Effects of Litter Size and Parity on Farrowing Duration of Landrace × Yorkshire Sows
Abstract
:Simple Summary
Abstract
1. Introduction
2. Material and Methods
2.1. Animals
2.2. Measurements
2.3. Statistical Analysis
3. Results
3.1. Effects of Litter Size on Farrowing Duration
3.2. Effects of Parity on Farrowing Duration and Litter Size
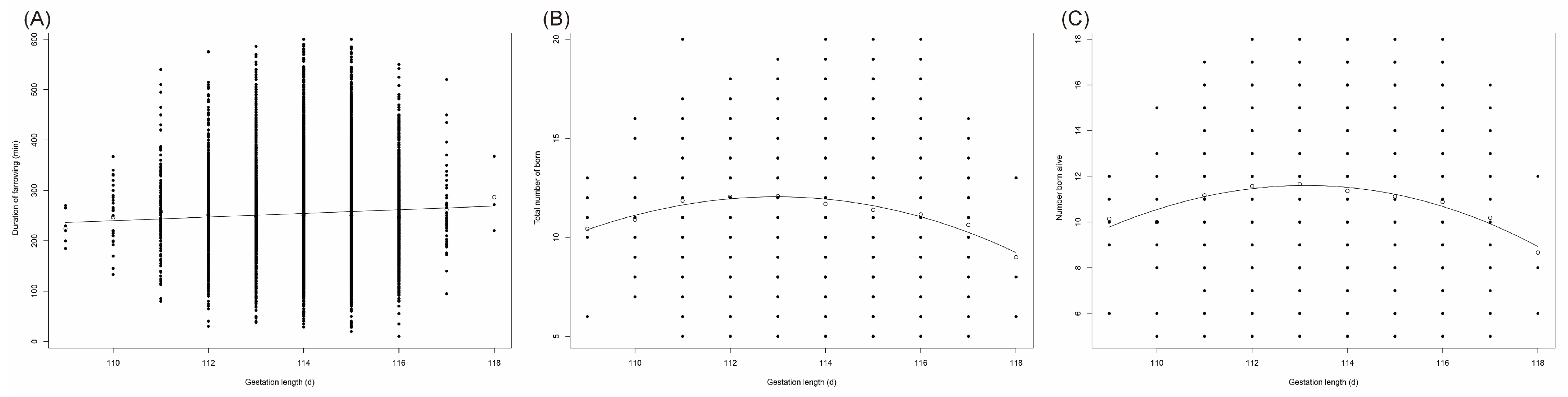
3.3. Effect Gestation Length on Farrowing Duration and Litter Size
4. Discussion
5. Conclusions
Supplementary Materials
Author Contributions
Funding
Institutional Review Board Statement
Data Availability Statement
Conflicts of Interest
References
- Wülbers-Mindermann, M.; Algers, B.; Berg, C.; Lundeheim, N.; Sigvardsson, J. Primiparous and multiparous maternal ability in sows in relation to indoor and outdoor farrowing systems. Livest. Prod. Sci. 2002, 73, 285–297. [Google Scholar] [CrossRef]
- Vanderhaeghe, C.; Dewulf, J.; De Vliegher, S.; Papadopoulos, G.A.; de Kruif, A.; Maes, D. Longitudinal field study to assess sow level risk factors associated with stillborn piglets. Anim. Reprod. Sci. 2010, 120, 78–83. [Google Scholar] [CrossRef]
- Vanderhaeghe, C.; Dewulf, J.; de Kruif, A.; Maes, D. Non-infectious factors associated with stillbirth in pigs: A review. Anim. Reprod. Sci. 2013, 139, 76–88. [Google Scholar] [CrossRef]
- Schild, S.A.; Foldager, L.; Rangstrup-Christensen, L.; Pedersen, L.J. Characteristics of Piglets Born by Two Highly Prolific Sow Hybrids. Front. Vet. Sci. 2020, 7, 355. [Google Scholar] [CrossRef] [PubMed]
- Rutherford, K.M.D.; Baxter, E.M.; D’Eath, R.B.; Turner, S.P.; Arnott, G.; Roehe, R.; Ask, B.; Sandøe, P.; Moustsen, V.A.; Thorup, F.; et al. The welfare implications of large litter size in the domestic pig I: Biological factors. Anim. Welf. 2013, 22, 199–218. [Google Scholar] [CrossRef]
- van Dijk, A.J.; van Rens, B.T.; van der Lende, T.; Taverne, M.A. Factors affecting duration of the expulsive stage of parturition and piglet birth intervals in sows with uncomplicated, spontaneous farrowings. Theriogenology 2005, 64, 1573–1590. [Google Scholar] [CrossRef] [PubMed]
- Oliviero, C.; Kothe, S.; Heinonen, M.; Valros, A.; Peltoniemi, O. Prolonged duration of farrowing is associated with subsequent decreased fertility in sows. Theriogenology 2013, 79, 1095–1099. [Google Scholar] [CrossRef]
- Tummaruk, P.; Pearodwong, P. Postparturient disorders and backfat loss in tropical sows associated with parity, farrowing duration and type of antibiotic. Trop. Anim. Health Prod. 2015, 47, 1457–1464. [Google Scholar] [CrossRef]
- van Rens, B.T.; van der Lende, T. Parturition in gilts: Duration of farrowing, birth intervals and placenta expulsion in relation to maternal, piglet and placental traits. Theriogenology 2004, 62, 331–352. [Google Scholar] [CrossRef]
