Reduction of Typical Diesel NOx Emissions by SCR-NH3 Using Metal-Exchanged Natural Zeolite and SBA-15 Catalysts
Abstract
1. Introduction
2. Materials and Methods
2.1. Catalysts Preparation
2.1.1. Chemical
2.1.2. Catalysts Preparation
2.2. Characterization of the Solids
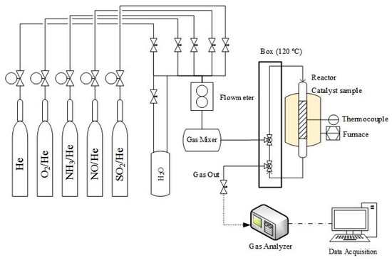
2.3. Catalytic Test
3. Results
3.1. XRD and FTIR Structural Characterizations
3.2. Textural Properties and Acidity
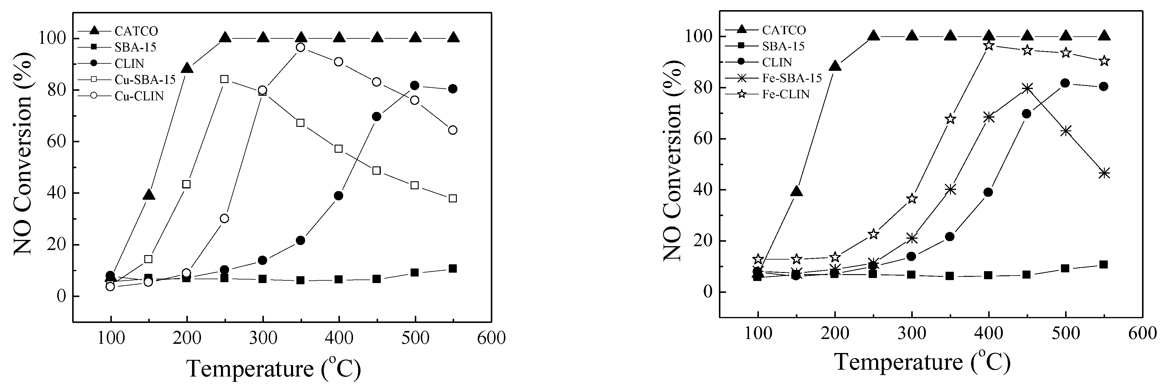
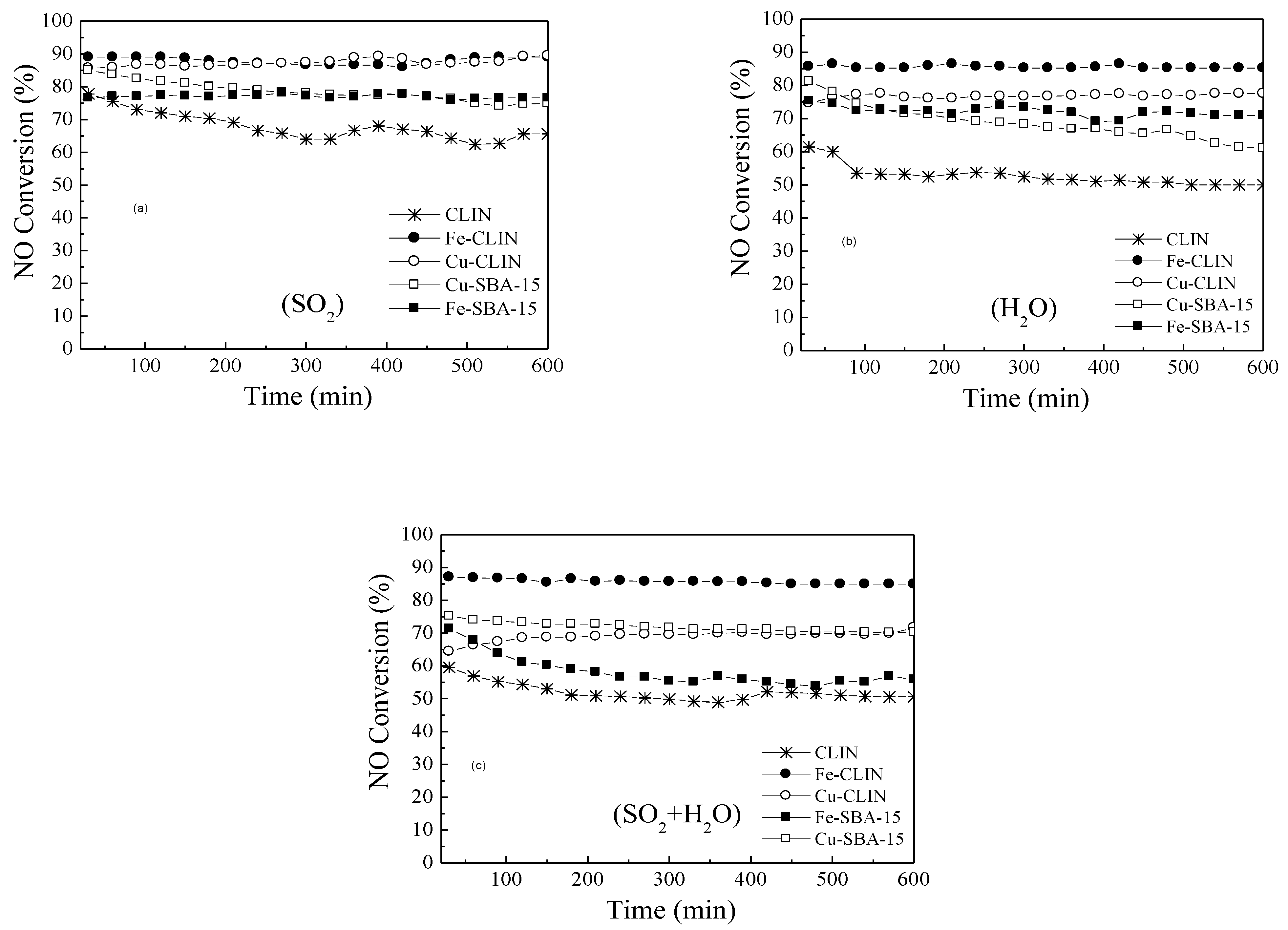
3.3. Activity Tests
4. Discussion
| Catalyst | % Metal Loading (wt.%) | Maximum Temperature Conversion (°C) | Maximum NO Abatement % | Reference |
|---|---|---|---|---|
| Cu-SBA-15 | 1.6 | 250 | 84.1 | |
| Fe-SBA-15 | 2.0 | 450 | 79.7 | |
| Cu-CLIN | 1.7 | 350 | 96.3 | This work |
| Fe-CLIN | 1.7 | 400 | 96.5 | |
| Fe-ZSM5 | 2.0 | 350 | 95.0 | [23] |
| Cu-ZSM5 | 2.0 | 350 | 98.1 | [29] |
| Cu-MORD | 4.0 | 350 | 100 | |
| Fe-MORD | 4.0 | 350 | 100 | |
| Cu/SSZ-13 | 2.8 | 250–350 | 99.0 | [57] |
| Cu/SSZ-13 | 2.0 | 150–600 | 73.0 | [26] |
| Fe/SSZ-13 | 1.37 | 330 | 88.0 | [61] |
| Cu/BEA | 2.0 | 300 | 99.0 | [27] |
| Fe/BEA | 2.0 | 400 | 99.0 | |
| CuPPH(Cu3i) | 3.0 | 400 | 95.7 | [31] |
5. Conclusions
Author Contributions
Funding
Institutional Review Board Statement
Informed Consent Statement
Data Availability Statement
Acknowledgments
Conflicts of Interest
References
- Hagan, R.; Markey, E.; Clancy, J.; Keating, M.; Donnelly, A.; O’Connor, D.J.; Morrison McGillicuddy, E.J. Non-Road Mobile Machinery Emissions and Regulations: A Review. Air 2023, 1, 14–36. [Google Scholar] [CrossRef]
- Policarpo, N.A.; Silva, C.; Lopes, T.F.A.; Araújo, R.S.; Cavalcante, F.S.A.; Pitombo, C.S.; Oliveira, M.L.M. Road vehicle emission inventory of a Brazilian metropolitan area and insights for other emerging economies. Transp. Res. Part D Transp. Environ. 2018, 58, 172–185. [Google Scholar] [CrossRef]
- Saboori, B.; Sapri, M.; Baba, M. Economic growth, energy consumption and CO2 emissions in OECD (Organization for Economic Co-operation and Development)’s transport sector: A fully modified bi-directional relationship approach. Energy 2014, 66, 150–161. [Google Scholar] [CrossRef]
- Moreno-Tost, R.; Santamaría-González, J.; Rodríguez-Castellón, E.; Jiménez-López, A.; Autié, M.A.; González, E.; Glacial, M.C.; De las Pozas, C. Selective catalytic reduction of nitric oxide by ammonia over Cu-exchanged Cuban natural zeolites. Appl. Catal. B Environ. 2004, 50, 279–288. [Google Scholar] [CrossRef]
