Abstract
A series of new 1,3,5-tris[(4-(substituted-aminomethyl)phenyl)methyl]benzene compounds were designed, synthesized, and evaluated in vitro against two parasites (Plasmodium falciparum and Leishmania donovani). The biological results showed antimalarial activity with IC50 values in the sub and μM range. The in vitro cytotoxicity of these new aza polyaromatic derivatives was also evaluated on human HepG2 cells. The 1,3,5-tris[(4-(substituted-aminomethyl)phenyl)methyl]benzene 1m was found as one of the most potent and promising antimalarial candidates with a ratio of cytotoxic to antiprotozoal activities of 83.67 against the P. falciparum CQ-sensitive strain 3D7. In addition, derivative 1r was also identified as the most interesting antimalarial compound with a selectivity index (SI) of 17.28 on the W2 P. falciparum CQ-resistant strain. It was previously described that the telomeres of P. falciparum could be considered as potential targets of these kinds of aza heterocycles; thus, the ability of these new derivatives to stabilize the parasitic telomeric G-quadruplexes was measured through a FRET melting assay.
1. Introduction
One year ago, in June 2022, the World Health Organization (WHO) published guidance on new and updated recommendations for malaria [1], which were last updated on 14 March 2023 [2]. These guidelines encourage countries to tailor the recommendations to local disease settings for maximum impact. Indeed, even with the remarkable efforts during the COVID-19 pandemic to maintain services, malaria control efforts have recently faced many health system challenges such as long-term humanitarian crisis and the undoubtable influence of climate change on the spread of this public health problem. In 2021, there was an estimated increase of 2 million malaria cases worldwide (247 million cases recorded in 84 malaria-endemic countries compared to 245 million in 2020 according to the last WHO malaria report) with most of this increase coming from countries in the WHO African Region [3]. Current challenges include the invasion in Africa by Anopheles stephensi, a mosquito able to adapt easily to urban environments, which poses a real risk to public health, in addition to the growing problems of resistance to insecticide-treated nets and to antimalarial drugs. Furthermore, these difficulties have impacted the control of all vector-borne neglected tropical diseases, such as leishmaniasis [4]. To this end, a global strategy was proposed by WHO in the program “Ending the neglect to attain the sustainable development goals: a road map for neglected tropical diseases 2021–2030” [5] developed through a global consultation worldwide according to which “research and innovation are fundamental enablers of programmatic progress for all (neglected) tropical diseases”. It, thus, seems essential to integrate and increase cross-cutting approaches, such as new treatment approaches and investigation of community-based and applied research for several tropical diseases.
Thus, another original strategy to discover new treatments against malaria is to generate and synthesize quinoline-based derivatives that are not recognized by the protein system involved in drug efflux, such as primaquine (PQ) or amodiaquine (AQ). The efflux pumps could serve both as natural defense mechanisms and lead to the bioavailability and disposition of drugs. Originally, such a mechanism was suggested in Plasmodium falciparum, where red blood cells infected with CQ-resistant parasites accumulated specifically less drug than the sensitive ones, before its further analysis led to the identification of the Pfcrt gene among other quinoline compound resistance mechanisms. Such novel series that have not been recognized by the protein system involved in the drug efflux of bisquinoline A and bisacridine B antimalarial drugs (Figure 1, compounds A–B and Piperaquine) have been described in previous works [6,7,8,9,10,11]. These new compounds have much lower resistance indices than CQ, indicating that these bis-heterocyclic derivatives are less efficiently rejected by efflux by drug-resistant parasites.
Figure 1.
The structures of chloroquine (CQ), mefloquine (MQ), primaquine, amodiaquine (AQ), piperaquine, bisquinoline A, bisacridine B, phenanthrolines series A and B, quinolines/quinazoline/isoquinolines series C and newly synthesized 1,3,5-tris[(4-(substituted-aminomethyl)phenyl)methyl]benzene derivatives 1a-r (Series D).
During our research, we focused on the discovery of novel aza heterocyclic compounds that can be useful in antiprotozoal chemotherapy [12,13,14,15,16,17,18,19,20]; we have formerly developed various series of 2,9-bis[(substituted-aminomethyl)phenyl]phenanthrolines (series A-B), 2,4-bis[(substituted-aminomethyl)phenyl]quinolines, 1,3-bis[(substituted-aminomethyl)phenyl]isoquinoline and 2,4-bis[(substituted-aminomethyl)phenyl]quinazoline derivatives (series C) designed as antiprotozoal candidates, which could bind to Plasmodium falciparum DNA G-quadruplexes [17,18,19,20] in order to bypass the resistance mechanisms deployed by the parasites and also based on efflux. Indeed, it has previously been described that the telomeres of various protozoa could constitute attractive drug targets [21,22,23,24], and telomerase activity is observed in gametocytes and during the transition to the erythrocytic stage of the parasite P. falciparum [25]. The telomeric 3’ G-overhang area of P. falciparum is a repetition of degenerate unit 5′GGGTTYA3′ (where Y could be T or C) [26], which can fold into intramolecular G-quadruplex [27]. This difference between parasitic and human (5′GGGTTA3′) G-quadruplexes is also noticed with Leishmania spp., which opens the possibility of developing antiprotozoal ligands specifically targeting G-quadruplexes present in these parasitic species.
By considering our research competence in the domain of the preparation of new antiprotozoal heterocyclic derivatives, we describe here the design and synthesis of new 1,3,5-tris[(4-(substituted-aminomethyl)phenyl)methyl]benzene derivatives 1, a novel alternative and potential antiparasitic scaffold against malaria. We hypothesized that substitution with three diaminobenzyl moieties in positions 1, 3, and 5 of the benzene ring could lead to more potent G4 ligands in terms of selectivity by enlarging the aromatic surface. We judged that the extended aromatic moieties of the diaminobenzyl groups would provide a basis for π–π stacking interactions with the different G-quartets. In addition, the length of the polyamine side chains could have an influence on the stabilization and flexibility of our ligands.
We refer to their in vitro antiprotozoal activities against the CQ-sensitive (3D7) and the CQ-resistant (W2) strains of the malaria parasite P. falciparum. These novel synthesized derivatives were also tested for in vitro efficacy against protozoans Leishmania donovani. The in vitro cytotoxicity of our 1,3,5-tris[(4-(substituted-aminomethyl)phenyl)methyl]benzene derivatives 1 was also assessed in human HepG2 cells, and the index of selectivity and the ratio of cytotoxic to antiprotozoal activity were determined for each compound. In addition, we investigated whether these novel polyaromatic compounds could lead to the stabilization of some parasitic telomeric DNA G-quadruplex structures. Thus, the potential stabilization of P. falciparum telomeric G-quadruplexes was estimated using a FRET melting assay.
2. Results
2.1. Chemistry
These newly reported 1,3,5-tris[(4-(substituted-aminomethyl)phenyl)methyl]benzene derivatives 1a-r were synthesized starting from commercially available 1,3,5-tris(bromomethylbenzene (Scheme 1). The intermediate 1,3,5-tris[(4-formylphenyl)methyl]benzene 2 was prepared by a triple Suzuki–Miyaura cross-coupling reaction of 1,3,5-tris(bromomethylbenzene with an excess of 4-formylphenylboronic acid in the presence of Pd(PPh3)4 and sodium carbonate [28,29]. The reaction of various primary substituted alkylaminoalkylamines with trialdehyde 2 led to the 1,3,5-tris[(4-(substituted-iminomethyl)phenyl)methyl]benzenes 3a-r, which were then reduced into the 1,3,5-tris[(4-(substituted-aminomethyl)phenyl)methyl]benzene derivatives 4a-r by using sodium borohydride in methanol, as previously described by our team [17,18,19,20]. These new 1,3,5-tris[(4-(substituted-aminomethyl)phenyl)methyl]benzene derivatives 4a-r were then converted into ammonium oxalate salts 1a-r by reaction with oxalic acid in isopropanol. Table 1 gives the physical properties of these new ammonium oxalates 1a-r.
Scheme 1.
General procedure for the preparation of 1,3,5-tris[(4-(substituted-aminomethyl)phenyl)methyl]benzene derivatives 1a-r.
Table 1.
Physical properties of ammonium oxalate salts 1a-r.
2.2. Biological Evaluation
2.2.1. In Vitro Antimalarial Activity
Most of these novel 1,3,5-tris[(4-(substituted-aminomethyl)phenyl)methyl]benzene compounds 1a-r were tested for their in vitro antimalarial activity by incubation with P. falciparum CQ-resistant strain W2 (IC50 CQ = 0.40 μM, IC50 MQ = 0.016 μM) and the strain 3D7, which is CQ-sensitive and has decreased sensitivity to MQ (IC50 CQ = 0.11 μM, MQ = 0.06 μM). The IC50 values of these new 1,3,5-tris[(4-(substituted-aminomethyl)phenyl)methyl]benzenes 1 were found between 0.18 and 24.82 μM against W2 and between 0.07 and 25.78 μM against the 3D7 P. falciparum strains (Table 2).
Table 2.
In vitro sensitivity of P. falciparum and L. donovani strains to compounds 1a-r and cytotoxicity of these compounds in HepG2 cells.
In this novel series, all 1,3,5-tris[(4-(substituted-aminomethyl)phenyl)methyl]benzenes bearing pyridinylalkylaminomethyl side chains at position 4 of the benzyl rings (compounds 1j-r) displayed better activities than their homologs substituted with alkylaminoalkylaminomethyl side chains (compounds 1a-h); i.e., IC50 = 0.18 to 4.82 μM for 1j-r versus IC50 = 3.27 to >40 μM for 1a-h. Against the P. falciparum CQ-resistant strain W2, 1,3,5-tris[(4-(substituted-aminomethyl)phenyl)methyl]benzene 1r bearing pyridin-4-ylpropylaminomethyl side chains at position 4 of each of the benzyl groups was noticed to be the most active, with an IC50 of 0.18 μM. From a general point of view, the substitution of the side chains by C3 alkyl chains showed better antimalarial activities against the W2 strain than their C1, C2, or C4 homologs: for example, IC50 = 0.63 µM for 1l in comparison with 0.79 and 1.54 µM for 1j and 1k, respectively, or 15.63 μM for 1b versus >40 μM for 1a and 1c. In addition, compound 1f, substituted by 3 morpholinopropylaminomethyl chains, was found to be more active than its other substituted aminoalkylaminomethyl homologs 1a-e and 1g-h (IC50 = 3.27 μM for 1f versus IC50 = 13.28 to >40 μM for 1a-e and 1g-h).
Against the 3D7 CQ-sensitive strain, the 1,3,5-tris[(4-(pyridin-4-ylpropylaminomethyl)phenyl)methyl]benzene 1r was the most potent antiplasmodial derivative with an IC50 of 0.07 μM. This is very similar to the IC50 values of the two reference drugs, CQ and MQ, which presented IC50 values of 0.11 and 0.06 μM, respectively. In terms of structure–activities relationships, we could also conclude the same observations as those noticed for the W2 strain, with the exception of compounds 1o and 1q, which were surprisingly found as the less bioactive derivatives, with an IC50 of 25.78 and >40 μM, respectively, against the 3D7 P. falciparum strain. Similarly, compound 1f remained the compound exhibiting the best antimalarial activity against the 3D7 strain in the subseries of the 1,3,5-tris[(4-(substituted-aminoalkylaminomethyl)phenyl)methyl]benzene derivatives 1a-e and 1g-h, i.e., IC50 = 1.18 μM for 1f versus 3.29 to 20.41 μM for the other compounds.
