Entrepreneurship and Innovation—Process Overlap or the Same? Systematic Overview and Converging Process-Dynamic Model
Abstract
1. Introduction
- Disclose perspectives and criteria for a systematic literature review of entrepreneurial and innovation process-dynamic models.
- Conduct a systematic literature review on the research on entrepreneurial and innovation dynamic process approaches.
- Analyse the concepts and models of the entrepreneurial and innovation dynamic processes.
- Disclose the similarities and differences between the entrepreneurial and innovation dynamic processes.
- Develop a streamlined operationalised model that converges the entrepreneurial and innovation dynamic processes.
2. Theoretical Foundation
2.1. Entrepreneurship and Entrepreneurial Process
2.2. Innovation and the Innovation Process
2.3. Linking Entrepreneurial and Innovation Processes
2.4. Design Science Perspective in Entrepreneurship and Innovation Process
2.5. Understanding Dynamics in the Process
- Non-linearity, feedback-driven, and the iterative nature of processes and their parts (stages-sub-processes);
- Dependence on various internal and external factors over time;
- The possibility and need for the construction/operationalisation of various (sub)process elements, metrics (markers, milestones, and artefacts), and dimensions;
- Harmony between the whole and the parts.
3. Methodology
3.1. General Approach and Interpretation of the Process Perspective in Models
3.2. Selection of Sources for Analysis and Model-Building
- The stage is the smallest complete and integrated process unit that involves mental and physical resources, activities/actions, acts, and feedback loops.
- Due to the activities and resources involved, the outcome is a new artefact and an input for the next stage.
- The stage is completed regarding its artefact, that is, after completion of the stage, its outcome (artefact) activates the next stage.
- Internal activities within the stage have a cyclical and (internal) feedback-driven character.
- Versatility of entrepreneurial (and innovation) process dimensions;
- Artefacts marking the progression of the entrepreneurial and innovation processes and leading idea-opportunity fit;
- Coherence between the entrepreneur-innovator, the entrepreneurship/innovation process, and society. The topic relates to the (process) ownership aspects and embeddedness of the entrepreneurial/innovation process;
- Continuity and interruptions within the entrepreneurial/innovation process trajectory;
- Objective and subjective metrics of the entrepreneurial/innovation process components (variables are partly dimensional as well as artefacts);
- Entrepreneur’s competencies in recognising and implementing complex ideas and their means of implementation.
3.3. General Approach—A Critical Review
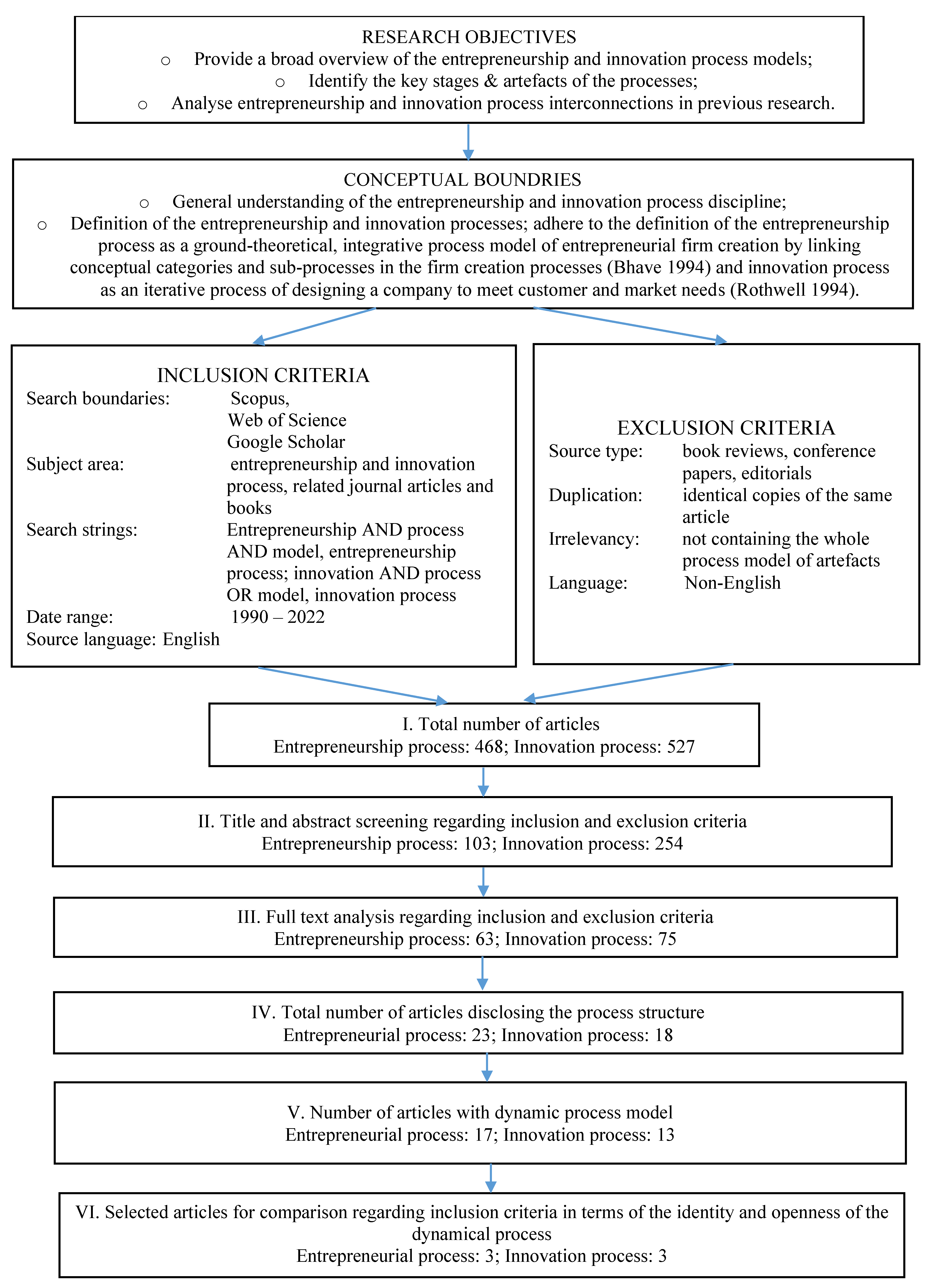
3.4. Search for Publications
- Availability in at least one of the above-mentioned databases;
- Including at least one of the keywords “entrepreneurship process” or “innovation process” in the title, keywords, abstract, or text;
- Only journal publications, books, and book chapters;
- Published between 1990 and 2022;
- Publications in English (hereafter, article, unless the publication form is emphasised);
- Publications considering entrepreneurship or innovation process models or descriptions.