- Mainau, E.; Dalmau, A.; Ruiz-de-la-Torre, J.L.; Manteca, X. A behavioural scale to measure ease of farrowing in sows. Theriogenology 2010, 74, 1279–1287. [Google Scholar] [CrossRef]
- Oliviero, C.; Heinonen, M.; Valros, A.; Halli, O.; Peltoniemi, O.A. Effect of the environment on the physiology of the sow during late pregnancy, farrowing and early lactation. Anim. Reprod. Sci. 2008, 105, 365–377. [Google Scholar] [CrossRef] [PubMed]
- Oliviero, C.; Heinonen, M.; Valros, A.; Peltoniemi, O. Environmental and sow-related factors affecting the duration of farrowing. Anim. Reprod. Sci. 2010, 119, 85–91. [Google Scholar] [CrossRef] [PubMed]
- Anthony, T.R.; Altmaier, R.; Jones, S.; Gassman, R.; Park, J.H.; Peters, T.M. Use of Recirculating Ventilation With Dust Filtration to Improve Wintertime Air Quality in a Swine Farrowing Room. J. Occup. Environ. Hyg. 2015, 12, 635–646. [Google Scholar] [CrossRef] [Green Version]
- Muns, R.; Malmkvist, J.; Larsen, M.L.V.; Sørensen, D.; Pedersen, L.J. High environmental temperature around farrowing induced heat stress in crated sows. J. Anim. Sci. 2016, 94, 377–384. [Google Scholar] [CrossRef] [PubMed] [Green Version]
- Bjorkman, S.; Oliviero, C.; Kauffold, J.; Soede, N.M.; Peltoniemi, O.A.T. Prolonged parturition and impaired placenta expulsion increase the risk of postpartum metritis and delay uterine involution in sows. Theriogenology 2018, 106, 87–92. [Google Scholar] [CrossRef] [PubMed]
- Jiarpinitnun, P.; Loyawatananan, S.; Sangratkanjanasin, P.; Kompong, K.; Nuntapaitoon, M.; Muns, R.; De Rensis, F.; Tummaruk, P. Administration of carbetocin after the first piglet was born reduced farrowing duration but compromised colostrum intake in newborn piglets. Theriogenology 2019, 128, 23–30. [Google Scholar] [CrossRef] [PubMed]
- Oliviero, C.; Junnikkala, S.; Peltoniemi, O. The challenge of large litters on the immune system of the sow and the piglets. Reprod. Domest. Anim. 2019, 54 (Suppl. 3), 12–21. [Google Scholar] [CrossRef] [Green Version]
- Bjorkman, S.; Oliviero, C.; Rajala-Schultz, P.J.; Soede, N.M.; Peltoniemi, O.A.T. The effect of litter size, parity and farrowing duration on placenta expulsion and retention in sows. Theriogenology 2017, 92, 36–44. [Google Scholar] [CrossRef]
- Gourley, K.M.; Swanson, A.J.; Royall, R.Q.; DeRouchey, J.M.; Tokach, M.D.; Dritz, S.S.; Goodband, R.D.; Hastad, C.W.; Woodworth, J.C. Effects of timing and size of meals prior to farrowing on sow and litter performance. Transl. Anim. Sci. 2020, 4, txaa066. [Google Scholar] [CrossRef]
- Langendijk, P.; Plush, K. Parturition and Its Relationship with Stillbirths and Asphyxiated Piglets. Animals 2019, 9, 885. [Google Scholar] [CrossRef] [Green Version]