Surprisingly, derivative 1i bearing three quinoline nuclei, a motif found in the reference molecules CQ and MQ, did not show any antimalarial activity on the two P. falciparum strains tested (IC50 > 40 μM). Moreover, we also noticed that the majority of our novel compounds 1, except derivatives 1o and 1q, were found more active against the CQ-sensitive and MQ-resistant P. falciparum strain 3D7 than against the CQ-resistant and mefloquine-sensitive P. falciparum strain W2.
2.2.2. In Vitro Antileishmanial Activity against Promastigote Forms
In order to better understand the biological profile of our novel 1,3,5-tris[(4-(substituted-aminomethyl)phenyl)methyl]benzene heterocycles 1a-r, some additional antiprotozoal analyses were then performed. Thus, in vitro activity against the parasite L. donovani was biologically evaluated (Table 2). The reference drugs pentamidine and amphotericin B presented IC50 values of 5.50 µM and 0.10 µM, respectively, against L. donovani. Only 1,3,5-tris[(4-(substituted-aminomethyl)phenyl)methyl]benzenes 1n, 1q, and 1r were found slightly bioactive against the promastigote forms of L. donovani with an IC50 of 14.04, 5.96, and 6.44 μM, respectively. In terms of structure—activity relationships, these pharmacological results demonstrate that the activity of these new compounds seems to be related to the presence of an ethyl or propyl group substituted by a pyridine in the three lateral chains. Regrettably, none of all of our other novel derivatives 1 showed any anti-leishmanial activity in vitro (all IC50 values > 15.6 μM).
2.2.3. Cytotoxicity and Selectivity Index
In order to assess their selectivity of action, the cytotoxicities of our novel synthesized antiparasitic 1,3,5-tris[(4-(substituted-aminomethyl)phenyl)methyl]benzene compounds 1a-r were evaluated in vitro on the human cell line HepG2, which is a commonly used human-derived hepatocarcinoma cell line and expresses many hepatocyte-specific metabolic enzymes. The aim of this assay was the evaluation of the impact of metabolic activation of the tested derivatives on cell viability [30,31]. Thus, the cytotoxic concentrations 50% (CC50) were obtained, and selectivity indices (SIs), defined as the ratios of cytotoxic to antiparasitic activities (SI = CC50/IC50), were then calculated (Table 3). Most of these novel 1,3,5-tris[(4-(substituted-aminomethyl)phenyl)methyl]benzene compounds 1a-r, which were noticed less or more active against the various parasites, showed cytotoxicity against these HepG2 cells with CC50 values ranging from 2.00 to 72.90 µM. Against the human cell line HepG2, the 1,3,5-tris[(4-(substituted-aminomethyl)phenyl)methyl]benzene derivatives bearing pyridinylalkylaminomethyl side chains at position 4 of the benzyl groups (compounds 1k-r) were found more cytotoxic, except compounds 1j and 1m, than their homologs substituted with alkylaminoalkylaminomethyl side chains (compounds 1a-h), i.e., CC50 = 2.00 to 3.11 μM for 1k-r versus CC50 = 18.49 to 72.90 μM for 1a-h. In addition, derivative 1i, substituted by quinoline nuclei on its three side chains, showed a cytotoxicity concentration of 50% (CC50) superior to 100 μM.
Table 3.
Selectivity indices of compounds 1a-r.
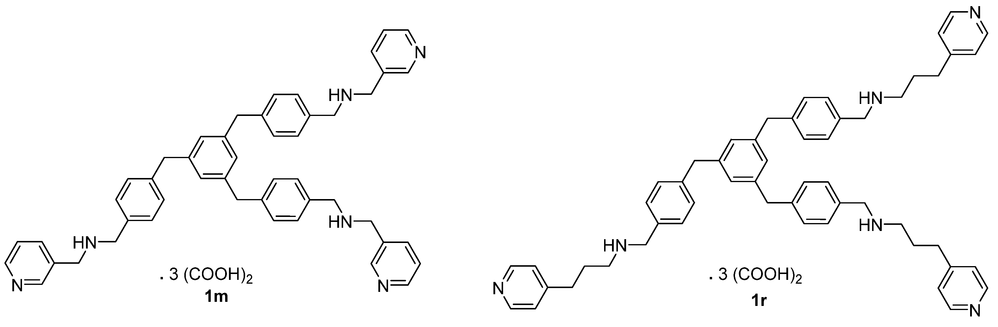
Concerning the P. falciparum strain W2, the calculated SIs were found between 0.56 and 17.28. For the CQ-sensitive strain 3D7, these SIs were noticed from 2.14 to 83.67. An examination of these SI data led us to identify the 1,3,5-tris[(4-(substituted-aminomethyl)phenyl)methyl]benzene 1r as an interesting compound with an SI of 17.28 for the W2 strain. In addition, compound 1j also showed an interesting SI value of 14.81 for this CQ-resistant strain W2. Moreover, the SI data also led us to the identification of the promising derivative 1m with an SI of 83.67 for the CQ-sensitive strain 3D7. Against this 3D7 P. falciparum strain, 1,3,5-tris[(4-(substituted-aminomethyl)phenyl)methyl]benzene 1r had an SI of 44.43 (Figure 2). These promising and interesting SI values may indicate that these new original polyaromatic benzene 1 compounds warrant further investigations into their potential use as antimalarial drugs.
Figure 2.
The structures of the most promising synthesized 1,3,5-tris[(4-(substituted-aminomethyl)phenyl)methyl]benzene derivatives 1m and 1r.
2.3. FRET Melting Experiments
As the telomeres of P. falciparum could be estimated as potential and interesting targets of these kinds of polyaromatic derivatives [20,25,26,27], we also investigated the potential stabilization of the P. falciparum telomeric chromosomic G-quadruplexes via some biologically active compounds 1 using a FRET melting assays. Thus, a FRET melting assay was used to determine the degree to which the novel polyaromatic compounds 1 stabilize the G-quadruplexes, which were formed by oligonucleotides with P. falciparum as well as human telomeric sequences. Thus, we used two fluorescently labeled P. falciparum telomeric chromosomic sequences (FPf1T and FPf8T) and one human telomeric sequence (F21T).
To probe the G4 selectivity of our new 1,3,5-tris[(4-(substituted-aminomethyl)phenyl)methyl]benzene ligands 1 over duplex DNA, a FRET melting assay was realized using a duplex control sequence, FdxT. Comparatively, we also evaluated the reference G4 ligand, named PhenDC3, and the antimalarial reference drugs, CQ and MQ. To allow a comparison of selectivities, we calculated the difference (ΔTm) between the Tm of the G-quadruplex formed by FPf1T, FPf8T, F21T, or FdxT in the presence or absence of each selected derivative. These ΔTm values are summarized in Table 4. For the selected ligands 1, the ΔTm values ranged from 0.5 to 24.3 °C at a 2 µM derivative concentration.
Table 4.
FRET melting values for selected compounds 1 (2 μM) with FPf1T, FPf8T, F21T, and FdxT (0.2 µM) in K+ conditions.
The best ligands that stabilized all three G-quadruplexes sequences (two parasitic FPf1T and FPf8T, and the human F21T) were compounds 1b and 1d (Table 4), with ΔTm values ranging from 18.2 to 24.3 °C. It could be observed that polyaromatic compounds substituted by three pyridinylalkylaminomethyl chains (compounds 1m, 1n, and 1r) or bearing three morpholinoalkylaminomethyl chains (derivatives 1f) exhibited a very low stabilization profile in comparison with their 3-(dimethylaminopropyl)aminomethyl or 2-(4-methylpiperazin-1-yl)ethyl)aminomethyl substituted homologs 1b and 1d.
A radar plot presented in Figure 3 shows that the selected compounds 1 may be able to stabilize more or less some of the G4 forming sequences.
Figure 3.
Stabilization specificity profile of 1b, 1d, 1f, 1j, 1l, 1m, 1n, and 1r (2 µM) toward various G4 oligonucleotides. The difference in Tm in presence and absence of 1b, 1d, 1f, 1j, 1l, 1m, 1n, and 1r, ∆Tm, in °C is plotted for each sequence. Four quadruplexes and one duplex (FdxT) were tested.
All our novel selected polyaromatic ligands 1 were found to exhibit lower stabilization than the reference PhenDC3 ligand. No binding to duplex DNA sequence was detected by using FRET assays.
3. Materials and Methods
3.1. Chemistry
3.1.1. General
Commercially available reagents were used as received without additional purification. Melting points were determined with an SM-LUX-POL Leitz hot-stage microscope and were uncorrected. NMR spectra were recorded with tetramethylsilane as an internal standard using a BRUKER AVANCE 300 spectrometer. Splitting patterns were reported as follows: s—singlet; bs—broad singlet; d—doublet; t—triplet; q—quartet; dd—double doublet; ddd—double double doublet; qt—quintuplet; m—multiplet. Analytical TLCs were carried out on 0.25 precoated silica gel plates (POLYGRAM SIL G/UV254) and visualization of compounds occurred after UV light irradiation. Silica gel 60 (70–230 mesh) was used for column chromatography. Mass spectra were recorded on an ESI LTQ Orbitrap Velos mass spectrometer (ThermoFisher, Bremen, Germany). Ionization was performed using an Electrospray ion source operating in positive ion mode with a capillary voltage of 3.80 kV and capillary temperature of 250 °C. The scan type analyzed was full scan, all MS recordings were in the m/z range between 150 and 2000 m/z. No type of fragmentation was carried out, and the resolution used for the analysis was 60.000.
3.1.2. Synthesis of the 1,3,5-tris[(4-formylphenyl)methyl]benzene 2
To a suspension of 1,3,5-tris(bromomethyl)benzene (1.5 mmol), 4-formylphenylboronic acid (6 mmol), and Pd(PPh3)4 (0.225 mmol) in THF (40 mL) under nitrogen were added 4 mL of a 2 M aqueous solution of Na2CO3. The reaction mixture was refluxed for 24 h. The suspension was then evaporated to dryness and extracted with AcOEt (2 × 30 mL). The organic layer was filtered and washed with water (2 × 40 mL). The organic layer was dried over sodium sulfate, filtered, and evaporated under reduced pressure. The crude residue was purified by column chromatography on silica gel using AcOEt/Petroleum ether (v/v: 30/70) as eluent to give the pure product 2. White crystals (57%); Mp = 222 °C. 1H NMR (CDCl3) δ ppm: 9.86 (s, 3H, CHO), 7.69 (d, 6H, J = 8.10 Hz, H-3phen and H-5phen), 7.22 (d, 1H, J = 8.10 Hz, H-2phen and H-6phen), 6.80 (s, 3H, Hbenz), 3.89 (s, 1H, CH2); 13C NMR (CDCl3) δ ppm: 191.1 (CO), 142.3 (C-1phen), 142.6 (Cq-benz), 134.4 (C-4phen), 130.4 (C-3phen and C-5phen), 128.8 (C-2phen and C-6phen), 126.8 (CHbenz), 46.4 (CH2); MALDI-TOF MS m/z [M+H]+ Calcd for C42H41N6: 432.17, Found: 433.17.
