Atmospheric Sound Propagation over Rough Sea: Numerical Evaluation of Equivalent Acoustic Impedance of Varying Sea States
Abstract
1. Introduction
2. Materials and Methods
2.1. Modeling Sea Surfaces
2.1.1. Background on Sea Spectra
PM Spectrum
ECKV Spectrum
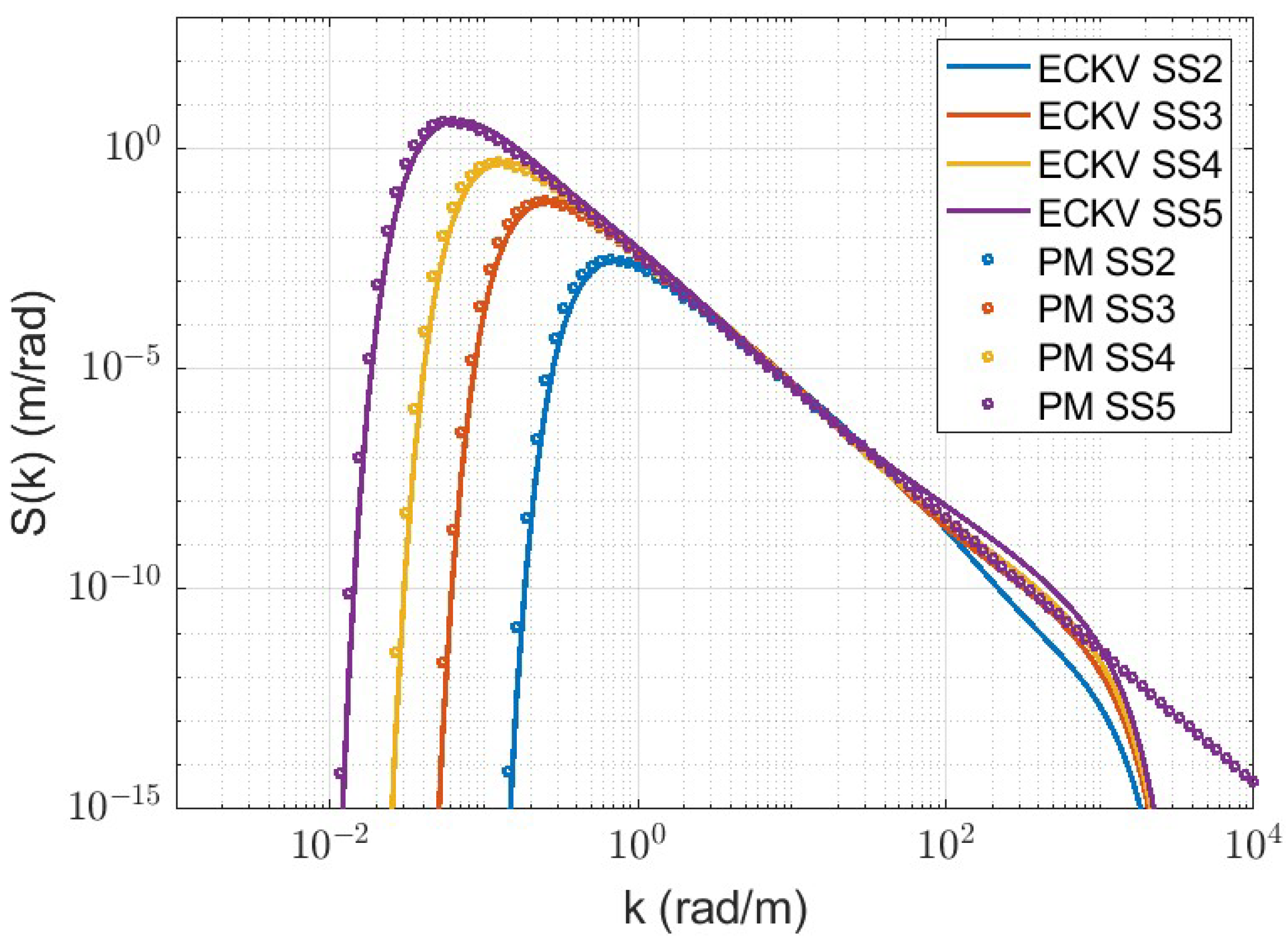
Spectra Comparison
2.1.2. Generating Pseudorandom Sea Surfaces
2.2. Modeling Refraction
2.2.1. Monin–Obukhov Similarity Theory
2.2.2. Meteorological Data
2.3. GTPE Predictions
2.4. Equivalent Impedance Methods
Bolin et al.
