Steroids and Malignancy Increase Local Heparanase and Decrease Markers of Osteoblast Activity in Bone Tissue Microcirculation
Abstract
1. Introduction
2. Materials and Methods
2.1. Reagents and Antibodies
2.2. Study Group
2.3. Mouse Model
2.4. MSCs Isolation and Osteoblasts Differentiation
2.5. Alkaline Phosphatase (ALKP) Staining for Detection of Osteoblasts
2.6. Cell Cultures
2.7. Cell Lysis
2.8. Immunostaining
2.9. Heparanase Enzyme-Linked Immunosorbent Assay (ELISA)
2.10. Statistical Analysis
3. Results
3.1. Dexacort or Medium of Malignant Cells Increased Heparanase Expression and Reduced ALKP in Osteoblast Cells
3.2. Heparanase Expression Was Increased and ALKP Levels Decreased in Osteoblast Cells When Incubated with the Heparanase Procoagulant Peptide 16AC
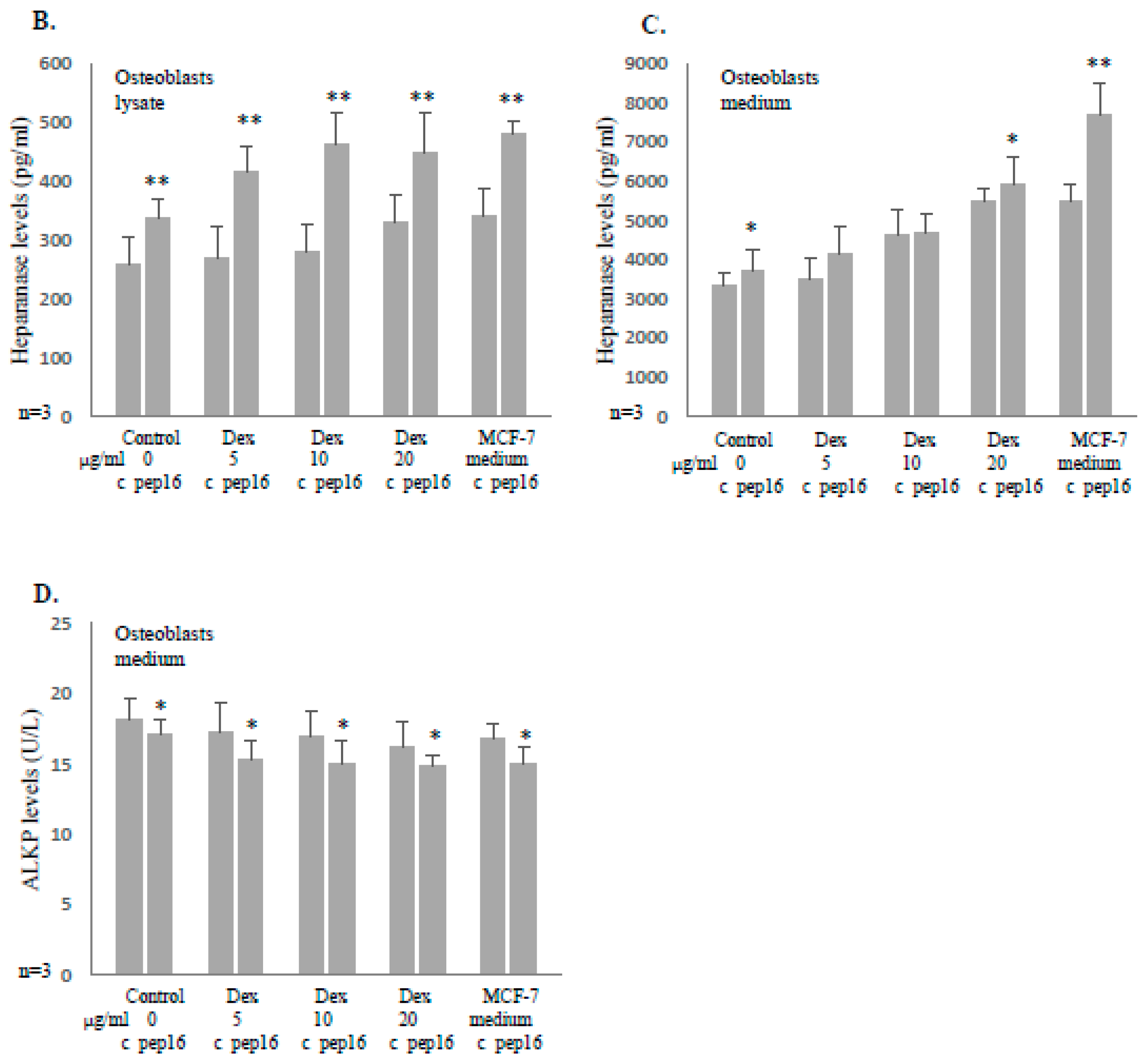
3.3. Heparanase Inhibitory Peptide 6 Attenuates the Increase of Heparanase and Reduction of ALKP Induced by Dexacort and Medium from Malignant Cells in Osteoblast Cells
3.4. Peptide 6 Reduces Heparanase Level and Increases ALKP Level Induced by Dexacort in HUVECs
3.5. Dexacort Increases Levels of Coagulation Parameters and Decreases Markers of Osteoblasts Activity in Mice Bone Tissue Microcirculation
3.6. Malignancy, Steroids, and Inflammation Induce Coagulation Activation in Human Bone Microcirculation
4. Discussion
5. Conclusions
Author Contributions
Funding
Institutional Review Board Statement
Informed Consent Statement
Data Availability Statement
Conflicts of Interest
References
- McCarthy, I. The physiology of bone blood flow: A review. J. Bone Jt. Surg. Am. 2006, 88 (Suppl. S3), 4–9. [Google Scholar] [CrossRef]
- Marenzana, M.; Arnett, T.R. The Key Role of the Blood Supply to Bone. Bone Res. 2013, 1, 203–215. [Google Scholar] [CrossRef]
- Del Fattore, A.; Capannolo, M.; Rucci, N. Bone and bone marrow: The same organ. Arch. Biochem. Biophys. 2010, 503, 28–34. [Google Scholar] [CrossRef] [PubMed]
- Feingold, K.R.; Anawalt, B.; Blackman, M.R.; Boyce, A.; Chrousos, G.; Corpas, E.; de Herder, W.W.; Dhatariya, K.; Dungan, K.; Hofland, J.; et al. (Eds.) An Overview of Glucocorticoid-Induced Osteoporosis. In Endotext; MDText.com, Inc.: South Dartmouth, MA, USA, 2000. [Google Scholar]
- Legakis, I.; Syrigos, K. Osteoporosis in patients with breast and prostate cancer: Effect of disease and treatment modalities. Endocr. Metab. Immune Disord. Drug Targets 2013, 13, 168–174. [Google Scholar] [CrossRef] [PubMed]
- Nadir, Y.; Brenner, B. Cancer and Thrombosis-New Insights. Rambam Maimonides Med. J. 2018, 9, e0033. [Google Scholar] [CrossRef] [PubMed]
