Protective Effects of Emodin on Oxidized Fish Oil-Induced Metabolic Disorder and Oxidative Stress through Notch-Nrf2 Crosstalk in the Liver of Teleost Megalobrama amblycephala
Abstract
1. Introduction
2. Materials and Methods
2.1. Ethics Statement
2.2. Experimental Diets
2.3. Experimental Animals and Rearing Conditions
2.4. Sample Collection
2.5. Liver Histological Ultrastructure
2.6. Metabolic and Antioxidant Index Detection
2.7. Fatty Acid and Amino Acid Analysis
2.8. Correlation Analysis
2.9. RNA Extraction and RT-PCR Analysis
2.10. Statistical Analysis
3. Results
3.1. Emodin Alleviates Oxidized Fish Oil Induced Morphological Impairment in the Liver of M. amblycephala
3.2. Emodin Alleviates Metabolic Disorder Induced by Oxidative Stress in the Liver of M. amblycephala
3.3. Emodin Rescues Fatty Acid Metabolism under Oxidative Stress in the Liver of M. amblycephala
3.4. Emodin Alleviates Antioxidant Capacity under Oxidative Stress in the Liver of M. amblycephala
3.5. Emodin Alleviates Inflammation, Autophagy and Apoptosis under Oxidative Stress
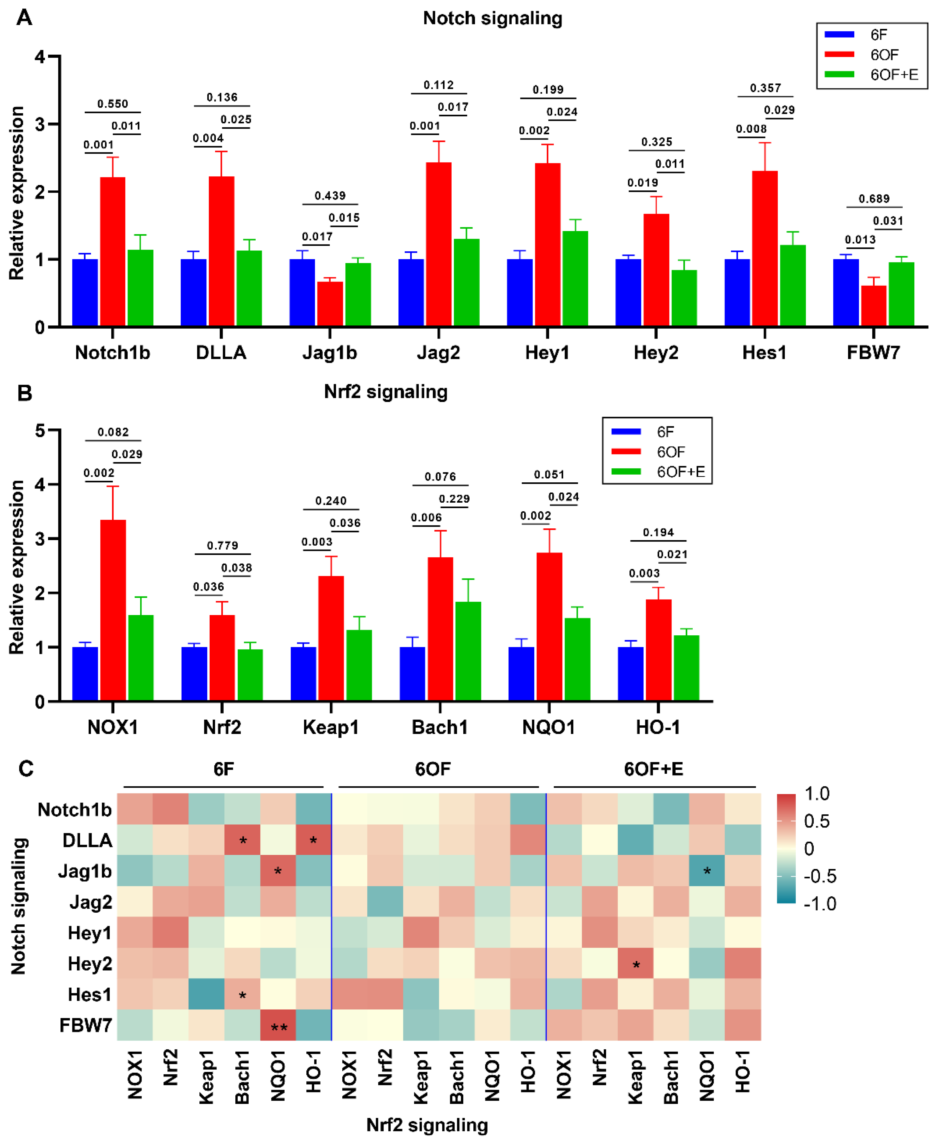
3.6. Notch-Nrf2 Crosstalk Was Active to Oxidative Stress Amelioration in the Liver of M. amblycephala
3.7. Hypothetical Regulation of Notch-Nrf2 Crosstalk on Oxidative Stress Amelioration
4. Discussion
5. Conclusions
Supplementary Materials
Author Contributions
Funding
Institutional Review Board Statement
Informed Consent Statement
Data Availability Statement
Acknowledgments
Conflicts of Interest
References
- Song, C.; Liu, B.; Ge, X.; Li, H.; Xu, P. miR-34a/Notch1b Mediated Autophagy and Apoptosis Contributes to Oxidative Stress Amelioration by Emodin in the Intestine of Teleost Megalobrama amblycephala. Aquaculture 2022, 547, 737441. [Google Scholar] [CrossRef]
- Ghosh, N.; Das, A.; Chaffee, S.; Roy, S.; Sen, C.K. Reactive Oxygen Species, Oxidative Damage and Cell Death. In Immunity and Inflammation in Health and Disease: Emerging Roles of Nutraceuticals and Functional Foods in Immune Support; Academic Press: Cambridge, MA, USA, 2017; pp. 45–55. ISBN 9780128054178. [Google Scholar]
- Wu, G. Nutrition and Metabolism: Foundations for Animal Growth, Development, Reproduction, and Health. In Advances in Experimental Medicine and Biology; Springer: Cham, Switzerland, 2022; Volume 1354, pp. 1–24. [Google Scholar]
- Galluccio, E.; Spadoni, S.; Fontana, B.; Bosi, E.; Piatti, P.; Monti, L.D. Long Lasting Protective Effects of Early L-Arginine Treatment on Endothelium in an in Vitro Study. Clin. Nutr. 2021, 40, 1519–1529. [Google Scholar] [CrossRef] [PubMed]
- Chowdhury, S.; Saikia, S.K. Oxidative Stress in Fish: A Review. J. Sci. Res. 2020, 12, 145–160. [Google Scholar] [CrossRef]
- Corsetto, P.A.; Cremona, A.; Montorfano, G.; Jovenitti, I.E.; Orsini, F.; Arosio, P.; Rizzo, A.M. Chemical-Physical Changes in Cell Membrane Microdomains of Breast Cancer Cells After Omega-3 PUFA Incorporation. Cell Biochem. Biophys. 2012, 64, 45–59. [Google Scholar] [CrossRef] [PubMed]
- Lushchak, V.I. Free Radicals, Reactive Oxygen Species, Oxidative Stress and Its Classification. Chem. Biol. Interact. 2014, 224, 164–175. [Google Scholar] [CrossRef]