- Moreno-Tost, R.; Santamaría-González, J.; Rodríguez-Castellón, E.; Jiménez-López, A.; Autié, M.A.; Glacial, M.C.; Castro, G.A.; Guerra, M. Selective Catalytic Reduction of Nitric Oxide by Ammonia over Ag and Zn-Exchanged Cuban Natural Zeolites. Z. Für Anorg. Und Allg. Chem. 2005, 631, 2253–2257. [Google Scholar] [CrossRef]
- Sounak, R.; Hegde, M.S.; Giridhar, M. Catalysis for NOx abatement. Appl. Energy 2009, 86, 2283–2297. [Google Scholar] [CrossRef]
- Kwon, D.W.; Nam, K.B.; Hong, S.C. Influence of tungsten on the activity of a Mn/Ce/W/Ti catalyst for the selective catalytic reduction of NO with NH3 at low temperatures. Appl. Catal. A Gen. 2015, 497, 160–166. [Google Scholar] [CrossRef]
- Oliveira Santos, V.; Costa Rocha, P.A.; Scott, J.; Van Griensven Thé, J.; Gharabaghi, B. Spatiotemporal Air Pollution Forecasting in Houston-TX: A Case Study for Ozone Using Deep Graph Neural Networks. Atmosphere 2023, 14, 308. [Google Scholar] [CrossRef]
- Li, X.; Li, X.; Chen, J.; Li, J.; Hao, J. An efficient novel regeneration method for Ca-poisoning V2O5-WO3/TiO2 catalyst. Catal. Commun. 2016, 87, 45–48. [Google Scholar] [CrossRef]
- Shi, J.; Zhang, Z.; Chen, M.; Zhang, Z.; Shangguan, W. Promotion effect of tungsten and iron co-addition on the catalytic performance of MnOx/TiO2 for NH3-SCR of NOx. Fuel 2017, 210, 783–789. [Google Scholar] [CrossRef]
- Long, R.Q.; Yang, R.T. Selective Catalytic Reduction of NO with Ammonia over Fe3+-Exchanged Mordenite (Fe–MOR): Catalytic Performance, Characterization, and Mechanistic Study. J. Catal. 2002, 207, 274–285. [Google Scholar] [CrossRef]
- Kim, M.H.; Nam, I.S.; Kim, Y.G. Water tolerance of mordenite-type zeolite catalysts for selective reduction of nitric oxide by hydrocarbons. Appl. Catal. B Environ. 1997, 12, 125–145. [Google Scholar] [CrossRef]
- Brandin, J.G.M.; Andersson, L.A.H.; Odenbrand, C.U.I. Catalytic reduction of nitrogen oxides on mordenite some aspect on the mechanism. Catal. Today 1989, 4, 187–203. [Google Scholar] [CrossRef]
- Corma, A.; Fornes, V.; Palomares, E. Selective catalytic reduction of NOx on Cu-beta zeolites. Appl. Catal. B Envriron. 1997, 11, 233–242. [Google Scholar] [CrossRef]
- Rahkamaa-Tolonen, K.; Maunula, T.; Lomma, M.; Huuhtanen, M.; Keiski, R.L. The effect of NO2 on the activity of fresh and aged zeolite catalysts in the NH3-SCR reaction. Catal. Today 2005, 100, 217–222. [Google Scholar] [CrossRef]