- Freeman, C.; Parish, C.R. Human platelet heparanase: Purification, characterization and catalytic activity. Biochem. J. 1998, 330 Pt 3, 1341–1350. [Google Scholar] [CrossRef]
- Pikas, D.S.; Li, J.P.; Vlodavsky, I.; Lindahl, U. Substrate specificity of heparanases from human hepatoma and platelets. J. Biol. Chem. 1998, 273, 18770–18777. [Google Scholar] [CrossRef]
- Vlodavsky, I.; Kayal, Y.; Hilwi, M.; Soboh, S.; Sanderson, R.D.; Ilan, N. Heparanase—A single protein with multiple enzymatic and nonenzymatic functions. Proteoglycan Res. 2023, 1, e6. [Google Scholar] [CrossRef] [PubMed]
- Parish, C.R.; Freeman, C.; Hulett, M.D. Heparanase: A key enzyme involved in cell invasion. Biochim. Biophys. Acta 2001, 1471, M99–M108. [Google Scholar] [CrossRef]
- Vlodavsky, I.; Friedmann, Y. Molecular properties and involvement of heparanase in cancer metastasis and angiogenesis. J. Clin. Investig. 2001, 108, 341–347. [Google Scholar] [CrossRef] [PubMed]
- Yang, Y.; Yuan, F.; Zhou, H.; Quan, J.; Liu, C.; Wang, Y.; Xiao, F.; Liu, Q.; Liu, J.; Zhang, Y.; et al. Potential roles of heparanase in cancer therapy: Current trends and future direction. J. Cell. Physiol. 2023, 238, 896–917. [Google Scholar] [CrossRef]
- Lebsir, N.; Zoulim, F.; Grigorov, B. Heparanase-1: From Cancer Biology to a Future Antiviral Target. Viruses 2023, 15, 237. [Google Scholar] [CrossRef]
- Nadir, Y.; Brenner, B.; Zetser, A.; Ilan, N.; Shafat, I.; Zcharia, E.; Goldshmidt, O.; Vlodavsky, I. Heparanase induces tissue factor expression in vascular endothelial and cancer cells. J. Thromb. Haemost. 2006, 4, 2443–2451. [Google Scholar] [CrossRef]
- Nadir, Y.; Brenner, B.; Fux, L.; Shafat, I.; Attias, J.; Vlodavsky, I. Heparanase enhances the generation of activated factor X in the presence of tissue factor and activated factor VII. Haematologica 2010, 95, 1927–1934. [Google Scholar] [CrossRef]
- Cao, J.; Chen, Y. The impact of vascular endothelial glycocalyx on the pathogenesis and treatment of disseminated intravascular coagulation. Blood Coagul. Fibrinolysis 2023, 34, 465–470. [Google Scholar] [CrossRef]
- Capozzi, A.; Riitano, G.; Recalchi, S.; Manganelli, V.; Costi, R.; Saccoliti, F.; Pulcinelli, F.; Garofalo, T.; Misasi, R.; Longo, A.; et al. Effect of heparanase inhibitor on tissue factor overexpression in platelets and endothelial cells induced by anti-beta2-GPI antibodies. J. Thromb. Haemost. 2021, 19, 2302–2313. [Google Scholar] [CrossRef] [PubMed]
- Ziliotto, N.; Meneghetti, S.; Menegatti, E.; Baroni, M.; Lunghi, B.; Salvi, F.; Ferracin, M.; Branchini, A.; Gemmati, D.; Mascoli, F.; et al. Expression profiles of the internal jugular and saphenous veins: Focus on hemostasis genes. Thromb. Res. 2020, 191, 113–124. [Google Scholar] [CrossRef]