- Lushchak, V.I. Environmentally Induced Oxidative Stress in Aquatic Animals. Aquat. Toxicol. 2011, 101, 13–30. [Google Scholar] [CrossRef]
- He, F.; Ru, X.; Wen, T. NRF2, a Transcription Factor for Stress Response and beyond. Int. J. Mol. Sci. 2020, 21, 4777. [Google Scholar] [CrossRef]
- Paul, M.K.; Bisht, B.; Darmawan, D.O.; Chiou, R.; Ha, V.L.; Wallace, W.D.; Chon, A.T.; Hegab, A.E.; Grogan, T.; Elashoff, D.A.; et al. Dynamic Changes in Intracellular ROS Levels Regulate Airway Basal Stem Cell Homeostasis through Nrf2-Dependent Notch Signaling. Cell Stem Cell 2014, 15, 199–214. [Google Scholar] [CrossRef]
- Wakabayashi, N.; Chartoumpekis, D.V.; Kensler, T.W. Crosstalk between Nrf2 and Notch Signaling. Free Radic. Biol. Med. 2015, 88, 158–167. [Google Scholar] [CrossRef]
- Ahmed, L.A.; Abd El-Rhman, R.H.; Gad, A.M.; Hassaneen, S.K.; El-Yamany, M.F. Dibenzazepine Combats Acute Liver Injury in Rats via Amendments of Notch Signaling and Activation of Autophagy. Naunyn Schmiedebergs Arch. Pharmacol. 2021, 394, 337–348. [Google Scholar] [CrossRef]
- Dai, X.; Yan, X.; Wintergerst, K.A.; Cai, L.; Keller, B.B.; Tan, Y. Nrf2: Redox and Metabolic Regulator of Stem Cell State and Function. Trends Mol. Med. 2020, 26, 185–200. [Google Scholar] [CrossRef]
- Hoseinifar, S.H.; Yousefi, S.; Van Doan, H.; Ashouri, G.; Gioacchini, G.; Maradonna, F.; Carnevali, O. Oxidative Stress and Antioxidant Defense in Fish: The Implications of Probiotic, Prebiotic, and Synbiotics. Rev. Fish. Sci. Aquac. 2020, 29, 198–217. [Google Scholar] [CrossRef]
- Hsu, S.C.; Chung, J.G. Anticancer Potential of Emodin. BioMedicine 2012, 2, 108–116. [Google Scholar] [CrossRef] [PubMed]
- Semwal, R.B.; Semwal, D.K.; Combrinck, S.; Viljoen, A. Emodin—A Natural Anthraquinone Derivative with Diverse Pharmacological Activities. Phytochemistry 2021, 190, 112854. [Google Scholar] [CrossRef] [PubMed]
- Song, C.; Liu, B.; Xu, P.; Ge, X.; Zhang, H. Emodin Ameliorates Metabolic and Antioxidant Capacity Inhibited by Dietary Oxidized Fish Oil through PPARs and Nrf2-Keap1 Signaling in Wuchang Bream (Megalobrama amblycephala). Fish Shellfish Immunol. 2019, 94, 842–851. [Google Scholar] [CrossRef] [PubMed]
- Song, C.; Liu, B.; Xu, P.; Ge, X.; Li, H.; Tang, Y.; Su, S. miR-144 Is the Epigenetic Target for Emodin to Ameliorate Oxidative Stress Induced by Dietary Oxidized Fish Oil via Nrf2 Signaling in Wuchang Bream, Megalobrama amblycephala. Aquaculture 2021, 534, 736357. [Google Scholar] [CrossRef]
- Song, C.; Liu, B.; Xu, P.; Xie, J.; Ge, X.; Zhou, Q.; Sun, C.; Zhang, H.; Shan, F.; Yang, Z. Oxidized Fish Oil Injury Stress in Megalobrama amblycephala: Evaluated by Growth, Intestinal Physiology, and Transcriptome-Based PI3K-Akt/NF-κB/TCR Inflammatory Signaling. Fish Shellfish Immunol. 2018, 81, 446–455. [Google Scholar] [CrossRef]
- Birnie-Gauvin, K.; Costantini, D.; Cooke, S.J.; Willmore, W.G. A Comparative and Evolutionary Approach to Oxidative Stress in Fish: A Review. Fish Fish. 2017, 18, 928–942. [Google Scholar] [CrossRef]
- Tanabe, M.; Tamura, H.; Taketani, T.; Okada, M.; Lee, L.; Tamura, I.; Maekawa, R.; Asada, H.; Yamagata, Y.; Sugino, N. Melatonin Protects the Integrity of Granulosa Cells by Reducing Oxidative Stress in Nuclei, Mitochondria, and Plasma Membranes in Mice. J. Reprod. Dev. 2015, 61, 35–41. [Google Scholar] [CrossRef]