- Liang, X.; Li, J.; Lin, Q.; Sun, K. Synthesis and characterization of mesoporous Mn/Al-SBA-15 and its catalytic activity for NO reduction with ammonia. Catal. Commun. 2007, 8, 1901–1904. [Google Scholar] [CrossRef]
- Zhang, H.; Tang, C.; Sun, C.; Qi, L.; Gao, F.; Dong, L.; Chen, Y. Direct synthesis, characterization and catalytic performance of bimetallic Fe–Mo-SBA-15 materials in selective catalytic reduction of NO with NH3. Microporous Mesoporous Mater 2012, 151, 44–55. [Google Scholar] [CrossRef]
- Tu, C.H.; Wang, A.Q.; Zheng, M.Y.; Wang, X.D.; Zhang, T. Factors influencing the catalytic activity of SBA-15-supported copper nanoparticles in CO oxidation. J. Appl. Catal. A Gen. 2006, 297, 40–47. [Google Scholar] [CrossRef]
- Chmielarz, L.; Kuśtrowski, P.; Dziembaj, R.; Cool, P.; Vansant, E.F. Catalytic performance of various mesoporous silicas modified with copper or iron oxides introduced by different ways in the selective reduction of NO by ammonia. Appl. Catal. B Environ. 2006, 62, 369–380. [Google Scholar] [CrossRef]
- Iznaga, I.R.; Petranovskii, V.; Fuentes, G.R.; Mendoza, C.; Aguilar, A.B. Exchange and reduction of Cu2+ ions in clinoptilolite. J. Colloid Interface Sci. 2007, 316, 877–886. [Google Scholar] [CrossRef]
- Bello, E.; Ferri, P.; Nero, M.; Willhammar, T.; Millet, I.; Schütze, F.W.; Tendeloo, L.W.; Vennestrøm, P.N.R.; Boronat, M.; Corma, A.; et al. NH3-SCR catalysts for heavy-duty diesel vehicles: Preparation of CHA-type zeolites with low-cost templates. Appl. Catal. B Environ. 2022, 303, 120928. [Google Scholar] [CrossRef]
- Zhao, D.; Feng, J.; Huo, Q.; Melosh, N.; Fredrickson, G.H.; Chmelka, B.F.; Stucky, G.D. Triblock Copolymer Syntheses of Mesoporous Silica with Periodic 50 to 300 Angstrom Pores. Science 1998, 279, 548–552. [Google Scholar] [CrossRef] [PubMed]
- Oliveira, M.L.M.; Silva, C.M.; Moreno-Tost, R.; Farias, T.L.; Jiménez-López, A.; Rodríguez-Castellón, E. A study of copper-exchanged mordenite natural and ZSM-5 zeolites as SCR–NOx catalysts for diesel road vehicles: Simulation by neural networks approach. Appl. Catal. B Environ. 2009, 88, 420–429. [Google Scholar] [CrossRef]
- Korkuna, O.; Leboda, R.; Skubiszewska-Zieba, J.; Vrublevs’ka, T.; Gun’ko, V.M.; Ryczkowski, J. Structural and physicochemical properties of natural zeolites: Clinoptilolite and mordenite. Microporous Mesoporous Mater 2006, 87, 243–254. [Google Scholar] [CrossRef]
