Abstract
Background: Ovarian cancer (OC) is the most prevalent gynecological malignancy in women, often diagnosed at an advanced stage due to the absence of specific clinical biomarkers. Notch signaling, particularly Notch3, is frequently activated in OC and contributes to its oncogenic role. Despite its known association with poor clinical outcomes, the biomarker potential of Notch3 remains inadequately explored. Methods: We investigated the biomarker potential of Notch3 in OC using multiple databases, including ONCOMINE, GEPIA, Human Protein Atlas, UALCAN, Kaplan–Meier Plotter, and LinkedOmics. We analyzed Notch3 expression levels, survival correlations, and clinicopathological parameters. Results: Notch3 expression was significantly upregulated in OC, as well as other cancers. Correlation analysis demonstrated that high Notch3 mRNA levels were associated with poor overall survival (OS) (p < 0.05) and relapse-free survival (p < 0.05) in OC patients. Human Protein Atlas data showed elevated Notch3 protein levels in OC tissues compared to healthy controls. Clinicopathological analysis indicated significant associations between Notch3 expression and patient age (p < 0.5), TP53 mutation status (p < 0.5), and cancer stage (p < 0.1). Additionally, genes such as WIZ, TET1, and CHD4 were found to be co-expressed with Notch3 in OC. Notch3 expression also correlated with immune cell infiltration in OC. Conclusions: Our bioinformatics analysis highlights Notch3 as a potential biomarker for poor prognosis in OC. However, further in vitro and in vivo studies, along with validation using larger tissue samples, are necessary to confirm its biomarker utility.
1. Introduction
Ovarian cancer (OC) is a significant cause of death worldwide and exhibits a silent killer phenotype in women [1]. Being the most prominent tumor of the female reproductive system, it was estimated that there were 0.3 million new cases diagnosed and 0.2 million deaths worldwide in the year 2020 [2]. Currently, there are more than 0.8 million survivors reported with more than five years of survival, and this number is predicted to increase to 0.4 million new cases per year by 2040, with a subsequent rise in fatalities [3]. Diagnosing OC at an early stage is complicated as it typically shows few distinctive symptoms, leading to lower survival rates in patients [4]. Although nations with a high human development index (HDI) have a higher cancer prevalence, the death rate trend is generally on the decline in developed countries like Europe [5]. Regardless of this, the advanced-stage diagnosis of OC and its linked elevated fatality rates within the spectrum of gynecological malignancies remain distressingly challenging, rendering its prognosis dire [6]. Despite the significant advancement in refining prognostic and diagnostic methodologies, an unmet exigency persists for effective therapeutic paradigms and biomarkers to expedite early detection [7]. Pal et al.’s research clearly states that the potential translational perspective of OC regarding therapeutic implications is still lacking in the clinical setting [7].
The Notch3 gene located on chromosome 19p13.12, known as the third variant of mammalian Notch, has been first described in dividing the neuroepithelium [8]. Notably, the signaling cascade mediated by Notch3 emerges as a pivotal determinant in oncogenesis, carcinoma maintenance, and chemotherapeutic drug resistance [9]. Of significant importance is the increased expression of the intracellular domain of Notch3 (NICD3) that is associated with the upregulation of several genes linked with embryonic stem cells, like Nanog, Oct4, Klf4, Rif1, Sall4, and NAC1, alongside the ATP-dependent transporter gene, ABCB1 [10]. Additionally, the role of Notch3 extends to its indispensability as a driving modulator in KRAS-mediated lung adenocarcinoma (LUAD). It also regulates asymmetrical cellular division, a hallmark of tumorigenic initiation and maintenance, by activating PKC-ELF3-Notch3 crosstalk [11].
Furthermore, in the cell lines that excessively expressed Notch3, the functional inhibition of Notch3 through gamma-secretase inhibitors or small interfering RNAs targeting Notch3 leads to the inhibition of cell growth and the stimulation of apoptosis [12]. In the case of ovarian cancer, the locus amplification of Notch3 has been seen in the high-grade serous ovarian carcinoma (HGSOC) subtype [13]. Previous evidence has reported that Notch3 expression in OC is potentially correlated with both JAG1 and JAG2 expression, indicating its carcinogenic function, which is possibly controlled through JAG1-Notch3 induction and especially dynamin-dependent endocytosis [14]. All these observations collectively underscore the pivotal involvement of Notch3 in assuming an oncogenic role. However, genes that exhibit an increased expression in either tumor or metastatic tissues can aid in better comprehending tumorigenesis and may be used as diagnostic biomarkers of cancer progression or prospective therapeutic targets [15].
Cancer bioinformatics represents one of several approaches for concentrating bioinformatics techniques on malignancy based on cancer metabolism, signaling, interactions, and proliferation [16]. Clinical bioinformatics, a rapidly developing field that combines the disciplines of bioinformatics, health information technology, mathematical information, and omics science, is one of the vital components dealing with clinically essential issues related to early detection, effective treatments, and predictive prognosis of patients with cancer [17]. In the current study, we adopted several bioinformatics tools and investigated the role of Notch3 in tumor recurrence, prognosis, diagnosis, and biomarker potential in patients with advanced stages of OC.
2. Results
2.1. NOTCH3 Expression Level across Various Cancers
We employed the TCGA database and conducted a comprehensive analysis to assess the mRNA level of NOTCH3 across diverse malignancies against its expression in corresponding healthy tissues. Data collected were assessed utilizing TIMER2, as explicated in our methodology. Figure 1 portrays the distinct NOTCH3 expression patterns observed across the spectrum of diverse cancer types. The results indicated that the expression of NOTCH3 was significant in different cancers, including that of the lungs, gall bladder, breast, brain, colorectal, cervical, head and neck, and liver, as well as lymphoma, as compared to that in normal tissues.
Figure 1.
NOTCH3 expression level across cancers from TCGA data in TIMER2.0. * p < 0.05, ** p < 0.01, and *** p < 0.001 (Wilcoxon test). Blue: Normal tissue; Red: Tumor tissue; Purple: Metastatic tumor tissue; Grey: Groups for which statistical analysis was performed.
2.2. Overexpression of Notch3 in OC
The expression of Notch3 in ovarian cancer and related normal tissues was compared using GEPIA databases. We also searched the Human Protein Atlas database for images of immunohistochemically stained Notch3 in ovarian epithelial tissues. The expression of Notch3 in ovarian cancer compared to normal tissues is shown in Figure 2a. Notch3 was markedly overexpressed in ovarian cancer tissues. We also used the Human Protein Atlas datasets to evaluate the Notch3 protein expression levels between healthy ovarian tissues and OC, including subtypes like endometroid, serous, and mucinous, as shown in Figure 2b.