- Shen, W.H.; Balajee, A.S.; Wang, J.; Wu, H.; Eng, C.; Pandolfi, P.P.; Yin, Y. Essential Role for Nuclear PTEN in Maintaining Chromosomal Integrity. Cell 2007, 128, 157–170. [Google Scholar] [CrossRef]
- Vakifahmetoglu-Norberg, H.; Ouchida, A.T.; Norberg, E. The Role of Mitochondria in Metabolism and Cell Death. Biochem. Biophys. Res. Commun. 2017, 482, 426–431. [Google Scholar] [CrossRef] [PubMed]
- Melo, R.C.N.; Dvorak, A.M. Lipid Body-Phagosome Interaction in Macrophages during Infectious Diseases: Host Defense or Pathogen Survival Strategy? PLoS Pathog. 2012, 8, 6. [Google Scholar] [CrossRef] [PubMed][Green Version]
- Bosma, M.; Kersten, S.; Hesselink, M.K.C.; Schrauwen, P. Re-Evaluating Lipotoxic Triggers in Skeletal Muscle: Relating Intramyocellular Lipid Metabolism to Insulin Sensitivity. Prog. Lipid Res. 2012, 51, 36–49. [Google Scholar] [CrossRef]
- Welte, M.A. Proteins under New Management: Lipid Droplets Deliver. Trends Cell Biol. 2007, 17, 363–369. [Google Scholar] [CrossRef] [PubMed]
- Ryu, J.M.; Lee, H.J.; Jung, Y.H.; Lee, K.H.; Kim, D.I.; Kim, J.Y.; Ko, S.H.; Choi, G.E.; Chai, I.I.; Song, E.J.; et al. Regulation of Stem Cell Fate by ROS-Mediated Alteration of Metabolism. Int. J. Stem Cells 2015, 8, 24–35. [Google Scholar] [CrossRef]
- Tsuduki, T.; Honma, T.; Nakagawa, K.; Ikeda, I.; Miyazawa, T. Long-Term Intake of Fish Oil Increases Oxidative Stress and Decreases Lifespan in Senescence-Accelerated Mice. Nutrition 2011, 27, 334–337. [Google Scholar] [CrossRef] [PubMed]
- Shi, Y.; Hu, Y.; Wang, Z.; Zhou, J.; Zhang, J.; Zhong, H.; Fu, G.; Zhong, L. The Protective Effect of Taurine on Oxidized Fish-Oil-Induced Liver Oxidative Stress and Intestinal Barrier-Function Impairment in Juvenile Ictalurus Punctatus. Antioxidants 2021, 10, 1690. [Google Scholar] [CrossRef]
- Zhang, D.G.; Zhao, T.; Hogstrand, C.; Ye, H.M.; Xu, X.J.; Luo, Z. Oxidized Fish Oils Increased Lipid Deposition via Oxidative Stress-Mediated Mitochondrial Dysfunction and the CREB1-Bcl2-Beclin1 Pathway in the Liver Tissues and Hepatocytes of Yellow Catfish. Food Chem. 2021, 360, 129814. [Google Scholar] [CrossRef]
- Zhang, Y.; Li, Y.; Liang, X.; Cao, X.; Huang, L.; Yan, J.; Wei, Y.; Gao, J. Hepatic Transcriptome Analysis and Identification of Differentially Expressed Genes Response to Dietary Oxidized Fish Oil in Loach Misgurnus Anguillicaudatus. PLoS ONE 2017, 12, e0172386. [Google Scholar] [CrossRef]
- Xie, S.; Yin, P.; Tian, L.; Liu, Y.; Niu, J. Lipid Metabolism and Plasma Metabolomics of Juvenile Largemouth Bass Micropterus Salmoides Were Affected by Dietary Oxidized Fish Oil. Aquaculture 2020, 522, 735158. [Google Scholar] [CrossRef]
- van Rensburg, S.J.; Daniels, W.M.U.; van Zyl, J.M.; Taljaard, J.J.F. A Comparative Study of the Effects of Cholesterol, Beta-Sitosterol, Beta-Sitosterol Glucoside, Dehydroepiandrosterone Sulphate and Melatonin on in Vitro Lipid Peroxidation. Metab. Brain Dis. 2000, 15, 257–265. [Google Scholar] [CrossRef] [PubMed]
- Gibbons, G.F. Regulation of Fatty Acid and Cholesterol Synthesis: Co-Operation or Competition? Prog. Lipid Res. 2003, 42, 479–497. [Google Scholar] [CrossRef]
