Abstract
The global concern of escalating ambient air pollution and its profound impact on human health is paramount. While traffic police personnel are critical for maintaining the road safety and transportation system of any city in India, they are susceptible to occupational health risks due to ambient air pollution. This study investigated health challenges faced by traffic police personnel due to prolonged exposure to air pollutants prevalent in traffic-congested areas, including particulate matter (PM2.5 and PM10), nitrogen dioxide, and sulfur dioxide. The first phase of this study collected and analyzed secondary air quality data over five years (2019–2023) across six locations in Kolkata, India. The second phase employed a questionnaire-based survey to assess the health implications of air pollution exposure. The survey questionnaire captured information on physical health symptoms, stress-related indicators, lifestyle habits, and work hours of around 100 police personnel from Kolkata with indoor (control group) and outdoor (exposed group) work responsibilities. The results of this study established a strong positive correlation between air pollution and a range of health issues experienced by the exposed group. The outcome of this study is significant for urban planning, policy formulation, and public health interventions geared toward minimizing the adverse impacts of air pollution on traffic police personnel.
1. Introduction
Environmental pollution has emerged as a significant global concern in recent times, particularly in one of our most invaluable natural assets: the air we breathe. The escalation of air pollution has become a daily reality, and its impact on human health is very prominent. US-based studies showed that exposure to fine particulate matter (PM) can curtail lifespans [1], and air pollution has been correlated with adverse respiratory effects and even cardiac-related fatalities [2].
A projection showed that if unchecked ambient air pollution continues, the year 2060 might witness a staggering annual toll of six to nine million deaths [3]. A substantial decrease in PM2.5 and PM10 levels during the COVID-19 lockdown period was reported, mainly due to limited vehicular activity. Vehicular emissions play a significant role in air pollution [4]. An alarming surge in ambient air pollution levels is tied to many factors such as rapid industrialization, globalization, and the expansion of megacities, among others [5,6,7].
Air pollution is an urgent global environmental crisis, posing significant perils to human well-being and health. Among the most affected groups are traffic police personnel, who encounter heightened levels of air pollutants due to their occupational duties, particularly in densely populated urban areas. Traffic police personnel are mainly involved in the management of traffic on busy roads. Their job involves standing on site for long hours during the day and night; they used to be involved in controlling the flow of vehicles and pedestrians at busy intersections and congested areas. Kolkata is the capital of the State of West Bengal, India, where traffic police personnel confront substantial exposure to air pollutants due to the high density of vehicular traffic.
Exposure to fine particulate matter (PM2.5) with an aerodynamic diameter of less than 2.5 µm presents substantial health risks [8,9,10,11,12,13]. India, a rapidly developing nation, grapples with severe PM2.5 pollution, with fourteen cities ranking among the world’s top twenty most polluted cities [14]. Intensive emissions coupled with unfavorable meteorological conditions that hinder dispersion can markedly amplify PM2.5 levels, resulting in hazardous short-term exposure fraught with high health risks [15,16]. Particulate matter responsible for air pollution can exist in solid, liquid, or mixed states, suspended in the air. Depending on size, it can assume various forms. Particles smaller than 10 µm in diameter are designated PM10, which can penetrate the lower respiratory system. Mechanical processes such as construction activities, road dust resuspension, and wind mainly produce PM10 [17]. In contrast, PM2.5, being more respirable, can infiltrate the gas exchange region of the lungs. Additionally, ultrafine particles smaller than 100 nm can intensify lung penetration [2]. Ultrafine PM (particles smaller than 0.1 μm in diameter) are found deposited in both the upper and lower respiratory tracts [18,19,20,21].
Nitrogen oxides (NOx), encompassing nitric oxide (NO) and nitrogen dioxide (NO2), stem from combustion in vehicles, industries, and power plants [22]. These pollutants harm urban air quality, leading to health and environmental concerns. High-temperature combustion processes produce NO, which reacts with atmospheric nitrogen to form NO2 [23]. NO2 is a primary cause of respiratory issues, cardiovascular problems, and reduced lung function, particularly in areas with poor air quality. Nitrogen oxides primarily result from human activities, including fossil fuel combustion for heating, power generation, and vehicle operation [2,23]. Traffic vehicles running on fossil fuels are a major source of NO2 emissions [24]. NO2 is a regulated air pollutant used to assess health impacts and manage air quality [25]. Combustion processes are the main source of NO2 emissions. Prolonged NO2 exposure can impair lung function and contribute to the formation of ground-level ozone when nitrogen oxides react with volatile organic compounds (VOCs).
Sulfur dioxide (SO2), a gaseous pollutant, assumes a pivotal role in atmospheric chemistry and particle formation [26]. SO2 in ambient air also profoundly affects human health, particularly among asthma and chronic lung disease sufferers, aggravating respiratory symptoms and breathing difficulties in susceptible individuals [27,28]. Moreover, it contributes to reduced visibility, especially during periods of high particulate and other pollution concentrations. The sulfate aerosols generated by SO2 emissions further impair visibility [29]. Additionally, SO2 triggers acid rain.
The health of traffic police personnel is of paramount importance, as they play a crucial role in maintaining road safety and regulating traffic flow, contributing to the overall functioning of a city’s transportation system. The sources of air pollutants in Kolkata include vehicular emissions, industrial activities, construction, biomass burning, and domestic cooking. Moreover, their exposure is compounded by the lack of proper protective measures and awareness about the potential health risks associated with prolonged exposure to polluted air. This study aims to find the impact of air pollution on occupational health.
Several epidemiological studies on traffic police personnel were performed in various parts of the world. Their constant presence on busy streets with high vehicle numbers increases their health risk. Chromosomal abnormalities were observed in a study in Ankara, Turkey among traffic police personnel and taxi drivers. The study included 15 traffic police personnel, 17 taxi drivers, and 23 office workers as controls. As per the survey results, no significant difference was observed between the control and exposed groups in terms of age and smoking, and no apparent link to exposure levels was established [30]. Another study among 183 male traffic police personnel in Changsha City, China showed elevated levels of various health markers like hemoglobin, albumin, urea, creatinine, Red Blood Cells (RBCs), and carcinoembryonic antigen (CEA) among those who were exposed to long-term traffic exhaust over seven years. PM2.5 exposure may lead to cardiovascular disease progression, and CEA is associated with inflammation [31]. Another survey in Brahmapur City, India involving 48 traffic police personnel reported that tobacco chewing was the most common addiction. Chronic bronchitis and pharyngitis were reported in 16% of the respondents, with 25% of respondents being hypertensive [32]. To assess the health impact of air pollution on occupationally exposed groups, a study was conducted in 2012 and 2013 in Kolkata, India. Traffic police personnel, public transport drivers, street hawkers, salesmen, shopkeepers, garage mechanics, and office passengers were the targeted population for the survey. The study identified traffic police personnel as the most affected group with upper and lower respiratory disorders, cardiovascular diseases, nervous system disorders, lung cancer, and other pulmonary cardiac diseases. People employed in the office were the least affected [33].
