Diagnostic Utility of Bronchoalveolar Lavage Flow Cytometric Leukocyte Profiling in Interstitial Lung Disease and Infection
Abstract
1. Introduction
2. Materials and Methods
2.1. Patients and Samples
2.2. BAL Leukocyte Profile Evaluated by Flow Cytometry
2.3. Statistical Analysis
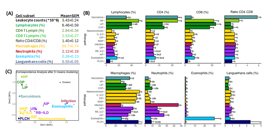
3. Results
3.1. Clinical, Biological and Therapeutic Features of the Study Cohorts
3.2. Flow Cytometry of BAL Can Identify Different Leukocyte Profiles in ILDs and Infectious Diseases
3.3. BAL Leukocyte Profiles to Orientate Lung Disease Diagnosis
3.4. Impact of BAL Leukocyte Profile in the Survival of ILD Patients
4. Discussion
5. Conclusions
Supplementary Materials
Author Contributions
Funding
Institutional Review Board Statement
Informed Consent Statement
Data Availability Statement
Acknowledgments
Conflicts of Interest
Abbreviations
| AIP | acute interstitial pneumonia |
| ANOVA | analysis of variance |
| ATS/ERS | American Thoracic Society/European Respiratory Society |
| BAL | bronchoalveolar lavage |
| COP | organized cryptogenic pneumonia |
| DIP | desquamative interstitial pneumonitis |
| ILD | interstitial lung disease |
| HP | hypersensitivity pneumonitis |
| LIP | lymphocytic interstitial pneumonia |
| LOOCV | leave-one-out cross-validation |
| NSIP | nonspecific interstitial pneumonia |
| OS | overall survival |
| PLCH | pulmonary Langerhans cell histiocytosis |
| Q3 | 75-percentile |
| RB-ILD | respiratory bronchiolitis ILD |
| ROC | receiver operating characteristic |
| SEM | standard error of the mean |
| U-ILD | unclassifiable-ILD |
| UIP | usual interstitial pneumonia |
References
- Bagnato, G.; Harari, S. Cellular Interactions in the Pathogenesis of Interstitial Lung Diseases. Eur. Respir. Rev. 2015, 24, 102–114. [Google Scholar] [CrossRef] [PubMed]
- Moss, B.J.; Ryter, S.W.; Rosas, I.O. Pathogenic Mechanisms Underlying Idiopathic Pulmonary Fibrosis. Annu. Rev. Pathol. 2022, 17, 515–546. [Google Scholar] [CrossRef] [PubMed]
- Travis, W.D.; Costabel, U.; Hansell, D.M.; King, T.E., Jr.; Lynch, D.A.; Nicholson, A.G.; Ryerson, C.J.; Ryu, J.H.; Selman, M.; Wells, A.U.; et al. An Official American Thoracic Society/European Respiratory Society Statement: Update of the International Multidisciplinary Classification of the Idiopathic Interstitial Pneumonias. Am. J. Respir. Crit. Care Med. 2013, 188, 733–748. [Google Scholar] [CrossRef] [PubMed]
- Adegunsoye, A.; Ryerson, C.J. Diagnostic Classification of Interstitial Lung Disease in Clinical Practice. Clin. Chest Med. 2021, 42, 251–261. [Google Scholar] [CrossRef]
- Duchemann, B.; Annesi-Maesano, I.; Jacobe de Naurois, C.; Sanyal, S.; Brillet, P.-Y.; Brauner, M.; Kambouchner, M.; Huynh, S.; Naccache, J.M.; Borie, R.; et al. Prevalence and Incidence of Interstitial Lung Diseases in a Multi-Ethnic County of Greater Paris. Eur. Respir. J. 2017, 50, 1602419. [Google Scholar] [CrossRef]