Figure 2.
Notch3 expression in OC: (a) comparative expression of Notch3 between tumor and normal tissues using GEPIA (* p < 0.05) and (b) Human Protein Atlas data in patients with OC show IHC of Notch3 in normal, endometroid, serous, and mucinous phenotypes. OV: Ovarian dataset; num(T): Number of tumor samples; num(N): Number of normal samples. Red box: Tumor tissues; Grey box: Normal tissue.
2.3. Relation of NOTCH3 mRNA Expression with the Clinicopathological Parameters of Patients
For relational analysis between clinicopathological parameters in OC, we used the GEPIA and the UALCAN cancer database. Our findings reported that NOTCH3 expression was positively correlated with patient age (Figure 3b, p < 0.5) and TP53 mutation rate (Figure 3e, p < 0.5), whereas the stage of the tumor (Figure 3a, p < 0.1) shows a negative association with NOTCH3 expression. On the contrary, the correlation of NOTCH3 expression with race (Figure 3c, p > 0.1) and tumor grade (Figure 3d, p > 0.5) was found to be non-significant.
Figure 3.
The UALCAN data shows the association of different clinical indicators with NOTCH3 expression: (a) tumor stage, (b) age, (c) race, (d) tumor grade, and (e) TP53 mutation.
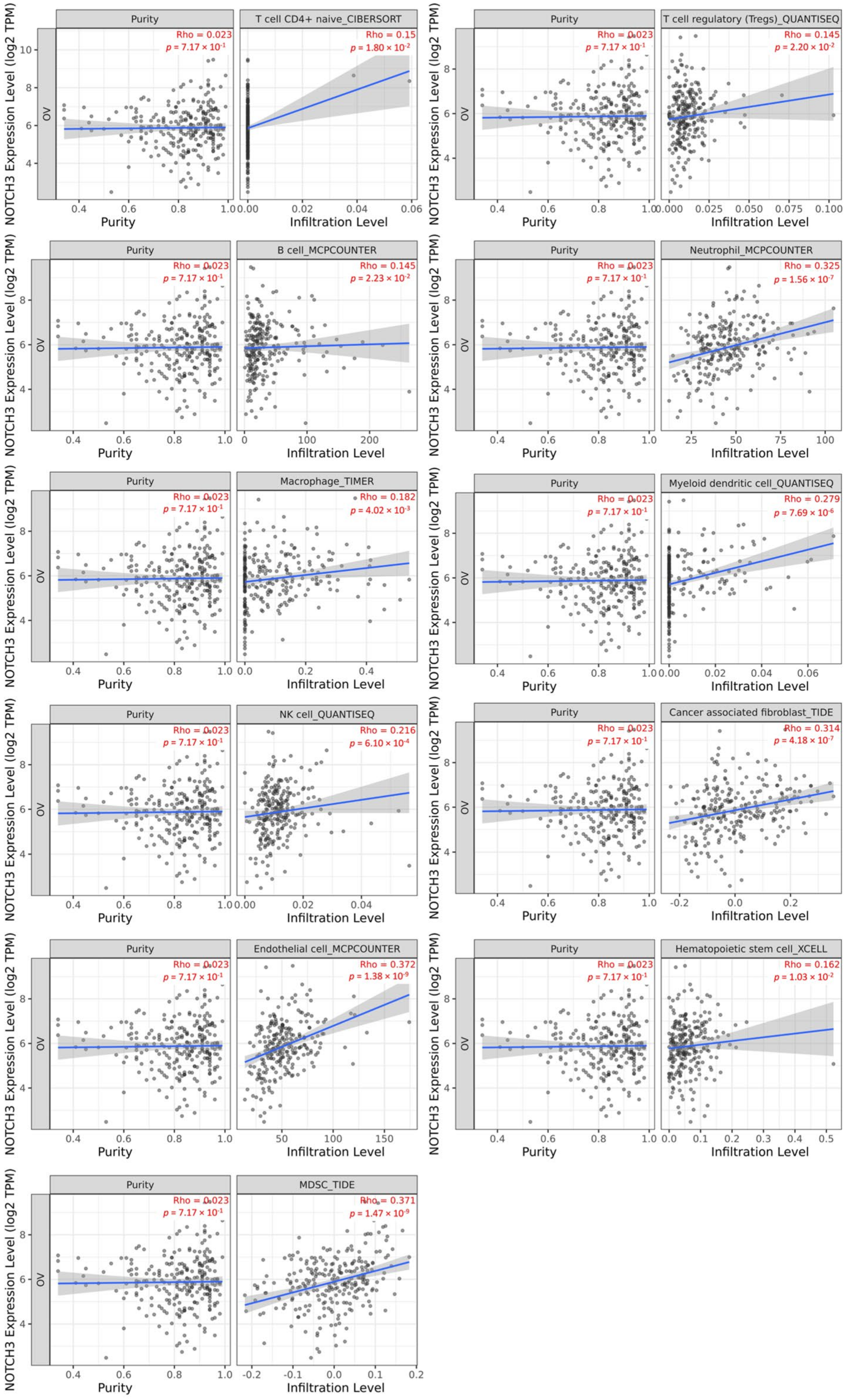
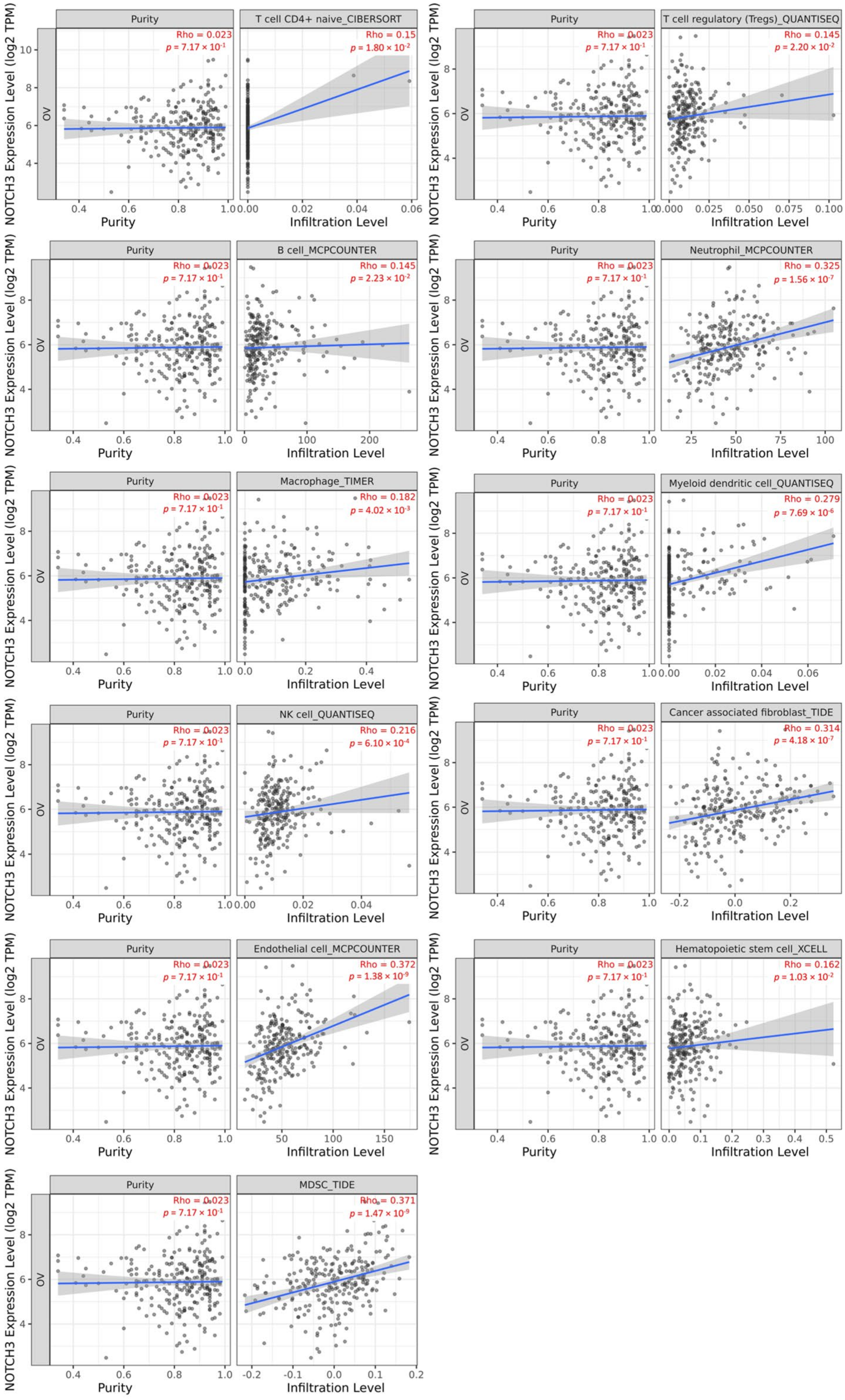
2.4. Correlation Analysis of Notch3 Expression with Immune Infiltration in OC
Immune cells within the tumor microenvironment are a vital factor influencing patient survival outcomes. Here, we examined how Notch3 expression is related to the tumor immune cell infiltration area. Our findings indicate a noteworthy association between Notch3 expression and the tumor purity of OC. Moreover, Notch3 expression displayed a significant positive correlation with the extent of infiltration by CD4+ T cells (R = 0.15, p = 1.80 × 10−2), Treg cells (R = 0.145, p = 2.20 × 10−2), B cells (R = 0.145, p = 2.23 × 10−2), neutrophils (R = 0.325, p = 1.56 × 10−7), macrophages (R = 0.182, p = 4.02 × 10−3), myeloid DC cells (R = 0.279, p = 7.69 × 10−6), NK cells (R = 0.216, p = 6.10 × 10−4), cancer-associated fibroblasts (R = 0.314, p = 4.18 × 10−7), endothelial cells (R = 0.372, p = 1.38 × 10−9), hematopoietic stem cells (R = 0.162, p = 1.03 × 10−2), and myeloid-derived suppressor cells (R = 0.371, p = 1.47 × 10−9), as depicted in Figure 4.
Figure 4.
The correlation analysis of NOTCH3 expression with tumor purity and immune infiltration level in immune cells of CD4+ T cells, Treg cells, B cells, neutrophils, macrophages, myeloid dendritic cells, NK cells, cancer-associated fibroblasts, endothelial cells, hematopoietic stem cells, and myeloid-derived suppressor cells in OC. p < 0.05 is considered statistically significant [Blue line: linear regression; Grey area: confidence interval; each Circle: correlation between Notch3 and individual immune cell for each sample].