- I.
- We studied 468 references on entrepreneurship process models and 527 on innovation process models.
- II.
- After reviewing the titles and abstracts of each article and considering the inclusion and exclusion criteria, the number of articles decreased significantly to 103 and 254, respectively.
- III.
- Next, we selected articles that included entrepreneurship and innovation processes as the topic of the main text; 63 and 75 sources, respectively, remained. Articles where the process concept appeared metaphorically or partially were omitted.
- IV.
- We conducted a critical content analysis of the selected articles to understand the content and structure of the entrepreneurial and innovation processes, models, and related artefacts. At this stage, the stage models were selected. Here, 23 and 18 sources remained for feature analysis, respectively.
- V.
- As a next step, we selected only dynamic stage models and analysed the process structure and artefact level. The process models were compared in stages, phases, activities, and inputs and outputs. After this selection, 17 and 13 articles remained, respectively.
- VI.
- Finally, only dynamic, continuous, and embedded process models with more structured and comprehensive approaches to the process and process stages were selected for comparison (described in the findings). Among the latter, the models’ most common/overlapping features’ patterns are represented. The number of articles was reduced to six; three concerning each process model remained.
3.5. Mapping the Literature of the Entrepreneurial and Innovation Process Field
3.6. Model Building
- Identifying sub-processes, procedures, activities, artefacts, and tools and their linkages;
- Identifying feedback from within and outside of the process environment;
- Understanding the structure of the entire process;
- Distinguishing between process flows and variables;
- Identifying nonlinear and dynamic relationships;
- Reducing complexity with a systemic conceptual model;
- Understanding the whole system at different scales and scopes.
4. Results and Findings
4.1. Introduction to Findings
4.2. Process Models for Entrepreneurship and Innovation
4.3. Streamlining Process Models
4.4. Converged Process Model Structure
4.4.1. Propositions and Idea-Opportunity Identification Stage
4.4.2. Idea-Opportunity Selection and Development Stage
4.4.3. Concept Development Stage
4.4.4. Business Development Stage
4.4.5. Business Operations and Sales Stage
5. Discussion
6. Conclusions
7. Limitations and Future Research
Author Contributions
Funding
Institutional Review Board Statement
Informed Consent Statement
Data Availability Statement
Conflicts of Interest
| 1 | In this article, the term “entrepreneurial process” is used primarily as a research construct, and the term “entrepreneurship process” is a process that characterises the discipline in particular. The latter term is also used in the text when it is used in the original cited source. |
| 2 | The term “innovation process” is used here at the venture level if the context does not open up another aspect, for example, at the societal level. |
| 3 | The authors define venture as an organised (economic) activity through which entrepreneurs offer products or services (based on Davidsson 2023). Depending on the context, the term describes entrepreneurship in both new (startup) and existing businesses (intrapreneurship and corporate entrepreneurship). |
| 4 | The traditional process model guides the article (e.g., Haberfellner et al. 2019). |
| 5 | The exception here is Mets et al. (2019), who, extending the cited sources (Shane 2000; Jack and Anderson 2002), bring these aspects into the process approach. |
References
- Acklin, Claudia. 2010. Design-driven innovation process model. Design Management Journal 5: 50–60. [Google Scholar] [CrossRef]
- Acklin, Claudia. 2013. Design management absorption model: A framework to describe and measure the absorption process of design knowledge by SMEs with little or no prior design experience. Creativity and Innovation Management 22: 147–60. [Google Scholar] [CrossRef]
- Acs, Zoltan J., Erkko Autio, and László Szerb. 2014. National systems of entrepreneurship: Measurement issues and policy implications. Research Policy 43: 476–94. [Google Scholar] [CrossRef]
- Arend, Richard J., and Yan Chen. 2012. Entrepreneurship as dynamic, complex, disequilibrious: A focus that benefits strategic organization. Strategic Organization 10: 85–95. [Google Scholar] [CrossRef]
- Arnold, Ross D., and Jon P. Wade. 2015. A definition of systems thinking: A systems approach. Procedia Computer Science 44: 669–78. [Google Scholar] [CrossRef]
- Assink, Marnix. 2006. Inhibitors of disruptive innovation capability: A conceptual model. European Journal of Innovation Management 9: 215–33. [Google Scholar] [CrossRef]
- Audretsch, David B. 2004. Sustaining innovation and growth: Public policy support for entrepreneurship. Industry and Innovation 11: 167–91. [Google Scholar] [CrossRef]
- Autio, Erkko, Martin Kenney, Philippe Mustar, Don Siegel, and Mike Wright. 2014. Entrepreneurial innovation: The importance of context. Research Policy 43: 1097–108. [Google Scholar] [CrossRef]
- Baron, Robert A. 2007. Entrepreneurship: A process perspective. In The Psychology of Entrepreneurship. Edited by J. Robert Baum, Michael Frese and Robert Baron. Mahwah: Lawrence Erlbaum, pp. 19–39. [Google Scholar]
- Belz, Frank Martin, and Julia Katharina Binder. 2017. Sustainable entrepreneurship: A convergent process model. Business Strategy and the Environment 26: 1–17. [Google Scholar] [CrossRef]
- Berglund, Henrik. 2021. Entrepreneurship as design and design science. Journal of Business Venturing Design 1: 100012. [Google Scholar] [CrossRef]