- Jacob, R.F.; Mason, R.P. Lipid Peroxidation Induces Cholesterol Domain Formation in Model Membranes. J. Biol. Chem. 2005, 280, 39380–39387. [Google Scholar] [CrossRef]
- Turkdogan, K.A.; Akpinar, O.; Karabacak, M.; Akpinar, H.; Turkdogan, F.T.; Karahan, O. Association between Oxidative Stress Index and Serum Lipid Levels in Healthy Young Adults. J. Pak. Med. Assoc. 2014, 64, 379–381. [Google Scholar] [PubMed]
- Fu, X.; Xu, A.-G.; Yao, M.-Y.; Guo, L.; Zhao, L. Emodin Enhances Cholesterol Efflux by Activating Peroxisome Proliferator-Activated Receptor-γ in Oxidized Low Density Lipoprotein-Loaded THP1 Macrophages. Clin. Exp. Pharmacol. Physiol. 2014, 41, 679–684. [Google Scholar] [CrossRef]
- Su, Z.-L.; Hang, P.-Z.; Hu, J.; Zheng, Y.-Y.; Sun, H.-Q.; Guo, J.; Liu, K.-Y.; Du, Z.-M. Aloe-Emodin Exerts Cholesterol-Lowering Effects by Inhibiting Proprotein Convertase Subtilisin/kexin Type 9 in Hyperlipidemic Rats. Acta Pharmacol. Sin. 2020, 41, 1085–1092. [Google Scholar] [CrossRef]
- Manna, P.; Jain, S.K. Obesity, Oxidative Stress, Adipose Tissue Dysfunction, and the Associated Health Risks: Causes and Therapeutic Strategies. Metab. Syndr. Relat. Disord. 2015, 13, 423–444. [Google Scholar] [CrossRef]
- Anavi, S.; Tirosh, O. iNOS as a Metabolic Enzyme under Stress Conditions. Free Radic. Biol. Med. 2020, 146, 16–35. [Google Scholar] [CrossRef]
- Adams, V.; Nehrhoff, B.; Späte, U.; Linke, A.; Schulze, P.C.; Baur, A.; Gielen, S.; Hambrecht, R.; Schuler, G. Induction of iNOS Expression in Skeletal Muscle by IL-1β and NFκB Activation: An in Vitro and in Vivo Study. Cardiovasc. Res. 2002, 54, 95–104. [Google Scholar] [CrossRef]
- Xu, H.; Yang, M.; Qiu, W.; Pan, C.; Wu, M. The Impact of Endocrine-Disrupting Chemicals on Oxidative Stress and Innate Immune Response in Zebrafish Embryos. Environ. Toxicol. Chem. 2013, 32, 1793–1799. [Google Scholar] [CrossRef]
- Dinu, D.; Marinescu, D.; Munteanu, M.C.; Staicu, A.C.; Costache, M.; Dinischiotu, A. Modulatory Effects of Deltamethrin on Antioxidant Defense Mechanisms and Lipid Peroxidation in Carassius Auratus Gibelio Liver and Intestine. Arch. Environ. Contam. Toxicol. 2010, 58, 757–764. [Google Scholar] [CrossRef]
- Ramalingam, M.; Kim, S.J. Reactive Oxygen/nitrogen Species and Their Functional Correlations in Neurodegenerative Diseases. J. Neural Transm. 2012, 119, 891–910. [Google Scholar] [CrossRef] [PubMed]
- Yu, L.; Wen, H.; Jiang, M.; Wu, F.; Tian, J.; Lu, X.; Xiao, J.; Liu, W. Effects of Ferulic Acid on Growth Performance, Immunity and Antioxidant Status in Genetically Improved Farmed Tilapia (Oreochromis Niloticus) Fed Oxidized Fish Oil. Aquac. Nutr. 2020, 26, 1431–1442. [Google Scholar] [CrossRef]
- Filomeni, G.; De Zio, D.; Cecconi, F. Oxidative Stress and Autophagy: The Clash between Damage and Metabolic Needs. Cell Death Differ. 2015, 22, 377–388. [Google Scholar] [CrossRef] [PubMed]
- Johnson, J.A.; Johnson, D.A.; Kraft, A.D.; Calkins, M.J.; Jakel, R.J.; Vargas, M.R.; Chen, P.C. The Nrf2-ARE Pathway: An Indicator and Modulator of Oxidative Stress in Neurodegeneration. Ann. New York Acad. Sci. 2008, 1147, 61–69. [Google Scholar] [CrossRef]