3.1.3. General Procedure for the Synthesis of 1,3,5-tris[(4-(substituted-iminomethyl)phenyl)methyl]benzenes 3a-r
The 1,3,5-tris[(4-formylphenyl)methyl]benzene 2 (100 mg, 0.2 mmol) was dissolved in 6 mL of toluene. Activated molecular sieves 4 Å (800 mg) were introduced followed by dialkylamine (0.7 mmol). The reaction mixture was stirred in a stoppered flask for 24 h. The suspension that was obtained was filtered, washed with dichloromethane, and the solvent was removed under reduced pressure to afford the tri-imine 3. The crude products were then used without further purification.
1,3,5-Tris[(4-(2-dimethylaminoethyl)iminomethyl)phenyl)methyl]benzene (3a)
Yellow oil (99%); 1H NMR (CDCl3) δ ppm: 8.36 (s, 3H, CH=N), 7.61 (d, 6H, J = 8.10 Hz, H-3phen and H-5phen), 7.24 (d, 6H, J = 8.10 Hz, H-2phen and H-6phen), 6.84 (s, 3H, Hbenz), 3.90 (s, 6H, CH2), 3.61 (t, 6H, J = 6.90 Hz, NCH2), 2.15 (t, 6H, J = 6.90 Hz, NCH2), 2.10 (s, 18H, N(CH3)2).
1,3,5-Tris[(4-(3-dimethylaminopropyl)iminomethyl)phenyl)methyl]benzene (3b)
Yellow oil (98%); 1H NMR (CDCl3) δ ppm: 8.36 (s, 3H, CH=N), 7.61 (d, 6H, J = 8.10 Hz, H-3phen and H-5phen), 7.2 (d, 6H, J = 8.10 Hz, H-2phen and H-6phen), 6.84 (s, 3H, Hbenz), 3.90 (s, 6H, CH2), 3.61 (t, 6H, J = 6.90 Hz, NCH2), 2.15 (t, 6H, J = 6.90 Hz, NCH2), 2.10 (s, 18H, N(CH3)2), 1.81 (qt, 6H, J = 8.40 Hz, CH2).
1,3,5-Tris[(4-(4-dimethylaminobutyl)iminomethyl)phenyl)methyl]benzene (3c)
Yellow oil (98%); 1H NMR (CDCl3) δ ppm: 8.24 (s, 3H, CH=N), 7.61 (d, 6H, J = 8.1 Hz, H-3phen and H-5phen), 7.17 (d, 6H, J = 8.10 Hz, H-2phen and H-6phen), 6.84 (s, 3H, Hbenz), 3.90 (s, 6H, CH2), 3.61 (t, 6H, J = 6.90 Hz, NCH2), 2.15 (t, 6H, J = 6.90 Hz, NCH2), 2.10 (s, 18H, N(CH3)2), 1.72–1.69 (m, 6H, CH2), 1.55–1.51 (m, 6H, CH2).
1,3,5-Tris[(4-(2-(4-methylpiperazin-1-yl)ethyl)iminomethyl)phenyl)methyl]benzene (3d)
Yellow oil (98%); 1H NMR (CDCl3) δ ppm: 8.17 (s, 3H, CH=N), 7.51 (d, 6H, J = 8.10 Hz, H-3phen and H-5phen), 7.17 (d, 6H, J = 8.10 Hz, H-2phen and H-6phen), 6.76 (s, 3H, Hbenz), 3.81 (s, 6H, CH2), 3.66 (t, 6H, J = 6.0 Hz, NCH2), 2.68 (t, 6H, J = 8.40 Hz, NCH2), 2.23 (s, 24H, NCH2pip), 2.18 (s, 9H, NCH3).
1,3,5-Tris[(4-(3-(4-methylpiperazin-1-yl)propyl)iminomethyl)phenyl)methyl]benzene (3e)
Yellow oil (98%); 1H NMR (CDCl3) δ ppm: 8.25 (s, 3H, CH=N), 7.62 (d, 6H, J = 8.10 Hz, H-3phen and H-5phen), 7.17 (d, 6H, J = 8.10 Hz, H-2phen and H-6phen), 6.84 (s, 3H, Hbenz), 3.90 (s, 6H, CH2), 3.63 (t, 6H, J = 6.00 Hz, NCH2), 2.68 (t, 6H, J = 6.00 Hz, NCH2), 2.23 (s, 24H, NCH2pip), 2.18 (s, 9H, NCH3), 1.90–1.88 (m, 6H, CH2).
1,3,5-Tris[(4-(3-(morpholin-1-yl)propyl)iminomethyl)phenyl)methyl]benzene (3f)
Yellow oil (94%); 1H NMR (CDCl3) δ ppm: 8.18 (s, 3H, CH=N), 7.56 (d, 6H, J = 8.10 Hz, H-3phen and H-5phen), 7.12 (d, 6H, J = 8.10 Hz, H-2phen and H-6phen), 6.79 (s, 3H, Hbenz), 3.84 (s, 6H, CH2), 3.65 (t, 12H, J = 4.20 Hz, OCH2), 3.58 (t, 6H, J = 6.9 Hz, NCH2), 2.39–2.28 (m, 18H, NCH2 and NCH2morph), 1.83 (qt, 6H, J = 6.90 Hz, CH2).
1,3,5-Tris[(4-(3-(pyrrolidin-1-yl)propyl)iminomethyl)phenyl)methyl]benzene (3g)
Yellow oil (98%); 1H NMR (CDCl3) δ ppm: 8.23 (s, 3H, CH=N), 7.62 (d, 6H, J = 8.1 Hz, H-3phen and H-5phen), 7.14 (d, 6H, J = 8.10 Hz, H-2phen and H-6phen), 6.83 (s, 3H, Hbenz), 3.88 (s, 6H, CH2), 3.63 (t, 6H, J = 6.60 Hz, NCH2), 3.64 (t, 6H, J = 6.60 Hz, NCH2), 2.54–2.47 (m, 18H, NCH2 and NCH2pyrrol), 1.79–1.74 (m, 12H, CH2pyrrol).
1,3,5-Tris[(4-(3-(piperidin-1-yl)propyl)iminomethyl)phenyl)methyl]benzene (3h)
Yellow oil (99%); 1H NMR (CDCl3) δ ppm: 8.24 (s, 3H, CH=N), 7.62 (d, 6H, J = 8.10 Hz, H-3phen and H-5phen), 7.18 (d, 6H, J = 8.10 Hz, H-2phen and H-6phen), 6.85 (s, 3H, Hbenz), 3.90 (s, 6H, CH2), 3.63 (t, 6H, J = 6.90 Hz, NCH2), 2.42–2.31 (m, 18H, NCH2 and NCH2pip), 1.62–1.54 (m, 18H, CH2 and CH2pip), 1.45–1.42 (m, 6H, CH2pip).
1,3,5-Tris{[4-((quinolin-3-yl)iminomethyl)phenyl]methyl}benzene (3i)
Pale-yellow oil (98%); 1H NMR (CDCl3) δ ppm: 8.57 (s, 3H, CH=N), 8.53 (d, 3H, J = 2.70 Hz, H-2quinol), 8.24–8.19 (m, 3H, H-8quinol), 8.02–7.99 (m, 3H, H-5quinol), 7.97 (d, 3H, J = 2.70 Hz, H-4quinol), 7.61 (d, 6H, J = 7.80 Hz, H-3phen and H-5phen), 7.50–7.39 (m, 6H, H-6quinol and H-7quinol), 7.23 (d, 6H, J = 7.80 Hz, H-2phen and H-6phen), 7.02 (s, 3H, Hbenz), 3.95 (s, 6H, CH2).
1,3,5-Tris[(4-(pyridin-2-ylmethyliminomethyl)phenyl)methyl]benzene (3j)
Pale-yellow oil (93%); 1H NMR (CDCl3) δ ppm: 8.53 (d, 3H, J = 6.90 Hz, H-6pyrid), 8.41 (s, 3H, CH=N), 7.71–7.57 (m, 9H, H-3phen, H-5phen and H-4pyrid), 7.29–7.10 (m, 12H, H-2phen, H-6phen, H-3pyrid and H-5pyrid), 6.84 (s, 3H, Hbenz), 4.92 (s, 6H, NCH2), 3.89 (s, 6H, CH2).
1,3,5-Tris[(4-(pyridin-2-ylethyliminomethyl)phenyl)methyl]benzene (3k)
Yellow oil (97%); 1H NMR (CDCl3) δ ppm: 8.52 (d, 3H, J = 5.90 Hz, H-6pyrid), 8.16 (s, 3H, CH=N), 7.59–7.49 (m, 9H, H-3phen, H-5phen and H-4pyrid), 7.18–7.05 (m, 12H, J = 8.10 Hz, H-2phen, H-6phen, H-3pyrid and H-5pyrid), 6.82 (s, 3H, Hbenz), 3.99 (t, 6H, J = 7.20 Hz, NCH2), 3.87 (s, 6H, CH2), 3.17 (t, 6H, J = 7.20 Hz, CH2Pyrid).
1,3,5-Tris[(4-(pyridin-2-ylpropyliminomethyl)phenyl)methyl]benzene (3l)
Yellow oil (97%); 1H NMR (CDCl3) δ ppm: 8.48 (d, 3H, J = 5.80 Hz, H-6pyrid), 8.20 (s, 3H, CH=N), 7.63–7.49 (m, 9H, H-3phen, H-5phen and H-4pyrid), 7.17–7.03 (m, 12H, J = 8.10 Hz, H-2phen, H-6phen, H-3pyrid and H-5pyrid), 6.82 (s, 3H, Hbenz), 3.87 (s, 6H, CH2), 3.62 (t, 6H, J = 6.60 Hz, NCH2), 2.82 (t, 6H, J = 6.60 Hz, CH2Pyrid), 2.12 (qt, 6H, J = 6.60 Hz, CH2).
1,3,5-Tris[(4-(pyridin-3-ylmethyliminomethyl)phenyl)methyl]benzene (3m)
Pale-yellow oil (98%); 1H NMR (CDCl3) δ ppm: 8.58–8.46 (m, 6H, H-2pyrid and H-6pyrid), 8.35 (s, 3H, CH=N), 7.67–7.62 (m, 9H, H-3phen, H-5phen and H-4pyrid), 7.24–7.16 (m, 9H, H-2phen, H-6phen and H-5pyrid), 6.83 (s, 3H, Hbenz), 4.75 (s, 6H, NCH2), 3.88 (s, 6H, CH2).