Traffic police personnel in Kolkata, India, including one special population group who stand for long hours on main roads and are exposed to the highest level of air pollution on a daily basis to fulfill their duties, were selected for this study. They are particularly vulnerable to these pollutants as they spend a significant amount of time near roadways and intersections, where pollutant concentrations are often elevated. The effect of air pollution on health has a strong association with exposure time [34]. This study aimed to generate comparative data on the health status of traffic police personnel and police personnel who worked indoors and were not exposed to long-term pollution daily by a common questionnaire-based survey on health-related symptoms. This study also aimed to analyze the status of major air quality parameters including PM2.5, PM10, SO2, and NO2 in Kolkata, India for five years, from 2019 to 2023.
Understanding the health implications of air pollution on traffic police personnel is crucial for various reasons. This study investigated the specific health outcomes experienced by traffic police personnel in Kolkata by assessing both the short-term and long-term effects of air pollution exposures.
2. Materials and Methods
On the eastern banks of the Hooghly River, the vibrant city of Kolkata is situated, which was selected for the area of study. Kolkata is very famous for its cultural heritage, historical significance, bustling urban life, traditional markets, iconic landmarks, and modern developments, among others. The knowledge of the unique blend of tradition and progress of this city provides an enthralling backdrop for understanding the complex interplay between environmental factors and human experiences (Figure 1).
Figure 1.
Map of the study area (by QGIS version 3.22.14).
The entire study was divided into two major parts: the first part involved the collection and analysis of secondary air quality data, while the second part consisted of a questionnaire-based survey administered to traffic police personnel and other police personnel engaged in various indoor activities (Figure 2).
Figure 2.
A flowchart of the methodology followed in this study.
2.1. Selection of Study Area
The capital of the State of West Bengal, Kolkata, is a megacity that stands as an unwittingly vulnerable urban center. Factors like uncontrolled urbanization, rapid growth, and inadequate road infrastructure are responsible for this scenario. Various studies report several factors influencing air pollution in Kolkata [35]. Kolkata, as a metropolitan city, is no exception to high levels of air pollution [33]. The city is struggling to accommodate surging vehicular numbers and insufficient parking facilities [36]. Peak traffic periods double the pollutant levels in commercial areas [37]. The city’s high population density combined with the proliferation of private vehicles and constrained road space contributes to persistent traffic congestion, which is particularly evident in areas like Ballygunge, Fort William, Jadavpur, Rabindra Bharati University, Rabindra Sarobar, and Victoria Memorial. The Central Pollution Control Board has installed seven continuous air quality monitoring systems at various locations in Kolkata, namely Ballygunge, Fort William, Jadavpur, Rabindra Bharati University, Rabindra Sarobar, Victoria Memorial, and Bidhannagar. For this study, six out of these seven locations were selected, excluding Bidhannagar (Table 1; Figure 1). Bidhannagar was omitted from this study as it falls outside the jurisdiction of the Lalbazar Police Station.
Table 1.
Characterization of the air quality monitoring sites.
2.2. Collection of Air Quality Data
For the analysis of secondary air quality data, four key air quality parameters were selected: PM2.5, PM10, NO2, and SO2. Vehicular traffic is a significant source of PM2.5 emissions due to the combustion of fossil fuels and brake or tire wear. Like PM2.5, traffic-related emissions, including vehicle exhaust and road dust, are a major source of PM10. Nitrogen dioxide is a highly reactive gas primarily emitted from vehicles’ combustion engines, especially diesel engines. It serves as a crucial marker for air pollution originating from traffic sources. While traffic is not the primary source of SO2, it can still contribute to its emissions through the combustion of fuels containing sulfur, such as diesel. SO2 is a major air pollutant that can lead to respiratory problems, particularly in people with pre-existing lung conditions. Thus, these four major parameters were considered for this study.
Data from the official website of the West Bengal Pollution Control Board, spanning from January 2019 (midnight) to April 2023 (11:59 PM), was collected by selecting Continuous Ambient Air Quality Monitoring Stations (CAAQMS). Monthly averages were calculated for each parameter to facilitate subsequent analysis.
2.3. Questionnaire-Based Survey
To collect information on a specific issue, a questionnaire was used as a ‘tool’. The survey was conducted by visiting each sampling site, and face-to-face interaction with respondents was performed. The questionnaire was prepared in English and translated orally into the local language for the convenience of the respondents [34]. It was prepared based on major physical health issues that people face due to air pollution, and a few psychological parameters related to stress were also taken into consideration. Other than the respondent’s demographic information, lifestyle and habits, like smoking, alcohol use, and regular physical activities, were documented. The air quality parameter considered for this study has a major effect on lung function and the heart and eyes [38,39,40,41,42]. There is a strong relationship between physical health status and mental illness, which can lead to enhanced stress and anxiety [43,44,45,46]. Common short-term physical symptoms of air pollution exposure, such as sneezing, coughing, eye irritation, throat irritation, and skin irritation, among others, along with long-term symptoms, such as lung problems, bronchitis, breathlessness, chest discomfort, visibility problems, hearing problems, and spinal cord/back problems, among others, were considered for the survey. Stress-related symptoms, like concentration problems, sleeplessness, drowsiness, and frequent irritation, among others, were also considered. The duty hours and working life of both traffic police personnel and police personnel working indoors were noted. The survey questionnaire has been published online alongside the manuscript under the Supplementary Materials (File S1) section.
A total of 68 traffic police personnel engaged in outdoor duties within the selected study area were surveyed and included as the test group for the study. Another group consisting of approximately 31 police personnel working at Lalbazar, the Kolkata Police Head Quarters, who are involved in various indoor activities, were also surveyed using the same questionnaire and designated as the control group for this study.
An official survey clearance was obtained from the Kolkata Police Head Quarters (Lalbazar) to conduct the survey in the selected study area. The survey of traffic police personnel was conducted on the scheduled date and time as mentioned by Lalbazar, i.e., on 20th, 21st, 27th, and 28th May 2023 from 12.00 noon to 16.00 h. The indoor survey was conducted on 5th July 2023 at Lalbazar, the Kolkata Police Head Quarters. The same questionnaire was used for both indoor and outdoor surveys.
2.4. Data Analysis
Python software was used to analyze secondary ambient air quality data. Graphs were generated using the monthly averages of the collected data. Another series of graphs was generated to obtain the variation and trends of parameters within the research region over a five-year period (from 2019 to 2023). Statistical interpretation was applied to the data.
A statistical analysis of survey data from traffic police personnel was performed, as it was crucial for understanding the relationship between their occupational exposure to air pollution and their health outcomes. It provided evidence to support the development of policies, interventions, and measures that prioritize the well-being of these essential workers.