Van Renterghem et al.
3. Results
Surface Impedance Parameterization
4. Discussion
4.1. Comparing Equivalent Impedances with Prior Work
4.2. Limitations of the Effective Impedance Method for Rough Sea Surfaces
5. Conclusions
Author Contributions
Funding
Data Availability Statement
Conflicts of Interest
Abbreviations
| CNPE | Crank–Nicolson parabolic equation |
| ECKV | Elfouhaily, Chapron, Katsaros, Vandemark |
| FDTD | Finite Difference Time Domain |
| GFPE | Green’s Function parabolic equation |
| MABL | marine atmospheric boundary layer |
| MOST | Monin–Obukhov similarity theory |
| PE | parabolic equation |
| PM | Pierson–Moskowitz |
References
- Swearingen, M.E.; White, M.J.; Guertin, P.J.; Albert, D.G.; Tunick, A. Influence of a forest edge on acoustical propagation: Experimental results. J. Acoust. Soc. Am. 2013, 133, 2566–2575. [Google Scholar] [CrossRef] [PubMed]
- Cheinet, S.; Cosnefroy, M.; Königstein, F.; Rickert, W.; Christoph, M.; Collier, S.L.; Dagallier, A.; Ehrhardt, L.; Ostashev, V.E.; Stefanovic, A.; et al. An experimental study of the atmospheric-driven variability of impulse sounds. J. Acoust. Soc. Am. 2018, 144, 822–840. [Google Scholar] [CrossRef] [PubMed]
- Ostashev, V.E.; Wilson, D.K.; Muhlestein, M.B. Wave and extra-wide-angle parabolic equations for sound propagation in a moving atmosphere. J. Acoust. Soc. Am. 2020, 147, 3969–3984. [Google Scholar] [CrossRef]
- Guibard, A.; Sèbe, F.; Dragna, D.; Ollivier, S. Influence of meteorological conditions and topography on the active space of mountain birds assessed by a wave-based sound propagation model. J. Acoust. Soc. Am. 2022, 151, 3703–3718. [Google Scholar] [CrossRef] [PubMed]
- Vecchiotti, A.; Ryan, T.J.; Cobb, F.A.; Vignola, J.F.; Turo, D. Investigation of engineering models for sound propagation in a near-shore environment. Appl. Acoust. 2022, 199, 108991. [Google Scholar] [CrossRef]
- Bolin, K.; Boué, M.; Karasalo, I. Long range sound propagation over a sea surface. J. Acoust. Soc. Am. 2009, 126, 2191–2197. [Google Scholar] [CrossRef] [PubMed]
- Bolin, K.; Almgren, M.; Ohlsson, E.; Karasalo, I. Long term estimations of low frequency noise levels over water from an off-shore wind farm. J. Acoust. Soc. Am. 2014, 135, 1106–1114. [Google Scholar] [CrossRef] [PubMed]
- Van Renterghem, T.; Botteldooren, D.; Dekoninck, L. Airborne sound propagation over sea during offshore wind farm piling. J. Acoust. Soc. Am. 2014, 135, 599–609. [Google Scholar] [CrossRef]
- Konishi, K.; Maekawa, Z. Interpretation of long term data measured continuously on long range sound propagation over sea surfaces. Appl. Acoust. 2001, 62, 1183–1210. [Google Scholar] [CrossRef]
- Attenborough, K.; Li, K.M.; Horoshenkov, K.V. Predicting Outdoor Sound; Taylor & Francis: Abingdon, UK, 2007. [Google Scholar]
- Salomons, E.M. Computational Atmospheric Acoustics, 1st ed.; Springer: Berlin/Heidelberg, Germany, 2001. [Google Scholar]