- Sacramento, R.A.; Cysneiros, O.M.S.; Silva, B.J.B.; Silva, A.O.S. Synthesis and characterization of mesoporous materials with SBA and MCM structure types. Cerâmica 2019, 65, 376. [Google Scholar] [CrossRef]
- Yu, R.; Zhao, Z.; Huang, S.; Zhang, W. Cu-SSZ-13 zeolite–metal oxide hybrid catalysts with enhanced SO2-tolerance in the NH3-SCR of NOx. Appl. Catal. B Environ. 2020, 269, 118825. [Google Scholar] [CrossRef]
- Shishkin, A.; Shwan, S.; Pingel, T.N.; Olsson, E.; Clemens, A.; Carlsson, P.-A.; Härelind, H.; Skoglundh, M. Functionalization of SSZ-13 and Fe-Beta with Copper by NH3 and NO Facilitated Solid-State Ion-Exchange. Catalysts 2017, 7, 232. [Google Scholar] [CrossRef]
- Datka, J.; Turek, A.M.; Jehng, J.M.; Wasch, I.E. Acidic properties of supported niobium oxide catalysts: An infrared spectroscopy investigation. J. Catal. 1992, 135, 186–199. [Google Scholar] [CrossRef]
- Oliveira, M.L.M.; Silva, C.M.; Moreno-Tost, R.; Farias, T.L.; Jiménez-López, A.; Rodriguez-Castellon, E. Simulation of SCR equipped vehicles using iron-zeolite catalysts. Appl. Catal. A Gen. 2009, 366, 13–21. [Google Scholar] [CrossRef]
- Oliveira, M.L.M.; Silva, C.M.; Moreno-Tost, R.; Farias, T.L.; Jiménez-López, A.; Rodríguez-Castellón, E. Modelling of NOx emission factors from heavy and light-duty vehicles equipped with advanced aftertreatment systems. Energy Convers. Manag. 2011, 52, 2945–2951. [Google Scholar] [CrossRef]
- Moreno-Tost, R.; Oliveira, M.L.M.; Eliche-Quesada, D.; Jiménez-Jiménez, J.; Jiménez-López, A.; Rodriguez-Castellon, E. Evaluation of Cu-PPHs as active catalysts for the SCR process to control NOx emissions from heavy duty diesel vehicles. Chemosphere 2008, 72, 608–615. [Google Scholar] [CrossRef] [PubMed]
- Koltsakis, G.C.; Stamatelos, A.M. Modeling dynamic phenomena in 3-way catalytic converters. Chem. Eng. Sci. 1999, 54, 4567–4578. [Google Scholar] [CrossRef]
- Rivera-Garza, M.; Olguín, M.T.; García-Sosa, I.; Alcántara, D.; Rodríguez-Fuentes, G. Silver supported on natural Mexican zeolite as an antibacterial material. Microporous Mesoporous Mater. 2000, 39, 431–444. [Google Scholar] [CrossRef]
- Shin, Y.; Jung, Y.; Cho, C.P.; Pyo, Y.D.; Jang, J.; Kim, G.; Kim, T.M. NOx abatement and N2O formation over urea-SCR systems with zeolite supported Fe and Cu catalysts in a nonroad diesel engine. Chem. Eng. J. 2020, 381, 122751. [Google Scholar] [CrossRef]