The odds ratio (OR) is a pivotal statistical measure that plays a critical role in epidemiology, medical research, and various other fields. The calculation of odds ratios played a crucial role in examining the association between air quality parameters and health outcomes for this study. Odds ratios provided a quantitative measure of the odds of an event occurring in one group compared to another, thereby helping to assess the strength and direction of the relationship between variables. In the context of air quality and health, odds ratios can elucidate the potential impact of various air pollutants on specific health conditions [47,48].
where:
a: Number of occurrences of the event in the exposed or experimental group.
b: Number of non-occurrences of the event in the exposed group.
c: Number of occurrences of the event in the unexposed or control group.
d: Number of non-occurrences of the event in the unexposed group.
An odds ratio greater than 1 indicates that the event is more likely to occur in the exposed group, while an odds ratio less than 1 suggests a higher likelihood of the event occurring in the unexposed group. An odds ratio of 1 indicates no association between the two variables [34].
The odds ratio can be interpreted as follows:
A forest plot serves as a graphical representation that effectively illustrates the relationship between air pollution and human health outcomes. This visualization technique is commonly used in meta-analyses and systematic reviews to present the results of multiple studies on a single topic, such as the effects of various air pollutants on health. Each study’s estimate of effect, often presented as odds ratios or relative risks, is displayed as a point estimate along with a confidence interval that indicates the precision of the estimate. This tool facilitates a clearer understanding of potential health risks associated with exposure to pollutants, aiding policymakers, healthcare professionals, and the public in making informed decisions to safeguard public health and mitigate the adverse effects of air pollution [49,50]. A forest plot was implemented to summarize the findings of the impact of air quality on health status.
2.5. Preparation of the Geographical Map
The geographic study area map was created utilizing the QGIS application (version 3.22.14).
3. Results and Discussion
To study the impact of ambient air on the health status of traffic police personnel, it is necessary to have an idea of the quality of the air in that study area. Analysis of air quality parameters over five years (from 2019 to 2023) was performed. Then, a comparative study was performed among the traffic police personnel and the police personnel who served indoors on their health-related symptoms.
3.1. Analysis of Air Quality Parameters
The secondary data of PM2.5, PM10, NO2, and SO2 were collected during the months of January 2019 to April 2023 from the Central Pollution Control Board Website [51].
According to the National Ambient Air Quality Standards (NAAQS), the 24 h permissible limits for PM2.5 and PM10 are set at 60 µg/m3 and 100 µg/m3, respectively, for various zones, including industrial, residential, rural, and others. Analysis of data revealed that these standards were consistently met from April to October for each year. However, during the winter months, spanning January to March and October to December, the levels exceed the prescribed limits. Notably, PM2.5 concentrations started to escalate in October, peaking in the colder months of December and January for each year. An alarming PM2.5 concentration of nearly 120 µg/m3 was recorded in early 2023 for Jadavpur and Victoria Memorial, while Ballygunge and Rabindra Bharati University also exceeded 100 µg/m3. Examining PM10 concentrations, Rabindra Bharati University reported the highest values from 2019 to 2023. Although there was slight decrease since 2019, the PM10 concentration remained over 200 µg/m3 in 2023, surpassing the standard. Furthermore, locations like Rabindra Bharati University, Jadavpur, and Ballygunge consistently demonstrated higher values compared to Rabindra Sarobar and Fort William. This discrepancy may be attributed to their proximity to busy traffic areas, whereas Rabindra Sarobar and Fort William benefited from their adjacent open spaces and greenery (Figure 3a–j).



Figure 3.
(a) The level of PM2.5 (µg/m3) at different locations in 2019. (b) The level of PM2.5 (µg/m3) at different locations in 2020. (c) The level of PM2.5 (µg/m3) at different locations in 2021. (d) The level of PM2.5 (µg/m3) at different locations in 2022. (e) The level of PM2.5 (µg/m3) at different locations in 2023. (f) The level of PM10 (µg/m3) at different locations in 2019. (g) The level of PM10 (µg/m3) at different locations in 2020. (h) The level of PM10 (µg/m3) at different locations in 2021. (i) The level of PM10 (µg/m3) at different locations in 2022. (j) The level of PM10 (µg/m3) at different locations in 2023.
In 2019, the highest recorded level of NO2 exceeded 120 µg/m3 in January in Victoria Memorial. According to the National Ambient Air Quality Standards (NAAQS), the permissible limit for NO2 in residential, industrial, rural, and other areas should not exceed 80 µg/m3. Apart from 2019, no noteworthy levels of NO2 were reported in any location throughout this study (Figure 4a–e).

Figure 4.
(a) The level of NO2 (µg/m3) at different locations in 2019. (b) The level of NO2 (µg/m3) at different locations in 2020. (c) The level of NO2 (µg/m3) at different locations in 2021. (d) The level of NO2 (µg/m3) at different locations in 2022. (e) The level of NO2 (µg/m3) at different locations in 2023.
As per the National Ambient Air Quality Standards (NAAQS), the permissible 24 h limit for SO2 is set at 80 µg/m3 for residential, industrial, rural, and other areas. Notably, the concentrations recorded at various sampling sites consistently remain within the defined standard value. This can be attributed to the fact that SO2 is generally not a primary air pollution contributor associated with traffic emissions. Instead, its primary sources are industrial processes and power generation, particularly those involving the combustion of fossil fuels containing sulfur compounds. The selected continuous ambient air quality monitoring sites in Kolkata, under the West Bengal Pollution Control Board, are strategically situated away from industrial zones. Consequently, the dominant sources of air pollution in these areas are vehicular emissions rather than industrial SO2 emissions (Figure 5a–e).

Figure 5.
(a) The level of SO2 (µg/m3) at different locations in 2019. (b) The level of SO2 (µg/m3) at different locations in 2020. (c) The level of SO2 (µg/m3) at different locations in 2021. (d) The level of SO2 (µg/m3) at different locations in 2022. (e) The level of SO2 (µg/m3) at different locations in 2023.