- Berglund, Henrik, and Vern L. Glaser. 2022. The artifacts of entrepreneurial practice. In Research Handbook on Entrepreneurship as Practice. Edited by Neil A. Thompson, Orla Byrne, Anna Jenkins and Bruce Teague. Cheltenham: Edward Elgar, pp. 168–86. [Google Scholar]
- Berglund, Henrik, Marouane Bousfiha, and Yashar Mansoori. 2020. Opportunities as artifacts and entrepreneurship as design. Academy of Management Review 45: 825–46. [Google Scholar] [CrossRef]
- Bernstein, Boaz, and Prakash J. Singh. 2006. An integrated innovation process model based on practices of Australian biotechnology firms. Technovation 26: 561–72. [Google Scholar] [CrossRef]
- Bhave, Mahesh P. 1994. A process model of entrepreneurial venture creation. Journal of Business Venturing 9: 223–42. [Google Scholar] [CrossRef]
- Bloodgood, James M., Jeffrey S. Hornsby, Andrew C. Burkemper, and Hessam Sarooghi. 2015. A system dynamics perspective of corporate entrepreneurship. Small Business Economics 45: 383–402. [Google Scholar] [CrossRef]
- Brazeal, Deborah V., and Theodore T. Herbert. 1999. The genesis of entrepreneurship. Entrepreneurship Theory and Practice 23: 29–46. [Google Scholar] [CrossRef]
- Brem, Alexander. 2011. Linking innovation and entrepreneurship—Literature overview and introduction of a process-oriented framework. International Journal of Entrepreneurship and Innovation Management 14: 6–35. [Google Scholar] [CrossRef]
- Brown, Phil, Caspar Von Daniels, Nancy M. P. Bocken, and Ruud Balkenende. 2021. A process model for collaboration in circular oriented innovation. Journal of Cleaner Production 286: 125499. [Google Scholar] [CrossRef]
- Bygrave, William D. 2004. The entrepreneurial process. In The Portable MBA in Entrepreneurship. Edited by William D. Gartner and Andrew Zacharakis. Hoboken: Wiley, pp. 1–26. [Google Scholar]
- Cai, Ying, Jun Lin, and Ruxin Zhang. 2023. When and how to implement design thinking in the innovation process: A longitudinal case study. Technovation 126: 102816. [Google Scholar] [CrossRef]
- Cooper, Robert G. 2008. Perspective: The stage-gate® idea-to-launch process—Update, what’s new, and NexGen systems. Journal of Product Innovation Management 25: 213–32. [Google Scholar] [CrossRef]
- Cooper, Robert G. 2014. What’s next? After stage-gate. Research-Technology Management 57: 20–31. [Google Scholar] [CrossRef]
- Cormican, Kathryn, and David O’Sullivan. 2004. Auditing best practice for effective product innovation management. Technovation 24: 819–29. [Google Scholar] [CrossRef]
- Cornelissen, Joep P., and Jean S. Clarke. 2010. Imagining and rationalizing opportunities: Inductive reasoning and the creation and justification of new ventures. Academy of Management Review 35: 539–57. [Google Scholar]
- Coyne, William E., and Andrew H. Van de Ven. 2024. Increasing the odds of maneuvering the innovation journey. Strategic Management Review. forthcoming. [Google Scholar]
- Cumming, Brian S. 1998. Innovation overview and future challenges. European Journal of Innovation Management 1: 21–29. [Google Scholar] [CrossRef]
- Cunneen, David J., and Gary Mankelow. 2007. Towards a process model of independent growth firm creation. Small Enterprise Research 15: 90–105. [Google Scholar] [CrossRef]
- Cunningham, James A., and Grace S. Walsh. 2019. Disciplinary perspectives on innovation: Management. Foundations and Trends® in Entrepreneurship 15: 391–430. [Google Scholar] [CrossRef]
- Dalohoun, Daniel N., Andy Hall, and Paul Van Mele. 2009. Entrepreneurship as driver of a self-organising system of innovation: The case of NERICA in Benin. International Journal of Technology Management & Sustainable Development 8: 87–101. [Google Scholar]
- Davidsson, Per. 2005. The types and contextual fit of entrepreneurial processes. International Journal of Entrepreneurship Education 2: 1–23. [Google Scholar]
- Davidsson, Per. 2015. Entrepreneurial opportunities and the entrepreneurship nexus: A re-conceptualization. Journal of Business Venturing 30: 674–95. [Google Scholar] [CrossRef]
- Davidsson, Per. 2016. Researching Entrepreneurship, Conceptualization and Design. Cham: Springer. [Google Scholar]
- Davidsson, Per. 2023. Ditching discovery-creation for unified venture creation research. Entrepreneurship Theory and Practice 47: 594–612. [Google Scholar] [CrossRef]
- Davidsson, Per, and Jan Henrik Gruenhagen. 2021. Fulfilling the process promise: A review and agenda for new venture creation process research. Entrepreneurship, Theory and Practice 45: 1083–118. [Google Scholar] [CrossRef]
- Desmet, Ronny. 2016. Aesthetic comparison of Einstein’s and Whitehead’s theories of gravity. Process Studies 45: 33–46. [Google Scholar]
- Desouza, Kevin C., Yukika Awazu, and Arkalgud Ramaprasad. 2007. Modifications and innovations to technology artifacts. Technovation 27: 204–20. [Google Scholar] [CrossRef]
- Draghici, Anca, and Claudiu Tiberiu Albulescu. 2014. Does the entrepreneurial activity enhance the national innovative capacity? Procedia—Social and Behavioral Sciences 124: 388–96. [Google Scholar] [CrossRef]
- Drucker, Peter F. 2002. The discipline of innovation. Harvard Business Review 80: 95–102. [Google Scholar] [CrossRef] [PubMed]
- Dziallas, Marisa, and Knut Blind. 2019. Innovation indicators throughout the innovation process: An extensive literature analysis. Technovation 80–81: 3–29. [Google Scholar] [CrossRef]
- Fagerberg, Jan, Hans Landström, and Ben R. Martin. 2012. Exploring the emerging knowledge base of ‘the knowledge society’. Research Policy 41: 1121–31. [Google Scholar] [CrossRef]