- Feyera, T.; Pedersen, T.F.; Krogh, U.; Foldager, L.; Theil, P.K. Impact of sow energy status during farrowing on farrowing kinetics, frequency of stillborn piglets, and farrowing assistance. J. Anim. Sci. 2018, 96, 2320–2331. [Google Scholar] [CrossRef] [PubMed] [Green Version]
- Luise, D.; Picone, G.; Balzani, A.; Capozzi, F.; Bertocchi, M.; Salvarani, C.; Bosi, P.; Edwards, S.; Trevisi, P. Investigation of the Defatted Colostrum (1)H-NMR Metabolomics Profile of Gilts and Multiparous Sows and Its Relationship with Litter Performance. Animals 2020, 10, 154. [Google Scholar] [CrossRef] [PubMed] [Green Version]
- Tummaruk, P.; Sang-Gassanee, K. Effect of farrowing duration, parity number and the type of anti-inflammatory drug on postparturient disorders in sows: A clinical study. Trop. Anim. Health Prod. 2013, 45, 1071–1077. [Google Scholar] [CrossRef] [PubMed]
- Che, L.; Hu, L.; Wu, C.; Xu, Q.; Zhou, Q.; Peng, X.; Fang, Z.; Lin, Y.; Xu, S.; Feng, B.; et al. Effects of increased energy and amino acid intake in late gestation on reproductive performance, milk composition, metabolic, and redox status of sows1. J. Anim. Sci. 2019, 97, 2914–2926. [Google Scholar] [CrossRef] [PubMed]
- Gu, X.; Chen, J.; Li, H.; Song, Z.; Chang, L.; He, X.; Fan, Z. Isomaltooligosaccharide and Bacillus regulate the duration of farrowing and weaning-estrous interval in sows during the perinatal period by changing the gut microbiota of sows. Anim. Nutr. 2021, 7, 72–83. [Google Scholar] [CrossRef]



| Stage | Age (Day) | Vaccine |
|---|---|---|
| Piglets | 1 | Swine Pseudorabies Vaccine (Intranasal drop) |
| 7 | Swine Mycoplasma Hyopneumoniae Vaccine | |
| 10 | Swine Atrophic Rhinitis Vaccine | |
| 12 | Highly Pathogenic Porcine Reproductive and Respiratory Syndrome Vaccine | |
| 22 | Classical Swine Fever Vaccine | |
| 52 | Swine Pseudorabies Vaccine | |
| 59 | Swine Foot and Mouth Disease (Type O) vaccine | |
| 66 | Classical Swine Fever Vaccine | |
| Gilts | 150 | Porcine Parvovirus Disease Vaccine and Swine Epidemic Encephalitis Vaccine |
| 157 | Classical Swine Fever Vaccine | |
| 164 | Swine Pseudorabies Vaccine | |
| 171 | Swine Foot and Mouth Disease (Type O) vaccine | |
| 178 | Porcine Cirovirus Type 2 Vaccine | |
| 185 | Porcine Parvovirus Disease Vaccine and Swine Epidemic Encephalitis Vaccine | |
| 192 | Highly Pathogenic Porcine Reproductive and Respiratory Syndrome Vaccine | |
| 199 | Swine Foot and Mouth Disease (Type O) vaccine | |
| 206 | Classical Swine Fever Vaccine | |
| 213 | Swine Pseudorabies Vaccine |
| Litter Size | Number of Litters | Farrowing Duration (min) | CV (%) 1 |
|---|---|---|---|
| Total Number of Born/Number Born Alive | |||
| 5 | 418/573 | 252.80 ± 72.75/257.49 a ± 76.8 | 28.78/29.83 |
| 6 | 673/767 | 249.43 ± 69.29/251.90 ab ± 72.61 | 27.78/28.83 |
| 7 | 889/1085 | 248.34 ± 67.93/251.96 ab ± 69.26 | 27.35/27.49 |