1,3,5-Tris[(4-(pyridin-3-ylethyliminomethyl)phenyl)methyl]benzene (3n)
Yellow oil (97%); 1H NMR (CDCl3) δ ppm: 8.40–8.31 (m, 6H, H-2pyrid and H-6pyrid), 8.02 (s, 3H, CH=N), 7.52 (d, 6H, J = 7.80 Hz, H-3phen and H-5phen), 7.43–7.7.38 (m, 3H, H-4pyrid), 7.12–7.06 (m, 9H, H-2phen, H-6phen and H-5pyrid), 6.77 (s, 3H, Hbenz), 3.81 (s, 6H, CH2), 3.71 (t, 6H, J = 7.20 Hz, NCH2), 2.83 (t, 6H, J = 7.20 Hz, CH2Pyrid).
1,3,5-Tris[(4-(pyridin-3-ylpropyliminomethyl)phenyl)methyl]benzene (3o)
Yellow oil (97%); 1H NMR (CDCl3) δ ppm: 8.45 (d, 3H, J = 2.20 Hz, H-2pyrid), 8.43 (dd, 3H, J = 4.80 and 1.60 Hz, H-6pyrid), 8.23 (s, 3H, CH=N), 7.63 (d, 6H, J = 8.10 Hz, H-3phen, and H-5phen), 7.52–7.48 (m, 3H, H-4pyrid), 7.22–7.18 (m, 3H, H-5pyrid), 7.18 (d, 6H, J = 8.10 Hz, H-2phen and H-6phen), 6.85 (s, 3H, Hbenz), 3.90 (s, 6H, CH2), 3.61 (t, 6H, J = 6.60 Hz, NCH2), 2.73 (t, 6H, J = 6.60 Hz, CH2Pyrid), 2.04 (qt, 6H, J = 6.60 Hz, CH2).
1,3,5-Tris[(4-(pyridin-4-ylmethyliminomethyl)phenyl)methyl]benzene (3p)
Pale-yellow oil (98%); 1H NMR (CDCl3) δ ppm: 8.51 (d, 6H, J = 5.40 Hz, H-2pyrid and H-6pyrid), 8.34 (s, 3H, CH=N), 7.68 (d, 6H, J = 8.10 Hz, H-3phen and H-5phen), 7.25–7.17 (m, 12H, H-2phen, H-6phen, H-3pyrid and H-5pyrid), 6.85 (s, 3H, Hbenz), 4.74 (s, 6H, NCH2), 3.85 (s, 6H, CH2).
1,3,5-Tris[(4-(pyridin-4-ylethyliminomethyl)phenyl)methyl]benzene (3q)
Yellow oil (97%); 1H NMR (CDCl3) δ ppm: 8.44–8.42 (m, 6H, H-2pyrid and H-6pyrid), 8.06 (s, 3H, CH=N), 7.53 (d, 6H, J = 8.20 Hz, H-3phen and H-5phen), 7.11 (d, 6H, J = 8.20 Hz, H-2phen and H-6phen), 7.09–7.04 (m, 6H, H-3pyrid and H-5pyrid), 6.80 (s, 3H, Hbenz), 3.84 (s, 6H, CH2), 3.78 (t, 6H, J = 7.20 Hz, NCH2), 2.66 (t, 6H, J = 7.20 Hz, CH2Pyrid).
1,3,5-Tris[(4-(pyridin-4-ylpropyliminomethyl)phenyl)methyl]benzene (3r)
Yellow oil (98%); 1H NMR (CDCl3) δ ppm: 8.70 (d, 6H, J = 5.40 Hz, H-2pyrid and H-6pyrid), 8.35 (s, 3H, CH=N), 7.89 (d, 6H, J = 7.80 Hz, H-3phen and H-5phen), 7.48–7.35 (m, 12H, H-2phen, H-6phen, H-3pyrid and H-5pyrid), 7.11 (s, 3H, Hbenz), 4.10 (s, 6H, CH2), 3.78 (t, 6H, J = 7.20 Hz, NCH2), 2.85 (t, 6H, J = 7.20 Hz, CH2Pyrid), 2.21 (qt, 6H, J = 7.20 Hz, CH2).
3.1.4. General Procedure for the Synthesis of 1,3,5-tris[(4-(substituted-aminomethyl)phenyl)methyl]benzenes 4a-r
To a solution of compound 3a-r (0.4 mmol) in methanol (10 mL) was added portion-wise at 0 °C sodium borohydride (3.2 mmol, 8 eq.). The reaction mixture was then stirred at room temperature for 2 h. Then, it was evaporated to dryness under reduced pressure. After cooling, the residue was triturated in water and extracted with dichloromethane (40 mL). The organic layer was separated, dried over sodium sulfate and activated charcoal, and evaporated to dryness. The residue was then purified by column chromatography on silica gel using dichloromethane/methanol (90/10: v/v) as eluent to give the pure products 4a-r.
1,3,5-Tris[(4-(2-dimethylaminoethyl)aminomethyl)phenyl)methyl]benzene (4a)
Yellow oil (60%); 1H NMR (CDCl3) δ ppm: 7.23 (d, 6H, J = 8.10 Hz, H-3phen and H-5phen), 7.11 (d, 6H, J = 8.10 Hz, H-2phen and H-6phen), 6.86 (s, 3H, Hbenz), 3.88 (s, 6H, CH2), 3.78 (s, 6H, NCH2), 2.70 (t, 6H, J = 6.90 Hz, NCH2), 2.43 (t, 6H, J = 6.90 Hz, NCH2), 2.21 (s, 18H, N(CH3)2); 13C NMR (CDCl3) δ ppm: 142.74 (C-4phenyl), 141.17 (Cqbenz), 139.33 (C-1phenyl), 130.24 (C-3phen and C-5phen), 129.65 (C-2phen and C-6phen), 128.81 (CHbenz), 60.43 (NCH2), 55.17 (NCH2), 48.02 (NCH2), 46.91 (N(CH3)2), 42.84 (CH2). ESI-MS m/z [M+H]+ calculated for C42H61N6: 649.4958, Found: 649.4952.
1,3,5-Tris[(4-(3-dimethylaminopropyl)aminomethyl)phenyl)methyl]benzene (4b)
Yellow oil (63%); 1H NMR (CDCl3) δ ppm: 7.22 (d, 6H, J = 8.10 Hz, H-3phen and H-5phen), 7.11 (d, 6H, J = 8.10 Hz, H-2phen and H-6phen), 6.86 (s, 3H, Hbenz), 3.87 (s, 6H, CH2), 3.76 (s, 6H, NCH2), 2.68 (t, 6H, J = 7.10 Hz, NCH2), 2.33 (t, 6H, J = 7.10 Hz, NCH2), 2.22 (s, 18H, N(CH3)2), 1.69 (qt, 6H, J = 7.10 Hz, CH2); 13C NMR (CDCl3) δ ppm: 142.70 (C-4phenyl), 141.24 (Cqbenz), 139.16 (C-1phenyl), 130.26 (C-3phen and C-5phen), 129.61 (C-2phen and C-6phen), 128.84 (CHbenz), 59.36 (NCH2), 55.06 (NCH2), 49.22 (NCH2), 46.86 (N(CH3)2), 42.83 (CH2), 29.19 (CH2). ESI-MS m/z [M+2H]+ calculated for C45H68N6: 692.5505, found: 692.5491.
1,3,5-Tris[(4-(4-dimethylaminobutyl)aminomethyl)phenyl)methyl]benzene (4c)
Yellow oil (95%); 1H NMR (CDCl3) δ ppm: 7.20 (d, 6H, J = 7.90 Hz, H-3phen and H-5phen), 7.08 (d, 6H, J = 7.90 Hz, H-2phen and H-6phen), 6.84 (s, 3H, Hbenz), 3.85 (s, 6H, CH2), 3.73 (s, 6H, NCH2), 2.64 (t, 6H, J = 6.90 Hz, NCH2), 2.24 (t, 6H, J = 6.90 Hz, NCH2), 2.18 (s, 18H, N(CH3)2), 1.53–1.48 (m, 12H, CH2); 13C NMR (CDCl3) δ ppm: 142.71 (C-4phenyl), 141.25 (Cqbenz), 139.23 (C-1phenyl), 130.26 (C-3phen and C-5phen), 129.63 (C-2phen and C-6phen), 128.83 (CHbenz), 61.03 (NCH2), 55.04 (NCH2), 50.70 (NCH2), 46.79 (N(CH3)2), 42.84 (CH2), 29.29 (CH2), 26.91 (CH2). ESI-MS m/z [M+H]+ calculated for C48H73N6: 733.5896, found: 733.5887.
1,3,5-Tris[(4-(2-(4-methylpiperazin-1-yl)ethyl)aminomethyl)phenyl)methyl]benzene (4d)
Yellow oil (64%); 1H NMR (CDCl3) δ ppm: 7.21 (d, 6H, J = 8.10 Hz, H-3phen and H-5phen), 7.10 (d, 6H, J = 8.10 Hz, H-2phen and H-6phen), 6.85 (s, 3H, Hbenz), 3.87 (s, 6H, CH2), 3.76 (s, 6H, NCH2), 2.70 (t, 6H, J = 6.90 Hz, NCH2), 2.50 (t, 6H, J = 6.90 Hz, NCH2), 2.48–2.35 (m, 24H, NCH2piperazine), 2.27 (s, 9H, NCH3); 13C NMR (CDCl3) δ ppm: 142.72 (C-4phenyl), 141.17 (Cqbenz), 139.39 (C-1phenyl), 130.21 (C-3phen and C-5phen), 129.58 (C-2phen and C-6phen), 128.82 (CHbenz), 59.07 (NCH2), 56.51 (NCH2piperazine), 55.07 (NCH2), 54.52 (NCH2piperazine), 47.43 (NCH3), 47.04 (NCH2), 42.83 (CH2). ESI-MS m/z [M+H]+ calculated for C51H76N9: 814.6223, found: 814.6224.
1,3,5-Tris[(4-(3-(4-methylpiperazin-1-yl)propyl)aminomethyl)phenyl)methyl]benzene (4e)
Yellow oil (84%); 1H NMR (CDCl3) δ ppm: 7.18 (d, 6H, J = 8.10 Hz, H-3phen and H-5phen), 7.06 (d, 6H, J = 8.10 Hz, H-2phen and H-6phen), 6.82 (s, 3H, Hbenz), 3.82 (s, 6H, CH2), 3.71 (s, 6H, NCH2), 2.64 (t, 6H, J = 7.10 Hz, NCH2), 2.37 (t, 6H, J = 7.10 Hz, NCH2), 2.41–2.34 (m, 24H, NCH2piperazine), 2.23 (s, 9H, NCH3), 1.67 (qt, 6H, J = 7.10 Hz, CH2); 13C NMR (CDCl3) δ ppm: 142.61 (C-4phenyl), 141.04 (Cqbenz), 139.26 (C-1phenyl), 130.13 (C-3phen and C-5phen), 129.48 (C-2phen and C-6phen), 128.78 (CHbenz), 59.10 (NCH2), 56.43 (NCH2piperazine), 55.05 (NCH2), 54.55 (NCH2piperazine), 49.48 (NCH2), 47.39 (NCH3), 42.77 (CH2), 28.20 (CH2). ESI-MS m/z [M+H]+ calculated for C54H82N9: 856.6693, found: 856.6698.
