recent Progress in Polymeric Non-Invasive Insulin Delivery. Int. J. Biol. Macromol. 2022, 203, 222–243. [Google Scholar] [CrossRef] [PubMed]














Disclaimer/Publisher’s Note: The statements, opinions and data contained in all publications are solely those of the individual author(s) and contributor(s) and not of MDPI and/or the editor(s). MDPI and/or the editor(s) disclaim responsibility for any injury to people or property resulting from any ideas, methods, instructions or products referred to in the content. |
© 2023 by the authors. Licensee MDPI, Basel, Switzerland. This article is an open access article distributed under the terms and conditions of the Creative Commons Attribution (CC BY) license (https://creativecommons.org/licenses/by/4.0/).
Share and Cite
Mansoor, S.; Adeyemi, S.A.; Kondiah, P.P.D.; Choonara, Y.E. A Closed Loop Stimuli-Responsive Concanavalin A-Loaded Chitosan–Pluronic Hydrogel for Glucose-Responsive Delivery of Short-Acting Insulin Prototyped in RIN-5F Pancreatic Cells. Biomedicines 2023, 11, 2545. https://doi.org/10.3390/biomedicines11092545
Mansoor S, Adeyemi SA, Kondiah PPD, Choonara YE. A Closed Loop Stimuli-Responsive Concanavalin A-Loaded Chitosan–Pluronic Hydrogel for Glucose-Responsive Delivery of Short-Acting Insulin Prototyped in RIN-5F Pancreatic Cells. Biomedicines. 2023; 11(9):2545. https://doi.org/10.3390/biomedicines11092545
Chicago/Turabian StyleMansoor, Shazia, Samson A. Adeyemi, Pierre P. D. Kondiah, and Yahya E. Choonara. 2023. "A Closed Loop Stimuli-Responsive Concanavalin A-Loaded Chitosan–Pluronic Hydrogel for Glucose-Responsive Delivery of Short-Acting Insulin Prototyped in RIN-5F Pancreatic Cells" Biomedicines 11, no. 9: 2545. https://doi.org/10.3390/biomedicines11092545
APA StyleMansoor, S., Adeyemi, S. A., Kondiah, P. P. D., & Choonara, Y. E. (2023). A Closed Loop Stimuli-Responsive Concanavalin A-Loaded Chitosan–Pluronic Hydrogel for Glucose-Responsive Delivery of Short-Acting Insulin Prototyped in RIN-5F Pancreatic Cells. Biomedicines, 11(9), 2545. https://doi.org/10.3390/biomedicines11092545