- Foucrier, Tamsin, and Arnim Wiek. 2019. A process-oriented framework of competencies for sustainability entrepreneurship. Sustainability 11: 7250. [Google Scholar] [CrossRef]
- Frankenberger, Karolin, Tobias Weiblen, Michaela Csik, and Oliver Gassmann. 2013. The 4I-framework of business model innovation: A structured view on process phases and challenges. International Journal of Product Development 18: 249–73. [Google Scholar] [CrossRef]
- Galanakis, Kostas. 2006. Innovation process. Make sense using systems thinking. Technovation 26: 1222–32. [Google Scholar] [CrossRef]
- Galanakis, Kostas, and Paraskevi Giourka. 2017. Entrepreneurial path: Decoupling the complexity of entrepreneurial process. International Journal of Entrepreneurial Behavior & Research 23: 317–35. [Google Scholar]
- Garcia, Laura Mata, Alessandro Deserti, and Carlos Teixeira. 2017. Entrepreneurial design: The role of design as driver of entrepreneurial opportunity generation and assessment. International Journal of Entrepreneurship and Innovation Management 21: 64–85. [Google Scholar] [CrossRef]
- Haberfellner, Reinhard, Olivier De Weck, Ernst Fricke, and Siegfried Vössner. 2019. Systems Engineering: Fundamentals and Applications. Cham: Springer. [Google Scholar]
- Heersmink, Richard. 2021. Varieties of Artifacts: Embodied, Perceptual, Cognitive, and Affective. Topics in Cognitive Science 13: 573–96. [Google Scholar] [CrossRef] [PubMed]
- Hindle, Kevin. 2010. Skillful dreaming: Testing a general model of entrepreneurial process with a specific narrative of venture creation. In Entrepreneurial Narrative Theory Ethnomethodology and Reflexivity. Edited by William Gartner. Clemson: Clemson University, pp. 97–135. [Google Scholar]
- Hölzle, Katharina. 2022. No innovation without entrepreneurship: From passion to practice. Journal of Product Innovation Management 39: 474–77. [Google Scholar] [CrossRef]
- Hyde, Kenneth F. 2000. Recognising deductive processes in qualitative research. Qualitative Market Research: An International Journal 3: 82–89. [Google Scholar] [CrossRef]
- Jack, Sarah L., and Alistair R. Anderson. 2002. The effects of embeddedness on the entrepreneurial process. Journal of Business Venturing 17: 467–87. [Google Scholar] [CrossRef]
- Kahn, Kenneth B. 2022. Innovation is not entrepreneurship, nor vice versa. Journal of Product Innovation Management 39: 467–73. [Google Scholar] [CrossRef]
- Keupp, Marcus Matthias, and Oliver Gassmann. 2009. The past and the future of international entrepreneurship: A review and suggestions for developing the field. Journal of Management 35: 600–33. [Google Scholar] [CrossRef]
- Landström, Hans, Fredrik Åström, and Gouya Harirchi. 2015. Innovation and entrepreneurship studies: One or two fields of research? International Entrepreneurship and Management Journal 11: 493–509. [Google Scholar] [CrossRef]
- Langley, Ann, Clive Smallman, Haridimos Tsoukas, and Andrew H. Van de Ven. 2013. Process studies of change in organization and management: Unveiling temporality, activity, and flow. Academy of Management Journal 56: 1–13. [Google Scholar] [CrossRef]
- Leyden, Dennis P., and Albert N. Link. 2015. Toward a theory of the entrepreneurial process. Small Business Economics 44: 475–84. [Google Scholar] [CrossRef]
- Lopez, David, Alan W. Brown, and David Plans. 2019. Developing opportunities in digital health: The case of BioBeats Ltd. Journal of Business Venturing Insights 11: e00110. [Google Scholar] [CrossRef]
- Louw, Louis, Corne S. L. Schutte, Christian Seidel, and Christian Imser. 2018. Towards a flexible innovation process model assuring quality and customer needs. South African Journal of Industrial Engineering 29: 155–68. [Google Scholar] [CrossRef]
- Magistretti, Stefano, Silvia Sanasi, Claudio Dell’Era, and Antonio Ghezzi. 2023. Entrepreneurship as design: A design process for the emergence and development of entrepreneurial opportunities. Creativity and Innovation Management 32: 5–21. [Google Scholar] [CrossRef]
- March, James G. 1982. The technology of foolishness. In Ambiguity and Choice in Organizations. Edited by James G. March and Johan P. Olsen. Bergen: Universitetsforlaget, pp. 69–81. [Google Scholar]
- Maritz, Alex, and Jerome Donovan. 2013. Entrepreneurship and innovation. Setting an agenda for greater discipline contextualisation. Education + Training 57: 74–87. [Google Scholar] [CrossRef]
- Masoomi, Ehsan, Kurosh Rezaei-Moghaddam, Ezatollah Karami, Dariush Hayati, and Mahsa Fatemi. 2022. Development of an opportunity-based model of rural entrepreneurial process. Journal of Global Entrepreneurship Research 12: 237–56. [Google Scholar] [CrossRef]
- Matzembacher, Daniele Eckert, Mervi Raudsaar, Marcia Dutra de Barcellos, and Tõnis Mets. 2019. Sustainable entrepreneurial process: From idea generation to impact measurement. Sustainability 11: 5892. [Google Scholar] [CrossRef]
- McFadzean, Elspeth, Andrew O’Loughlin, and Elizabeth Shaw. 2005. Corporate entrepreneurship and innovation part 1: The missing link. European Journal of Innovation Management 8: 350–72. [Google Scholar] [CrossRef]
- McMullen, Jeffery S., and Dimo Dimov. 2013. Time and the entrepreneurial journey: The problems and promise of studying entrepreneurship as a process. Journal of Management Studies 50: 1481–512. [Google Scholar] [CrossRef]
- McPhee, Robert D., Marshall Scott Poole, and Joel Iverson. 2014. Structuration theory. In The SAGE Handbook of Organisational Communication: Advances in Theory, Research, and Methods. Edited by Linda L. Putnam and Dennis K. Mumby. Thousand Oaks: Sage, pp. 1–15. [Google Scholar]
- Merriam-Webster Dictionary. n.d. Dynamics. Available online: https://www.merriam-webster.com/dictionary/dynamics (accessed on 8 August 2023).