| 8 | 1685/1823 | 252.74 ± 69.33/253.41 ab ± 69.17 | 27.43/27.29 |
| 9 | 1809/2283 | 251.64 ± 69.86/253.47 ab ± 69.29 | 27.76/27.34 |
| 10 | 4314/4586 | 247.93 ± 66.46/249.54 ab ± 67.94 | 26.81/27.23 |
| 11 | 4443/4737 | 250.63 ± 67.27/249.68 ab ± 67.38 | 26.84/26.99 |
| 12 | 6469/6751 | 247.90 ± 65.86/248.89 ab ± 66.03 | 26.57/26.53 |
| 13 | 4643/4077 | 249.81 ± 68.08/247.19 bc ± 65.89 | 27.25/26.65 |
| 14 | 3494/2983 | 250.32 ± 66.76/248.83 ab ± 67.15 | 26.67/26.99 |
| 15 | 1882/1524 | 251.81 ± 68.67/252.00 ab ± 68.02 | 27.27/26.99 |
| 16 | 960/676 | 260.09 ± 70.51/256.62 a ± 67.61 | 27.11/26.34 |
| 17 | 326/239 | 251.65 ± 68.57/246.21 bc ± 65.05 | 27.25/26.42 |
| 18 | 177/96 | 250.82 ± 77.24/239.98 c ± 65.88 | 30.79/27.45 |
| 19 | 14/- | 270.17 ± 77.51/- | 28.69/- |
| 20 | 4/- | 274.95 ± 99.80/- | 36.30/- |
| Number of Stillborn Piglets | Number of Litters (Frequency %) | Farrowing Duration (Minute) | CV (%) 1 |
|---|---|---|---|
| 0 | 25,339 (78.69) | 247.18 c ± 66.02 | 26.71 |
| 1 | 5779 (17.95) | 256.60 bc ± 68.44 | 26.67 |
| 2 | 824 (2.56) | 279.01 abc ± 84.27 | 30.20 |
| 3 | 162 (0.50) | 287.14 abc ± 87.34 | 30.42 |
| 4 | 44 (0.14) | 309.82 ab ± 99.09 | 31.98 |
| 5 | 30 (0.09) | 283.98 abc ± 79.20 | 27.89 |
| 6 | 14 (0.04) | 319.24 a ± 153.66 | 48.13 |
| 7 | 3 (0.01) | 288.40 abc ± 194.63 | 67.49 |
| 8 | 4 (0.01) | 298.65 abc ± 114.99 | 38.50 |
| 9 | 1 (-) | 251.00 |
| Farrowing Duration (Minute) | Number of Litters (Frequency %) | Number Born Dead | Stillbirth Rates |
|---|---|---|---|
| 0–180 | 4192 (13.02) | 0.21 d ± 0.52 | 1.83% |
| >180–240 | 10,607 (32.94) | 0.23 d ± 0.54 | 1.96% |
| >240–300 | 11,621 (36.09) | 0.25 c ± 0.55 | 2.19% |
| >300–360 | 3980 (12.36) | 0.33 b ± 0.65 | 2.85% |
| >360–600 | 1800 (5.59) | 0.45 a ± 0.86 | 3.87% |
| Parities | Number of Litters | Farrowing Duration (Minute) | CV (%) 1 | TNB 2 | NBA 3 | NBD 4 |
|---|---|---|---|---|---|---|
| 1 | 89 | 212.65 d ± 61.90 | 29.12% | 10.83 c ± 2.35 | 10.59 c ± 2.34 | 0.16 c ± 0.40 |
| 2 | 6915 | 243.01 c ± 67.68 | 27.85% | 11.45 b ± 2.51 | 11.17 b ± 2.48 | 0.23 b ± 0.53 |
| 3 | 7477 | 247.23 bc ± 67.23 | 27.19% | 11.89 a ± 2.42 | 11.59 a ± 2.40 | 0.24 b ± 0.55 |
| 4 | 5078 | 250.23 bc ± 65.84 | 26.31% | 11.99 a ± 2.44 | 11.66 a ± 2.39 | 0.26 ab ± 0.60 |
| 5 | 3559 | 251.10 bc ± 67.23 | 26.79% | 11.81 a ± 2.42 | 11.51 a ± 2.39 | 0.26 ab ± 0.60 |
| 6 | 3065 | 252.01 b ± 68.35 | 27.12% | 11.52 b ± 2.34 | 11.20 b ± 2.33 | 0.26 ab ± 0.56 |
| 7 | 6018 | 260.40 a ± 68.02 | 26.12% | 11.03 c ± 2.38 | 10.65 c ± 2.34 | 0.32 a ± 0.65 |
| Parities | Duration of Farrowing (Minutes) | ||||
|---|---|---|---|---|---|
| 0–180 | >180–240 | >240–300 | >300–360 | >360–600 | |
| 1 | 129.40 b ± 34.00 | 215.62 ± 14.58 | 263.90 b ± 13.83 | 314.90 b ± 8.04 | |