- Vasylechko, V.O.; Gryshchouk, G.V.; Kuzma, Y.B.; Zakordonskiy, V.P.; Vasylechko, L.O.; Lebedynets, L.O.; Kalytovs’ka, M.B. Adsorption of cadmium on acid-modified Transcarpathian clinoptilolite. Microporous Mesoporous Mater. 2003, 60, 183–196. [Google Scholar] [CrossRef]
- Vélez, R.P.; González, M.P.E.; Bentrup, U. Preparation and in situ spectroscopic characterization of Cu-clinoptilolite catalysts for the oxidative carbonylation of methanol. Microporous Mesoporous Mater. 2012, 164, 93–98. [Google Scholar] [CrossRef]
- Park, J.H.; Park, H.J.; Baik, J.H.; Nam, I.S.; Shin, C.H.; Lee, J.H.; Cho, B.K.; Oh, S.H. Hydrothermal stability of CuZSM5 catalyst in reducing NO by NH3 for the urea selective catalytic reduction process. J. Catal. 2006, 240, 47–57. [Google Scholar] [CrossRef]
- Peng, X.; Zhao, Y.; Yang, T.; Yang, Y.; Jiang, Y.; Ma, Z.; Li, X.; Hou, J.; Xi, B.; Liu, H. One-step and acid free synthesis of γ-Fe2O3/SBA-15 for enhanced arsenic removal. Microporous Mesoporous Mater. 2018, 258, 26–32. [Google Scholar] [CrossRef]
- Cai, C.; Zhanga, Z.; Zhang, H. Electro-assisted heterogeneous activation of persulfate by Fe/SBA-15 for the degradation of Orange II. J. Hazard Mater. 2016, 313, 209–218. [Google Scholar] [CrossRef]
- Sun, B.; Li, L.; Fei, Z.; Gu, S.; Lu, P.; Ji, W. Prehydrolysis approach to direct synthesis of Fe, Al, Cr-incorporated SBA-15 with good hydrothermal stability and enhanced acidity. Microporous Mesoporous Mater. 2014, 186, 14–20. [Google Scholar] [CrossRef]
- Zhu, L.; Qu, H.; Zhang, L.; Zhou, Q. Direct synthesis, characterization and catalytic performance of Al–Fe-SBA-15 materials in selective catalytic reduction of NO with NH3. Catal. Commun. 2016, 73, 118–122. [Google Scholar] [CrossRef]
- Li, J.; Yang, C.; Zhang, Q.; Li, Z.; Huang, W. Effects of Fe addition on the structure and catalytic performance of mesoporous Mn/Al–SBA-15 catalysts for the reduction of NO with ammonia. Catal. Commun. 2015, 62, 24–28. [Google Scholar] [CrossRef]
- Yan, H.; Qu, H.; Bai, H.; Zhong, Q. Property, active species and reaction mechanism of NO and NH3 over mesoporous Fe-Al-SBA-15 via microwave assisted synthesis for NH3-SCR. J. Mol. Catal. A Chem. 2015, 403, 1–9. [Google Scholar] [CrossRef]
- Doula, M.K. Synthesis of a clinoptilolite–Fe system with high Cu sorption capacity. Chemosphere 2007, 67, 731–740. [Google Scholar] [CrossRef] [PubMed]
- Tsoncheva, T.; Issa, G.; Genova, I.; Dimitrov, M. Formation of catalytic active sites in copper and manganese modified SBA-15 mesoporous silica. J. Porous Mater. 2013, 20, 1361–1369. [Google Scholar] [CrossRef]