- Mets, Tõnis. 2021. The entrepreneurial journey of a global startup: The case of the open innovation platform GrabCAD. International Journal of Export Marketing 4: 55–71. [Google Scholar] [CrossRef]
- Mets, Tõnis. 2022. From the metaphor to the concept of the entrepreneurial journey in entrepreneurship research. Foundations and Trends® in Entrepreneurship 18: 330–422. [Google Scholar] [CrossRef]
- Mets, Tõnis, Julia Trabskaja, and Mervi Raudsaar. 2019. The entrepreneurial journey of venture creation: Reshaping process and space. Revista de Estudios Empresariales. Segunda Época 1: 61–77. [Google Scholar]
- Michael, Steven C., and John A. Pearce. 2009. The need for innovation as a rationale for government involvement in entrepreneurship. Entrepreneurship & Regional Development 21: 285–302. [Google Scholar]
- Moroz, Peter W., and Kevin Hindle. 2012. Entrepreneurship as a process: Toward harmonising multiple perspectives. Entrepreneurship Theory and Practice 36: 781–818. [Google Scholar] [CrossRef]
- Mudrak, Tomas, Andreas van Wagenberg, and Emiel Wubben. 2005. Innovation process and innovativeness of facility management organisations. Facilities 23: 103–18. [Google Scholar] [CrossRef]
- OECD. 2005. Oslo Manual. Guidelines for Collecting and Interpreting Innovation Data, 3rd ed. Paris and Luxembourg: OECD. [Google Scholar]
- Park, Jaehyun, and Arkalgud Ramaprasad. 2018. Toward ontology of designer-user interaction in the design process: A knowledge management foundation. Journal of Knowledge Management 22: 201–18. [Google Scholar] [CrossRef]
- Perry-Smith, Jill E., and Pier Vittorio Mannucci. 2017. From creativity to innovation: The social network drivers of the four phases of the idea journey. Academy of Management Review 42: 53–79. [Google Scholar] [CrossRef]
- Phadke, Uday, and Shailendra Vyakarnam. 2017. Camels, Tigers & Unicorns. Rethinking Science & Technology-Enabled Innovation. London: World Scientific. [Google Scholar]
- Piredda, Giulia. 2020. What is an affective artifact? A further development in situated affectivity. Phenomenology and the Cognitive Sciences 19: 549–67. [Google Scholar] [CrossRef]
- Porter, Michael E., and Scott Stern. 2001. National innovative capacity. In The Global Competitiveness Report. Geneva: World Economic Forum, pp. 102–18. [Google Scholar]
- Proksch, Dorian, Marcus Max Haberstroh, and Andreas Pinkwart. 2017. Increasing the national innovative capacity. Technological Forecasting and Social Change 116: 256–70. [Google Scholar] [CrossRef]
- Pynnönen, Mikko, Jukka Hallikas, and Paavo Ritala. 2012. Managing customer-driven business model innovation. International Journal of Innovation Management 16: 1250022. [Google Scholar] [CrossRef]
- Qian, Xiao-Duo, Jing Xia, Wei Liu, and Sang-Bing Tsai. 2018. An empirical study on sustainable innovation academic entrepreneurship process model. Sustainability 10: 1974. [Google Scholar] [CrossRef]
- Ram, Jiwat, David Corkindale, and Roger Tagg. 2016. Empirical validation of a performance-based innovation process model: A case of ERP. Journal of Computer Information Systems 56: 116–26. [Google Scholar] [CrossRef]
- Rodriguez-Sanchez, Isabel, Allan M. Williams, and Matilde Brotons. 2019. The innovation journey of new-to-tourism entrepreneurs. Current Issues in Tourism 22: 877–904. [Google Scholar] [CrossRef]
- Rothwell, Roy. 1992. Successful industrial innovation: Critical factors for the 1990s. R&D Management 22: 221–40. [Google Scholar]
- Rothwell, Roy. 1994. Towards the fifth-generation innovation process. International Marketing Review 11: 7–31. [Google Scholar] [CrossRef]
- Rothwell, Roy, and Paul Gardiner. 1988. Re-innovation and robust designs: Producer and user benefits. Journal of Marketing Management 3: 372–87. [Google Scholar] [CrossRef]
- Rummel, Florian, Stefan Hüsig, and Stefanie Steinhauser. 2022. Two archetypes of business model innovation processes for manufacturing firms in the context of digital transformation. R&D Management 52: 685–703. [Google Scholar]
- Salerno, Mario Sergio, Leonardo Augusto de Vasconcelos Gomes, Débora Oliveira Da Silva, Raoni Barros Bagno, and Simone Lara Teixeira Uchôa Freitas. 2015. Innovation processes: Which process for which project? Technovation 35: 59–70. [Google Scholar] [CrossRef]
- Sarasvathy, Saras. 2001. Causation and effectuation: Towards a theoretical shift from economic inevitability to entrepreneurial contingency. Academy of Management Review 26: 243–88. [Google Scholar] [CrossRef]
- Sarasvathy, Saras D. 2003. Entrepreneurship as a science of the artificial. Journal of Economic Psychology 24: 203–20. [Google Scholar] [CrossRef]
- Schoen, Jeremy, Thomas W. Mason, William A. Kline, and Robert M. Bunch. 2005. The innovation cycle: A new model and case study for the invention to innovation process. Engineering Management Journal 17: 3–10. [Google Scholar] [CrossRef]