2.5. Prognostic Analysis of NOTCH3
We examined Notch3’s prognostic significance in OC using the Kaplan–Meier Plotter. The results unveiled a noteworthy correlation between elevated Notch3 mRNA levels and both overall survival (OS) (p < 0.05) and relapse-free survival (p < 0.05), as illustrated in Figure 5.
Figure 5.
(a) The overall survival status for the expression of NOTCH3 from the GEPIA database and (b) the disease-free survival status for the expression of NOTCH3 from the GEPIA database. Dotted line: 95% confidence interval.
2.6. Correlation Analysis of Notch3
To dive deeper into the potential mechanisms involving Notch3 in OC, we explored the coexpressed gene data through the GEPIA and LinkedOmics databases. Among the correlated genes, WIZ, TET1, and CHD4 emerged as significant candidates (as depicted in Figure 6a,b and detailed in Table 1). Utilizing the GEPIA and LinkedOmics databases for further scrutiny, we unveiled a notable correlation between Notch3 and WIZ, TET1, and CHD4 genes. Our analysis, conducted via Pearson correlation assessment, illuminated a clear positive association between expression levels of Notch3 and WIZ, as well as Notch3 with TET1 and CHD4, in OC (with correlation coefficients of R = 0.6096, p = 3.187 × 10−32 for WIZ; R = 0.5198, p = 2.257 × 10−22 for TET1; and R = 0.5281, p = 3.676 × 10−23 for CHD4, respectively, as depicted in Figure 6c–e).
Figure 6.
Coexpression analysis of NOTCH3 by LinkedOmics dataset in OC: (a,b) identification of coexpression profile of NOTCH3; (c) correlation analysis of NOTCH3 with WIZ expression; (d) correlation of NOTCH3 with TET1 expression; and (e) correlation of NOTCH3 with CHD4 expression Red line represents the line of regression.
Table 1.
Genes positively correlated with NOTCH3 in OC.
As depicted in Table 1 and Table 2, a noteworthy relationship was observed between correlated genes and NOTCH3 in OC. The findings indicated that all three genes, WIZ, TET1, and CHD4, displayed a marked upregulation, demonstrating a positive correlation coefficient. Subsequently, an assessment of the prognostic significance of NOTCH3 in OC was undertaken using the Kaplan–Meier Plotter, alongside WIZ (shown in Figure 7a), TET1 (as shown in Figure 7d), and CHD4 (as shown in Figure 7g). The outcomes underscored a significant connection between elevated NOTCH3 mRNA levels and enhanced overall survival (p < 0.5), as well as disease-free survival (p < 0.5), as illustrated in Figure 5a,b.