- Lai, E.C. Notch Signaling: Control of Cell Communication and Cell Fate. Development 2004, 131, 965–973. [Google Scholar] [CrossRef]
- Wakabayashi, N.; Skoko, J.J.; Chartoumpekis, D.V.; Kimura, S.; Slocum, S.L.; Noda, K.; Palliyaguru, D.L.; Fujimuro, M.; Boley, P.A.; Tanaka, Y.; et al. Notch-Nrf2 Axis: Regulation of Nrf2 Gene Expression and Cytoprotection by Notch Signaling. Mol. Cell. Biol. 2014, 34, 653–663. [Google Scholar] [CrossRef]
- Kojika, S.; Griffin, J.D. Notch Receptors and Hematopoiesis. Exp. Hematol. 2001, 29, 1041–1052. [Google Scholar] [CrossRef]
- Sparaneo, A.; Fabrizio, F.P.; Muscarella, L.A. Nrf2 and Notch Signaling in Lung Cancer: Near the Crossroad. Oxid. Med. Cell. Longev. 2016, 2016, 7316492. [Google Scholar] [CrossRef]
- Zhou, X.L.; Wu, X.; Zhu, R.R.; Xu, H.; Li, Y.Y.; Xu, Q.R.; Liu, S.; Lai, S.Q.; Xu, X.; Wan, L.; et al. Notch1–Nrf2 Signaling Crosstalk Provides Myocardial Protection by Reducing ROS Formation. Biochem. Cell Biol. 2020, 98, 106–111. [Google Scholar] [CrossRef]
- Zhu, Y.; Wang, L.; Yu, X.; Jiang, S.; Wang, X.; Xing, Y.; Guo, S.; Liu, Y.; Liu, J. Cr(VI) Promotes Tight Joint and Oxidative Damage by Activating the Nrf2/ROS/Notch1 Axis. Environ. Toxicol. Pharmacol. 2021, 85, 103640. [Google Scholar] [CrossRef] [PubMed]
- Ramyaa, P.; Padma, V.V. Ochratoxin-Induced Toxicity, Oxidative Stress and Apoptosis Ameliorated by Quercetin—Modulation by Nrf2. Food Chem. Toxicol. 2013, 62, 205–216. [Google Scholar] [CrossRef] [PubMed]
- Liang, N.; Kitts, D.D. Amelioration of Oxidative Stress in Caco-2 Cells Treated with Pro-Inflammatory Proteins by Chlorogenic Acid Isomers via Activation of the Nrf2-Keap1-ARE-Signaling Pathway. J. Agric. Food Chem. 2018, 66, 11008–11017. [Google Scholar] [CrossRef]
- Ren, B.C.; Zhang, W.; Zhang, W.; Ma, J.X.; Pei, F.; Li, B.Y. Melatonin Attenuates Aortic Oxidative Stress Injury and Apoptosis in STZ-Diabetes Rats by Notch1/Hes1 Pathway. J. Steroid Biochem. Mol. Biol. 2021, 212, 105948. [Google Scholar] [CrossRef]
- Esmail, M.M.; Saeed, N.M.; Michel, H.E.; El-Naga, R.N. The Ameliorative Effect of Niclosamide on Bile Duct Ligation Induced Liver Fibrosis via Suppression of NOTCH and Wnt Pathways. Toxicol. Lett. 2021, 347, 23–35. [Google Scholar] [CrossRef] [PubMed]
- Wakabayashi, N.; Shin, S.; Slocum, S.L.; Agoston, E.S.; Wakabayashi, J.; Kwak, M.K.; Misra, V.; Biswal, S.; Yamamoto, M.; Kensler, T.W. Regulation of Notch1 Signaling by Nrf2: Implications for Tissue Regeneration. Sci. Signal. 2010, 3, ra52. [Google Scholar] [CrossRef] [PubMed]
- Tadese, D.A.; Song, C.; Sun, C.; Liu, B.; Liu, B.; Zhou, Q.; Xu, P.; Ge, X.; Liu, M.; Xu, X.; et al. The Role of Currently Used Medicinal Plants in Aquaculture and Their Action Mechanisms: A Review. Rev. Aquac. 2022, 14, 816–847. [Google Scholar] [CrossRef]
- Wu, Y.; Tu, X.; Lin, G.; Xia, H.; Huang, H.; Wan, J.; Cheng, Z.; Liu, M.; Chen, G.; Zhang, H.; et al. Emodin-Mediated Protection from Acute Myocardial Infarction via Inhibition of Inflammation and Apoptosis in Local Ischemic Myocardium. Life Sci. 2007, 81, 1332–1338. [Google Scholar] [CrossRef]