- Giraldo, L.; Gonzalez-Navarro, M.F.; Moreno-Pirajan, J.C. Microcalorimetric Study of the Catalytic Properties of SBA-15 Modified with Cu or Fe for Adsorption/oxidation of Methyl mercaptane. Orient. J. Chem. 2013, 29, 1297–1309. [Google Scholar] [CrossRef]
- Arcoya, A.; Gonzalez, J.A.; Travieso, N.; Seoane, X.L. Physicochemical and Catalytic Properties of a Modified Natural Clinoptilolite. Clay Miner. 1994, 29, 123–131. [Google Scholar] [CrossRef]
- Palacio, R.; Gallego, J.; Gabelica, Z.; Batiot-Dupeyrat, C.; Barrault, J.; Valange, S. Decomposition of ethanol into H2-rich gas and carbon nanotubes over Ni, Co and Fe supported on SBA-15 and Aerosil. Appl. Catal. A Gen. 2015, 504, 642–653. [Google Scholar] [CrossRef]
- Pérez-Ramírez, J.; Mul, G.; Kapteijn, F.; Moulijn, J.A.; Overweg, A.R.; Doménech, A.; Ribera, A.; Arends, I.W.C.E. Physicochemical Characterization of Isomorphously Substituted FeZSM-5 during Activation. J. Catal. 2002, 207, 113–116. [Google Scholar] [CrossRef]
- Ghasemian, N.; Falamaki, C.; Kalbasi, M.; Khosravi, M. Enhancement of the catalytic performance of H-clinoptilolite in propane–SCR–NOx process through controlled dealumination. Chem. Eng. J. 2014, 252, 112–119. [Google Scholar] [CrossRef]
- Zhang, Y.; Xia, C.; Liu, D.; Zhu, Y.; Feng, Y. Experimental investigation of the high-pressure SCR reactor impact on a marine two-stroke diesel engine. Fuel 2023, 335, 127064. [Google Scholar] [CrossRef]
- Chmielarz, L.; Kuśtrowski, P.; Dziembaj, R.; Cool, P.; Vansant, E.F. SBA-15 mesoporous silica modified with metal oxides by MDD method in the role of DeNOx catalysts. Microporous Mesoporous Mater. 2010, 127, 133–141. [Google Scholar] [CrossRef]
- Yamamoto, A.; Mizuno, Y.; Teramura, K.; Hosokawa, S.; Tanaka, T. Surface Ba species effective for photoassisted NOx storage over Ba-modified TiO2 photocatalysts. Appl. Catal. B Environ. 2016, 180, 283–290. [Google Scholar] [CrossRef]
- Liu, C.; Wang, H.; Bi, Y.; Zhang, Z. A study on the selective catalytic reduction of NOx by ammonia on sulphated iron-based catalysts. RSC Adv. 2020, 10, 40948–40959. [Google Scholar] [CrossRef]
- Fan, Y.; Zhang, J.; Yang, L.; Lu, M.; Ying, T.; Deng, B.; Dai, W.; Luo, X.; Zou, J.; Luo, S. Enhancing SO2-shielding effect and Lewis acid sites for high efficiency in low-temperature SCR of NO with NH3: Reinforced electron-deficient extent of Fe3+ enabled by Ti4+ in Fe2O3. Sep. Purif. Technol. 2023, 311, 123272. [Google Scholar] [CrossRef]