| 2 | 149.21 a ± 26.81 | 213.02 ± 15.91 | 266.97 ab ± 15.91 | 326.13 a ± 16.10 | 412.68 ± 48.62 |
| 3 | 149.24 a ± 26.68 | 213.52 ± 15.84 | 267.84 a ± 15.79 | 324.58 a ± 16.41 | 420.94 ± 52.43 |
| 4 | 149.69 a ± 25.29 | 213.84 ± 15.90 | 268.00 a ± 15.73 | 325.84 a ± 16.60 | 418.98 ± 53.50 |
| 5 | 149.95 a ± 24.59 | 213.22 ± 15.84 | 268.25 a ± 16.20 | 326.44 a ± 16.14 | 414.80 ± 51.88 |
| 6 | 150.02 a ± 24.35 | 214.41 ± 16.02 | 267.67 a ± 15.94 | 325.98 a ± 16.49 | 419.70 ± 52.82 |
| 7 | 148.65 a ± 26.95 | 214.24 ± 15.99 | 268.92 a ± 16.08 | 325.78 a ± 16.66 | 414.50 ± 45.60 |
| Gestation Length (day) | Number of Litters | Farrowing Duration (min) | Total Number of Born | Number Born Alive |
|---|---|---|---|---|
| 109 | 7 | 224.23 b ± 33.09 | 10.43 ab ± 2.23 | 10.14 ab ± 2.12 |
| 110 | 37 | 246.84 ab ± 59.11 | 10.89 a ± 2.04 | 10.00 ab ± 2.44 |
| 111 | 250 | 257.78 ab ± 71.92 | 11.86 a ± 2.39 | 11.17 a ± 2.40 |
| 112 | 1200 | 251.39 ab ± 73.80 | 12.05 a ± 2.30 | 11.58 a ± 2.34 |
| 113 | 4403 | 248.93 ab ± 69.98 | 12.08 a ± 2.29 | 11.67 a ± 2.28 |
| 114 | 11,789 | 250.29 ab ± 67.58 | 11.69 a ± 2.40 | 11.37 a ± 2.36 |
| 115 | 12,457 | 250.54 ab ± 66.48 | 11.39 a ± 2.50 | 11.12 a ± 2.48 |
| 116 | 1997 | 246.02 ab ± 65.05 | 11.16 a ± 2.62 | 10.89 a ± 2.59 |
| 117 | 57 | 261.78 ab ± 74.62 | 10.63 a ± 2.42 | 10.19 ab ± 2.55 |
| 118 | 3 | 286.60 a ± 74.90 | 9.00 b ± 3.61 | 8.67 b ± 3.06 |
Publisher’s Note: MDPI stays neutral with regard to jurisdictional claims in published maps and institutional affiliations. |
© 2021 by the authors. Licensee MDPI, Basel, Switzerland. This article is an open access article distributed under the terms and conditions of the Creative Commons Attribution (CC BY) license (https://creativecommons.org/licenses/by/4.0/).
Share and Cite
Ju, M.; Wang, X.; Li, X.; Zhang, M.; Shi, L.; Hu, P.; Zhang, B.; Han, X.; Wang, K.; Li, X.; et al. Effects of Litter Size and Parity on Farrowing Duration of Landrace × Yorkshire Sows. Animals 2022, 12, 94. https://doi.org/10.3390/ani12010094
Ju M, Wang X, Li X, Zhang M, Shi L, Hu P, Zhang B, Han X, Wang K, Li X, et al. Effects of Litter Size and Parity on Farrowing Duration of Landrace × Yorkshire Sows. Animals. 2022; 12(1):94. https://doi.org/10.3390/ani12010094
Chicago/Turabian StyleJu, Mingming, Xiaonv Wang, Xinjian Li, Menghao Zhang, Lidan Shi, Panyang Hu, Ben Zhang, Xuelei Han, Kejun Wang, Xiuling Li, and et al. 2022. "Effects of Litter Size and Parity on Farrowing Duration of Landrace × Yorkshire Sows" Animals 12, no. 1: 94. https://doi.org/10.3390/ani12010094
APA StyleJu, M., Wang, X., Li, X., Zhang, M., Shi, L., Hu, P., Zhang, B., Han, X., Wang, K., Li, X., Zhou, L., & Qiao, R. (2022). Effects of Litter Size and Parity on Farrowing Duration of Landrace × Yorkshire Sows. Animals, 12(1), 94. https://doi.org/10.3390/ani12010094