1,3,5-Tris[(4-(3-(morpholin-1-yl)propyl)aminomethyl)phenyl)methyl]benzene (4f)
Yellow oil (50%); 1H NMR (CDCl3) δ ppm: 7.22 (d, 6H, J = 8.10 Hz, H-3phen and H-5phen), 7.11 (d, 6H, J = 8.10 Hz, H-2phen and H-6phen), 6.86 (s, 3H, Hbenz), 3.88 (s, 6H, CH2), 3.76 (s, 6H, NCH2), 3.70 (t, 12H, J = 4.65 Hz, OCH2), 2.69 (t, 6H, J = 6.90 Hz, NCH2), 2.44 (t, 12H, J = 4.65 Hz, NCH2 morpholine), 2.39 (t, 6H, J = 6.90 Hz, NCH2), 1.71 (qt, 6H, J = 6.90 Hz, CH2); 13C NMR (CDCl3) δ ppm: 142.71 (C-4phenyl), 141.21 (Cqbenz), 139.29 (C-1phenyl), 130.24 (C-3phen and C-5phen), 129.54 (C-2phen and C-6phen), 128.82 (CHbenz), 68.33 (OCH2), 58.74 (NCH2), 55.14 (NCH2morpholine), 49.38 (NCH2), 42.82 (CH2), 27.94 (CH2). ESI-MS m/z [M+H]+ calculated for C51H73N6O3: 817.5744, found: 817.5743.
1,3,5-Tris[(4-(3-(pyrrolidin-1-yl)propyl)aminomethyl)phenyl)methyl]benzene (4g)
Yellow oil (84%); 1H NMR (CDCl3) δ ppm: 7.18 (d, 6H, J = 8.10 Hz, H-3phen and H-5phen), 7.07 (d, 6H, J = 8.10 Hz, H-2phen and H-6phen), 6.83 (s, 3H, Hbenz), 3.84 (s, 6H, CH2), 3.73 (s, 6H, NCH2), 2.65 (t, 6H, J = 6.90 Hz, NCH2), 2.48–2.43 (m, 18H, NCH2 and NCH2pyrrolidine), 1.75–1.70 (m, 18H, CH2 and CH2pyrrolidine); 13C NMR (CDCl3) δ ppm: 142.70 (C-4phenyl), 141.10 (Cqbenz), 139.42 (C-1phenyl), 130.19 (C-3phen and C-5phen), 129.51 (C-2phen and C-6phen), 128.80 (CHbenz), 56.14 (NCH2), 55.62 (NCH2pyrrolidine), 55.06 (NCH2), 49.48 (NCH2), 42.82 (CH2), 30.62 (CH2), 24.78 (CH2pyrrolidine). ESI-MS m/z [M+H]+ calculated for C51H73N6: 769.5896, found: 769.5881.
1,3,5-Tris[(4-(3-(piperidin-1-yl)propyl)aminomethyl)phenyl)methyl]benzene (4h)
Yellow oil (85%); 1H NMR (CDCl3) δ ppm: 7.20 (d, 6H, J = 8.10 Hz, H-3phen and H-5phen), 7.09 (d, 6H, J = 8.10 Hz, H-2phen and H-6phen), 6.84 (s, 3H, Hbenz), 3.85 (s, 6H, CH2), 3.73 (s, 6H, NCH2), 2.66 (t, 6H, J = 6.90 Hz, NCH2), 2.37–2.30 (m, 18H, NCH2 and NCH2piperidine), 1.70 (qt, 6H, J = 6.90 Hz, CH2), 1.60–1.50 (m, 12H, CH2piperidine), 1.44–1.40 (m, 6H, CH2piperidine); 13C NMR (CDCl3) δ ppm: 142.69 (C-4phenyl), 141.09 (Cqbenz), 139.40 (C-1phenyl), 130.19 (C-3phen and C-5phen), 129.51 (C-2phen and C-6phen), 128.79 (CHbenz), 59.16 (NCH2), 56.04 (NCH2 piperidine), 55.05 (NCH2), 49.66 (NCH2), 42.82 (CH2), 28.36 (CH2), 27.35 (CH2piperidine), 25.83 (CH2piperidine). ESI-MS m/z [M+H]+ calculated for C54H79N6: 811.6366, found: 811.6358.
1,3,5-Tris[(4-((quinolin-3-yl)aminomethyl)phenyl)methyl]benzene (4i)
Pale-yellow crystals (33%); M.p. = 135 °C; 1H NMR (CDCl3) δ ppm: 8.48 (d, 3H, J = 2.70 Hz, H-2quinol), 7.95 (dd, 3H, J = 6.90 and 3.60 Hz, H-8quinol), 7.59 (dd, 3H, J = 6.90 and 3.60 Hz, H-5quinol), 7.44–7.39 (m, 6H, H-6quinol and H-7quinol), 7.29 (d, 6H, J = 7.80 Hz, H-3phen and H-5phen), 7.15 (d, 6H, J = 7.80 Hz, H-2phen and H-6phen), 7.03 (d, 3H, J = 2.70 Hz, H-4quinol), 6.89 (s, 3H, Hbenz), 3.91 (s, 6H, CH2); 13C NMR (CDCl3) δ ppm: 144.62 (C-2quinol), 143.50 (C-8aquinol), 142.67 (C-4phenyl and C-3quinol), 141.93 (Cqbenz), 137.23 (C-1phenyl), 134.93 (C-4aquinol), 130.61 (C-3phen and C-5phen), 130.35 (C-4quinol), 129.02 (C-2phen and C-6phen), 129.00 (C-8quinol), 128.33 (CHbenz), 127.37 (C-6quinol), 126.40 (C-7quinol), 111.82 (C-5quinol), 49.03 (NCH2), 42.82 (CH2). ESI-MS m/z [M+H]+ calculated for C57H49N6: 817.4018, found: 817.4009.
1,3,5-Tris[(4-(pyridin-2-ylmethylaminomethyl)phenyl)methyl]benzene (4j)
Yellow oil (62%); 1H NMR (CDCl3) δ ppm: 8.57–8.55 (m, 3H, H-6pyrid), 7.66–7.62 (m, 3H, H-4pyrid), 7.33–7.25 (m, 9H, H-3phen, H-5phen, and H-3pyrid), 7.19–7.10 (m, 9H, H-6phen, H-2phen, and H-5pyrid), 6.87 (s, 3H, Hbenz), 3.94 (s, 6H, NCH2), 3.88 (s, 6H, CH2), 3.82 (s, 6H, NCH2); 13C NMR (CDCl3) δ ppm: 161.00 (C-2pyrid), 150.66 (C-6pyrid), 142.74 (C-4phenyl), 141.31 (Cqbenz), 138.97 (C-1phenyl), 137.84 (C-4pyrid), 130.28 (C-3phen and C-5phen), 129.78 (C-2phen and C-6phen), 128.83 (CHbenz), 123.77 (C-3pyrid), 123.35 (C-5pyrid), 55.80 (NCH2), 54.53 (NCH2), 42.85 (CH2). ESI-MS m/z [M+H]+ calculated for C48H49N6: 709.4018, found: 709.4010.
1,3,5-Tris[(4-(pyridin-2-ylethylaminomethyl)phenyl)methyl]benzene (4k)
Yellow oil (96%); 1H NMR (CDCl3) δ ppm: 8.51–8.49 (m, 3H, H-6pyrid), 7.56–7.50 (m, 3H, H-4pyrid), 7.20–7.11 (m, 9H, H-3phen, H-5phen, and H-3pyrid), 7.09–7.05 (m, 9H, H-6phen, H-2phen, and H-5pyrid), 6.84 (s, 3H, Hbenz), 3.83 (s, 6H, NCH2), 3.77 (s, 6H, CH2), 3.05–2.97 (m, 12H, NCH2 and CH2Pyrid); 13C NMR (CDCl3) δ ppm: 161.63 (C-2pyrid), 150.66 (C-6pyrid), 142.72 (C-4phenyl), 141.14 (Cqbenz), 139.33 (C-1phenyl), 137.70 (C-4pyrid), 130.21 (C-3phen and C-5phen), 129.57 (C-2phen and C-6phen), 128.76 (CHbenz), 124.65 (C-3pyrid), 122.60 (C-5pyrid), 54.93 (NCH2), 50.24 (NCH2), 42.83 (CH2), 39.80 (CH2). ESI-MS m/z [M+H]+ calculated for C51H55N6: 751.4488, found: 751.4474.
1,3,5-Tris[(4-(pyridin-2-ylpropylaminomethyl)phenyl)methyl]benzene (4l)
Yellow oil (78%); 1H NMR (CDCl3) δ ppm: 8.48–8.45 (m, 3H, H-6pyrid), 7.55–7.48 (m, 3H, H-4pyrid), 7.18 (d, 6H, J = 8.10 Hz, H-3phen and H-5phen), 7.11–7.01 (m, 12H, H-6phen, H-2phen, H-5pyrid, and H-3pyrid), 6.84 (s, 3H, Hbenz), 3.84 (s, 6H, NCH2), 3.71 (s, 6H, CH2), 2.81 (t, 6H, J = 6.90 Hz, NCH2), 2.66 (t, 6H, J = 6.90 Hz, CH2Pyrid), 1.92 (qt, J = 6.90 Hz, CH2); 13C NMR (CDCl3) δ ppm: 163.09 (C-2pyrid), 150.45 (C-6pyrid), 142.72 (C-4phenyl), 141.20 (Cqbenz), 139.25 (C-1phenyl), 137.79 (C-4pyrid), 130.22 (C-3phen and C-5phen), 129.62 (C-2phen and C-6phen), 128.81 (CHbenz), 124.18 (C-3pyrid), 122.43 (C-5pyrid), 54.92 (NCH2), 50.06 (NCH2), 42.83 (CH2), 37.26 (CH2), 31.37 (CH2). ESI-MS m/z [M+H]+ calculated for C54H61N6: 793.4957, found: 793.4941.
1,3,5-Tris[(4-(pyridin-3-ylmethylaminomethyl)phenyl)methyl]benzene (4m)
Pale-yellow oil (70%); 1H NMR (CDCl3) δ ppm: 8.57–8.48 (m, 6H, H-6pyrid and H-3pyrid), 7.69 (d, 3H, J = 7.80 Hz, H-4pyrid), 7.28–7.24 (m, 3H, H-5pyrid), 7.23 (d, 6H, J = 8.10 Hz, H-3phen and H-5phen), 7.12 (d, 6H, J = 8.10 Hz, H-6phen and H-2phen), 6.88 (s, 3H, Hbenz), 3.88 (s, 6H, NCH2), 3.79 (s, 6H, NCH2), 3.76 (s, 6H, CH2); 13C NMR (CDCl3) δ ppm: 151.05 (C-2pyrid), 149.78 (C-6pyrid), 142.72 (C-4phenyl), 141.44 (Cqbenz), 138.89 (C-1phenyl), 137.29 (C-4pyrid), 137.02 (C-3pyrid), 130.32 (C-3phen and C-5phen), 129.63 (C-2phen and C-6phen), 128.87 (CHbenz), 124.83 (C-5pyrid), 54.26 (NCH2), 51.79 (NCH2), 42.86 (CH2). ESI-MS m/z [M+H]+ calculated for C48H49N6: 709.4018, found: 709.4007.
