Abstract
(1) Background: Indigenous chickens (Gallus domesticus) (ICs) are an essential component of agriculture and rural livelihood among 80% of small-scale farmers (SSFs) in Sub-Saharan Africa (SSA). However, in the past decade, significant losses of Indigenous Chicken Animal Genetic Resources (IC-AnGR) resulting from poultry diseases, imported exotic breeds, poor market access, and uncontrolled crossbreeding have been reported. This study aimed to investigate the status of IC-AnGR and assess the major challenges affecting the production of ICs. (2) Methods: We surveyed 358 households in eastern, central, and southern livelihood zones, comprising 81.6% males and 17.6% females. (3) Results: Our study shows that respondents owned 16,112 ICs, 3026 goats, and 5183 herds of cattle. Overall, 77.4% of chicken breeds were ICs and 22.6% were exotic. Across the three zones, 18–44% reported the introduction or adoption of exotic breeds in the past decade, with most households sourcing breeding stock from local communities and family and friends at 45% and 28.6%, respectively. Farmers gave various reasons for adopting new chicken breeds, including fast growth (21.7%), larger mature sizes (21.7%), and resistance to diseases at 15.2%. Overall, 92.5% of farmers agreed or strongly agreed that some IC breeds disappeared in the past decade and nearly 90% were concerned. Some attributed the loss to poultry diseases. (4) Conclusion: Deliberate policies to promote the sustainable use and conservation of ICs are critical in Zambia.
1. Introduction
Among poultry species, chickens are the oldest type and the most commonly reared globally. Generally, the geographical location and origin of domestication remain a topic of debate [1]. However, archaeologists suggest that the domestication of chickens existed in China 8000 years ago, originating from red jungle fowl (Gallus gallus gallus) [2]. Research based on genome-wide approaches such as Multi-Locus DNA Fingerprinting (MLDF) analysed the control region or Restriction Fragment Length Polymorphism (RFLP) of the mitochondrial DNA of various gallinaceous avians to provide insights on the chickens’ origins, genetic identity, and variations [1,3]. By sequencing over 400 bases, studies found that over 7500 years ago, domestication started, and that the red jungle fowl is the main ancestor of modern domesticated chickens [1]. RFLP is useful for researching breed originality and genetic identity in a given population, while the use of Single Nucleotide Polymorphism (SNP) genotyping provides more information in the absence of genetic materials from previous generations [3].
The process of the domestication of chicken spread through Europe and Russia and reached Africa centuries ago, where most rural inhabitants established them as a major component of their livelihood and a source of animal protein from the consumption of chicken meat and eggs [2]. Other uses include income for rural communities to buy clothes, medicines, and to pay education fees [2,4,5,6,7].
Various essential breeds of chickens were developed in the mid-nineteenth century, including the White Leghorn, New Hampshire, and Plymouth Rock, based on eggs, meat, and other uses [4,8]. The northern hemisphere widely invested in commercial broilers and layers while most low-income countries in the southern hemisphere including Sub-Saharan Africa (SSA) have been keeping locally adapted chicken breeds. Rural communities in SSA have achieved major socioeconomic, social–cultural, and religious gains from locally adapted chicken breeds for hundreds of years [4,6]. Smallholder indigenous chicken (Gallus domesticus) (IC) farms have the potential to significantly contribute to the well-being of rural communities because of the easiness, negligible cost of production, and higher sustainability, particularly under the Free-Range System (FRS) [8,9,10]. Table 1 shows some of the common indigenous and exotic chickens reared by small-scale farmers (SSFs) in Zambia.
Table 1.
Common indigenous and exotic chicken breeds reared by small-scale farmers in Zambia.
In the 1990s, the SSA’s IC farming was highly valued, with some estimating it at over USD1 billion [7,15]. This value has since increased significantly in many parts of the region. Some of the developments and gaps in IC farming are evident in Zambia, where the increased demand for IC meat and eggs has highly contributed to the sector’s growth potential [9,10,16]. Despite the continued increase in the value and substantial contribution to the socioeconomic well-being of rural communities, the IC remains vulnerable to setbacks. The first and second reports on biodiversity for food and agriculture (BFA) highlighted that chicken breeds were at higher risk among the avian species [4,5]. Their second report on the state of world BFA indicated that 3.5% of chicken breeds were extinct, with over 67% being of unknown status [5]. The three themes identified in the assessment of BFA included sustainability, development, and conservation. The authors of [4] focused on context for assessing the BFA, and their contribution to the supply of ecosystem services, livelihoods, and resilience. Further, they assess the drivers of change affecting BFA, and the status, trends, and knowledge of BFA. The authors of [4] also emphasised diversification and promoted the conservation of BFA. For SSA, the essential BFA includes IC-AnGR.