Table 2.
Genes negatively correlated with NOTCH3 in OC.
Figure 7.
Expression and survival analysis of WIZ, TET1, and CHD4 in OC: (a) expression of WIZ using GEPIA database. Red box: Tumor tissues; Grey box: Normal tissue; (b) OS status for expression of WIZ using Kaplan–Meier Plotter; (c) PFS status of WIZ using Kaplan–Meier Plotter; (d) expression of TET1 using GEPIA database; (e) OS status of TET1 using Kaplan–Meier Plotter; (f) PFS of TET1 using Kaplan–Meier Plotter; (g) expression of CHD4 using GEPIA database; (h) OS status of CHD4 using Kaplan–Meier Plotter; and (i) PFS status of CHD4 using Kaplan–Meier Plotter.
Additionally, an exploration was conducted to evaluate the impact of WIZ, TET1, and CHD4 on OS and PFS, as seen in Figure 7b,c,e,f,h,i. Moreover, utilizing the LinkedOmics databases, the analysis revealed a correlation between NOTCH3 and WIZ, TET1, and CHD4, as depicted in Figure 6. The Pearson correlation analysis indicated a positive relationship between the expression levels of WIZ, TET1, and CHD4. Further, the phylogenetic relationship between NOTCH3 and all of these correlated genes is depicted in Figure 8a,b.
Figure 8.
Phylogenetic relationship assessment of NOTCH3 with (a) positively correlated genes and (b) negatively correlated genes OC using Clustal W.
2.7. Genetic Alternation in Notch3
As we observed the differential expression patterns of Notch3 in tumors, we conducted a comprehensive analysis of its genetic alternation and modifications utilizing the online resources provided by cBioPortal. Figure 9 and Figure 10 illustrate that the primary genetic alteration in Notch3 was predominantly in the form of “mutations”. Specifically, notable occurrences of mutations were detected in skin cutaneous melanoma (SCM), LUAD, TGCC, CSCC, UCEC, esophageal carcinoma, and colorectal squamous cell carcinoma. Conversely, “amplification” was more prevalent in OC along with some other cancers such as uterine carcinoma, ACD, BIC, BLGG, uveal melanoma, etc. Across the pan-cancer dataset, the occurrence of Notch3 gene mutations characterized by “deep deletion”, “structural variation”, and “multiple alterations” generally remained below 0.5%.
Figure 9.
Spearman correlation analysis of NOTCH3: (a) with lymphocytes, i.e., TILs (y axis), across human cancers (x axis), (b) MHCs (y axis) across human cancers (x axis), (c) and receptors (y axis) across human cancers (x axis).
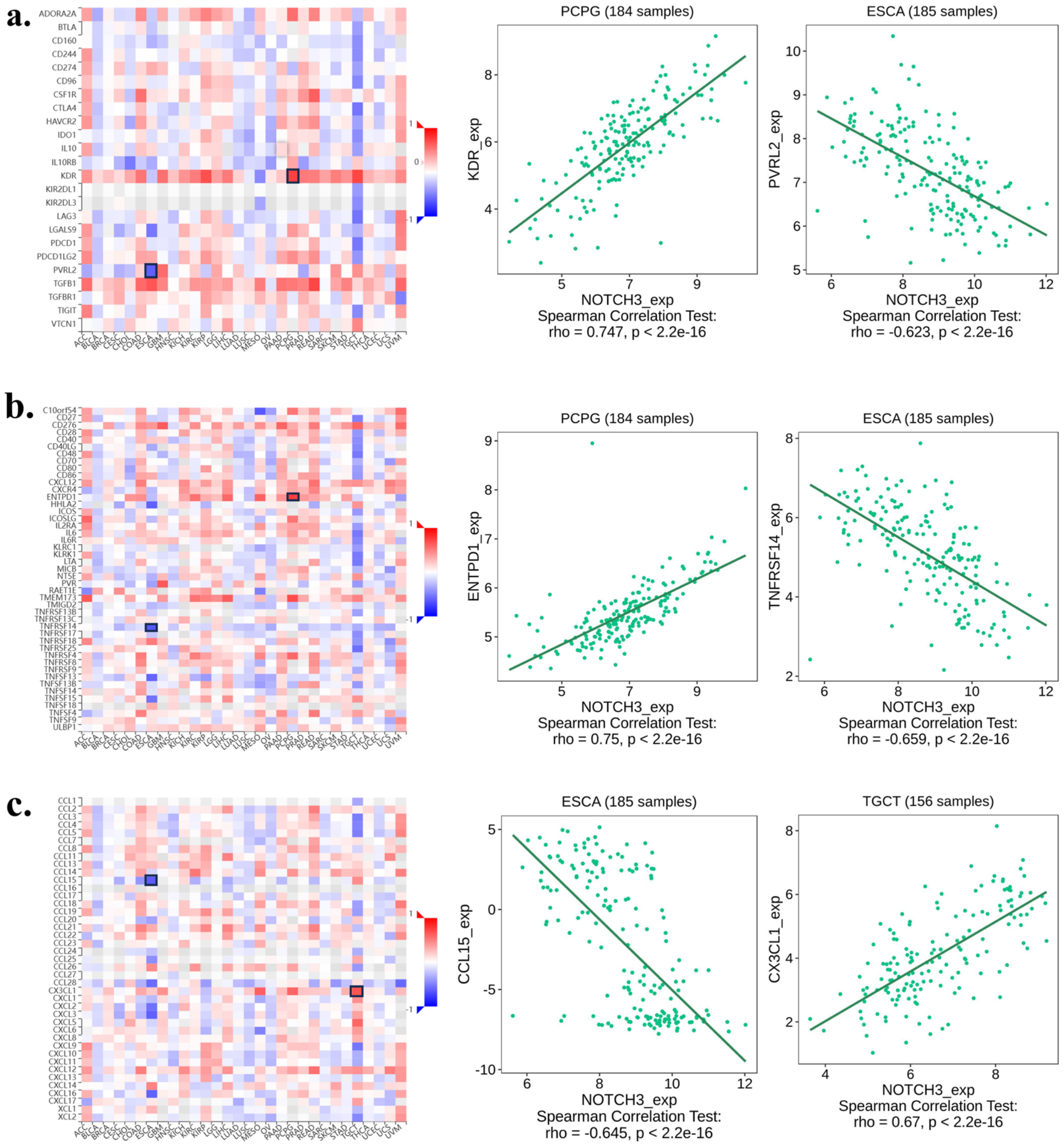
Figure 10.