- Siddiqui, S.; Sharma, T.; Khurana, A.; Goyal, A.; Joshi, D.; Goel, G.; Khurana, U.; Kapoor, N. Bronchoalveolar Lavage in Diagnostic Evaluation of Pulmonary Diseases—An Institutional Experience. J. Cytol. 2023, 40, 68. [Google Scholar] [CrossRef]
- Meyer, K.C.; Raghu, G.; Baughman, R.P.; Brown, K.K.; Costabel, U.; du Bois, R.M.; Drent, M.; Haslam, P.L.; Kim, D.S.; Nagai, S.; et al. An Official American Thoracic Society Clinical Practice Guideline: The Clinical Utility of Bronchoalveolar Lavage Cellular Analysis in Interstitial Lung Disease. Am. J. Respir. Crit. Care Med. 2012, 185, 1004–1014. [Google Scholar] [CrossRef]
- D’Alessandro, M.; Bergantini, L.; Carleo, A.; Cameli, P.; Perrone, A.; Fossi, A.; Sestini, P.; Bargagli, E. Neutrophil-to-Lymphocyte Ratio in Bronchoalveolar Lavage from IPF Patients: A Novel Prognostic Biomarker? Minerva Med. 2022, 113, 526–531. [Google Scholar] [CrossRef]
- Raghu, G.; Remy-Jardin, M.; Ryerson, C.J.; Myers, J.L.; Kreuter, M.; Vasakova, M.; Bargagli, E.; Chung, J.H.; Collins, B.F.; Bendstrup, E.; et al. Diagnosis of Hypersensitivity Pneumonitis in Adults: An Official ATS/JRS/ALAT Clinical Practice Guideline. Am. J. Respir. Crit. Care Med. 2020, 202, e36–e69. [Google Scholar] [CrossRef]
- Barry, S.M.; Janossy, G. Optimal Gating Strategies for Determining Bronchoalveolar Lavage CD4/CD8 Lymphocyte Ratios by Flow Cytometry. J. Immunol. Methods 2004, 285, 15–23. [Google Scholar] [CrossRef]
- Ohshimo, S.; Bonella, F.; Guzman, J.; Costabel, U. Hypersensitivity Pneumonitis. Immunol. Allergy Clin. N. Am. 2012, 32, 537–556. [Google Scholar] [CrossRef] [PubMed]
- Oda, K.; Ishimoto, H.; Yatera, K.; Yamada, S.; Nakao, H.; Ogoshi, T.; Noguchi, S.; Yamasaki, K.; Kawanami, T.; Mukae, H. Relationship between the Ratios of CD4/CD8 T-Lymphocytes in the Bronchoalveolar Lavage Fluid and Lymph Nodes in Patients with Sarcoidosis. Respir. Investig. 2014, 52, 179–183. [Google Scholar] [CrossRef] [PubMed]
- Eidhof, H.H.M.; Gratama, J.W.; Mulder, A.H.L. Comparison of Three Methods to Stabilize Bronchoalveolar Lavage Cells for Flowcytometric Analysis. Cytometry B Clin. Cytom. 2021, 100, 377–383. [Google Scholar] [CrossRef] [PubMed]
- Allen, J.N.; Davis, W.B.; Pacht, E.R. Diagnostic Significance of Increased Bronchoalveolar Lavage Fluid Eosinophils. Am. Rev. Respir. Dis. 1990, 142, 642–647. [Google Scholar] [CrossRef]
- De Vries, J.J.V.; Chang, A.B.; Marchant, J.M. Comparison of Bronchoscopy and Bronchoalveolar Lavage Findings in Three Types of Suppurative Lung Disease. Pediatr. Pulmonol. 2018, 53, 467–474. [Google Scholar] [CrossRef]
- Sobiecka, M.; Szturmowicz, M.; Lewandowska, K.B.; Barańska, I.; Zimna, K.; Łyżwa, E.; Dybowska, M.; Langfort, R.; Radwan-Röhrenschef, P.; Roży, A.; et al. Bronchoalveolar Lavage Cell Count and Lymphocytosis Are the Important Discriminators between Fibrotic Hypersensitivity Pneumonitis and Idiopathic Pulmonary Fibrosis. Diagnostics 2023, 13, 935. [Google Scholar] [CrossRef]