- Yu, Y.; Liu, H.; Yang, D.; He, F.; Yuan, Y.; Guo, J.; Hu, J.; Yu, J.; Yan, X.; Wang, S.; et al. Aloe-Emodin Attenuates Myocardial Infarction and Apoptosis via up-Regulating miR-133 Expression. Pharmacol. Res. 2019, 146, 104315. [Google Scholar] [CrossRef]
- Park, S.Y.; Jin, M.L.; Ko, M.J.; Park, G.; Choi, Y.W. Anti-Neuroinflammatory Effect of Emodin in LPS-Stimulated Microglia: Involvement of AMPK/Nrf2 Activation. Neurochem. Res. 2016, 41, 2981–2992. [Google Scholar] [CrossRef]
- Tian, S.L.; Yang, Y.; Liu, X.L.; Xu, Q.B. Emodin Attenuates Bleomycin-Induced Pulmonary Fibrosis via Anti-Inflammatory and Anti-Oxidative Activities in Rats. Med. Sci. Monit. 2018, 24, 1–10. [Google Scholar] [CrossRef] [PubMed]







| Ingredient/% | 6F | 6OF | 6OF+E | Nutrition Value (%, Dry Matter) | 6F | 6OF | 6OF+E |
|---|---|---|---|---|---|---|---|
| Casein | 25.0 | 25.0 | 25.0 | Dry matter, DM | 92.06 | 92.18 | 92.24 |
| Gelatin | 5.0 | 5.0 | 5.0 | Crude protein, CP | 33.11 | 33.11 | 33.11 |
| Fish meal | 10.0 | 10.0 | 10.0 | Crude lipid | 7.01 | 7.01 | 7.01 |
| Dextrin | 10.0 | 10.0 | 10.0 | Nitrogen Free Extract, NFE | 1.00 | 1.06 | 1.09 |
| α-starch | 24.5 | 24.5 | 24.5 | Ash | 8.28 | 8.34 | 8.37 |
| Fish oil | 6.0 | 0.0 | 0.0 | Ca | 1.62 | 1.62 | 1.62 |
| Oxidized fish oil | 0.0 | 6.0 | 6.0 | Total P | 1.05 | 1.05 | 1.05 |
| Microcrystalline cellulose | 7.0 | 7.0 | 7.0 | Lysine | 2.49 | 2.49 | 2.49 |
| Carboxymethylcellulose | 5.0 | 5.0 | 5.0 | Cysteine | 0.92 | 0.92 | 0.92 |
| Choline chloride | 1.0 | 1.0 | 1.0 | Methionine | 0.19 | 0.19 | 0.19 |
| Vitamin premix a | 1.0 | 1.0 | 1.0 | Threonine | 1.34 | 1.34 | 1.34 |
| Mineral premix b | 1.0 | 1.0 | 1.0 | Arginine | 1.50 | 1.50 | 1.50 |
| Calcium dihydrogen phosphate | 2.0 | 2.0 | 2.0 | Fe | 33.70 | 33.70 | 33.70 |
| Attapulgite | 2.0 | 2.0 | 2.0 | Gross Energy c | 14.68 | 14.68 | 14.68 |
| Ethoxyquin | 0.5 | 0.5 | 0.5 | ||||
| Total | 100.0 | 100.0 | 100.0 | ||||
| Emodin (mg/kg) | 0.0 | 0.0 | 30.0 |
| Gene | Primer | Sequence (5′→3′) | Accession No. | Gene | Primer | Sequence (5′→3′) | Accession No. |
|---|---|---|---|---|---|---|---|
| LPL | F | TTACAGGCTGAGATTGACTA | KF114279.1 | AIF1 | F | GGATTTTCCTCGCACAAAAC | XM_048210652.1 |
| R | GAAGAACATCCACGAAAA | R | TGTCGTCTGTGGCTTCACTT | ||||
| ATGL | F | ATCCTTGTATCCCTGCTTG | KX010807.1 | CytoC | F | GCACAAAGTCGGTCCAAATC | XM_048185968.1 |
| R | GTGACAGACGGAGAAAACG | R | GCTCTCTCGCCCTTCTTCTT | ||||
| CPT1 | F | TACTTCCAAAGCGGTGAG | KJ141198.1 | Notch1b | F | GCGATTATGGAAGGTGCATT | XM_048189338.1 |
| R | AGAGGTATTGTCCGAGCC | R | GTCGTGATACCCCTCTCTGC | ||||
| CPT2 | F | CCATAGCCCACTCCGAAAC | XM_048208951.1 | DLLA | F | TGACAACAGAAAACCCAGAGC | XM_048205545.1 |
| R | TGCCGCCATAAACCACAA | R | TCCCTCGCCATAGTAGTGCT | ||||
| Cox2 | F | AACCCAGGACCTTACACCC | NC_010341.1 | Jag1b | F | GTAAACGGAGGGCAGTGTGT | XM_048205450.1 |
| R | CCCGCAGATTTCAGAACA | R | GCGCACTTGTAGCTTCCTTC | ||||
| UCP2 | F | TGGCTACAGCACAGTTGAGG | XM_048179976.1 | Jag2 | F | CTTCCTGACGTGCCTCTCTC | XM_048205375.1 |
| R | TGACCTCATCAAAGATGCAC | R | GTGGGCAGTTTGTCCTTGTT | ||||
| FAS | F | AGCGAGTACGGTGATGGT | KF918747.1 | Hey1 | F | GGGCTCACACCACCTACAAC | XM_048201329.1 |
| R | GGATGATGCCTGAGATGG | R | CCCTATTTCCATGCTCCAAG | ||||
| SREBP1 | F | ACAACAGTAGCGACACCCTG | MH633449.1 | Hey2 | F | AACGGCATTTGAGAAACAGG | XM_048207495.1 |