- Ostashev, V.; Wilson, D. Acoustics in Moving Inhomogeneous Media; Taylor & Francis: Abingdon, UK, 2015. [Google Scholar]
- Gilbert, K.E.; White, M.J. Application of the parabolic equation to sound propagation in a refracting atmosphere. J. Acoust. Soc. Am. 1989, 85, 630–637. [Google Scholar] [CrossRef]
- Gilbert, K.E.; Di, X. A fast Green’s function method for one-way sound propagation in the atmosphere. J. Acoust. Soc. Am. 1993, 94, 2343–2352. [Google Scholar] [CrossRef]
- Beilis, A.; Tappert, F.D. Coupled mode analysis of multiple rough surface scattering. J. Acoust. Soc. Am. 1979, 66, 811–826. [Google Scholar] [CrossRef]
- Parakkal, S.; Gilbert, K.E.; Di, X. Application of the Beilis–Tappert parabolic equation method to sound propagation over irregular terrain. J. Acoust. Soc. Am. 2012, 131, 1039–1046. [Google Scholar] [CrossRef] [PubMed]
- Sack, R.A.; West, M. A parabolic equation for sound propagation in two dimensions over any smooth terrain profile: The generalised terrain parabolic equation (GT-PE). Appl. Acoust. 1995, 45, 113–129. [Google Scholar] [CrossRef]
- Jones, A.D.; Duncan, A.; Maggi, A.; Bartel, D.; Zinoviev, A. A Detailed Comparison Between a Small-Slope Model of Acoustical Scattering From a Rough Sea Surface and Stochastic Modeling of the Coherent Surface Loss. IEEE J. Ocean. Eng. 2016, 41, 689–708. [Google Scholar] [CrossRef]
- Delany, M.; Bazley, E. Acoustical properties of fibrous absorbent materials. Appl. Acoust. 1970, 3, 105–116. [Google Scholar] [CrossRef]
- Boulanger, P.; Attenborough, K. Effective impedance spectra for predicting rough sea effects on atmospheric impulsive sounds. J. Acoust. Soc. Am. 2005, 117, 751–762. [Google Scholar] [CrossRef]
- Pierson, W.J.; Moskowitz, L. A proposed spectral form for fully developed wind seas based on the similarity theory of S. A. Kitaigorodskii. J. Geophys. Res. 1964, 69, 5181–5190. [Google Scholar] [CrossRef]
- Hasselmann, D.E.; Dunckel, M.; Ewing, J.A. Directional Wave Spectra Observed during JONSWAP 1973. J. Phys. Oceanogr. 1980, 10, 1264–1280. [Google Scholar] [CrossRef]
- Elfouhaily, T.; Chapron, B.; Katsaros, K.; Vandemark, D. A Unified Directional Spectrum for Long and Short Wind-Driven Waves. J. Geophys. Res. 1997, 102, 15781–15796. [Google Scholar] [CrossRef]
- Thorsos, E.I. Acoustic scattering from a Pierson–Moskowitz sea surface. J. Acoust. Soc. Am. 1990, 88, 335–349. [Google Scholar] [CrossRef]
- Alves, J.H.G.M.; Banner, M.L.; Young, I.R. Revisiting the Pierson–Moskowitz Asymptotic Limits for Fully Developed Wind Waves. J. Phys. Oceanogr. 2003, 33, 1301–1323. [Google Scholar] [CrossRef]
- Phillips, O.M. The Dynamics of the Upper Ocean, 2nd ed.; Cambridge University Press: Cambridge, UK, 1980. [Google Scholar]
- Wu, J. Wind-Stress coefficients over Sea surface near Neutral Conditions—A Revisit. J. Phys. Oceanogr. 1980, 10, 727–740. [Google Scholar] [CrossRef]
- Mobley, C.D.; Boss, E.; Roesler, C. Ocean Optics Web Book. Available online: https://www.oceanopticsbook.info/ (accessed on 7 November 2023).