During winter, colder temperatures can lead to more stable atmospheric conditions. This stability can result in the trapping of pollutants near the ground, preventing their dispersion and leading to higher concentrations of particulate matter. This is often referred to as temperature inversion. The reason for a higher concentration of pollutants during the colder months is because of the inversion layer formed during colder seasons. The pollutants are trapped with a cold layer nearer to the surface of the earth and cannot disperse higher because of the warm layer formed above it and thus get trapped in this inversion layer [52]. Other than temperature, there are many meteorological factors, like humidity and wind speed, which influence the distribution of particulate matter, nitrogen dioxide, and sulfur dioxide, among others. In winter, when temperature inversions are common, these factors can interact to trap pollutants near the ground, causing air quality problems, especially in areas with emissions from sources like heating and transportation [53]. The primary origins of air pollutants include combustion processes, diverse technological activities, and vehicular traffic [54,55,56,57]. In many regions, energy demand for heating increases during winter [56,58]. This can lead to higher emissions from sources like residential heating systems, industrial processes, and vehicles [53]. Cold temperatures can influence combustion efficiency, leading to incomplete combustion and higher emissions of particulate matter from sources like vehicles and wood-burning stoves. Certain vehicle emissions surged by a factor of 10 as temperatures fluctuated between +30 °C and −7 °C, accompanied by a corresponding rise in fuel consumption [59]. The decrease in levels of pollutants, like nitrogen dioxide and carbon monoxide, during the summer months can be ascribed to their participation in photochemical reactions facilitated by solar radiation [60]. Summer winds and atmospheric mixing can help disperse pollutants more effectively, leading to lower particulate matter concentrations. In winter, the lower mixing height and slower winds can contribute to higher particulate matter concentrations [61].
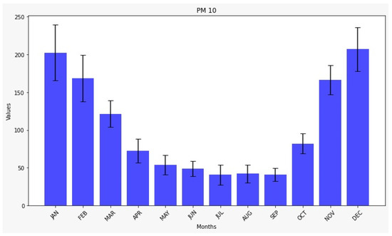
The monthly averages of each parameter analyzed year by year (from 2019 to 2023), consistently exhibited a similar pattern across all six selected locations. The analysis emphasized the need to accurately and transparently represent the data. The following visualizations each contain a single data point that is related to a particular month within the five-year period, capturing both seasonal and temporal changes (Figure 6, Figure 7, Figure 8 and Figure 9). Standard deviations were rigorously determined for each monthly measurement to accurately reflect the uncertainty and variability associated with these data points. Each bar represents a snapshot of the central tendency by representing the parameter’s mean value for a single month. In addition, the related error bars that extend from each bar include the estimated standard deviations, giving a complete picture of how the data are distributed around the mean (Figure 6, Figure 7, Figure 8 and Figure 9).
Figure 6.
The monthly averages of PM2.5 concentration (µg/m3) year by year (2019–2023) for six selected locations.
Figure 7.
The monthly averages of PM10 concentration (µg/m3) year by year (2019–2023) for six selected locations.
Figure 8.
The monthly averages of NO2 concentration (µg/m3) year by year (2019–2023) for six selected locations.
Figure 9.
The monthly averages of SO2 concentration (µg/m3) year by year (2019–2023) for six selected locations.
3.2. Analysis of Questionnaire-Based Survey Data
The in-person survey included 68 traffic police personnel (exposed group) and 31 police personnel primarily working indoors (control group), providing valuable insights into potential health disparities and challenges between these two distinct groups. Around 97% of the respondents were male for each set of groups, which shows that the profession is still male dominated. The age group of 31–40 years constituted the majority (52.9%) of traffic police personnel. Among those performing outdoor duties, a significant majority (64.7%) did not have a smoking habit. In terms of regular sports activity, 73.5% of traffic police personnel mentioned their non-involvement, whereas the figure was lower at 35.5% for police personnel with indoor duties. While a majority of both outdoor and indoor duty personnel had completed their graduate degree, the percentage was lower for traffic police personnel (35.3%) compared to indoor-duty police personnel (61.3%). Approximately 67.6% of traffic police personnel had work experience ranging from 5 to 10 years, whereas among indoor police personnel, this value was 35.5%. The majority (73.5%) of traffic police personnel reported duty hours of around 8–10 h on the road. In each category, over 60% of the respondents stated that they did not consume alcohol.
The survey revealed a higher prevalence of health issues commonly associated with outdoor exposure, such as throat irritation, running nose, sinusitis, sneezing, nasal congestion, and coughing. These health problems can be attributed to continuous exposure to polluted air and environmental irritants. In contrast, indoor police personnel are likely to experience a different set of health challenges. Symptoms related to lung issues often go unreported, as in many cases individuals are unaware of whether they have such symptoms.
Health problems like high blood pressure, visibility issues, spinal cord or back problems, difficulties in concentration, physical stress, and frequent irritations exhibit an odds ratio (OR) value below 1. Consequently, these ailments are not significantly associated with air pollution. Parameters with OR values greater than 1 are deemed risk factors within this study, displaying a robust positive correlation with traffic police personnel who experience regular and prolonged exposure to air pollution. Conversely, factors with an OR value less than 1 may not pose as risk factors during outdoor activities (Figure 10).
Figure 10.
Forest plot of the symptoms associated with air pollution.
The constant exposure to environmental elements and pollutants on the road can lead to discomforting symptoms such as throat irritation, running nose, sinusitis, sneezing, nasal congestion, and coughing. The findings of this study indicated that individuals exposed to long-term ambient air pollution experience a 1.93-fold increase in throat irritation or sore throat compared to those who are not exposed. In terms of running nose symptoms, the increase is approximately 3.85 times. Similarly, sinusitis, sneezing, and coughing were reported at rates 3.1, 3.33, and 1.43 times higher, respectively, among traffic police personnel. Notably, nasal congestion emerges as a significant risk factor for outdoor traffic police, with an odds ratio of approximately 4.69. Furthermore, the amalgamation of exhaust fumes and suspended particles has the potential to induce eye irritation by a factor of 1.98 among traffic police personnel. This combination also leads to itching sensations. Similarly, the mixture contributes to skin irritation and itching, presenting a challenge for these individuals in their work environment, with rates that are 3.49 times higher than those experienced by indoor police personnel. Prolonged exposure to elevated noise levels could potentially give rise to hearing issues. According to the findings of this study, traffic police personnel exhibited a notable tendency toward experiencing hearing problems, with a prevalence that was 5.09 times higher compared to other groups. Moreover, irregular working hours disrupt their sleep patterns, leading to sleeplessness and fatigue. Traffic police personnel often face demanding and high-pressure situations as they manage traffic flow, enforce regulations, and ensure road safety. These responsibilities may lead to increased levels of nervousness and anxiety. These health issues exhibit a positive and concerning correlation with air pollution, categorizing them as risk factors for traffic police personnel.
Traffic police personnel reported higher instances of respiratory discomfort and irritation due to their outdoor exposure, while indoor police personnel experienced indoor-related health problems. Staring at computer screens and paperwork may strain their eyes, causing visibility problems. Sitting for a long time may hurt their back. Additionally, the stress of managing office duties may affect their body and mind. The result showed that high blood pressure, visibility problems, spinal cord or back problems, difficulty concentrating, and physical and psychological stress with frequent irritation, are strongly associated with the health of indoor police personnel.
Approximately 73.5% of traffic police personnel indicated that their duty hours ranged from 8 to 10 h. Most of the symptoms linked to traffic police personnel were observed among those working within the 8–10 h duty range. Those aged between 41 and 50 years were most susceptible to health-related problems. Those who reported experiencing positive symptoms tended to have work experience of 5–10 years.