- Hu, Y.; Yu, Y.; Bu, Z.; Cun, B.; Gong, Y.; Li, D.; Li, J.; Lu, L.; Li, G.; Yuan, L. Increased Systemic Heparanase in Retinal Vein Occlusion Is Associated with Activation of Inflammation and Thrombophilia. Retina 2020, 40, 345–349. [Google Scholar] [CrossRef]
- Gurbuz, A.S.; Ozturk, S.; Efe, S.C.; Yilmaz, M.F.; Yanik, R.E.; Yaman, A.; Kirma, C. Serum Heparanase Level Is Decreased in Stable Coronary Artery Disease. Med. Princ. Pract. 2019, 28, 573–580. [Google Scholar] [CrossRef]
- Gurbuz, A.S.; Ozturk, S.; Efe, S.C.; Yilmaz, M.F.; Yanik, R.E.; Yaman, A.; Kirma, C. Heparanase is a predictive marker for high thrombus burden in patients with ST-segment elevation myocardial infarction. Biomarkers 2019, 24, 600–606. [Google Scholar] [CrossRef]
- Bohdan, N.; Espin, S.; Aguila, S.; Teruel-Montoya, R.; Vicente, V.; Corral, J.; Martinez-Martinez, I. Heparanase Activates Antithrombin through the Binding to Its Heparin Binding Site. PLoS ONE 2016, 11, e0157834. [Google Scholar] [CrossRef] [PubMed]
- Nadir, Y. Decreasing Tumor Growth and Angiogenesis by Inhibition of Coagulation. Semin. Thromb. Hemost. 2019, 45, 622–628. [Google Scholar] [CrossRef] [PubMed]
- Axelman, E.; Henig, I.; Crispel, Y.; Attias, J.; Li, J.P.; Brenner, B.; Vlodavsky, I.; Nadir, Y. Novel peptides that inhibit heparanase activation of the coagulation system. Thromb. Haemost. 2014, 112, 466–477. [Google Scholar] [CrossRef] [PubMed]
- Crispel, Y.; Ghanem, S.; Attias, J.; Kogan, I.; Brenner, B.; Nadir, Y. Involvement of the heparanase procoagulant domain in bleeding and wound healing. J. Thromb. Haemost. 2017, 15, 1463–1472. [Google Scholar] [CrossRef] [PubMed]
- Ghanem, S.; Keren-Politansky, A.; Kaplan, V.; Crispel, Y.; Nadir, Y. Tissue factor-heparanase complex: Intracellular nonhemostatic effects. Res. Pract. Thromb. Haemost. 2023, 7, 102179. [Google Scholar] [CrossRef] [PubMed]
- Zetser, A.; Levy-Adam, F.; Kaplan, V.; Gingis-Velitski, S.; Bashenko, Y.; Schubert, S.; Flugelman, M.Y.; Vlodavsky, I.; Ilan, N. Processing and activation of latent heparanase occurs in lysosomes. J. Cell. Sci. 2004, 117, 2249–2258. [Google Scholar] [CrossRef] [PubMed]
- Shafat, I.; Zcharia, E.; Nisman, B.; Nadir, Y.; Nakhoul, F.; Vlodavsky, I.; Ilan, N. An ELISA method for the detection and quantification of human heparanase. Biochem. Biophys. Res. Commun. 2006, 341, 958–963. [Google Scholar] [CrossRef] [PubMed][Green Version]
- Reiland, J.; Sanderson, R.D.; Waguespack, M.; Barker, S.A.; Long, R.; Carson, D.D.; Marchetti, D. Heparanase degrades syndecan-1 and perlecan heparan sulfate: Functional implications for tumor cell invasion. J. Biol. Chem. 2004, 279, 8047–8055. [Google Scholar] [CrossRef]