- Shane, Scott. 2000. Prior knowledge and the discovery of entrepreneurial opportunities. Organisation Science 11: 448–69. [Google Scholar] [CrossRef]
- Shane, Scott. 2003. A General Theory of Entrepreneurship: The Individual-Opportunity Nexus. Cheltenham: Edward Elgar. [Google Scholar]
- Shane, Scott. 2012. Reflections on the 2010 AMR decade award: Delivering on the promise of entrepreneurship as a field of research. Academy of Management Review 37: 10–20. [Google Scholar] [CrossRef]
- Shane, Scott, and Sankaran Venkataraman. 2000. The promise of entrepreneurship as a field of research. Academy of Management Review 25: 217–26. [Google Scholar] [CrossRef]
- Simon, Herbert A. 1996. The Architecture of Complexity. Science of the Artificial, 3rd ed. Cambridge: MIT Press. [Google Scholar]
- Solarino, Angelo M., and Peter J. Buckley. 2023. Equivalence in international business research: A three-phase approach. Journal of International Business Studies 54: 550–67. [Google Scholar] [CrossRef]
- Tidd, Joe, John Bessant, and Keith Pavitt. 2005. Managing Innovation: Integrating Technological, Market and Organisational Change. Chichester: Wiley. [Google Scholar]
- Trochim, William M. K. 1989. Outcome pattern matching and program theory. Evaluation and Program Planning 12: 355–66. [Google Scholar] [CrossRef]
- Van der Veen, Marijek, and Ingrid Wakkee. 2004. Understanding the Entrepreneurial Process. In Annual Review of Progress in Entrepreneurship Research: Volume 2, 2002–2003. Edited by David Watkins. Brussels: European Foundation for Management Development, pp. 114–52. [Google Scholar]
- Van de Ven, Andrew H., and Rhonda M. Engleman. 2004. Event- and outcome-driven explanations of entrepreneurship. Journal of Business Venturing 19: 343–58. [Google Scholar] [CrossRef]
- Vanevenhoven, Jeff, Doan Winkel, Debra Malewicki, William L. Dougan, and James Bronson. 2011. Varieties of bricolage and the process of entrepreneurship. New England Journal of Entrepreneurship 14: 53–66. [Google Scholar] [CrossRef]
- Voelpel, Sven C., Marius Leibold, and Eden B. Tekie. 2004. The wheel of business model reinvention: How to reshape your business model to leapfrog competitors. Journal of Change Management 4: 259–76. [Google Scholar] [CrossRef]
- Vogel, Peter. 2017. From venture idea to venture opportunity. Entrepreneurship Theory and Practice 41: 943–71. [Google Scholar] [CrossRef]
- Wang, Qiang, Chris Voss, Xiande Zhao, and Zhiqiang Wang. 2015. Modes of service innovation: A typology. Industrial Management & Data Systems 115: 1358–82. [Google Scholar]
- Wirtz, Bernd, and Peter Daiser. 2018. Business model innovation processes: A systematic literature review. Journal of Business Models 6: 40–58. [Google Scholar]
- Wu, Mingchang. 2013. Design innovation the role of design in combining process and product innovation. Paper presented at 2013 IEEE Tsinghua International Design Management Symposium, Shenzhen, China, December 1–2; pp. 212–16. [Google Scholar]
- Zasa, Federico Paolo, and Tommaso Buganza. 2023. Artefacts as boundary objects for concept development: A configurational approach. European Journal of Innovation Management 27: 1–21. [Google Scholar] [CrossRef]
- Zhao, Fang. 2005. Exploring the synergy between entrepreneurship and innovation. International Journal of Entrepreneurial Behavior & Research 11: 25–41. [Google Scholar]

| Sources | Number of Articles | % of Total Articles |
|---|---|---|
| Sustainability | 3 | 13.0 |
| Journal of Business Venturing | 3 | 13.0 |
| International Journal of Entrepreneurial Behavior & Research | 1 | 4.3 |
| Entrepreneurship Theory and Practice | 2 | 8.7 |
| International Journal of Entrepreneurship and Innovation Management | 1 | 4.3 |
| Revista de Estudios Empresariales | 1 | 4.3 |
| Small Business Economics | 2 | 8.7 |
| Small Enterprise Research | 1 | 4.3 |
| Academy of Management Review | 1 | 4.3 |
| Annual Review of progress in Entrepreneurship Research | 1 | 4.3 |
| Business Strategy and the Environment | 1 | 4.3 |
| Foundations and Trends® in Entrepreneurship | 1 | 4.3 |
| Journal of Global Entrepreneurship Research | 1 | 4.3 |
| New England Journal of Entrepreneurship | 1 | 4.3 |
| Book chapters | 3 | 13.0 |
| Sources | Number of Articles | % of Total Articles |
|---|---|---|
| European Journal of Innovation Management | 1 | 5.6 |
| Technovation | 4 | 22.2 |
| Design Management Journal | 1 | 5.6 |
| Current Issues in Tourism | 1 | 5.6 |
| Creativity and Innovation Management | 1 | 5.6 |
| International Journal of Entrepreneurship and Innovation Management | 1 | 5.6 |
| International Journal of Innovation Management | 1 | 5.6 |
| Engineering Management Journal | 1 | 5.6 |
| Facilities | 1 | 5.6 |
| International Marketing Review | 1 | 5.6 |
| Journal of Change Management | 1 | 5.6 |
| South African Journal of Industrial Engineering | 1 | 5.6 |
| Journal of Cleaner Production | 1 | 5.6 |
| Journal of Computer Information Systems | 1 | 5.6 |
| Journal of Product Innovation Management | 1 | 5.6 |