4. Recommendations
The government can implement various laws and initiatives to address the issue of air pollution exposure among the State of West Bengal’s traffic police personnel. This policy can be devised while considering factors such as the duty hours of traffic police personnel and their exposure patterns to air pollution. Moreover, an additional approach involves reducing pollution sources and incorporating technological solutions. Here are a few recommendations:
- Traffic police personnel can be protected from prolonged exposure to air pollution by implementing a roster system. The roster system is a mechanism to schedule traffic police personnels’ shifts to maintain adequate coverage while reducing their exposure to polluted environments on a continuous basis. This is how traffic police personnel will not be permanently stationed in the same high-pollution locations, decreasing their exposure to dangerous pollutants over an extended period. They can obtain enough rest in between shifts, which improves their alertness and effectiveness by allowing them to concentrate and make better decisions when on duty [36].
- To reduce exposure to peak traffic and pollution, shift timings should be optimized. Off-peak shifts are an approach where shifts can be scheduled during times of the day when traffic congestion is lower. Shift scheduling during peak traffic hours, such as early mornings and late afternoons, when pollution levels are generally higher due to increased vehicular activity, should be avoided. A reasonable shift duration should be maintained. The traffic police personnel should have adequate rest periods between shifts to recover from any potential exposure and stress [26,39,41,42].
- To keep employees safe while on the job, regular use of personal protective equipment (PPE), like N95 masks and respirators, should be encouraged [38,62].
- Traffic police personnel should be trained in the importance of reducing exposure to air pollution and educated about the health risks associated with prolonged exposure. Information on the proper use of PPE and healthy practices should be provided to minimize exposure during their shifts [42].
- The awareness campaign should start by arming traffic police personnel with thorough knowledge of the dangers that air pollution poses to their health. Specific high-risk areas with regularly high air pollution levels should be covered in the training. The training course should instruct police personnel on the early warning signs and symptoms of health problems due to air pollution. Because of their alertness, they can spot any health issues early and obtain treatment right away. Coughing, wheezing, shortness of breath, and eye or throat discomfort are some common symptoms. To identify any health difficulties due to exposure to air pollution early on, the government can set up health monitoring programs. A healthy lifestyle, characterized by consistent exercise, maintaining a balanced diet, and refraining from smoking, should be upheld [63].
- The promotion of green vehicles may reduce emissions and provide a cleaner working environment for traffic police personnel [64,65,66]. Incorporating sound urban planning by prioritizing green spaces, proper zoning, and efficient road networks can contribute to an overall improvement in air quality. Encouraging the adoption of public transport as an alternative to private vehicles holds the promise of reducing air pollution [67]. Organizing a campaign to generate public awareness about the impact of air pollution on traffic police personnel can be thoughtful [68].
These recommendations can mitigate the health risks faced by traffic police personnel in relation to various issues. By carefully considering these factors and conducting regular reviews of the roster system and shift timings can enhance overall benefits for traffic police personnel. The ideal shift timings and roster system should also consider local factors, including weather patterns, traffic flows, and air quality data. Additionally, implementing remote monitoring systems and utilizing technology to enable certain traffic control operations can provide alternative solutions [69]. Engaging various stakeholders, including government bodies, environmental organizations, and the public, is pivotal for ensuring the success of these strategies.
5. Conclusions
A significant occupational health issue among traffic police personnel was observed due to long-term exposure to ambient air pollution. The busy roadways, constantly subjected to vehicular emissions, particulate matter, and harmful pollutants from vehicles, can be some of the responsible factors. The risk of respiratory issues along with other health symptoms is increasing due to the consistent exposure to these pollutants.
This study’s findings emphasize the value of meticulous data gathering and statistical analysis in illuminating Kolkata’s intricate environmental dynamics. Five years of diligent ground data collection from many monitoring sites has allowed this study to gain insightful knowledge about essential parameters’ seasonal and temporal changes. This study was able to transparently communicate the uncertainty surrounding the measurements using error bars in the visual representations, such as bar charts. In this quest, statistical analysis has facilitated correlation analyses, trend identification, and hypothesis testing. These analytical methods have not only shed light on the details of the data but have also given rise to a framework for reasoned policy planning and decision making. By quantifying variability and identifying patterns, this study has contributed to a better knowledge of Kolkata’s environmental nuances, providing a valuable resource for environmental management methods and future research attempts. The success of this study demonstrated the effectiveness of data-driven analysis in deciphering the complexity of urban environmental systems. This pioneering study, the first of its kind in Kolkata, is evidence of the unrelenting dedication to the health and well-being of the hardworking traffic police personnel in the city. Given the exceptional and frequently tricky circumstances they live in daily, a deep-seated concern for their welfare is the driving force for this study. This study provided much-needed attention to the environmental dangers and health effects associated with their demanding jobs, such as exposure to noise and air pollution, heat stress, and potential hazards on the road. By raising awareness of these problems, this study clearly demonstrated the importance of enhancing public safety, fostering the development of evidence-based policies and initiatives and the protection of the well-being of the traffic police personnel.
Supplementary Materials
The following supporting information can be downloaded at: https://www.mdpi.com/article/10.3390/air2010001/s1, File S1: Questionnaire survey to assess the impact of pollution on Health Status of Traffic Police, Kolkata.
Author Contributions
Conceptualization, S.K., S.C. (Santanu Chowdhury), and T.G.; data curation, S.K., S.C. (Santanu Chowdhury), T.G., D.H., and A.R.; formal analysis, S.K., S.C. (Santanu Chowdhury), T.G., A.D., Z.G., T.T., I.T.R., and S.C. (Shreyashi Chatterjee); investigation, A.D., Z.G., T.T., I.T.R., and S.C. (Shreyashi Chatterjee); methodology, S.K., S.C. (Santanu Chowdhury), and T.G.; supervision, S.K. and A.R.; validation, A.R.; visualization, S.K. and D.H.; writing—original draft, S.K., S.C. (Santanu Chowdhury), and T.G.; writing—review and editing, A.R. All authors have read and agreed to the published version of the manuscript.
Funding
This research received no external funding.
Institutional Review Board Statement
The study was conducted in accordance with the Declaration of Helsinki and was approved by the Dy. Commissioner of Police, Traffic Department of Kolkata (Memo No. TP/PA/I 83625 issued on 11 May 2023).
Informed Consent Statement
Informed consent was obtained from all subjects involved in the study.
Data Availability Statement
The data presented in this study are available upon request from the corresponding author.
Acknowledgments
The authors want to acknowledge Asutosh College, Kolkata, Indian Institute of Technology, Delhi, and Navajo Technical University, US, for all their invaluable support and encouragement throughout this study. The authors also acknowledge Anirudha Paul for his valuable assistance in preparing the maps. The authors acknowledge the help of Sibaditya Mondal during data collection.