1,3,5-Tris[(4-(pyridin-3-ylethylaminomethyl)phenyl)methyl]benzene (4n)
Yellow oil (90%); 1H NMR (CDCl3) δ ppm: 8.45–8.39 (m, 6H, H-6pyrid and H-3pyrid), 7.47 (d, 3H, J = 7.80 Hz, H-4pyrid), 7.20–7.17 (m, 3H, H-5pyrid), 7.16 (d, 6H, J = 7.80 Hz, H-3phen and H-5phen), 7.07 (d, 6H, J = 7.80 Hz, H-6phen and H-2phen), 6.84 (s, 3H, Hbenz), 3.83 (s, 6H, NCH2), 3.74 (s, 6H, CH2), 2.91–2.75 (m, 12H, NCH2 and CH2Pyrid); 13C NMR (CDCl3) δ ppm: 151.38 (C-2pyrid), 148.90 (C-6pyrid), 142.67 (C-4phenyl), 141.31 (Cqbenz), 138.95 (C-1phenyl), 137.61 (C-4pyrid), 136.75 (C-3pyrid), 130.25 (C-3phen and C-5phen), 129.56 (C-2phen and C-6phen), 128.82 (CHbenz), 124.77 (C-5pyrid), 54.83 (NCH2), 51.43 (NCH2), 42.80 (CH2), 34.83 (CH2). ESI-MS m/z [M+H]+ calculated for C51H55N6: 751.4488, found: 751.4474.
1,3,5-Tris[(4-(pyridin-3-ylpropylaminomethyl)phenyl)methyl]benzene (4o)
Yellow oil (98%); 1H NMR (CDCl3) δ ppm: 8.44–8.41 (m, 6H, H-6pyrid and H-3pyrid), 7.44 (d, 3H, J = 7.80 Hz, H-4pyrid), 7.20 (d, 6H, J = 8.10 Hz, H-3phen and H-5phen), 7.19–7.13 (m, 3H, H-5pyrid), 7.09 (d, 6H, J = 8.10 Hz, H-6phen and H-2phen), 6.86 (s, 3H, Hbenz), 3.86 (s, 6H, NCH2), 3.72 (s, 6H, CH2), 2.67–2.60 (m, 12H, NCH2 and CH2Pyrid), 1.80 (qt, 6H, J = 7.20 Hz, CH2); 13C NMR (CDCl3) δ ppm: 151.16 (C-2pyrid), 148.60 (C-6pyrid), 142.71 (C-4phenyl), 141.26 (Cqbenz), 139.27 (C-1phenyl), 138.76 (C-3pyrid), 137.24 (C-4pyrid), 130.25 (C-3phen and C-5phen), 129.61 (C-2phen and C-6phen), 128.84 (CHbenz), 124.71 (C-5pyrid), 55.05 (NCH2), 49.94 (NCH2), 42.83 (CH2), 32.71 (CH2), 32.00 (CH2). ESI-MS m/z [M+H]+ calculated for C54H61N6: 793.4957, found: 793.4941.
1,3,5-Tris[(4-(pyridin-4-ylmethylaminomethyl)phenyl)methyl]benzene (4p)
Yellow oil (78%); 1H NMR (CDCl3) δ ppm: 8.54 (d, 6H, J = 6.00 Hz, H-2pyrid and H-6pyrid), 7.30–7.23 (m, 12H, H-3pyrid, H-5pyrid, H-3phen, and H-5phen), 7.14 (d, 6H, J = 8.10 Hz, H-6phen and H-2phen), 6.89 (s, 3H, Hbenz), 3.90 (s, 6H, NCH2), 3.82 (s, 6H, NCH2), 3.77 (s, 6H, CH2); 13C NMR (CDCl3) δ ppm: 151.15 (C-2pyrid and C-6pyrid), 150.6 (C-4pyrid), 142.71 (C-4phenyl), 141.48 (Cqbenz), 138.84 (C-1phenyl), 130.32 (C-3phen and C-5phen), 129.62 (C-2phen and C-6phen), 128.91 (CHbenz), 124.39 (C-3pyrid and C-5pyrid), 54.28 (NCH2), 53.21 (NCH2), 42.86 (CH2). ESI-MS m/z [M+H]+ calculated for C48H49N6: 709.4018, found: 709.4018.
1,3,5-Tris[(4-(pyridin-4-ylethylaminomethyl)phenyl)methyl]benzene (4q)
Yellow oil (86%); 1H NMR (CDCl3) δ ppm: 8.52–8.49 (m, 6H, H-2pyrid and H-6pyrid), 7.19 (d, 6H, J = 8.10 Hz, H-3phen and H-5phen), 7.10–7.07 (m, 12H, H-3pyrid, H-5pyrid, H-6phen and H-2phen), 6.87 (s, 3H, Hbenz), 3.87 (s, 6H, NCH2), 3.77 (s, 6H, CH2), 2.92 (t, 6H, J = 6.90 Hz, NCH2), 2.80 (t, 6H, J = 6.90 Hz, CH2); 13C NMR (CDCl3) δ ppm: 151.16 (C-2pyrid and C-6pyrid), 150.54 (C-4pyrid), 142.72 (C-4phenyl), 141.34 (Cqbenz), 139.05 (C-1phenyl), 130.29 (C-3phen and C-5phen), 129.57 (C-2phen and C-6phen), 128.87 (CHbenz), 125.57 (C-3pyrid and C-5pyrid), 54.91 (NCH2), 50.75 (NCH2), 42.85 (CH2), 37.13 (CH2). ESI-MS m/z [M+H]+ calculated for C51H55N6: 751.4488, found: 751.4475.
1,3,5-Tris[(4-(pyridin-4-ylpropylaminomethyl)phenyl)methyl]benzene (4r)
Yellow oil (49%); 1H NMR (CDCl3) δ ppm: 8.45 (d, 6H, J = 6.00 Hz, H-2pyrid and H-6pyrid), 7.19 (d, 6H, J = 8.10 Hz, H-3phen and H-5phen), 7.09 (d, 6H, J = 8.10 Hz, H-6phen and H-2phen), 7.08–7.05 (m, 6H, H-3pyrid and H-5pyrid), 6.86 (s, 3H, Hbenz), 3.86 (s, 6H, NCH2), 3.72 (s, 6H, CH2), 2.64 (t, 12H, J = 7.20 Hz, NCH2 and CH2Pyrid), 1.80 (qt, 6H, J = 7.20 Hz, CH2); 13C NMR (CDCl3) δ ppm: 152.20 (C-4pyrid), 151.02 (C-2pyrid and C-6pyrid), 142.71 (C-4phenyl), 141.36 (Cqbenz), 139.11 (C-1phenyl), 130.29 (C-3phen and C-5phen), 129.64 (C-2phen and C-6phen), 128.88 (CHbenz), 125.28 (C-3pyrid and C-5pyrid), 55.02 (NCH2), 49.93 (NCH2), 42.85 (CH2), 34.24 (CH2), 31.09 (CH2). ESI-MS m/z [M+H]+ calculated for C54H61N6: 793.4957, found: 793.4958.
3.2. Biological Evaluation
3.2.1. In Vitro Antiplasmodial Activity
Derivatives 1 were dissolved in DMSO and then diluted in sterile water in order to obtain a range of concentration from 40 nM to 40 mM for the first screening against culture-adapted Plasmodium falciparum reference strains, 3D7 and W2. The former strain is susceptible to chloroquine (CQ) but displays a decreased susceptibility to mefloquine (MQ); the latter is considered resistant to CQ. These two strains were obtained from the collection of the National Museum of Natural History (Paris, France). The parasites were cultivated in RPMI medium (Sigma-Aldrich, Lyon, France) supplemented with 0.5% Albumax I (Life Technologies Corporation, Paisley, UK), hypoxanthine (Sigma-Aldrich), and gentamicin (Sigma-Aldrich) with human erythrocytes and were incubated at 37 °C in a candle jar, as described previously [32]. The P. falciparum drug susceptibility test was carried out in 96-well flat-bottom sterile plates in a final volume of 250 µL. After 48 h incubation period with the drugs, quantities of DNA in treated and control cultures of parasites in human erythrocytes were quantified using the SYBR Green I (Sigma-Aldrich) fluorescence-based method [33,34]. Briefly, after incubation, plates were frozen at -20 °C until use. Plates were then thawed for 2 h at room temperature, and 100 µL of each homogenized culture was transferred to a well of a 96-well flat-bottom sterile black plate (Sigma-Aldrich, Lyon, France) that contained 100 µL of the SYBR Green I lysis buffer (2xSYBR Green, 20 mM Tris base pH 7.5, 5 mM EDTA, 0.008% w/v saponin, 0.08% w/v Triton X-100). Negative controls treated with solvent (typically DMSO or H2O) and positive controls (CQ and MQ) were added to each set of experiments. Plates were incubated for 1 h at room temperature and then read on a fluorescence plate reader (Tecan Trading AG, Männedorf, Switzerland) using excitation and emission wavelengths of 485 and 535 nm, respectively. The concentrations at which the screening drug or antimalarial is capable of inhibiting 50% of parasitic growth (IC50) were calculated from a sigmoid inhibition model Emax with an estimate of IC50 by non-linear regression (IC Estimator version 1.2) and were reported as means calculated from three independent experiments [35].
3.2.2. In Vitro Antileishmanial Activity
L. donovani (MHOM/IN/00/DEVI) used in this study was provided by the CNR Leishmania (Montpellier, France). The effects of the tested compounds on the growth of L. donovani (MHOM/IN/00/DEVI) promastigotes were assessed by MTT assay [36]. Briefly, promastigotes in log phase in Schneider’s medium supplemented with 20% fetal calf serum (FCS), 2 mM L-glutamine, and antibiotics (100 U/mL penicillin and 100 µg/mL streptomycin) were incubated at an average density of 106 parasites/mL in sterile 96-well plates with various concentrations of compounds previously dissolved in DMSO (final concentration less than 0.5% v/v), in duplicate. Appropriate controls treated with DMSO, pentamidine, and amphotericin B (reference drugs purchased from Sigma-Aldrich) were added to each set of experiments. Duplicate assays were performed for each sample. After a 72 h incubation period at 27 °C, parasite metabolic activity was determined. Each well was microscopically examined for precipitate formation. To each well was added 10 µL of 10 mg/mL MTT (3-(4,5-dimethylthiazol-2-yl)-2,5-diphenyltetrazolium bromide) solution followed by 4 h incubation time. The enzyme reaction was stopped by addition of 100 µL of 50% isopropanol/10% sodium dodecyl sulfate [37]. Plates were vigorously shaken (300 rpm) for 10 min, and the absorbance was measured at 570 nm with 630 nm as reference wavelength in a BIO-TEK ELx808 Absorbance Microplate Reader (Agilent Technologies, Les Ulis, France). The IC50 was defined as the concentration of drug required to inhibit by 50% of the metabolic activity of L. donovani promastigotes compared to the control. IC50 of the parasite’s growth (half maximal inhibitory concentration or IC50 values) were then calculated from the obtained experimental results using a previously described regression program [35]. IC50 values were calculated from three independent experiments.