- Huang, X.; Reye, G.; Momot, K.I.; Blick, T.; Lloyd, T.; Tilley, W.D.; Hickey, T.E.; Snell, C.E.; Okolicsanyi, R.K.; Haupt, L.M.; et al. Heparanase Promotes Syndecan-1 Expression to Mediate Fibrillar Collagen and Mammographic Density in Human Breast Tissue Cultured ex vivo. Front. Cell Dev. Biol. 2020, 8, 599. [Google Scholar] [CrossRef] [PubMed]
- Vlodavsky, I.; Abboud-Jarrous, G.; Elkin, M.; Naggi, A.; Casu, B.; Sasisekharan, R.; Ilan, N. The impact of heparanese and heparin on cancer metastasis and angiogenesis. Pathophysiol. Haemost. Thromb. 2006, 35, 116–127. [Google Scholar] [CrossRef]
- Peled, E.; Davis, M.; Axelman, E.; Norman, D.; Nadir, Y. Heparanase role in the treatment of avascular necrosis of femur head. Thromb. Res. 2013, 131, 94–98. [Google Scholar] [CrossRef] [PubMed]
- Majoor, C.J.; Sneeboer, M.M.S.; De Kievit, A.; Meijers, J.C.M.; Van der Poll, T.; Lutter, R.; Bel, E.H.; Kamphuisen, P.W. The influence of corticosteroids on hemostasis in healthy subjects. J. Thromb. Haemost. 2016, 14, 716–723. [Google Scholar] [CrossRef] [PubMed]
- Tatour, M.; Shapira, M.A.; Axelman, E.; Ghanem, S.; Keren-Politansky, A.; Bonstein, L.; Brenner, B.; Nadir, Y. Thrombin is a selective inducer of heparanase release from platelets and granulocytes via protease-activated receptor-1. Thromb. Haemost. 2017, 117, 1391–1401. [Google Scholar] [CrossRef]
- Kram, V.; Zcharia, E.; Yacoby-Zeevi, O.; Metzger, S.; Chajek-Shaul, T.; Gabet, Y.; Müller, R.; Vlodavsky, I.; Bab, I. Heparanase is expressed in osteoblastic cells and stimulates bone formation and bone mass. J. Cell. Physiol. 2006, 207, 784–792. [Google Scholar] [CrossRef]
- Chiu, P.Y.; HuangFu, W.C.; Liu, I.H.; Chang, Y.P. Topical application of Heparanase-1 facilitates bone remodeling during the healing of bone defects in a mouse model. J. Chin. Med. Assoc. 2020, 83, 272–279. [Google Scholar] [CrossRef]
- Filipowska, J.; Tomaszewski, K.A.; Niedzwiedzki, L.; Walocha, J.A.; Niedzwiedzki, T. The role of vasculature in bone development, regeneration and proper systemic functioning. Angiogenesis 2017, 20, 291–302. [Google Scholar] [CrossRef]
- Lee, D.Y.; Cho, T.J.; Kim, J.A.; Lee, H.R.; Yoo, W.J.; Chung, C.Y.; Choi, I.H. Mobilization of endothelial progenitor cells in fracture healing and distraction osteogenesis. Bone 2008, 42, 932–941. [Google Scholar] [CrossRef] [PubMed]
- Zhao, Q.; Shen, X.; Zhang, W.; Zhu, G.; Qi, J.; Deng, L. Mice with increased angiogenesis and osteogenesis due to conditional activation of HIF pathway in osteoblasts are protected from ovariectomy induced bone loss. Bone 2012, 50, 763–770. [Google Scholar] [CrossRef]