Conflicts of Interest
The authors declare no conflicts of interest.
References
- Pope, C.A., 3rd; Thun, M.J.; Namboodiri, M.M.; Dockery, D.W.; Evans, J.S.; Speizer, F.E.; Heath, C.W. Particulate air pollution as a predictor of mortality in a prospective study of US adults. Am. J. Respir. Crit. Care Med. 1995, 151, 669–674. [Google Scholar] [CrossRef] [PubMed]
- Brunekreef, B.; Holgate, S.T. Air pollution and health. Lancet 2002, 360, 1242. [Google Scholar] [CrossRef] [PubMed]
- Organisation for Economic Co-Operation and Development. The Economic Consequences of Outdoor Air Pollution; Organisation for Economic Co-Operation and Development Publishing: Paris, France, 2016. [Google Scholar]
- Kar, S.; Ghosh, I.; Show, S.; Sen, A.; Gupta, T.; Chowdhury, P.; Chatterjee, T.; RoyChowdhury, A. Impact of Coronavirus (COVID-19) Outbreak on Society, Air Quality, and Economy in India: A Study of Three “P”s of Sustainability in India. Sustainability 2021, 13, 2873. [Google Scholar] [CrossRef]
- Smith, K.R.; Ezzati, M. How environmental health risks change with development: The epidemiologic and environmental risk transitions revisited. Annu. Rev. Environ. Resour. 2005, 30, 291–333. [Google Scholar] [CrossRef]
- Global Burden of Disease Study 2015. Global, regional, and national comparative risk assessment of 79 behavioral, environmental and occupational, and metabolic risks or clusters of risks, 1990–2015: A systematic analysis for the Global Burden of Disease Study 2015. Lancet 2016, 388, 1659–1724. [CrossRef]
- Prüss-Üstun, A.; Wolf, J.; Corvalán, C.; Bos, R.; Neira, M. Preventing Disease through Healthy Environments: A Global Assessment of the Burden of Disease from Environmental Risks; World Health Organization: Geneva, Switzerland, 2016. [Google Scholar]
- Pope, C.A.; Ezzati, M.; Dockery, D.W. Fine-particulate air pollution and life expectancy in the United States. N. Engl. J. Med. 2009, 360, 376–386. [Google Scholar] [CrossRef] [PubMed]
- Chowdhury, S.; Dey, S. Cause-specific premature death from ambient PM2.5 exposure in India: Estimate adjusted for baseline mortality. Environ. Int. 2016, 91, 283–290. [Google Scholar] [CrossRef]
- Gao, M.; Saide, P.E.; Xin, J.; Wang, Y.; Liu, Z.; Wang, Y.; Wang, Z.; Pagowski, M.; Guttikunda, S.K.; Carmichael, G.R. Estimates of health impacts and radiative forcing in winter haze in eastern China through constraints of surface PM2.5 predictions. Environ. Sci. Technol. 2017, 51, 2178–2185. [Google Scholar] [CrossRef]
- Wang, J.; Xing, J.; Mathur, R.; Pleim Jonathan, E.; Wang, S.; Hogrefe, C.; Gan, C.-M.; Wong, D.C.; Hao, J. Historical trends in PM2.5-related premature mortality during 1990–2010 across the northern hemisphere. Environ. Health Perspect. 2017, 125, 400–408. [Google Scholar] [CrossRef]
- Gao, M.; Beig, G.; Song, S.; Zhang, H.; Hu, J.; Ying, Q.; Liang, F.; Liu, Y.; Wang, H.; Lu, X.; et al. The impact of power generation emissions on ambient PM2.5 pollution and human health in China and India. Environ. Int. 2018, 121, 250–259. [Google Scholar] [CrossRef]
- Huang, J.; Pan, X.; Guo, X.; Li, G. Health impact of China’s Air Pollution Prevention and Control Action Plan: An analysis of national air quality monitoring and mortality data. Lancet Planet. Health 2018, 2, e313–e323. [Google Scholar] [CrossRef] [PubMed]
- WHO. WHO Global Urban Ambient Air Pollution Database (Update 2016). 2016. Available online: http://www.who.int/airpollution/data/cities-2016/en/ (accessed on 20 August 2023).
- Atkinson, R.W.; Kang, S.; Anderson, H.R.; Mills, I.C.; Walton, H.A. Epidemiological time series studies of PM2.5 and daily mortality and hospital admissions: A systematic review and meta-analysis. Thorax 2014, 69, 660–665. [Google Scholar] [CrossRef] [PubMed]
- Héroux, M.-E.; Anderson, H.R.; Atkinson, R.; Brunekreef, B.; Cohen, A.; Forastiere, F.; Hurley, F.; Katsouyanni, K.; Krewski, D.; Krzyzanowski, M.; et al. Quantifying the health impacts of ambient air pollutants: Recommendations of a WHO/Europe project. Int. J. Public Health 2015, 60, 619–627. [Google Scholar] [CrossRef] [PubMed]
- Johansson, C.; Norman, M.; Gidhagen, L. Spatial and temporal variations of PM10 and particle number concentrations in urban air. Environ. Monit. Assess. 2007, 127, 477–487. [Google Scholar] [CrossRef] [PubMed]
- Zoran, M.; Savastru, D.; Dida, A. Assessing urban air quality and its relation with radon (222Rn). J. Radioanal. Nucl. Chem. 2016, 309, 909–922. [Google Scholar] [CrossRef]
- Wu, C.F.; Shen, F.H.; Li, Y.R.; Tsao, T.M.; Tsai, M.J.; Chen, C.C.; Hwang, J.-S.; Hsu, S.H.-J.; Chao, H.; Chuang, K.-J.; et al. Association of short-term exposure to fine particulate matter and nitrogen dioxide with acute cardiovascular effects. Sci. Total Environ. 2016, 569–570, 300–305. [Google Scholar] [CrossRef]
- Longhin, E.; Holme, J.A.; Gualtieri, M.; Camatini, M.; Øvrevik, J. Milan winter fine particulate matter (PM2.5) induces IL-6 and IL-8 synthesis in human bronchial BEAS-2B cells, but specifically impairs IL-8 release. Toxicol. Vitr. 2018, 52, 365–373. [Google Scholar] [CrossRef] [PubMed]
- Prabhu, V.; Shridhar, V. Investigation of potential sources, transport pathway, and health risks associated with respirable suspended particulate matter in Dehradun city, situated in the foothills of the Himalayas. Atmos. Pollut. Res. 2019, 10, 187–196. [Google Scholar] [CrossRef]
- WHO. Air Quality Guidelines for Europe, 2nd ed.; WHO Regional Publications European Series; WHO: Copenhagen, Denmark, 2000; Volume 91, pp. 1–287. ISBN 92-890-1358-3. [Google Scholar]
- Holman, C. Sources of Air Pollution. In Air Pollution and Health; Academic Press: Cambridge, MA, USA, 1999; pp. 115–148. [Google Scholar] [CrossRef]
- He, M.Z.; Kinney, P.L.; Li, T.; Chen, C.; Sun, Q.; Ban, J.; Wang, J.; Liu, S.; Goldsmith, J.; Kioumourtzoglou, M.-A.; et al. Short-and intermediate-term exposure to NO2 and mortality: A multi-county analysis in China. Environ. Pollut. 2020, 261, 114165. [Google Scholar] [CrossRef]
- Tonne, C.; Beevers, S.; Armstrong, B.; Kelly, F.; Wilkinson, P. Air pollution and mortality benefits of the London Congestion Charge: Spatial and socioeconomic inequalities. Occup. Environ. Med. 2008, 65, 620–627. [Google Scholar] [CrossRef]
- Zhang, D.; Iwasaka, Y. Chlorine deposition on dust particles in marine atmosphere. Geophys. Res. Lett. 2001, 28, 3613–3616. [Google Scholar] [CrossRef]
- Longo, B.; Rossignol, A.; Green, J. Cardiorespiratory Health Effects Associated with Sulphurous Volcanic Air Pollution. Public Health 2008, 122, 809–820. [Google Scholar] [CrossRef] [PubMed]
- Alberta Environment. In Sulphur Dioxide: Environmental Effects, Fate and Behaviour; Alberta Environment: Edmonton, ON, Canada, 2003; ISBN 0-7785-3216-x. (on-line edition).