3.2.3. Cytotoxicity Evaluation
A cytotoxicity evaluation was performed using the method reported by Mosmann [36] with slight modifications to determine the cytotoxic concentrations 50% (CC50) and using doxorubicin as a cytotoxic reference compound. These assays were performed in human HepG2 cells purchased from ATCC (ref HB-8065). These cells are a commonly used human hepatocarcinoma-derived cell line that has characteristics similar to those of primary hepatocytes. These cells express many hepatocyte-specific metabolic enzymes, thus enabling the cytotoxicity of tested product metabolites to be evaluated. Briefly, cells in 100 µL of complete RPMI medium (RPMI supplemented with 10% FCS, 1% L-glutamine (200 mM), penicillin (100 U/mL), and streptomycin (100 µg/mL)) were inoculated at 37 °C into each well of 96-well plates in a humidified chamber in 6% CO2. After 24 h, 100 µL of medium with the test compound at various concentrations dissolved in DMSO (final concentration less than 0.5% v/v) were added, and the plates were incubated for 72 h at 37 °C. Duplicate assays were performed for each sample. Each well was microscopically examined for precipitate formation before the medium was aspirated from the wells. After aspiration, 100 µL of MTT solution (0.5 mg/mL in medium without FCS) was then added to each well. Cells were incubated for 2 h at 37 °C. The MTT solution was removed, and DMSO (100 µL) was added to dissolve the resulting blue formazan crystals. Plates were shaken vigorously (300 rpm) for 5 min. The absorbance was measured at 570 nm with 630 nm as the reference wavelength in a BIO-TEK ELx808 Absorbance Microplate Reader. DMSO was used as blank and doxorubicin (Sigma Aldrich) as the positive control. Cell viability was calculated as percentage of control (cells incubated without compound). The CC50 was determined from the dose–response curve using TableCurve 2D V5.0 software (Systat Software, Palo Alto, CA, USA).
3.3. FRET Melting Experiments
Some bioactive compounds 1 were selected for the subsequent FRET melting experiments. These were performed with dual-labeled oligonucleotides mimicking the Plasmodium telomeric sequences FPf1T (FAM-5′(GGGTTTA)3-GGG3′-TAMRA) and FPf8T [FAM-5′(GGGTTCA)3GGG3′-TAMRA], the human telomeric sequence F21T (FAM-(GGGTTA)3-GGG3′-TAMRA), and the human duplex sequence FdxT (FAM5’-TATAGCTATA-hexaethyleneglycol-TATAGCTATA3’-TAMRA) [14,17,38]. The oligonucleotides were pre-folded in 10 mM lithium cacodylate buffer (pH 7.2), with 10 mM KCl and 90 mM LiCl (K+ condition). The FAM emissions were recorded at 516 nm using a 492 nm excitation wavelength in the absence and presence of a single compound as a function of temperature (25 to 95 °C) in 96-well microplates by using a Stratagene MX3000P real-time PCR device at a rate of 1 °C∙min−1. Data were normalized between 0 and 1, and the required temperature for half denaturation of oligonucleotides corresponding to an emission value of 0.5 was taken as the Tm. Each experiment was performed in duplicate with 0.2 µM of labeled oligonucleotide and 2 µM of compound under K+ condition. For each compound, three independent experiments were carried out.
4. Conclusions
In the present research report, we described the synthesis, the antimalarial potentialities, and the in vitro cytotoxicity toward human cells of a new and original series of 1,3,5-tris[(4-(substituted-aminomethyl)phenyl)methyl]benzene derivatives 1. These new derivatives were tested for their in vitro antiprotozoal activity toward the CQ-resistant W2 and CQ-sensitive 3D7 P. falciparum strains and the promastigote form of L. donovani. In addition, the in vitro cytotoxicity of these new original aza and polyaromatic compounds was assessed on the human HepG2 cell line. Among these new synthesized nitrogen polyaromatic molecules, some of them were found as interesting potential in vitro antiplasmodial leads with IC50 values in the sub and μM range against the W2 and 3D7 strains of P. falciparum. Particularly, compounds 1m-n and 1r were found to be the most active derivatives against the 3D7 strain, whereas 1r presented the best antiprotozoal activities against both Plasmodium W2 and 3D7 strains. Interestingly, 1,3,5-tris[(4-(substituted-aminomethyl)phenyl)methyl]benzene 1m was identified as the most potent and promising antimalarial candidate with a ratio of cytotoxic to antiparasitic activities of 83.67 against the P. falciparum CQ-sensitive strain 3D7. In addition, we can also remark that most of our new synthesized derivatives 1 were found more active against the CQ-sensitive and MQ decreased sensitivity strain 3D7 than against the CQ-resistant and mefloquine-sensitive P. falciparum strain W2. Moreover, three 1,3,5-tris[(4-(substituted-aminomethyl)phenyl)methyl]benzenes showed moderate activity against the promastigote forms of L. donovani, with IC50 data ranging from 5.96 to 14.04 µM. As the telomeres of the various parasites could constitute interesting and potential targets, we have also investigated the possibility of targeting Plasmodium telomeres by stabilizing the Plasmodium G-quadruplex sequences using FRET melting assays with our new synthesized compounds. With regard to the stabilization of the protozoal G-quadruplex, it could be noticed that the best 1,3,5-tris[(4-(substituted-aminomethyl)phenyl)methyl]benzenes 1, which exhibited an interesting stabilization profile, were not the most bioactive compounds against Plasmodium. Thus, we have not found any correlations between the antimalarial activity and selectivity of these novel compounds and their respective binding to G-quadruplexes. These 1,3,5-tris[(4-(substituted-aminomethyl)phenyl)methyl]benzene derivatives are, therefore, unlikely to be specifically cytotoxic via G-quadruplex binding. Moreover, it would be now interesting to enlarge the pharmacological evaluation of our novel 1,3,5-tris[(4-(substituted-aminomethyl)phenyl)methyl]benzene derivatives 1 by studying their potential mechanism of action by using further investigations such as the inhibition of beta-hematin formation or apicoplast functions. In conclusion, the new polyaromatic 1,3,5-tris[(4-(substituted-aminomethyl)phenyl)methyl]benzenes could open the way to new potential valuable and original medicinal chemistry scaffolding in the antimalarial domain.
Author Contributions
J.G., S.A.-R., S.M (Stéphane Moreau)., P.S. and J.-L.M. performed the synthesis and prepared and revised the manuscript; S.A.-R., J.G. and S.S. carried out the experiments; S.A.-R., I.K. and L.R. helped in the analysis of the compounds; A.C., S.M. (Serge Moukha), P.D., P.A. and P.S. conducted the in vitro tests. All authors have read and agreed to the published version of the manuscript.
Funding
This research received no external funding.
Institutional Review Board Statement
Not applicable.
Informed Consent Statement
Not applicable.
Data Availability Statement
Not applicable.
Acknowledgments
The authors would like to thank Philippe Grellier, department RDDM at Muséum National d’Histoire Naturelle (Paris, France), for generously providing the 3D7 and W2 P. falciparum strains.
Conflicts of Interest
The authors report no conflicts of interest. The authors alone are responsible for the content and writing of the paper.
References
- WHO Guidelines for Malaria, Geneva: World Health Organization; 2022 (WHO/UCN/GMP/2022.01 Rev.2). License: CC BY-NC-SA 3.0 IGO. Available online: https://apps.who.int/iris/handle/10665/354781 (accessed on 6 March 2023).
- WHO Guidelines for Malaria Hosted on the MAGICapp Online Platform. Available online: https://app.magicapp.org/#/guideline/7089 (accessed on 6 March 2023).
- World Malaria Report 2022. Available online: https://www.who.int/teams/global-malaria-programme/reports/world-malaria-report-2022 (accessed on 5 March 2023).
- WHO Neglected Tropical Diseases. Available online: https://www.who.int/news-room/questions-and-answers/item/neglected-tropical-diseases (accessed on 5 March 2023).
- WHO Ending the Neglect to Attain the Sustainable Development Goals: A Rationale for Continued Investment in Tackling Neglected Tropical Diseases 2021–2030. Available online: https://www.who.int/publications/i/item/9789240052932 (accessed on 5 March 2023).