Spearman correlation analysis of NOTCH3 with immunomodulators across various cancer types: (a) Spearman correlations analysis of NOTCH3 and immune inhibitors (y axis) across human cancers (x axis), (b) Spearman correlations analysis of NOTCH3 and immunostimulators (y axis) across human cancers (x axis), (c) Spearman correlation analysis of NOTCH3 and chemokines (y axis) across human cancers (x axis).
2.8. Correlation of Notch3 Expression with Immunomodulators
Our investigation explored the relationship between Notch3 gene expression and various immune system components, including immunomodulators such as immunostimulators, immune inhibitors, and MHC molecules. Through rigorous correlation analyses, we sought to unveil the intricate connections between Notch3 expression and the presence of tumor-infiltrating lymphocytes (TILs). Our findings reported a noteworthy positive correlation (rho = 0.66) between Notch3 and the abundance of NK cells, highlighting the potential role of Notch3 in the immune response. Conversely, a negative correlation (rho = −0.67) was observed with the abundance of activated CD8 T cells, suggesting a potential immunosuppressive effect of Notch3 (Figure 9a).
A further detailed investigation of 24 immune inhibitors demonstrated Notch3’s association with immunosuppressive agents across various cancer types, with the most robust positive correlation observed in TGCT with KDR expression (rho = 0.74) and the strongest negative correlation found in PVRL2 (rho = −0.62) (Figure 10a). In parallel, our analysis extended to encompass 45 immunostimulators. Notably, Notch3 exhibited its most potent positive correlation with ENTPD1 expression in PCPG (rho = 0.75) while displaying its most pronounced negative correlation with TNFRSF14 expression in ESCA (rho = −0.65) (Figure 10b). Additionally, we delved into the connection between Notch3 and 21 MHC molecules, revealing significant correlations. In PCPG, a robust positive correlation was observed between Notch3 and HLA-E expression (rho = 0.58), whereas in CHOL, a substantial negative correlation emerged with B2M expression (rho = −0.65) (Figure 9b).
Expanding our inquiry, we investigated the interplay between Notch3 expression and various chemokines and receptors. In TCGT, Notch3 expression exhibited a strong positive association with CX3CL1 (rho = 0.67, while manifesting a robust negative correlation with CCL15 (rho = −0.64)) (Figure 9c). Similarly, our analysis encompassed receptor expression in different cancers. In KIRC, Notch3 displayed a strong positive relation with CCR10 receptor expression (rho = 0.51), while in ESCA, a substantial negative correlation was identified between Notch3 and CCR6 receptor (rho = −0.58) (Figure 10c). These findings shed light on the multifaceted role of Notch3 in the immune landscape of cancer, hinting at its potential as a modulator of immune response and a candidate for further investigation in cancer immunotherapy.
3. Methods
3.1. TIMER2
Tumor Immune Estimation Resource (TIMER) is an open-access database that is predominantly used to elucidate information about tumor-infiltrating immune cells (TIICs) [18]. TIMER particularly employs the expression profile of different genes. It assesses the abundance of TIICs and the expression of a desired gene of interest in each TIIC subset by obtaining the information through cancer cell and TIIC communication during the oncogenic progression [19]. In the present study, we used TIMER to correlate the expression of Notch3 with six immune infiltrates, including macrophages, neutrophils, B cells, CD4+ T cells, CD8+ T cells, and dendritic cells. Spearman’s rho corrected with tumor purity as represented in the scatter plot.
3.2. GEPIA Dataset
Gene Expression Profiling Interactive Analysis (GEPIA) tool was used for analyzing differential gene expression, patient survival, comparable gene expression, correlation, etc., employing TCGA and GTEx data [20]. We used GEPIA to look at NOTCH3 mRNA levels in cancerous ovarian tissues and healthy tissues. The Student’s t-test was employed to identify changes in transcriptional expression, whereas p-values of 0.05 were considered statistically significant. We further employed the Clustal Omega algorithm to investigate the evolutionary relationships between Notch3 and its associated genes [21].
3.3. UALCAN Cancer Dataset
UALCAN platform allows users to analyze, explore, and visualize the gene expression profile, protein expression profile, pathways altered in cancer, and patient survival [22]. In the current study, we determine the expression of Notch3 and its association with different clinical phenotypes using TCGA data.
3.4. TNM Plotter
TNM plots play a key role in the comparative analysis of gene expression in normal, benign, and malignant tissues using the transcriptomics data. TNM plots utilize the paired Wilcoxon statistical test [23] to evaluate tumor and normal NOTCH3 samples in OC. TNM plots additionally provide a graphic illustration of sensitivities as well as specificities: a diagram that depicts the percentage of tumor samples that express the selected gene more than normal samples at every significant cut-off point [23].
3.5. Human Protein Atlas
Human Protein Atlas is a novel database that shows the expression of proteins and localization patterns across numerous human tissues and organs [24]. Immunohistochemistry studies could be used to describe the localization and expression of potential products of genes in normal tissues, as well as common malignancies and other types of diseased tissues [24]. This database is employed to locate Notch3 immunohistochemistry staining images in malignancy of the ovary and normal ovaries.
3.6. LinkedOmics Dataset
LinkedOmics is a freely accessible web tool that offers multiomics data for 32 TCGA cancer types. It is a novel dataset for spreading information collected during large-scale cancer genomics investigations [25]. Using Pearson’s correlation coefficient, we employed the linkInterpreter module to gain a biological understanding of coexpressed gene enrichment to NOTCH3. Volcanic plots and heat maps were used to display these genes.
3.7. cBIOPORTAL
We access the cBioPortal database at https://www.cbioportal.org/ (accessed on 18 September 2023) and navigate to the “TCGA PanCancer Atlas Studies” section. Within this section, we explore the “Notch3” and “Cancer Types Summary” modules to gather insights into the prevalence and various genomic alternations of Notch3 across different types of cancer.