- Chestnut, L.G. Human Health Benefits from Sulfate Reductions under Title IV of the 1990 Clean Air Act Amendments; Final Report; US EPA, Office of Atmospheric Programs, Acid Rain Division: Washington, DC, USA, 1995.
- Burgaz, S.; Demircigil, G.C.; Karahalil, B.; Karakaya, A.E. Chromosomal damage in peripheral blood lymphocytes of traffic policemen and taxi drivers exposed to urban air pollution. Chemosphere 2002, 47, 57–64. [Google Scholar] [CrossRef] [PubMed]
- Tan, C.; Wang, Y.; Lin, M.; Wang, Z.; He, L.; Li, Z.; Li, Y.; Xu, K. Long-term high air pollution exposure induced metabolic adaptations in traffic policemen. Environ. Toxicol. Pharmacol. 2018, 58, 156–162. [Google Scholar] [CrossRef] [PubMed]
- Satapathy, D.M.; Behera, T.R.; Tripathy, R.M. Health status of traffic police personnel in Brahmapur city. Indian J. Community Med. 2009, 34, 71. [Google Scholar] [CrossRef] [PubMed]
- Chakraborty, A. Effects of air pollution on public health: The case of vital traffic junctions under Kolkata Municipal Corporation. J. Stud. Dyn. Chang. 2014, 1, 125–133. [Google Scholar]
- Sharma, H.K.; Dandotiya, B.; Jadon, N. Exposure of air pollution and its health effects in traffic police persons of Gwalior City, India. Environ. Claims J. 2017, 29, 305–315. [Google Scholar] [CrossRef]
- Spiroska, J.; Rahman, A.; Pal, S. Air Pollution in Kolkata: An Analysis of Current Status and Interrelation between Different Factors. SEEU Rev. 2011, 8, 182–214. [Google Scholar] [CrossRef]
- Mukherjee, A.; Mukherjee, G. Occupational exposure of the traffic personnel of Calcutta to lead and carbon monoxide. Pollut. Res. 1998, 17, 359–362. [Google Scholar]
- Kazimuddin, A.; Banerjee, L. Fighting for Air. Down to Earth. 2000. Available online: https://www.downtoearth.org.in/coverage/fighting-for-air-18428 (accessed on 12 July 2023).
- Delfino, R.J. Epidemiologic evidence for asthma and exposure to air toxics: Linkages between occupational, indoor, and community air pollution research. Environ. Health Perspect. 2002, 110 (Suppl. S4), 573. [Google Scholar] [CrossRef]
- EPA. Final Report: Integrated Science Assessment for Sulfur Oxides. 2008. Available online: https://cfpub.epa.gov/ncea/isa/recordisplay.cfm?deid=198843 (accessed on 12 July 2023).
- EPA. Final Report: Integrated Science Assessment for Particulate Matter. 2009. Available online: https://cfpub.epa.gov/ncea/risk/recordisplay.cfm?deid=216546 (accessed on 14 July 2023).
- Ling, S.H.; van Eeden, S.F. Particulate matter air pollution exposure: Role in the development and exacerbation of chronic obstructive pulmonary disease. Int. J. Chronic Obstr. Pulm. Dis. 2009, 4, 233–243. [Google Scholar] [CrossRef] [PubMed]
- Ghorani-Azam, A.; Riahi-Zanjani, B.; Balali-Mood, M. Effects of air pollution on human health and practical measures for prevention in Iran. J. Res. Med. Sci. 2016, 21, 65. [Google Scholar] [CrossRef] [PubMed]
- Brenes, G.A. Anxiety and chronic obstructive pulmonary disease: Prevalence, impact, and treatment. Psychosom. Med. 2003, 65, 963–970. [Google Scholar] [CrossRef] [PubMed]
- Scott, K.M.; Von Korff, M.; Ormel, J.; Zhang, M.Y.; Bruffaerts, R.; Alonso, J.; Kessler, R.C.; Tachimori, H.; Karam, E.; Levinson, D.; et al. Mental disorders among adults with asthma: Results from the World Mental Health Survey. Gen. Hosp. Psychiatry 2011, 29, 123–133. [Google Scholar] [CrossRef] [PubMed]
- Yohannes, A.M.; Willgoss, T.G.; Baldwin, R.C.; Connolly, M.J. Depression and anxiety in chronic heart failure and chronic obstructive pulmonary disease: Prevalence, relevance, clinical implications and management principles. Int. J. Geriatr. Psychiatry 2010, 25, 1209–1221. [Google Scholar] [CrossRef]
- Spitzer, C.; Gläser, S.; Grabe, H.J.; Ewert, R.; Barnow, S.; Felix, S.B.; Freyberger, H.J.; Völzke, H.; Koch, B.; Schäper, C. Mental health problems, obstructive lung disease and lung function: Findings from the general population. J. Psychosom. Res. 2007, 71, 174–179. [Google Scholar] [CrossRef]
- Ingle, S.T.; Pachpande, B.G.; Wagh, N.D.; Patel, V.S.; Attarde, S.B. Exposure to Vehicular Pollution and Respiratory Impairment of Traffic Policemen in Jalgaon City, India. Ind. Health 2005, 43, 656–662. [Google Scholar] [CrossRef]
- Ritz, B.; Lee, P.C.; Hansen, J.; Lassen, C.F.; Ketzel, M.; Sørensen, M.; Raaschou-Nielsen, O. Traffic-Related Air Pollution and Parkinson’s Disease in Denmark: A Case–Control Study. Environ. Health Perspect. 2016, 124, 351–356. [Google Scholar] [CrossRef]
- Fathi Najafi, T.; Latifnejad Roudsari, R.; Namvar, F.; Ghavami Ghanbarabadi, V.; Hadizadeh Talasaz, Z.; Esmaeli, M. Air Pollution and Quality of Sperm: A Meta-Analysis. Iran. Red Crescent Med. J. 2015, 17, e26930. [Google Scholar] [CrossRef]
- Dhiman, V.; Trushna, T.; Raj, D.; Tiwari, R.R. Is ambient air pollution a risk factor for Parkinson’s disease? A meta-analysis of epidemiological evidence. Int. J. Environ. Health Res. 2022, 33, 733–750. [Google Scholar] [CrossRef]
- Central Pollution Control Board. 2023. Available online: https://cpcb.nic.in/ (accessed on 15 June 2023).