- Dola, V.R.; Soni, A.; Agarwal, P.; Ahmad, H.; Raju, K.S.R.; Rashid, M.; Wahajuddin, M.; Srivastava, K.; Haq, W.; Dwivedi, A.K.; et al. Synthesis and Evaluation of Chirally Defined Side Chain Variants of 7-Chloro-4-Aminoquinoline to Overcome Drug Resistance in Malaria Chemotherapy. Antimicrob. Agents Chemother. 2017, 61, e01152-16. [Google Scholar] [CrossRef] [PubMed]
- Manohar, S.; Tripathi, M.; Rawat, D.S. 4-Aminoquinoline based molecular hybrids as antimalarials: An overview. Curr. Top. Med. Chem. 2014, 14, 1706–1733. [Google Scholar] [CrossRef] [PubMed]
- Deshpande, S.; Kay, B. 4-aminoquinolines: An Overview of Antimalarial Chemotherapy. Med. Chem. 2016, 6, 1. [Google Scholar] [CrossRef]
- Kumar, S.; Singh, R.K.; Patial, B.; Goyal, S.; Bhardwaj, T.R. Recent advances in novel heterocyclic scaffolds for the treatment of drug-resistant malaria. J. Enzyme Inhib. Med. Chem. 2016, 31, 173–186. [Google Scholar] [CrossRef]
- Van de Walle, T.; Cools, L.; Mangelinckx, S.; D’hooghe, M. Affiliations expand et al. Recent contributions of quinolines to antimalarial and anticancer drug discovery research. Eur. J. Med. Chem. 2021, 226, 113865. [Google Scholar] [CrossRef]
- Goyal, A.; Kharkwal, H.; Piplani, M.; Singh, Y.; Murugesan, S.; Aggarwal, A.; Kumar, P.; Chander, S. Spotlight on 4-substituted quinolines as potential anti-infective agents: Journey beyond chloroquine. Arch. Pharm. 2023, 356, e2200361. [Google Scholar] [CrossRef]
- Guillon, J.; Grellier, P.; Labaied, M.; Sonnet, P.; Léger, J.-M.; Déprez-Poulain, R.; Forfar-Bares, I.; Dallemagne, P.; Lemaître, N.; Péhourcq, F.; et al. Synthesis, antimalarial activity, and molecular modeling of new pyrrolo[1,2-a]quinoxalines, bispyrrolo[1,2-a]quinoxalines, bispyrido[3,2-e]pyrrolo[1,2-a]pyrazines, and bispyrrolo[1,2-a]thieno[3,2-e]pyrazines. J. Med. Chem. 2004, 47, 1997–2009. [Google Scholar] [CrossRef] [PubMed]
- Dassonville-Klimpt, A.; Cézard, C.; Mullié, C.; Agnamey, P.; Jonet, A.; Da Nascimento, S.; Marchivie, M.; Guillon, J.; Sonnet, P. Absolute Configuration and Antimalarial Activity of erythro-Mefloquine Enantiomers. ChemPlusChem 2013, 78, 642–646. [Google Scholar] [CrossRef]
- Guillon, J.; Cohen, A.; Gueddouda, N.M.; Das, R.N.; Moreau, S.; Ronga, L.; Savrimoutou, S.; Basmaciyan, L.; Monnier, A.; Monget, M.; et al. Design, synthesis and antimalarial activity of novel bis{N-[(pyrrolo[1,2-a]quinoxalin-4-yl)benzyl]-3-aminopropyl}amine derivatives. J. Enzyme Inhib. Med. Chem. 2017, 32, 547–563. [Google Scholar] [CrossRef]
- Jonet, A.; Guillon, J.; Mullie, C.; Cohen, A.; Bentzinger, G.; Schneider, J.; Taudon, N.; Hutter, S.; Azas, N.; Moreau, S.; et al. Synthesis and Antimalarial Activity of New Enantiopure Aminoalcoholpyrrolo[1,2-a]quinoxalines. Med. Chem. 2018, 14, 293–303. [Google Scholar] [CrossRef]
- Dassonville-Klimpt, A.; Schneider, J.; Damiani, C.; Tisnerat, C.; Cohen, A.; Azas, N.; Marchivie, M.; Guillon, J.; Mullié, C.; Agnamey, P.; et al. Design, synthesis, and characterization of novel aminoalcohol quinolines with strong in vitro antimalarial activity. Eur. J. Med. Chem. 2022, 228, 113981. [Google Scholar] [CrossRef]
- Guillon, J.; Cohen, A.; Nath Das, R.; Boudot, C.; Meriem Gueddouda, N.; Moreau, S.; Ronga, L.; Savrimoutou, S.; Basmaciyan, L.; Tisnerat, C.; et al. Design, synthesis, and antiprotozoal evaluation of new 2,9-bis[(substituted-aminomethyl)phenyl]-1,10-phenanthroline derivatives. Chem. Biol. Drug Des. 2018, 91, 974–995. [Google Scholar] [CrossRef]
- Guillon, J.; Cohen, A.; Monic, S.; Boudot, C.; Savrimoutou, S.; Albenque-Rubio, S.; Moreau, S.; Dassonville-Klimpt, A.; Mergny, J.-L.; Ronga, L.; et al. Synthesis and antiprotozoal evaluation of new 2,9-bis[(pyridinylalkylaminomethyl)phenyl]-1,10-phenanthroline derivatives by targeting G-quadruplex, an interesting pharmacophore against drug efflux. Acta Sci. Pharm. Sci. 2023, 7, 50–65. [Google Scholar] [CrossRef]
- Guillon, J.; Cohen, A.; Boudot, C.; Monic, S.; Savrimoutou, S.; Moreau, S.; Albenque-Rubio, S.; Lafon-Schmaltz, C.; Dassonville-Klimpt, A.; Mergny, J.-L.; et al. Design, synthesis, biophysical and antiprotozoal evaluation of new promising 2,9-bis[(substituted-aminomethyl)]-4,7-phenyl-1,10-phenanthroline derivatives by targeting G-quadruplex, a potential alternative to drug efflux. Pathogens 2022, 11, 1339. [Google Scholar] [CrossRef] [PubMed]
- Guillon, J.; Cohen, A.; Boudot, C.; Valle, A.; Milano, V.; Das, R.N.; Guédin, A.; Moreau, S.; Ronga, L.; Savrimoutou, S.; et al. Design, synthesis, and antiprotozoal evaluation of new 2,4-bis[(substituted-aminomethyl)phenyl]quinoline, 1,3-bis[(substituted-aminomethyl)phenyl]isoquinoline and 2,4-bis[(substituted-aminomethyl)phenyl]quinazoline derivatives. J. Enzyme Inhib. Med. Chem. 2020, 35, 432–459. [Google Scholar] [CrossRef]
- Calvo, E.P.; Wasserman, M. G-Quadruplex ligands: Potent inhibitors of telomerase activity and cell proliferation in Plasmodium falciparum. Mol. Biochem. Parasitol. 2016, 207, 33–38. [Google Scholar] [CrossRef]
- Tidwell, R.R.; Boykin, D.W.; Ismail, M.A.; Wilson, W.D.; White, E.W.; Kumar, A.; Nanjunda, R. Dicationic Compounds which Selectively Recognize G-quadruplex DNA. EP 1792613A2, 6 June 2007. [Google Scholar]
- Leeder, W.-M.; Hummel, N.F.C.; Göringer, H.U. Multiple G-quartet structures in pre-edited mRNAs suggest evolutionary driving force for RNA editing in trypanosomes. Sci. Rep. 2016, 6, 29810. [Google Scholar] [CrossRef] [PubMed]
- Lombrana, R.; Alvarez, A.; Fernandez-Justel, J.M.; Almeida, R.; Poza-Carrion, C.; Gomes, F.; Calzada, A.; Requena, J.M.; Gomez, M. Transcriptionally Driven DNA Replication Program of the Human Parasite Leishmania major. Cell Rep. 2016, 16, 1774–1786. [Google Scholar] [CrossRef] [PubMed]
- Bottius, E.; Bakhsis, N.; Scherf, A. Plasmodium falciparum Telomerase: De Novo Telomere Addition to Telomeric and Nontelomeric Sequences and Role in Chromosome Healing. Mol. Cell. Biol. 1998, 18, 919–925. [Google Scholar] [CrossRef] [PubMed]
- Raj, D.K.; Das, D.R.; Dash, A.P.; Supakar, P.C. Identification of telomerase activity in gametocytes of Plasmodium falciparum. Biochem. Biophys. Res. Commun. 2003, 309, 685–688. [Google Scholar] [CrossRef]
- De Cian, A.; Grellier, P.; Mouray, E.; Depoix, D.; Bertrand, H.; Monchaud, D.; Telade-Fichou, M.-P.; Mergny, J.-L.; Alberti, P. Plasmodium Telomeric Sequences: Structure, Stability and Quadruplex Targeting by Small Compounds. ChemBioChem 2008, 9, 2730–2739. [Google Scholar] [CrossRef]
- Kotha, S.; Mandal, K. Suzuki-Miyaura cross-coupling and ring-closing metathesis: A strategic combination for the synthesis of cyclophane derivatives. Eur. J. Org. Chem. 2006, 23, 5387–5393. [Google Scholar] [CrossRef]
- Guillon, J.; Denevault-Sabourin, C.; Chevret, E.; Brachet-Botineau, M.; Milano, V.; Guédin-Beaurepaire, A.; Moreau, S.; Ronga, L.; Savrimoutou, S.; Rubio, S.; et al. Design, synthesis, and antiproliferative effect of 2,9-bis [4-(pyridinylalkylaminomethyl)phenyl]-1,10-phenanthroline derivatives on human leukemic cells by targeting G-quadruplex. Arch. Pharm. (Weinheim) 2021, 354, e2000450. [Google Scholar] [CrossRef]
- Ramirez, T.; Strigun, A.; Verlohner, A.; Huener, H.A.; Peter, E.; Herold, M.; Bordag, N.; Mellert, W.; Walk, T.; Spitzer, M.; et al. Prediction of liver toxicity and mode of action using metabolomics in vitro in HepG2 cells. Arch. Toxicol. 2018, 92, 893–906. [Google Scholar] [CrossRef]
- Rodriguez-Antona, C.; Donato, M.T.; Boobis, A.; Edwards, R.J.; Watts, P.S.; Castell, J.V.; Gómez-Lechón, M.J. Cytochrome P450 expression in human hepatocytes and hepatoma cell lines: Molecular mechanisms that determine lower expression in cultured cells. Xenobiotica 2002, 32, 505–520. [Google Scholar] [CrossRef]
- Desjardins, R.E.; Canfield, C.J.; Haynes, J.D.; Chulay, J.D. Quantitative assessment of antimalarial activity in vitro by a semiautomated microdilution technique. Antimicrob. Agents Chemother. 1979, 16, 710–718. [Google Scholar] [CrossRef] [PubMed]
- Bennett, T.N.; Paguio, M.; Gligorijevic, B.; Seudieu, C.; Kosar, A.D.; Davidson, E.; Roepe, P.D. Novel, Rapid, and Inexpensive Cell-Based Quantification of Antimalarial Drug Efficacy. Antimicrob. Agents Chemother. 2004, 48, 1807–1810. [Google Scholar] [CrossRef]
- Bacon, D.J.; Latour, C.; Lucas, C.; Colina, O.; Ringwald, P.; Picot, S. Comparison of a SYBR Green I-Based Assay with a Histidine-Rich Protein II Enzyme-Linked Immunosorbent Assay for In Vitro Antimalarial Drug Efficacy Testing and Application to Clinical Isolates. Antimicrob. Agents Chemother. 2007, 51, 1172–1178. [Google Scholar] [CrossRef]
- Kaddouri, H.; Nakache, S.; Houzé, S.; Mentré, F.; Le Bras, J. Assessment of the Drug Susceptibility of Plasmodium falciparum Clinical Isolates from Africa by Using a Plasmodium Lactate Dehydrogenase Immunodetection Assay and an Inhibitory Maximum Effect Model for Precise Measurement of the 50-Percent Inhibitory Concentration. Antimicrob. Agents Chemother. 2006, 50, 3343–3349. [Google Scholar]
- Mosmann, T. Rapid colorimetric assay for cellular growth and survival: Application to proliferation and cytotoxicity assays. J. Immunol. Methods 1983, 65, 55–63. [Google Scholar] [CrossRef] [PubMed]
- Emami, S.A.; Zamanai Taghizadeh Rabe, S.; Ahi, A.; Mahmoudi, M. Inhibitory Activity of Eleven Artemisia Species from Iran against Leishmania Major Parasites. Iran J. Basic Med. Sci. 2012, 15, 807–811. [Google Scholar] [PubMed]
- De Cian, A.; Guittat, L.; Kaiser, M.; Saccà, B.; Amrane, S.; Bourdoncle, A.; Alberti, P.; Teulade-Fichou, M.-P.; Lacroix, L.; Mergny, J.-L. Fluorescence-based melting assays for studying quadruplex ligands. Methods 2007, 42, 183–195. [Google Scholar] [CrossRef] [PubMed]
Disclaimer/Publisher’s Note: The statements, opinions and data contained in all publications are solely those of the individual author(s) and contributor(s) and not of MDPI and/or the editor(s). MDPI and/or the editor(s) disclaim responsibility for any injury to people or property resulting from any ideas, methods, instructions or products referred to in the content. |
© 2023 by the authors. Licensee MDPI, Basel, Switzerland. This article is an open access article distributed under the terms and conditions of the Creative Commons Attribution (CC BY) license (https://creativecommons.org/licenses/by/4.0/).