4. Discussion
Seminal findings have elucidated the clinical relevance of Notch3 in OC. The expression of Notch3 has been shown to correlate with tumorigenic phenotypes, including cell proliferation, viability, cell cycle arrest, and apoptosis [26]. An integrated system biology approach and transcriptomics analysis indicate that Notch3 regulates cell cycle regulation and nucleotide metabolism in ovarian and breast cancers [27]. Notch3-Jag1 positive regulatory loop is key in regulating cellular survival and growth [28]. RNA interference study in Notch3 was critical in maintaining the cellular proliferation of ErbB2-negative breast cancer cells [29]. In addition to this, several emerging therapeutic strategies targeting the Notch pathway, particularly Notch3, have shown promising potential. Gamma-secretase inhibitors (GSIs), which inhibit the cleavage and activation of Notch receptors, are currently being evaluated for their efficacy in preclinical models and early-stage clinical trials. GSIs have demonstrated an ability to reduce Notch3-mediated tumor growth, indicating a viable route for therapeutic intervention [30]. In terms of multidrug resistance (MDR), the involvement of Notch3 is crucial as it promotes the expression of ABC transporters like ABCB1, which leads to an enhanced efflux of chemotherapeutic agents from cancer cells [8]. Studies have found that targeting Notch3 with small interfering RNAs (siRNAs) or specific inhibitors can reverse this MDR phenotype, increasing the effectiveness of platinum-based therapies, which are a mainstay in OC treatment [11]. Therefore, Notch3 represents a targetable node for overcoming drug resistance in advanced or recurrent OC cases. Furthermore, the ability of Notch3 to regulate the stem-like properties of cancer cells is a significant factor in its druggability. The overexpression of embryonic stem cell markers like Nanog, Oct4, and Klf4 under the influence of Notch3 has been linked to carboplatin resistance in OC [8]. This suggests that combination therapies targeting Notch3 and stemness-associated pathways may be an effective strategy to enhance chemosensitivity in OC. Notch3-directed therapy could potentially prevent tumor recurrence by eradicating the cancer stem cell population, which is often responsible for disease relapse post-treatment [31] (Xiang). Further, it was reported that the elevated expression of Notch3 is associated with clinical phenotypes like different stages, lymph node metastasis, and drug-resistant recurrence in OC [9]. It has been observed that tumor-specific expression of Notch3 may contribute to the Notch3-based targeted therapy in OC. In the current study, we observed a significant correlation of Notch3 with the P53 mutation status and different stages of OC by GEPIA and UALCAN analyses. In addition, our laboratory findings show an expression of Notch3 in OC. Furthermore, our findings also suggest that deleterious SNPs are associated with Notch3 and regulate its function.
Although the tumorigenic and prognostic role of Notch3 in several cancers has been elucidated before, the complete mechanistic basis of Notch3-induced OC pathogenesis is yet to be understood. The emergence of bioinformatics tools has contributed to the exploration and expression of protein biomarkers of diagnostic importance in cancer. Notably, the recent study focuses on the clinical importance of Notch3 in OC. We expect that the current study will provide a new avenue for diagnosis, prognosis, and targeted therapy for OC. In our study, the expression of Notch3 was significantly increased in OC tissues compared to that in normal tissues as evaluated by GEPIA and TIMER2 databases. The expression of Notch3 was significantly related to the tumor stage (p < 0.001) and lymph node metastasis (p < 0.001).
The tumor microenvironment involves the active participation of different immune cells like macrophages, dendritic cells, neutrophils, mast cells, and other immune populations, which play a key role in the progression and release of several signaling mediators that control angiogenesis, tumorigenesis, and metastasis [32]. It was also observed that the TME plays a predominant role in clinical outcomes and immune therapeutic responses [33]. In the present study, Notch3’s role in the tumor microenvironment (TME) suggests that it may be a candidate for immunotherapy-based approaches. The involvement of tumor-infiltrating immune cells (TIICs), such as macrophages and T cells, in the regulation of Notch3 expression suggests that inhibiting Notch3 might modulate the immunosuppressive environment in OC, enhancing the efficacy of checkpoint inhibitors like anti-PD-1/PD-L1 therapies [10,34]. This represents an emerging area of interest where Notch3 inhibition could synergize with immunotherapeutic strategies to combat OC. However, the mechanistic and immunological bases of Notch3 and its role in OC need to be explored in detail.
Furthermore, we investigated the genes closely related to Notch3 in OC by the GEPIA, LinkedOmics, and UALCAN cancer databases. Our result revealed that WIZ, TET1, and CHD4 genes have a strong correlation with Notch3 and exhibit differential expression in OC with respect to that in normal tissues. A further analysis also revealed that the expression of WIZ, TET1, and CHD4 is positively associated with Notch3 expression. In reference to this, evidence validates the role of WIZ, TET1, and CHD4 in OC [35,36].
Chromodomain-helicase-DNA-binding protein 4 (CHD4), a component of the nucleosome remodeling complex, plays a pivotal role in cell cycle regulation, DNA damage repair, and cell proliferation. It has been shown that CHD4 plays a pivotal role in the platinum sensitivity of OC, and its inhibition has been shown to sensitize OC cells to chemotherapy, positioning CHD4 as a co-target along with Notch3 for improving therapeutic outcomes [36]. Similarly, overexpression of ten-eleven translocation protein 1 (TET1) can induce the tissue inhibitor metalloprotease (TIMP) and can upregulate tumor suppressor proteins like PTEN, SLIT2, ZNF382, and HOXA9, and this role could be harnessed to counteract the epigenetic modifications driving OC progression [18,37]. The WIZ protein was shown to be a key partner of G9a and GLP, contributing to the stabilization of the G9a/GLP heterogenic complex. WIZ contains multiple zinc finger motifs, which can target the G9a/GLP complex and mediate the H3K9 methylation [38]. However, the role of the WIZ protein in OC needs to be explored in detail.
Our study shows that Notch3 is overexpressed in OC tumors than in normal tissue. Further, the analysis also shows that CHD4, TET1, and WIZ can be the possible targets and interacting partners that are upregulated in OC and may be used as a potential prognostic marker to assess the clinical severity in OC. However, further mechanistic studies are needed to explore Notch3-mediated prognostic and diagnostic approaches in OC.
Furthermore, targeting Notch3 with small-molecule inhibitors or antibody–drug conjugates (ADCs) has gained attention as a precision medicine approach. These therapies are designed to deliver cytotoxic agents directly to Notch3-expressing cancer cells, sparing normal tissues. ADCs, such as trastuzumab emtansine (T-DM1), have already been successful in treating HER2-positive breast cancer, and similar approaches could be applied for Notch3-positive OC treatment [39].
However, the current study has few limitations. The investigation and analyzed data presented in the study are extracted from different bioinformatics databases. Further, in vivo and in vitro research are needed to address the role of Notch3 in OC.
Author Contributions
Conceptualization, B.P.J.; Methodology, B.P.J. and A.B.; Data curation, A.B. and K.M.; Writing—original draft, B.P.J., A.B. and K.M.; Formal analysis, S.Q.; Validation, S.K. and B.B.; Supervision, M.R. and A.S.; Visualization, A.S. All authors have read and agreed to the published version of the manuscript.
Funding
This study was supported by the Indian Council of Medical Research (Grant no. 5/3/8/31/ITRF/2022-ITR). A.B. and S.K. thanks University Grants Commission (UGC), India for fellowship support.
Institutional Review Board Statement
Not applicable.
Data Availability Statement
The original contributions presented in the study are included in the article. Further inquiries can be directed to the corresponding authors.