- Patolia, S.; Tamae-Kakazu, M.; Chami, H.A.; Chua, A.; Diaz-Mendoza, J.; Duggal, A.; Jenkins, A.R.; Knight, S.L.; Raghu, G.; Wilson, K.C. Bronchoalveolar Lavage Lymphocytes in the Diagnosis of Hypersensitivity Pneumonitis among Patients with Interstitial Lung Disease. Ann. Am. Thorac. Soc. 2020, 17, 1455–1467. [Google Scholar] [CrossRef]
- Adderley, N.; Humphreys, C.J.; Barnes, H.; Ley, B.; Premji, Z.A.; Johannson, K.A. Bronchoalveolar Lavage Fluid Lymphocytosis in Chronic Hypersensitivity Pneumonitis: A Systematic Review and Meta-Analysis. Eur. Respir. J. 2020, 56, 2000206. [Google Scholar] [CrossRef]
- Hirasawa, Y.; Nakada, T.-A.; Shimazui, T.; Abe, M.; Isaka, Y.; Sakayori, M.; Suzuki, K.; Yoshioka, K.; Kawasaki, T.; Terada, J.; et al. Prognostic Value of Lymphocyte Counts in Bronchoalveolar Lavage Fluid in Patients with Acute Respiratory Failure: A Retrospective Cohort Study. J. Intensive Care 2021, 9, 21. [Google Scholar] [CrossRef]
- Kono, M.; Miyashita, K.; Hirama, R.; Oshima, Y.; Takeda, K.; Mochizuka, Y.; Tsutsumi, A.; Miwa, H.; Miki, Y.; Hashimoto, D.; et al. Prognostic Significance of Bronchoalveolar Lavage Cellular Analysis in Patients with Acute Exacerbation of Interstitial Lung Disease. Respir. Med. 2021, 186, 106534. [Google Scholar] [CrossRef]
- Vasco-Mogorrón, M.A.; Campillo, J.A.; Periago, A.; Cabañas, V.; Berenguer, M.; García-Garay, M.C.; Gimeno, L.; Soto-Ramírez, M.F.; Martínez-Hernández, M.D.; Muro, M.; et al. Blood-Based Risk Stratification for Pre-Malignant and Symptomatic Plasma Cell Neoplasms to Improve Patient Management. Am. J. Cancer Res. 2021, 11, 2736–2753. [Google Scholar] [PubMed]
- Van den Bosch, L.; Luppi, F.; Ferrara, G.; Mura, M. Immunomodulatory Treatment of Interstitial Lung Disease. Ther. Adv. Respir. Dis. 2022, 16, 17534666221117002. [Google Scholar] [CrossRef] [PubMed]
- Novoa-Bolivar, E.M.; Ros, J.A.; Pérez-Fernández, S.; Campillo, J.A.; López-Hernández, R.; González-López, R.; Otalora-Alcaraz, A.; Ortuño-Hernández, C.; Gimeno, L.; Ruiz-Lorente, I.; et al. Neutrophils and Lymphocytes: Yin and Yang of Lung Fibrosis and Patient Outcome in Diffuse Interstitial Lung Diseases. Biomedicines 2024, 12, 2439. [Google Scholar] [CrossRef] [PubMed]
- Novoa-Bolivar, E.M.; Ros, J.A.; Pérez-Fernández, S.; Campillo, J.A.; López-Hernández, R.; González-López, R.; Otálora-Alcaraz, A.; Ortuño-Hernández, C.; Gimeno, L.; Ruiz-Lorente, I.; et al. Predictive Value of Flow Cytometry Quantification of BAL Lymphocytes and Neutrophils in ILD. Cells 2024, 13, 2066. [Google Scholar] [CrossRef]
- Martínez-Sánchez, M.V.; Fuster, J.L.; Campillo, J.A.; Galera, A.M.; Bermúdez-Cortés, M.; Llinares, M.E.; Ramos-Elbal, E.; Pascual-Gázquez, J.F.; Fita, A.M.; Martínez-Banaclocha, H.; et al. Expression of NK Cell Receptor Ligands on Leukemic Cells Is Associated with the Outcome of Childhood Acute Leukemia. Cancers 2021, 13, 2294. [Google Scholar] [CrossRef]
- Putman, R.K.; Gudmundsson, G.; Axelsson, G.T.; Hida, T.; Honda, O.; Araki, T.; Yanagawa, M.; Nishino, M.; Miller, E.R.; Eiriksdottir, G.; et al. Imaging Patterns Are Associated with Interstitial Lung Abnormality Progression and Mortality. Am. J. Respir. Crit. Care Med. 2019, 200, 175–183. [Google Scholar] [CrossRef]