| Source | Process Structuration | Process Dynamics | Link to Innovation | No. of Features | GS Citations | Comment | ||||
|---|---|---|---|---|---|---|---|---|---|---|
| No. of Stages | Artefacts | Feedback | Iteration | |||||||
| Local | Total | Local | Total | |||||||
| (Mets 2022) | 4 + 1 * | Y | Y | Y | Y | Y | Y | 14 ** | 5 | Stage criteria and ownership |
| (Mets et al. 2019) | 4 + 1 * | Y | Y | Y | Y | Y | Y | 12 ** | 18 | Dynamic stage and journey model |
| (Vogel 2017) | 3 + 1 * | Y/U | Y | Y | Y | Y | Y | 7–9 ** | 260 | Some features are partly disclosed |
| (Bhave 1994) | 3(6 *) | U | Y | Y | Y | Y | Y | 7 | 1712 | Iterative model |
| (Vanevenhoven et al. 2011) | 3 | U | Y | Y | Y | Y | Y | 7 | 94 | Enabling bricolage |
| (Bloodgood et al. 2015) | 4 + 1 * | Y | Y | Y | Y | Y | Y | 7 | 85 | Corporate e-p system dynamics |
| (Garcia et al. 2017) | 4 | U | Y | Y | Y | 5 | 11 | Parallel with the design process | ||
| (Cunneen and Mankelow 2007) | 4 | U | Y | Y | 4 | 42 | Training model | |||
| (Van der Veen and Wakkee 2004) | 6 | U | Y | Y | 4 | 115 | Conceptual model | |||
| (Foucrier and Wiek 2019) | 5 | U | Y | Y | 4 | 39 | ||||
| (Matzembacher et al. 2019) | 5 | U | Y | Y | 4 | 32 | Sustainability model | |||
| (Belz and Binder 2017) | 6 | U | Y | Y | 4 | 720 | Aligning the bottom lines | |||
| (Masoomi et al. 2022) | 4 | U | Y | Y | 4 | 2 | ||||
| (Lopez et al. 2019) | 5 | Y | Y | Y | 4 | 3 | ||||
| (Leyden and Link 2015) | 4 | Y | Y | Y | 4 | 118 | ||||
| (Qian et al. 2018) | 8 | U | Y | 3 | 35 | |||||
| (Galanakis and Giourka 2017) | 4 | U | 3 | 81 | Systems thinking, including factors’ complexity | |||||
| (Bygrave 2004) | 4 | U | Y | 3 | 641 | |||||
| (Cornelissen and Clarke 2010) | 5 | U | 2 | 762 | Linear model | |||||
| (Shane 2003) | 7 | U | 2 | 7603 | Linear model | |||||
| (Baron 2007) | 3 | U | 2 | 1306 | ||||||
| (Brazeal and Herbert 1999) | 3 | Y | Y | 3 | 698 | |||||
| (Jack and Anderson 2002) | 3 | Y | 3 | 2044 | Embeddedness | |||||
| Source | Process Structuration | Process Dynamics | Link to e–p | No. of Features | GS Citations | Comment | ||||
|---|---|---|---|---|---|---|---|---|---|---|
| No. of Stages | Artefacts | Feedback | Iterations | |||||||
| Local | Total | Local | Total | |||||||
| (Rothwell 1994) | 5 | U | Y | Y | Y | Y | 6 | 3431 | Interactive model | |
| (Brem 2011) | 6 | U | U | Y | U | Y | Y | 7 | 129 | (Corporate) Entrepreneurship |
| (Rodriguez-Sanchez et al. 2019) | 3 | U | Y | Y | Y | Y | Y | 7 | 64 | Complicated diagram, term: ‘journey’, tourism |
| (Acklin 2010) | 4 | Y | Y | Y | Y | Y | 6 | 136 | SME | |
| (Cooper 2008) | 5 | U | Y | Y | Y | Y | 6 | 2284 | Stage-Gate NPD model | |
| (Cormican and O’Sullivan 2004) | 5 | Y | Y | Y | Y | Y | 6 | 646 | Signals from the environment | |
| (Schoen et al. 2005) | 4 | Y | Y | Y | Y | Y | 6 | 92 | The main process is covered by 2 stages | |
| (Pynnönen et al. 2012) | 4 | U | Y | Y | Y | Y | Y | 7 | 130 | Customer-driven bus-model innovation |
| (Voelpel et al. 2004) | 4 | U | Y | Y | Y | Y | Y | 7 | 515 | Bus-model innovation |
| (Assink 2006) | 4 | U | Y | Y | Y | 5 | 1074 | Learning cycle-based model | ||
| (Brown et al. 2021) | 5 | U | Y | Y | Y | 5 | 117 | |||
| (Acklin 2013) | 4 + 1 * | Y | Y | Y | Y | 5 | 148 | SME | ||
| (Louw et al. 2018) | 7 | U | Y | Y | 4 | 25 | ||||
| (Galanakis 2006) | 4 | U | Y | Y? | 4 | 522 | Systems thinking, including complexity and no clear process | |||
| (Bernstein and Singh 2006) | 4 | U | U | 3 | 229 | Integrated linear model, biotech | ||||
| (Ram et al. 2016) | 4–10 | U | Y | 3 | 10 | Software system innovation | ||||
| (Salerno et al. 2015) | 4–7 | U | Y | 3 | 398 | Considering a possible stoppage | ||||
| (Mudrak et al. 2005) | 5 | U | 2 | 99 | Organisation environment | |||||
| Entrepreneurial Process | Streamlined Process Concept | Innovation Process | ||||
|---|---|---|---|---|---|---|
| (Bloodgood et al. 2015) | (Bhave 1994) | (Mets et al. 2019) | (Rothwell 1994) | (Cooper 2008) | (Acklin 2010) | |
| Entrepreneurial insight | - | Proposition stage Prior capabilities Intention (outcome) Perceived opportunity (outcome) | Idea-opportunity proposition and identification stage Phase 0. Propositions Phase 1. Idea—opportunity recognition Outcome: Perceived idea-opportunity Outcome: Intention to start | - | - | - |
| Opportunity recognition Opportunities (outcome) | Opportunity stage Phase 1. Decision to start Phase 2. Opportunities recognised Opportunity filtration (outcome) Phase 3. Opportunity chosen Opportunity refinement (outcome) Phase 4. Business concept identified | Idea-generation stage Market(ing) input | New product idea Defined customer Refined idea (outcome) | Idea-generation stage Phase 1. Evaluate impulses from the market and organisation Innovation hypothesis (outcome) Phase 2. Market, technology, and customer needs Innovation strategy (outcome) | ||