| R | AGGAGCGGTAGCGTTTTTCA | R | GCTGAGGTGAGAAACCAAGC | ||||
| IL-1β | F | CGATAAGACCAGCACGACCTT | MN294974.1 | Hes1 | F | CCTGCTTTCGCTTCTGCTAC | XM_048186605.1 |
| R | GTTTCCGTCTCTCAGCGTCA | R | GCACTAACACCAACGGGACT | ||||
| IL-6 | F | GTCCTCTGCCGGTCAAATC | KJ755058.1 | FBW7 | F | CTGAAACCGAGACCTGCCTA | XM_048197725.1 |
| R | CAGTCGCTGGGTCTCTTCAC | R | CTGATGACCTGTGAGCGTGT | ||||
| TNF-α | F | CTGTCTGCTTCACGCTCAAC | KU976426.1 | NOX1 | F | CTGGCTGCTCATCACAGAAG | XM_048176512.1 |
| R | GGTCCTGGTTCACTCTCCAA | R | CCACTATCGCTGGTCTCACA | ||||
| NF-κB | F | GGGTTTTTCATTGGTGGATG | MK315050.1 | Nrf2 | F | AAGAGCGAACGTAGCACCAG | XM_048178958.1 |
| R | GCAGAACTGTGGCAATCTGA | R | GCAGTGTGCTGAAGGGAGTAT | ||||
| ATG3 | F | CGCCAGTTTTGAAGGAATCT | XM_048200321.1 | Keap1 | F | GAGATTCGCAGAGGAGATCGG | XM_048162397.1 |
| R | TTGTCTTTGGGCAGATAGGG | R | CTGGCAATGGGACAAGCTGA | ||||
| ATG7 | F | ATCACACCAGGAGCGTCTTT | XM_048172227.1 | Bach1 | F | CAGCCATCATTTCCAACCTT | XM_048160868.1 |
| R | GGTTCATTCATCCGGTCATC | R | GAGACGCCTGACAAGAATCC | ||||
| Beclin1 | F | TCGACACATCCTTCAACGTC | XM_048187618.1 | NQO1 | F | AAGCCTCTGTCCTTTGCTCC | XM_048186312.1 |
| R | ATGTATTTCCGAGCCACACC | R | TCTGGAGGAAGTGGTTTGCC | ||||
| Bax | F | CCCCCTCATCTTTCCATTCT | MK315043.1 | HO-1 | F | CAGGAGCAGAATGAACAGCA | KU382526.1 |
| R | CAAACATCCCCTTTCTTCTCC | R | CCAAAGTGATTCCCACACCT | ||||
| Casp3 | F | AGATGGTGTGGGAGATGGAG | KY006115.1 | β-actin | F | TCTGCTATGTGGCTCTTGACTTCG | AY170122.2 |
| R | CCAGTTGCTTGCCGTATTTT | R | CCTCTGGGCACCTGAACCTCT | ||||
| Casp8 | F | TTGTCTGCTGTGTCCTCTCG | XM_048200589.1 | ||||
| R | ATCGTTCCCTTGTCCATCTG |
| Feed | M. amblycephala | |||||
|---|---|---|---|---|---|---|
| 6F | 6OF | 6OF+E | 6F | 6OF | 6OF+E | |
| C12:0 | 0.071 ± 0.006 b | 0.106 ± 0.003 a | 0.120 ± 0.002 c | 0.044 ± 0.002 A | 0.044 ± 0.002 A | 0.054 ± 0.002 A |
| C14:0 | 1.061 ± 0.035 b | 2.549 ± 0.028 a | 2.596 ± 0.113 a | 1.584 ± 0.049 A | 1.554 ± 0.031 A | 1.688 ± 0.051 A |
| C15:0 | 0.132 ± 0.018 b | 0.583 ± 0.139 a | 0.453 ± 0.002 a | 0.224 ± 0.002 A | 0.235 ± 0.023 A | 0.253 ± 0.031 A |
| C16:0 | 14.539 ± 0.889 b | 33.132 ± 0.521 a | 32.591 ± 0.341 a | 21.789 ± 0.456 A | 20.960 ± 0.554 A | 22.351 ± 0.779 A |
| C17:0 | 0.231 ± 0.018 c | 1.236 ± 0.021 a | 1.099 ± 0.011 b | 0.355 ± 0.020 AB | 0.331 ± 0.018 B | 0.437 ± 0.026 A |
| C18:0 | 4.425 ± 0.245 b | 6.296 ± 0.171 a | 6.072 ± 0.042 a | 7.263 ± 0.152 A | 6.626 ± 0.073 A | 6.666 ± 0.385 A |
| C20:0 | 0.343 ± 0.025 a | 0.211 ± 0.006 b | 0.249 ± 0.011 b | 0.103 ± 0.002 A | 0.113 ± 0.008 A | 0.126 ± 0.015 A |
| ΣSFA | 20.802 ± 1.237 b | 44.113 ± 0.874 a | 43.180 ± 0.521 a | 31.362 ± 0.683 A | 29.863 ± 0.708 A | 31.575 ± 1.288 A |
| C16:1 | 1.959 ± 0.034 b | 12.239 ± 0.081 a | 13.258 ± 0.150 a | 6.604 ± 0.233 B | 8.409 ± 0.121 A | 8.187 ± 0.108 A |
| C18:1 | 22.940 ± 1.120 b | 27.270 ± 0.156 a | 26.029 ± 0.595 a | 33.519 ± 0.878 B | 39.298 ± 0.751 A | 35.979 ± 1.721 AB |
| C20:1 | 0.311 ± 0.006 b | 0.681 ± 0.047 a | 0.624 ± 0.072 a | 0.758 ± 0.010 B | 0.960 ± 0.035 A | 0.806 ± 0.061 AB |
| C22:1 | 0.150 ± 0.006 c | 0.247 ± 0.010 a | 0.203 ± 0.002 b | 0.049 ± 0.005 A | 0.022 ± 0.004 B | 0.063 ± 0.008 A |