- Bratke, K.; Weise, M.; Stoll, P.; Virchow, J.C.; Lommatzsch, M. Flow Cytometry as an Alternative to Microscopy for the Differentiation of BAL Fluid Leukocytes. Chest 2024, 166, 793–801. [Google Scholar] [CrossRef]
- Shanthikumar, S.; Burton, M.; Saffery, R.; Ranganathan, S.C.; Neeland, M.R. Single-Cell Flow Cytometry Profiling of BAL in Children. Am. J. Respir. Cell Mol. Biol. 2020, 63, 152–159. [Google Scholar] [CrossRef]
- Yu, Y.-R.A.; Hotten, D.F.; Malakhau, Y.; Volker, E.; Ghio, A.J.; Noble, P.W.; Kraft, M.; Hollingsworth, J.W.; Gunn, M.D.; Tighe, R.M. Flow Cytometric Analysis of Myeloid Cells in Human Blood, Bronchoalveolar Lavage, and Lung Tissues. Am. J. Respir. Cell Mol. Biol. 2016, 54, 13–24. [Google Scholar] [CrossRef]
- Freeman, C.M.; Crudgington, S.; Stolberg, V.R.; Brown, J.P.; Sonstein, J.; E Alexis, N.; Doerschuk, C.M.; Basta, P.V.; E Carretta, E.; Couper, D.J.; et al. Design of a Multi-Center Immunophenotyping Analysis of Peripheral Blood, Sputum and Bronchoalveolar Lavage Fluid in the Subpopulations and Intermediate Outcome Measures in COPD Study (SPIROMICS). J. Transl. Med. 2015, 13, 19. [Google Scholar] [CrossRef]
- Frye, B.C.; Schupp, J.C.; Rothe, M.E.; Köhler, T.C.; Prasse, A.; Zissel, G.; Vach, W.; Müller-Quernheim, J. The Value of Bronchoalveolar Lavage for Discrimination between Healthy and Diseased Individuals. J. Intern. Med. 2020, 287, 54–65. [Google Scholar] [CrossRef] [PubMed]
- Monaghan, H.; Wells, A.U.; Colby, T.V.; du Bois, R.M.; Hansell, D.M.; Nicholson, A.G. Prognostic Implications of Histologic Patterns in Multiple Surgical Lung Biopsies from Patients with Idiopathic Interstitial Pneumonias. Chest 2004, 125, 522–526. [Google Scholar] [CrossRef] [PubMed]
- Cenariu, M.; Grewal, R.; Bumbea, H.; Sauma, D.; Tomuleasa, C. Editorial: Flow Cytometry—A Powerful Tool for Diagnosis and Therapy Monitoring in Hematology and Immunology. Front. Med. 2023, 10, 1282060. [Google Scholar] [CrossRef] [PubMed]







| Patients | Sex | Age | Fibrosis 2 | Treatments (%) 3 | ||||
|---|---|---|---|---|---|---|---|---|
| (N) 1 | (% man) | (Mean ± SD) | (%) | NT | IC | SC | Other | |
| Controlgroups | 355 | 53.2% | 61.2 ± 13.5 | - | ||||
| General population 4 | 243 | 53.1% | 67.9 ± 12.3 | - | ||||
| BAL-control 5 | 112 | 53.3% | 53.5 ± 16.6 | 0% | ||||
| Interstitial lung diseases (ILD) | 731 | 58.1% | 58.7 ± 16.4 | 38.2% | 32 | 18 | 32 | 18 |
| Sarcoidosis | 82 | 48.20% | 55.6 ± 14.8 | 19.5% | 34 | 13 | 38 | 15 |
| Hypersensitivity pneumonitis (HP) | 48 | 49.0% | 50.4 ± 17.6 | 29.1% | 13 | 28 | 46 | 13 |
| Organized cryptogenic pneumonia (COP) | 44 | 46.50% | 62.3 ± 17.4 | 18.1% | 18 | 9 | 52 | 21 |
| Lymphocytic interstitial pneumonia (LIP) | 37 | 69.20% | 53.2 ± 15.9 | 8.1% | 49 | 11 | 24 | 16 |
| Usual interstitial pneumonia (UIP) 6 | 145 | 71.70% | 65.8 ± 12.3 | 100% | 25 | 21 | 35 | 19 |
| Respiratory bronchiolitis ILD (RB-ILD) | 25 | 40.0% | 53.3 ± 22.8 | 8.0% | 36 | 20 | 36 | 8 |