- Kay, S.; Hedley, J.; Lavender, S.; Nimmo-Smith, A. Light transfer at the ocean surface modeled using high resolution sea surface realizations. Opt. Express 2011, 19, 6493–6504. [Google Scholar] [CrossRef] [PubMed]
- Barltrop, N.D.P.; Adams, A.J. Dynamics of Fixed Marine Structures, 3rd ed.; Butterworth-Heinemann: Oxford, UK, 1991; pp. 249–344. [Google Scholar]
- Foken, T. 50 Years of the Monin–Obukhov Similarity Theory. Bound.-Layer Meteorol. 2006, 119, 431–447. [Google Scholar] [CrossRef]
- Garratt, J.R. The Atmospheric Boundary Layer; Cambridge University Press: Cambridge, UK, 1994. [Google Scholar]
- L’Espérance, A.; Nicolas, J.; Wilson, D.K.; Thomson, D.W.; Gabillet, Y.; Daigle, G. Sound propagation in the atmospheric surface layer: Comparison of experiment with FFP predictions. Appl. Acoust. 1993, 40, 325–346. [Google Scholar] [CrossRef]
- Rossing, T. Springer Handbook of Acoustics; Springer Sciences+Business: New York, NY, USA, 2007. [Google Scholar]
- Edson, J.B.; Fairall, C.W. Similarity Relationships in the Marine Atmospheric Surface Layer for Terms in the TKE and Scalar Variance Budgets. J. Atmos. Sci. 1998, 55, 2311–2328. [Google Scholar] [CrossRef]
- Archer, C.L.; Colle, B.A.; Veron, D.L.; Veron, F.; Sienkiewicz, M.J. On the predominance of unstable atmospheric conditions in the marine boundary layer offshore of the U.S. northeastern coast. J. Geophys. Res. Atmos. 2016, 121, 8869–8885. [Google Scholar] [CrossRef]
- Charnock, H. Wind stress on a water surface. Q. J. R. Meteorol. Soc. 1955, 81, 639–640. [Google Scholar] [CrossRef]
- Garratt, J.R. Review of Drag Coefficients over Oceans and Continents. Mon. Weather. Rev. 1977, 105, 915–929. [Google Scholar] [CrossRef]
- Dyer, A.J. A review of flux-profile relationships. Bound.-Layer Meteorol. 1974, 7, 363–372. [Google Scholar] [CrossRef]
- Paulson, C.A. The Mathematical Representation of Wind Speed and Temperature Profiles in the Unstable Atmospheric Surface Layer. J. Appl. Meteorol. Climatol. 1970, 9, 857–861. [Google Scholar] [CrossRef]
- Roberts, J.B.; Clayson, C.A.; Robertson, F.R. SeaFlux Data Products; Type: Dataset; The NASA Global Hydrology Resource Center DAAC: Huntsville, AL, USA, 2020. [Google Scholar] [CrossRef]
- Bass, H.E.; Sutherland, L.C.; Zuckerwar, A.J.; Blackstock, D.T.; Hester, D.M. Atmospheric absorption of sound: Further developments. J. Acoust. Soc. Am. 1995, 97, 680–683. [Google Scholar] [CrossRef]
- Kirby, R. On the modification of Delany and Bazley fomulae. Appl. Acoust. 2014, 86, 47–49. [Google Scholar] [CrossRef]
- Dragna, D.; Attenborough, K.; Blanc-Benon, P. On the inadvisability of using single parameter impedance models for representing the acoustical properties of ground surfaces. J. Acoust. Soc. Am. 2015, 138, 2399–2413. [Google Scholar] [CrossRef]











Disclaimer/Publisher’s Note: The statements, opinions and data contained in all publications are solely those of the individual author(s) and contributor(s) and not of MDPI and/or the editor(s). MDPI and/or the editor(s) disclaim responsibility for any injury to people or property resulting from any ideas, methods, instructions or products referred to in the content. |
© 2024 by the authors. Licensee MDPI, Basel, Switzerland. This article is an open access article distributed under the terms and conditions of the Creative Commons Attribution (CC BY) license (https://creativecommons.org/licenses/by/4.0/).
Share and Cite
Vecchiotti, A.; Ryan, T.J.; Vignola, J.F.; Turo, D. Atmospheric Sound Propagation over Rough Sea: Numerical Evaluation of Equivalent Acoustic Impedance of Varying Sea States. Acoustics 2024, 6, 489-508. https://doi.org/10.3390/acoustics6020026
Vecchiotti A, Ryan TJ, Vignola JF, Turo D. Atmospheric Sound Propagation over Rough Sea: Numerical Evaluation of Equivalent Acoustic Impedance of Varying Sea States. Acoustics. 2024; 6(2):489-508. https://doi.org/10.3390/acoustics6020026
Chicago/Turabian StyleVecchiotti, Andrea, Teresa J. Ryan, Joseph F. Vignola, and Diego Turo. 2024. "Atmospheric Sound Propagation over Rough Sea: Numerical Evaluation of Equivalent Acoustic Impedance of Varying Sea States" Acoustics 6, no. 2: 489-508. https://doi.org/10.3390/acoustics6020026
APA StyleVecchiotti, A., Ryan, T. J., Vignola, J. F., & Turo, D. (2024). Atmospheric Sound Propagation over Rough Sea: Numerical Evaluation of Equivalent Acoustic Impedance of Varying Sea States. Acoustics, 6(2), 489-508. https://doi.org/10.3390/acoustics6020026