- Xiao, X.; Xiong, S.; Shi, Y.; Shan, W.; Yang, S. Effect of H2O and SO2 on the Selective Catalytic Reduction of NO with NH3 Over Ce/TiO2 catalyst: Mechanism and kinetic study. J. Phys. Chem. C 2016, 120, 1066–1076. [Google Scholar] [CrossRef]
- Fan, C.; Chen, Z.; Pang, L.; Ming, S.; Zhang, X.; Albert, K.B.; Liu, P.; Chen, H.; Li, T. The influence of Si/Al ratio on the catalytic property and hydrothermal stability of Cu-SSZ-13 catalysts for NH3-SCR. Appl. Catal. A Gen. 2018, 550, 256–265. [Google Scholar] [CrossRef]
- Mohan, S.; Dinesha, P.; Kumar, S. NOx reduction behaviour in copper zeolite catalysts for ammonia SCR systems: A review. Chem. Eng. J. 2020, 384, 123253. [Google Scholar] [CrossRef]
- Wang, P.; Yu, D.; Zhang, L.; Ren, Y.; Jin, M.; Lei, L. Evolution mechanism of NOx in NH3-SCR reaction over Fe-ZSM-5 catalyst: Species-performance relationships. Appl. Catal. A Gen. 2020, 607, 117806. [Google Scholar] [CrossRef]
- Xiaoyan, S.; Hong, H.; Lijuan, X. The effect of Fe species distribution and acidity of Fe-ZSM-5 on the hydrothermal stability and SO2 and hydrocarbons durability in NH3-SCR reaction. Chin. J. Catal. 2015, 36, 649–656. [Google Scholar] [CrossRef]
- Gao, F.; Wang, Y.; Kollár, M.; Washton, N.M.; Szanyi, J.; Peden, C.H.F. A comparative kinetics study between Cu/SSZ-13 and Fe/SSZ-13 SCR catalysts. Catal. Today 2015, 258, 347–358. [Google Scholar] [CrossRef]







| Catalysts | Cu Content (wt.%) | Fe Content (wt.%) | SBET (m2 g−1) | Vp (cm3 g−1) | Dp (nm) | dhkl (nm) | a0 (nm) |
|---|---|---|---|---|---|---|---|
| CATCO | - | - | 44.9 | 0.24 | 20.3 | - | - |
| SBA-15 | - | - | 709 | 1.02 | 6.8 | 8.8 | 10.2 |
| Cu-SBA-15 | 1.6 | - | 638 | 0.95 | 6.7 | 8.9 | 10.3 |
| Fe-SBA-15 | - | 2.0 | 671 | 0.97 | 6.7 | 8.9 | 10.3 |
| CLIN | - | 1.4 | 33.2 | 0.14 | 24.3 | - | - |
| Cu-CLIN | 1.7 | 1.4 | 33.8 | 0.14 | 23.8 | - | - |
| Fe-CLIN | - | 1.7 | 150 | 0.21 | 19.6 | - | - |
| Supports and Catalysts | a Total Acid Sites Amount (μmol Py g−1) |
|---|---|
| CATCO | 1.43 |
| 0.91 | |
| SBA-15 | 1.61 |
| 0.37 | |
| Cu-SBA-15 | 5.58 |
| 1.37 | |
| Fe-SBA-15 | 3.46 |
| 0.23 | |
| CLIN | 0.29 |
| 0.09 | |
| Cu-CLIN | 1.71 |
| 0.72 | |
| Fe-CLIN | 0.88 |
| 0.82 |
| Catalysts | Maximum Temperature Conversion (°C) | % Maximum Conversion | Stability | ||
|---|---|---|---|---|---|
| SO2 | H2O | SO2 + H2O | |||
| a MC (%) | a MC (%) | a MC (%) | |||
| CATCO | 250 | 100 | - | - | - |