| ΣMUFA | 25.360 ± 1.166 b | 40.437 ± 0.293 a | 40.115 ± 0.818 a | 40.930 ± 1.126 B | 48.689 ± 0.910 A | 45.035 ± 1.897 AB |
| C18:2 | 10.689 ± 9.657 a | 5.084 ± 0.049 b | 4.978 ± 0.103 b | 5.789 ± 0.051 A | 4.102 ± 0.059 B | 3.683 ± 0.221 B |
| C18:3n6 | 0.672 ± 0.007 a | 0.390 ± 0.017 b | 0.476 ± 0.015 b | 0.151 ± 0.001 A | 0.133 ± 0.019 A | 0.141 ± 0.012 A |
| C18:3n3 | 5.167 ± 0.096 a | 1.187 ± 0.062 c | 1.606 ± 0.073 b | 0.628 ± 0.010 A | 0.408 ± 0.005 B | 0.443 ± 0.025 B |
| C20:2 | 0.223 ± 0.179 a | 0.063 ± 0.002 b | 0.046 ± 0.003 b | 0.153 ± 0.002 C | 0.877 ± 0.044 A | 0.548 ± 0.048 B |
| C20:3 | 0.241 ± 0.001 a | 0.139 ± 0.005 b | 0.131 ± 0.006 b | 0.786 ± 0.015 A | 0.750 ± 0.029 AB | 0.658 ± 0.033 B |
| C20:4 | 1.182 ± 0.018 a | 0.664 ± 0.008 b | 0.754 ± 0.002 b | 1.701 ± 0.058 A | 1.732 ± 0.018 A | 1.627 ± 0.073 A |
| C20:5 | 12.205 ± 0.061 a | 5.665 ± 0.094 b | 6.685 ± 0.043 b | 4.776 ± 0.044 A | 2.450 ± 0.202 C | 3.455 ± 0.263 B |
| C22:3 | 0.118 ± 0.006 a | 0.034 ± 0.002 b | 0.022 ± 0.001 b | 0.103 ± 0.002 A | 0.147 ± 0.021 A | 0.126 ± 0.015 A |
| C22:4 | 0.246 ± 0.003 a | 0.090 ± 0.006 b | 0.060 ± 0.006 b | 0.269 ± 0.011 A | 0.389 ± 0.051 A | 0.350 ± 0.017 A |
| C22:5 | 0.840 ± 0.012 a | 0.309 ± 0.005 b | 0.247 ± 0.004 b | 1.910 ± 0.064 A | 1.095 ± 0.055 B | 1.400 ± 0.115 B |
| C22:6 | 12.437 ± 0.021 a | 1.917 ± 0.068 b | 1.686 ± 0.021 b | 11.449 ± 0.260 A | 9.379 ± 0.161 B | 10.929 ± 0.537 A |
| ΣPUFA | 44.020 ± 9.285 a | 15.542 ± 0.316 b | 16.692 ± 0.267 b | 27.715 ± 0.517 A | 21.462 ± 0.665 B | 23.177 ± 1.174 B |
Publisher’s Note: MDPI stays neutral with regard to jurisdictional claims in published maps and institutional affiliations. |
© 2022 by the authors. Licensee MDPI, Basel, Switzerland. This article is an open access article distributed under the terms and conditions of the Creative Commons Attribution (CC BY) license (https://creativecommons.org/licenses/by/4.0/).
Share and Cite
Song, C.; Liu, B.; Li, H.; Tang, Y.; Ge, X.; Liu, B.; Xu, P. Protective Effects of Emodin on Oxidized Fish Oil-Induced Metabolic Disorder and Oxidative Stress through Notch-Nrf2 Crosstalk in the Liver of Teleost Megalobrama amblycephala. Antioxidants 2022, 11, 1179. https://doi.org/10.3390/antiox11061179
Song C, Liu B, Li H, Tang Y, Ge X, Liu B, Xu P. Protective Effects of Emodin on Oxidized Fish Oil-Induced Metabolic Disorder and Oxidative Stress through Notch-Nrf2 Crosstalk in the Liver of Teleost Megalobrama amblycephala. Antioxidants. 2022; 11(6):1179. https://doi.org/10.3390/antiox11061179
Chicago/Turabian StyleSong, Changyou, Bo Liu, Hongxia Li, Yongkai Tang, Xianping Ge, Bo Liu, and Pao Xu. 2022. "Protective Effects of Emodin on Oxidized Fish Oil-Induced Metabolic Disorder and Oxidative Stress through Notch-Nrf2 Crosstalk in the Liver of Teleost Megalobrama amblycephala" Antioxidants 11, no. 6: 1179. https://doi.org/10.3390/antiox11061179
APA StyleSong, C., Liu, B., Li, H., Tang, Y., Ge, X., Liu, B., & Xu, P. (2022). Protective Effects of Emodin on Oxidized Fish Oil-Induced Metabolic Disorder and Oxidative Stress through Notch-Nrf2 Crosstalk in the Liver of Teleost Megalobrama amblycephala. Antioxidants, 11(6), 1179. https://doi.org/10.3390/antiox11061179