| Opportunity assessment Sufficient opportunities (outcome) | Idea development stage Creativity and social assets New venture idea (outcome) Filtered opportunity (outcome) | Opportunity selection and development stage Phase 2. Idea—opportunity selection; Phase 3. Idea—opportunity development Outcome: Filtered idea—opportunity; New product/venture idea—opportunity selected | R&D, design, and (product) development | Development stage 1-st prototype Alpha-tests Initial design (outcome) | Idea selection stage Phase 3. Idea selection Product/service strategy (outcome) Phase 4. Observational/Experimental research Design criteria, product requirements (outcome) | |
| Technology setup and organisation creation stage Phase 5. Commitment to physical creation Phase 6. Organisation created and Production Technology Phase 7. Product | ||||||
| Opportunity legitimation Legitimate opportunities (outcome) | Prototyping Final prototype Full tests Manufacturing process | |||||
| Concept development stage IP and resources business model Business concepts (outcome) Opportunity confidence (outcome) | Concept development stage Phase 4. Concept development and design Outcome: Idea—opportunity confidence; Business concept | Prototype production Prototype | Concept development stage Phase 5. Concept development and design Prototypes (outcome) Phase 6. Concept evaluation and user testing Customer feedback (outcome) | |||
| Field trials Customer site Feedback | ||||||
| Business development stage Phase 5. Technological solution Phase 6. Business preparations Outcome: Venture launch | Production, engineering Parts manufacturing (suppliers) | |||||
| Opportunity implementation | Business development stage Strategy and Resources Team Venture launch (outcome) | |||||
| Launch Operation Post-Launch | ||||||
| Business operations and sales stage Phase 8. Customer/Market | Opportunity exploitation (outcome) | Business operations and sales stage Phase 7. Implementation Outcome: Customer/market; customer experience | Manufacturing, Marketing and sales (Exploitation stage) | Implementation (stage) Phase 7. Implementation and commercialisation Value proposition (outcome) Phase 8. Coordination of brand, communication, and product services Customer experience (outcome) | ||
| Implemented opportunities (outcome) | ||||||
| Stage | Propositions and Idea-Opportunity Identification | Idea-Opportunity Selection and Development | Concept Development | Business Development | Business Operations and Sales | |||
|---|---|---|---|---|---|---|---|---|
| Phase |
|
|
|
|
|
|
|
|
| Activity | Accumulation:
|
|
|
|
|
|
|
|
| Out-come | Prior preparedness | Ideas-opportunities (identified) Market needs (recognised) | Refined idea-opportunity Identified idea-opportunity concept | Selected idea-opportunity Idea-opportunity fit | List of prospective innovations/products Preliminary prototype/market feedback Initial funding | Tested and validated innovation/product Design | Refined business plan and strategy Protected IP Technological and production infrastructure readiness for production | Value proposition Customer experience Customer/market |
| Input artefact (to the next stage) | Perceived idea-opportunity Intention to start | Filtered idea-opportunity New product/venture idea-opportunity (selected) | Business concept Idea-opportunity confidence | Venture launch | Re-innovation | |||
Disclaimer/Publisher’s Note: The statements, opinions and data contained in all publications are solely those of the individual author(s) and contributor(s) and not of MDPI and/or the editor(s). MDPI and/or the editor(s) disclaim responsibility for any injury to people or property resulting from any ideas, methods, instructions or products referred to in the content. |
© 2024 by the authors. Licensee MDPI, Basel, Switzerland. This article is an open access article distributed under the terms and conditions of the Creative Commons Attribution (CC BY) license (https://creativecommons.org/licenses/by/4.0/).
Share and Cite
Vettik-Leemet, P.; Mets, T. Entrepreneurship and Innovation—Process Overlap or the Same? Systematic Overview and Converging Process-Dynamic Model. Adm. Sci. 2024, 14, 38. https://doi.org/10.3390/admsci14020038
Vettik-Leemet P, Mets T. Entrepreneurship and Innovation—Process Overlap or the Same? Systematic Overview and Converging Process-Dynamic Model. Administrative Sciences. 2024; 14(2):38. https://doi.org/10.3390/admsci14020038
Chicago/Turabian StyleVettik-Leemet, Piia, and Tõnis Mets. 2024. "Entrepreneurship and Innovation—Process Overlap or the Same? Systematic Overview and Converging Process-Dynamic Model" Administrative Sciences 14, no. 2: 38. https://doi.org/10.3390/admsci14020038
APA StyleVettik-Leemet, P., & Mets, T. (2024). Entrepreneurship and Innovation—Process Overlap or the Same? Systematic Overview and Converging Process-Dynamic Model. Administrative Sciences, 14(2), 38. https://doi.org/10.3390/admsci14020038