| SBA-15 | 550 | 10.5 | - | - | - |
| Cu-SBA-15 | 250 | 84.1 | 78.5 | 68.7 | 58.2 |
| Fe-SBA-15 | 450 | 79.7 | 77.1 | 72.1 | 71.8 |
| CLIN | 500 | 81.5 | 67.9 | 52.7 | 51.9 |
| Cu-CLIN | 350 | 96.3 | 87.4 | 76.8 | 69.1 |
| Fe-CLIN | 400 | 96.5 | 87.9 | 85.7 | 85.4 |
Disclaimer/Publisher’s Note: The statements, opinions and data contained in all publications are solely those of the individual author(s) and contributor(s) and not of MDPI and/or the editor(s). MDPI and/or the editor(s) disclaim responsibility for any injury to people or property resulting from any ideas, methods, instructions or products referred to in the content. |
© 2023 by the authors. Licensee MDPI, Basel, Switzerland. This article is an open access article distributed under the terms and conditions of the Creative Commons Attribution (CC BY) license (https://creativecommons.org/licenses/by/4.0/).
Share and Cite
Alcantara, A.P.M.P.; Moura de Oliveira, M.L.; Santiago de Araújo, J.C.; dos Santos Araújo, R.; Chaves de Lima, R.K.; Bueno, A.V.; Vieira da Silva, M.E.; Costa Rocha, P.A.; Rodríguez-Castellón, E. Reduction of Typical Diesel NOx Emissions by SCR-NH3 Using Metal-Exchanged Natural Zeolite and SBA-15 Catalysts. Air 2023, 1, 159-174. https://doi.org/10.3390/air1030012
Alcantara APMP, Moura de Oliveira ML, Santiago de Araújo JC, dos Santos Araújo R, Chaves de Lima RK, Bueno AV, Vieira da Silva ME, Costa Rocha PA, Rodríguez-Castellón E. Reduction of Typical Diesel NOx Emissions by SCR-NH3 Using Metal-Exchanged Natural Zeolite and SBA-15 Catalysts. Air. 2023; 1(3):159-174. https://doi.org/10.3390/air1030012
Chicago/Turabian StyleAlcantara, Amanda Pontes Maia Pires, Mona Lisa Moura de Oliveira, Jesuína Cássia Santiago de Araújo, Rinaldo dos Santos Araújo, Rita Karolinny Chaves de Lima, André Valente Bueno, Maria Eugênia Vieira da Silva, Paulo Alexandre Costa Rocha, and Enrique Rodríguez-Castellón. 2023. "Reduction of Typical Diesel NOx Emissions by SCR-NH3 Using Metal-Exchanged Natural Zeolite and SBA-15 Catalysts" Air 1, no. 3: 159-174. https://doi.org/10.3390/air1030012
APA StyleAlcantara, A. P. M. P., Moura de Oliveira, M. L., Santiago de Araújo, J. C., dos Santos Araújo, R., Chaves de Lima, R. K., Bueno, A. V., Vieira da Silva, M. E., Costa Rocha, P. A., & Rodríguez-Castellón, E. (2023). Reduction of Typical Diesel NOx Emissions by SCR-NH3 Using Metal-Exchanged Natural Zeolite and SBA-15 Catalysts. Air, 1(3), 159-174. https://doi.org/10.3390/air1030012