In Zambia, most producers of IC breeds are SSFs in rural communities. These communities are custodians of most indigenous livestock breeds. In 2022, a livestock survey conducted by the Ministry of Fisheries and Livestock found that over 1.6 million small-scale agricultural households owned over 21 million ICs, and this translated into nearly 95% of these birds, mostly reared under FRS (Figure 1b) and SIS [17]. Based on previous surveys, the IC population nearly doubled from over 12 million owned by 1.4 million farmers across the ten provinces [18]. These statistics indicate how valuable IC breeds are to rural communities in meeting their socioeconomic and cultural–religious uses [4,6]. However, most of the ICs are not adequately characterised and described, as seen from the lack of literature on the subject. Most studies have relied on averages from other parts of SSA.

Figure 1.
(a) Breeds commonly found among small-scale farmers in Zambia (i–xiii). (b) Indigenous chickens under Free Range System in rural parts of Eastern province. Image source: Authors.
Past and recent studies conducted in other parts of the world regarding IC population structure and other advanced investigations have moved those countries ahead in designing conservation strategies based on economic and productivity traits for their IC breeds. For example, China has demonstrated advancement in this subject. China has over 115 IC breeds, and most researchers are focused on evidence-based strategies for conserving essential socioeconomic chicken breeds. Recent studies by Gao et al., 2023 [19] have contributed to the understanding of the population structure, genetic distance, conservation priorities, and runs of homozygosity (ROH) patterns for IC breeds in China. Similar studies are crucial for SSA, of which Zambia can potentially contribute because of the current research activities to mitigate the loss of IC breeds.
The main threats to Zambia’s IC genetic diversity include poultry diseases, poor market avenues, uncontrolled crossbreeding, and a lack of policies and strategies for the sustainable use and conservation of IC-AnGR. To sustainably conserve IC-AnGR, research is needed to understand the population structure and identify breeds of higher socioeconomic priority [19]. However, sustaining the status and trends regarding the challenges experienced in IC production may lead to a substantial loss of IC breeds. The sector of society likely to lose in the future are rural poultry farmers whose livelihood depends on agriculture and small livestock such as ICs. This study contributes to the preliminary research on IC breeds and lobbies for the creation of supportive policies for smallholder IC farming. It highlights the status of IC breeds, their socioeconomic use, major challenges, and workable solutions for the sustainable use and conservation of IC-AnGR in Zambia. It is envisaged that the findings would also highlight the potential opportunities and gaps in previous and current IC-AnGR conservation programs.
Main Objectives
- To evaluate the status of indigenous chicken breeds among small-scale farmers in eastern, central, and southern livelihood zones;
- To evaluate the factors impacting the status of chicken breeds in Zambia;
- To assess the perceptions of farmers on the status of indigenous chicken breeds in Zambia.
2. Materials and Methods
2.1. Varying Agro-Ecological Conditions
Zambia has three different agroecological regions (AERs), namely I, II, and III. The regions have agroecological variations regarding soil type, annual rainfall (ARF), vegetation, and average temperatures. AER I receives less than 800 mm ARF, and is prone to drought and floods with minimal vegetation cover in the hot-dry season (August–November). AER II is divided into IIa and IIb, receiving 800–1000 mm ARF; IIa is mostly in the central and eastern parts of the country, characterised by the fertile plateau with sandy-loam soils, while IIb covers mostly the western part and is characterised by sandy soils, with rich vegetation in the flood plains [20]. In contrast, AER III, located in the northern and north-western parts, is a rain belt area with over 1000 mm ARF, high vegetation cover, thick forests, and characteristic highly acidic soils.
These differences in agroecological conditions significantly affect agriculture and livelihood alternatives for rural communities. Due to limitations of resources, our study covered veterinary camps in Eastern, Central, and Southern, and parts of Muchinga provinces under AER IIa and partly I and III, as shown in Figure 2.
Figure 2.