- Cichowicz, R.; Wielgosiński, G.; Fetter, W. Dispersion of atmospheric air pollution in summer and winter season. Environ. Monit. Assess. 2017, 189, 605. [Google Scholar] [CrossRef]
- Jeż, M. Ochrona Atmosfery; Oficyna Wydawnicza Wyższej Szkoły Ekologii i Zarządzania: Warszawa, Poland, 2009. [Google Scholar]
- Nemitz, E.; Hargreaves, K.J.; McDonald, A.G.; Dorsey, J.R.; Fowler, D. Micrometeorological measurements of the urban heat budget and CO2 emissions on a city scale. Environ. Sci. Technol. 2002, 36, 3139–3146. [Google Scholar] [CrossRef] [PubMed]
- Lin, W.; Xu, X.; Ge, B.; Liu, X. Gaseous pollutants in Beijing urban area during the heating period 2007–2008: Variability, sources, meteorological, and chemical impacts. Atmos. Chem. Phys. 2011, 11, 8157–8170. [Google Scholar] [CrossRef]
- Gurney, K.R.; Razlivanov, I.; Song, Y.; Zhou, Y.; Benes, B.; Massih, M.A. Quantification of fossil fuel CO2 emissions on the building/street scale for a large U.S. City. Environ. Sci. Technol. 2012, 46, 12194–12202. [Google Scholar] [CrossRef] [PubMed]
- Lelieveld, J.; Evans, J.S.; Fnais, M.; Giannadaki, D.; Pozzer, A. The contribution of outdoor air pollution sources to premature mortality on a global scale. Nature 2015, 525, 367–371. [Google Scholar] [CrossRef] [PubMed]
- Yusuf, A.A.; Inambao, F.L. Effect of cold start emissions from gasoline-fueled engines of light-duty vehicles at low and high ambient temperatures: Recent trends. Case Stud. Therm. Eng. 2019, 14, 100417. [Google Scholar] [CrossRef]
- Watson, A.Y.; Bates, R.R.; Kennedy, D. (Eds.) Atmospheric Transport and Dispersion of Air Pollutants Associated with Vehicular Emissions, Air Pollution, the Automobile, and Public Health; National Academies Press (US): Cambridge, MA, USA, 1988. Available online: https://www.ncbi.nlm.nih.gov/books/NBK218142/ (accessed on 16 July 2023).
- Cichowicz, R.; Wielgosiński, G. Effect of meteorological conditions and building location on CO2 concentration in the university campus. Ecol. Chem. Eng. S 2015, 22, 513–525. [Google Scholar] [CrossRef]
- Won, W.S.; Oh, R.; Lee, W.; Ku, S.; Su, P.C.; Yoon, Y.J. Hygroscopic properties of particulate matter and effects of their interactions with weather on visibility. Sci. Rep. 2021, 11, 16401. [Google Scholar] [CrossRef]
- Long, Y.; Hu, T.; Liu, L.; Chen, R.; Guo, Q.; Yang, L.; Cheng, Y.; Huang, J.; Du, L. Effectiveness of N95 respirators versus surgical masks against influenza: A systematic review and meta-analysis. J. Evid.-Based Med. 2020, 13, 93–101. [Google Scholar] [CrossRef]
- Ramírez, A.S.; Ramondt, S.; Van Bogart, K.; Perez-Zuniga, R. Public awareness of air pollution and health threats: Challenges and opportunities for communication strategies to improve environmental health literacy. J. Health Commun. 2019, 24, 641–649. [Google Scholar] [CrossRef]
- Pandey, A.; Shukla, K.; Ahlawat, J.; Negi, R.; Pandey, D.K. Environmental Issues and Policies; Orange Books Publication: Bhilai, India; Available online: https://www.researchgate.net/publication/373074937_Environmental_Issues_And_Policies (accessed on 16 July 2023).
- Acharya, S.; Aithal, P.S. Green Fueling for the Future Electric Vehicle. Available online: https://books.google.ie/books?id=GYHezwEACAAJ&dq=Green+fueling+for+the+future+electric+vehicle&hl=&cd=1&source=gbs_api (accessed on 16 July 2023).
- Sanguesa, J.A.; Torres-Sanz, V.; Garrido, P.; Martínez, F.J.; Marquez-Barja, J.M. A Review on Electric Vehicles: Technologies and Challenges. Smart Cities 2020, 4, 372–404. [Google Scholar] [CrossRef]
- Nurdden, A.; Rahmat, R.A.O.K.; Ismail, A. Effect of transportation policies on modal shift from private car to public transport in Malaysia. J. Appl. Sci. 2007, 7, 1013–1018. [Google Scholar] [CrossRef]
- Suwal, R.; Ale, B.B. Idling fuel consumption and emissions of public vehicles run by Bhaktapur Minibus Sewa Samiti and its reduction possibilities. J. Inst. Eng. 2019, 15, 155–164. [Google Scholar] [CrossRef]
- Saxena, J.; Yadav, R.; Singh, S.K. Remote Traffic Monitoring & Control System. In Proceedings of the IEEE 2018 International Conference on Advances in Computing, Communication Control and Networking (ICACCCN), Greater Noida, India, 12–13 October 2018; pp. 552–557. [Google Scholar] [CrossRef]
Disclaimer/Publisher’s Note: The statements, opinions and data contained in all publications are solely those of the individual author(s) and contributor(s) and not of MDPI and/or the editor(s). MDPI and/or the editor(s) disclaim responsibility for any injury to people or property resulting from any ideas, methods, instructions or products referred to in the content. |
© 2024 by the authors. Licensee MDPI, Basel, Switzerland. This article is an open access article distributed under the terms and conditions of the Creative Commons Attribution (CC BY) license (https://creativecommons.org/licenses/by/4.0/).