Conflicts of Interest
The authors declare that they have no conflicts of interest.
References
- Webb, P.M.; Jordan, S.J. Global epidemiology of epithelial ovarian cancer. Nat. Rev. Clin. Oncol. 2024, 21, 389–400. [Google Scholar] [CrossRef] [PubMed]
- Huang, J.; Chan, W.C.; Ngai, C.H.; Lok, V.; Zhang, L.; Lucero-Prisno, D.E.; Xu, W.; Zheng, Z.-J.; Elcarte, E.; Withers, M.; et al. Worldwide Burden, Risk Factors, and Temporal Trends of Ovarian Cancer: A Global Study. Cancers 2022, 14, 2230. [Google Scholar] [CrossRef] [PubMed]
- Mathur, P.; Sathishkumar, K.; Chaturvedi, M.; Das, P.; Stephen, S. Cancer incidence estimates for 2022 & projection for 2025: Result from National Cancer Registry Programme, India. Indian J. Med. Res. 2022, 156, 598–607. [Google Scholar] [CrossRef]
- Lugani, Y.; Asthana, S.; Labani, S. Ovarian carcinoma: An overview of current status. Adv. Mod. Oncol. Res. 2016, 2, 261. [Google Scholar] [CrossRef]
- Momenimovahed, Z.; Tiznobaik, A.; Taheri, S.; Salehiniya, H. Ovarian cancer in the world: Epidemiology and risk factors. Int. J. Women’s Health 2019, 11, 287–299. [Google Scholar] [CrossRef]
- Honar, Y.S.; Javaher, S.; Soleimani, M.; Zarebkohan, A.; Farhadihosseinabadi, B.; Tohidfar, M.; Abdollahpour-Alitappeh, M. Advanced stage, high-grade primary tumor ovarian cancer: A multi-omics dissection and biomarker prediction process. Sci. Rep. 2023, 13, 17265. [Google Scholar] [CrossRef]
- Pal, M.; Muinao, T.; Boruah, H.P.D.; Mahindroo, N. Current advances in prognostic and diagnostic biomarkers for solid cancers: Detection techniques and future challenges. Biomed. Pharmacother. 2022, 146, 112488. [Google Scholar] [CrossRef]
- Park, J.T.; Chen, X.; Tropè, C.G.; Davidson, B.; Shih, I.-M.; Wang, T.-L. Notch3 Overexpression is related to the recurrence of ovarian cancer and confers resistance to carboplatin. Am. J. Pathol. 2010, 177, 1087–1094. [Google Scholar] [CrossRef]
- Aburjania, Z.; Jang, S.; Whitt, J.; Jaskula-Stzul, R.; Chen, H.; Rose, J.B. The Role of Notch3 in Cancer. Oncologist 2018, 23, 900–911. [Google Scholar] [CrossRef]
- Liu, L.; Deng, P.; Liu, S.; Hong, J.H.; Xiao, R.; Guan, P.; Wang, Y.; Wang, P.; Gao, J.; Chen, J.; et al. Enhancer remodeling activates NOTCH3 signaling to confer chemoresistance in advanced nasopharyngeal carcinoma. Cell Death Dis. 2023, 14, 513. [Google Scholar] [CrossRef]
- Zhou, B.; Lin, W.; Long, Y.; Yang, Y.; Zhang, H.; Wu, K.; Chu, Q. Notch signaling pathway: Architecture, disease, and therapeutics. Signal Transduct. Target. Ther. 2022, 7, 95. [Google Scholar] [CrossRef] [PubMed]
- Kang, H.; Jeong, J.; Song, J.; Kim, T.H.; Kim, G.; Huh, J.H.; Kwon, A.; Jung, S.G.; An, H.J. Notch3-specific inhibition using siRNA knockdown or GSI sensitizes paclitaxel-resistant ovarian cancer cells. Mol. Carcinog. 2016, 55, 1196–1209. [Google Scholar] [CrossRef] [PubMed]
- Groeneweg, J.W.; Foster, R.; Growdon, W.B.; Verheijen, R.H.; Rueda, B.R. Notch signaling in serous ovarian cancer. J. Ovarian Res. 2014, 7, 95. [Google Scholar] [CrossRef] [PubMed]
- Choi, J.-H.; Park, J.T.; Davidson, B.; Morin, P.J.; Shih, I.-M.; Wang, T.-L. Jagged-1 and Notch3 juxtacrine loop regulates ovarian tumor growth and adhesion. Cancer Res. 2008, 68, 5716–5723. [Google Scholar] [CrossRef]
- Khan, S.U.; Fatima, K.; Malik, F.; Kalkavan, H.; Wani, A. Cancer metastasis: Molecular mechanisms and clinical perspectives. Pharmacol. Ther. 2023, 250, 108522. [Google Scholar] [CrossRef]
- Wang, X.; Liotta, L. Clinical bioinformatics: A new emerging science. J. Clin. Bioinform. 2011, 1, 1. [Google Scholar] [CrossRef]
- Wu, D.; Rice, C.M.; Wang, X. Cancer bioinformatics: A new approach to systems clinical medicine. BMC Bioinform. 2012, 13, 71. [Google Scholar] [CrossRef]
- Li, B.; Severson, E.; Pignon, J.-C.; Zhao, H.; Li, T.; Novak, J.; Jiang, P.; Shen, H.; Aster, J.C.; Rodig, S.; et al. Comprehensive analyses of tumor immunity: Implications for cancer immunotherapy. Genome Biol. 2016, 17, 174. [Google Scholar] [CrossRef]
- Li, T.; Fan, J.; Wang, B.; Traugh, N.; Chen, Q.; Liu, J.S.; Li, B.; Liu, X.S. TIMER: A Web Server for Comprehensive Analysis of Tumor-Infiltrating Immune Cells. Cancer Res. 2017, 77, e108–e110. [Google Scholar] [CrossRef]
- Tang, Z.; Li, C.; Kang, B.; Gao, G.; Li, C.; Zhang, Z. GEPIA: A web server for cancer and normal gene expression profiling and interactive analyses. Nucleic Acids Res. 2017, 45, W98–W102. [Google Scholar] [CrossRef]
- Sievers, F.; Higgins, D.G. Clustal Omega for making accurate alignments of many protein sequences. Protein Sci. 2018, 27, 135–145. [Google Scholar] [CrossRef] [PubMed]
- Chandrashekar, D.S.; Karthikeyan, S.K.; Korla, P.K.; Patel, H.; Shovon, A.R.; Athar, M.; Netto, G.J.; Qin, Z.S.; Kumar, S.; Manne, U.; et al. UALCAN: An update to the integrated cancer data analysis platform. Neoplasia 2022, 25, 18–27. [Google Scholar] [CrossRef] [PubMed]