| Desquamative interstitial pneumonitis (DIP) | 35 | 52.8% | 54.4 ± 20.8 | 5.7% | 46 | 14 | 23 | 17 |
| Nonspecific interstitial pneumonia (NSIP) 7 | 156 | 48.1% | 59.3 ± 15.5 | 33.9% | 31 | 11 | 28 | 30 |
| Pneumoconiosis | 27 | 96.3% | 56.5 ± 16.0 | 18.5% | 42 | 31 | 23 | 4 |
| Pulmonary Langerhans cell histiocytosis (PLCH) | 9 | 66.7% | 36.7 ± 15.8 | 11.1% | 67 | 11 | 11 | 11 |
| Eosinophilic ILD | 17 | 80.0% | 48.4 ± 22.7 | 5.9% | 0 | 18 | 76 | 6 |
| Unclassifiable ILD (U-ILD) | 80 | 60.0% | 61.3 ± 12.4 | 25.0% | 49 | 26 | 15 | 10 |
| Acute interstitial pneumonia (AIP) | 26 | 56.0% | 57.5 ± 21.9 | 15.3% | 29 | 35 | 24 | 12 |
| Pulmonary infectious diseases | 231 | 59.0% | 62.1 ± 15.6 | 15.1% | 27 | 33 | 22 | 18 |
Disclaimer/Publisher’s Note: The statements, opinions and data contained in all publications are solely those of the individual author(s) and contributor(s) and not of MDPI and/or the editor(s). MDPI and/or the editor(s) disclaim responsibility for any injury to people or property resulting from any ideas, methods, instructions or products referred to in the content. |
© 2025 by the authors. Licensee MDPI, Basel, Switzerland. This article is an open access article distributed under the terms and conditions of the Creative Commons Attribution (CC BY) license (https://creativecommons.org/licenses/by/4.0/).
Share and Cite
Novoa-Bolivar, E.M.; Ros, J.A.; Pérez-Fernández, S.; Campillo, J.A.; López-Hernández, R.; González-López, R.; Ruiz-Lorente, I.; Otálora-Alcaraz, A.; Ortuño-Hernández, C.; Gimeno, L.; et al. Diagnostic Utility of Bronchoalveolar Lavage Flow Cytometric Leukocyte Profiling in Interstitial Lung Disease and Infection. Biomolecules 2025, 15, 597. https://doi.org/10.3390/biom15040597
Novoa-Bolivar EM, Ros JA, Pérez-Fernández S, Campillo JA, López-Hernández R, González-López R, Ruiz-Lorente I, Otálora-Alcaraz A, Ortuño-Hernández C, Gimeno L, et al. Diagnostic Utility of Bronchoalveolar Lavage Flow Cytometric Leukocyte Profiling in Interstitial Lung Disease and Infection. Biomolecules. 2025; 15(4):597. https://doi.org/10.3390/biom15040597
Chicago/Turabian StyleNovoa-Bolivar, Erika M., José A. Ros, Sonia Pérez-Fernández, José A. Campillo, Ruth López-Hernández, Rosana González-López, Inmaculada Ruiz-Lorente, Almudena Otálora-Alcaraz, Cristina Ortuño-Hernández, Lourdes Gimeno, and et al. 2025. "Diagnostic Utility of Bronchoalveolar Lavage Flow Cytometric Leukocyte Profiling in Interstitial Lung Disease and Infection" Biomolecules 15, no. 4: 597. https://doi.org/10.3390/biom15040597
APA StyleNovoa-Bolivar, E. M., Ros, J. A., Pérez-Fernández, S., Campillo, J. A., López-Hernández, R., González-López, R., Ruiz-Lorente, I., Otálora-Alcaraz, A., Ortuño-Hernández, C., Gimeno, L., Ceballos-Francisco, D., Muro, M., Solana-Martínez, E., Martínez-Camblor, P., & Minguela, A. (2025). Diagnostic Utility of Bronchoalveolar Lavage Flow Cytometric Leukocyte Profiling in Interstitial Lung Disease and Infection. Biomolecules, 15(4), 597. https://doi.org/10.3390/biom15040597