- Oikawa, A.; Siragusa, M.; Quaini, F.; Mangialardi, G.; Katare, R.G.; Caporali, A.; van Buul, J.D.; van Alphen, F.P.J.; Graiani, G.; Spinetti, G.; et al. Diabetes mellitus induces bone marrow microangiopathy. Arter. Thromb. Vasc. Biol. 2010, 30, 498–508. [Google Scholar] [CrossRef]













| Control n = 10 | Metastasis n = 10 | AVN n = 10 | Osteoarthritis n = 10 | p Value | |
|---|---|---|---|---|---|
| Female gender | 5/10 | 4/10 | 5/10 | 6/10 | 0.7 |
| Age, years (median ± SD) | 66 (14) | 68 (12) | 67 (17) | 66 (15) | 0.5 |
| Concomitant diseases Diabetic mellitus type 2 Ischemic heart disease Hypertension Malignancy Acetyl salicylic acid use Acetyl salicylic acid and clopidogrel use | 5/10 4/10 4/10 NA 4/10 1/10 | 4/10 3/10 6/10 NA 4/10 0/10 | 6/10 4/10 5/10 0/10 5/10 2/10 | 6/10 3/10 4/10 0/10 4/10 1/10 | 0.7 0.7 0.8 0.6 0.7 0.8 |
Disclaimer/Publisher’s Note: The statements, opinions and data contained in all publications are solely those of the individual author(s) and contributor(s) and not of MDPI and/or the editor(s). MDPI and/or the editor(s) disclaim responsibility for any injury to people or property resulting from any ideas, methods, instructions or products referred to in the content. |
© 2024 by the authors. Licensee MDPI, Basel, Switzerland. This article is an open access article distributed under the terms and conditions of the Creative Commons Attribution (CC BY) license (https://creativecommons.org/licenses/by/4.0/).
Share and Cite
Asayag, K.; Peled, E.; Assalia, M.; Crispel, Y.; Yanovich, C.; Cohen, H.; Keren-Politansky, A.; Nadir, Y. Steroids and Malignancy Increase Local Heparanase and Decrease Markers of Osteoblast Activity in Bone Tissue Microcirculation. Biomolecules 2024, 14, 1506. https://doi.org/10.3390/biom14121506
Asayag K, Peled E, Assalia M, Crispel Y, Yanovich C, Cohen H, Keren-Politansky A, Nadir Y. Steroids and Malignancy Increase Local Heparanase and Decrease Markers of Osteoblast Activity in Bone Tissue Microcirculation. Biomolecules. 2024; 14(12):1506. https://doi.org/10.3390/biom14121506
Chicago/Turabian StyleAsayag, Keren, Eli Peled, Mai Assalia, Yonatan Crispel, Chen Yanovich, Haim Cohen, Anat Keren-Politansky, and Yona Nadir. 2024. "Steroids and Malignancy Increase Local Heparanase and Decrease Markers of Osteoblast Activity in Bone Tissue Microcirculation" Biomolecules 14, no. 12: 1506. https://doi.org/10.3390/biom14121506
APA StyleAsayag, K., Peled, E., Assalia, M., Crispel, Y., Yanovich, C., Cohen, H., Keren-Politansky, A., & Nadir, Y. (2024). Steroids and Malignancy Increase Local Heparanase and Decrease Markers of Osteoblast Activity in Bone Tissue Microcirculation. Biomolecules, 14(12), 1506. https://doi.org/10.3390/biom14121506