- Bartha, Á.; Győrffy, B. TNMplot.com: A Web Tool for the Comparison of Gene Expression in Normal, Tumor and Metastatic Tissues. Int. J. Mol. Sci. 2021, 22, 2622. [Google Scholar] [CrossRef] [PubMed]
- Uhlén, M.; Björling, E.; Agaton, C.; Szigyarto, C.A.-K.; Amini, B.; Andersen, E.; Andersson, A.-C.; Angelidou, P.; Asplund, A.; Asplund, C.; et al. A Human protein atlas for normal and cancer tissues based on antibody proteomics. Mol. Cell. Proteom. MCP 2005, 4, 1920–1932. [Google Scholar] [CrossRef]
- Vasaikar, S.V.; Straub, P.; Wang, J.; Zhang, B. LinkedOmics: Analyzing multi-omics data within and across 32 cancer types. Nucleic Acids Res. 2018, 46, D956–D963. [Google Scholar] [CrossRef]
- Price, J.C.; Azizi, E.; Naiche, L.A.; Parvani, J.G.; Shukla, P.; Kim, S.; Slack-Davis, J.K.; Peer, D.; Kitajewski, J.K. Notch3 signaling promotes tumor cell adhesion and progression in a murine epithelial ovarian cancer model. PLoS ONE 2020, 15, e0233962. [Google Scholar] [CrossRef]
- Zhang, Y.-Q.; Liang, Y.-K.; Wu, Y.; Chen, M.; Chen, W.-L.; Li, R.-H.; Zeng, Y.-Z.; Huang, W.-H.; Wu, J.-D.; Zeng, D.; et al. Notch3 inhibits cell proliferation and tumorigenesis and predicts better prognosis in breast cancer through transactivating PTEN. Cell Death Dis. 2021, 12, 502. [Google Scholar] [CrossRef]
- Chen, X.; Stoeck, A.; Lee, S.J.; Shih, I.-M.; Wang, M.M.; Wang, T.-L. Jagged1 expression regulated by Notch3 and Wnt/β-catenin signaling pathways in ovarian cancer. Oncotarget 2010, 1, 210–218. [Google Scholar] [CrossRef]
- Yamaguchi, N.; Oyama, T.; Ito, E.; Satoh, H.; Azuma, S.; Hayashi, M.; Shimizu, K.; Honma, R.; Yanagisawa, Y.; Nishikawa, A.; et al. NOTCH3 signaling pathway plays crucial roles in the proliferation of ErbB2-negative human breast cancer cells. Cancer Res. 2008, 68, 1881–1888. [Google Scholar] [CrossRef]
- Park, J.T.; Li, M.; Nakayama, K.; Mao, T.-L.; Davidson, B.; Zhang, Z.; Kurman, R.J.; Eberhart, C.G.; Shih, I.-M.; Wang, T.-L. Notch3 Gene amplification in ovarian cancer. Cancer Res. 2006, 66, 6312–6318. [Google Scholar] [CrossRef]
- Meisel, C.T.; Porcheri, C.; Mitsiadis, T.A. Cancer Stem Cells, Quo Vadis? The Notch Signaling Pathway in Tumor Initiation and Progression. Cells 2020, 9, 1879. [Google Scholar] [CrossRef] [PubMed]
- Hanahan, D.; Weinberg, R.A. Hallmarks of cancer: The next generation. Cell 2011, 144, 646–674. [Google Scholar] [CrossRef] [PubMed]
- Sadeghi Rad, H.; Monkman, J.; Warkiani, M.E.; Ladwa, R.; O’Byrne, K.; Rezaei, N.; Kulasinghe, A. Understanding the tumor microenvironment for effective immunotherapy. Med. Res. Rev. 2021, 41, 1474–1498. [Google Scholar] [CrossRef] [PubMed]
- Cui, Y.; Li, Q.; Li, W.; Wang, Y.; Lv, F.; Shi, X.; Tang, Z.; Shen, Z.; Hou, Y.; Zhang, H.; et al. NOTCH3 is a Prognostic Factor and Is Correlated with Immune Tolerance in Gastric Cancer. Front. Oncol. 2020, 10, 574937. [Google Scholar] [CrossRef]
- Chen, L.; Huang, R.; Chan, M.W.; Yan, P.S.; Huang, T.; Wu, R.; Rahmanto, Y.S.; Su, P.; Weng, Y.; Chou, J.; et al. TET1 reprograms the epithelial ovarian cancer epigenome and reveals casein kinase 2α as a therapeutic target. J. Pathol. 2019, 248, 363–376. [Google Scholar] [CrossRef]
- Oyama, Y.; Shigeta, S.; Tokunaga, H.; Tsuji, K.; Ishibashi, M.; Shibuya, Y.; Shimada, M.; Yasuda, J.; Yaegashi, N. CHD4 regulates platinum sensitivity through MDR1 expression in ovarian cancer: A potential role of CHD4 inhibition as a combination therapy with platinum agents. PLoS ONE 2021, 16, e0251079. [Google Scholar] [CrossRef]
- Joshi, K.; Liu, S.; Breslin, S.J.P.; Zhang, J. Mechanisms that regulate the activities of TET proteins. Cell. Mol. Life Sci. 2022, 79, 363. [Google Scholar] [CrossRef]
- Bian, C.; Chen, Q.; Yu, X.; States, U. The zinc finger proteins ZNF644 and WIZ regulate the G9a/GLP complex for gene repression. eLife 2015, 4, e05606. [Google Scholar] [CrossRef]
- Xiang, H.; Pan, Y.; Sze, M.A.; Wlodarska, M.; Li, L.; Van De Mark, K.A.; Qamar, H.; Moure, C.J.; Linn, D.E.; Hai, J.; et al. Single-Cell Analysis Identifies NOTCH3-Mediated Interactions between Stromal Cells That Promote Microenvironment Remodeling and Invasion in Lung Adenocarcinoma. Cancer Res. 2024, 84, 1410–1425. [Google Scholar] [CrossRef]
Disclaimer/Publisher’s Note: The statements, opinions and data contained in all publications are solely those of the individual author(s) and contributor(s) and not of MDPI and/or the editor(s). MDPI and/or the editor(s) disclaim responsibility for any injury to people or property resulting from any ideas, methods, instructions or products referred to in the content. |
© 2024 by the authors. Licensee MDPI, Basel, Switzerland. This article is an open access article distributed under the terms and conditions of the Creative Commons Attribution (CC BY) license (https://creativecommons.org/licenses/by/4.0/).