Research sites were mainly in eighteen veterinary camps, located in fifteen districts within the three livelihood zones. Note: For this survey, households in Central and Muchinga provinces were pooled under the central livelihood zone with (N = 100), and respondents were distributed as follows; N = Mafinga (16), M = Mpika (23), L = Chitambo (21), J = Serenje (20), and K = Kabwe (20). The eastern livelihood zone had (N = 158) households distributed as follows; A = Petauke with (20), B = Sinda (27), C = Chadiza (23), D = Vubwi (21), E = Chipata (19), F = Chipangali (10), G = Kasenengwa (19), and H = Chasefu (19), whereas the southern livelihood zone had (N = 100) households distributed as follows: O = Kalomo (20), and P = 20, Q = 20, R = 20, and S = (20) were in veterinary camps in Mazabuka district.
2.2. Sampling Strategy
This study used a random-cluster-sampling strategy [21]. Each veterinary camp was regarded as a cluster, with households being SSFs within the camp catchment area. In total, 368 households were randomly selected for the Qualtrics survey in AER IIa, with some households partly in III and I. However, after the data cleaning process, 358 households from 18 veterinary camps in 15 districts constituted the valid dataset. A Qualtrics survey tool comprised 52 qualitative and quantitative questions asked. Multiple-choice, select-one-only, open-ended, and multiple-response questions as shown in the detailed questionnaire we shared in the following link were asked: https://hdl.handle.net/1959.11/56790 accessed on 19 March 2024.
Equation (1) is used in estimating the sample size and useful for surveys with categorical data. In this equation, n is the required sample size, p relates to the occurrence percentage, e is the margin of error (precision level) and z is confidence level that results are accurate (21). In this study, the overall sample size of 358 respondents was adequate for the set objectives with the conservative margin of error of (1/√358) = 0.05.
2.3. Data Analysis
Qualtrics data for the 358 respondents were exported to IBM SPSS Statistics, version 29.0.1.0 (171), Chigago, IL, USA, Unites States of America, accessed through the University of New England, for analysis. We coded, recoded, and organised parts of the data before analysis. Some descriptive statistics were further analysed and reported. Non-parametric and hypothesis tests involving Kruskal–Wallis, Friedman variance by ranking, and Bonferroni corrections were used.
2.4. Data Storage and Ethics
The data for this study were deposited in the official Repository for the University of New England (RUNE) under an open-access license through the following link: https://hdl.handle.net/1959.11/56790, accessed on 19 March 2024. This study adhered to the University of New England’s standards for human research ethics with the approval number HE21-052. In Zambia, the survey was authorised by the Ministry of Fisheries and Livestock (MFL).
3. Results
3.1. Type of Respondents in the Qualtrics Survey
During the Qualtrics survey, we observed that a majority of participants were males. Table 2 shows the gender distribution for heads of households in the eastern, central and southern livelihood zones. Proportionally, there was no significant difference for male-headed households (MHHs) across the three zones at 79–85%. Similarly, the distribution of female-headed households (FHHs) was not significantly different at 12–19%.
Table 2.
The gender distribution for respondents in the survey area.
3.2. Selected Indigenous Livestock Owned by Respondents
Most households in the survey area depended on agriculture for their livelihoods. Table 3 shows some selected indigenous livestock they reared. Among these indigenous livestock, ICs had the highest average of 45 across the three zones, and there was no significant difference observed. Goats and cattle also contributed to their livelihood, as observed by their respective means of 14 and 21. However, there was a significant difference for both goats and cattle for households in the three zones. The southern zone had the highest averages for goats and cattle of 21 and 41, respectively.
Table 3.
Comparisons of indigenous chickens, goats, and cattle owned by respondents.
3.3. Chicken Breeds Owned by Farmers
We asked farmers what chicken breeds they kept or owned. Figure 3 shows the proportions of farmers who selected one or more breeds that they owned. There was a similar trend in terms of IC breeds in the eastern, central, and southern livelihood zones. The Zambi chicken breed was the most selected breed at 34.2–64.9%, followed by Naked Neck and Dwarfs at 15.6–19.6% and 5.4–8.4%, respectively. In total, 5.4% of respondents in the southern zone said they owned exotic breeds compared to 19.9% in the eastern zone. In contrast, the central zone had over 36% of farmers say they owned exotic chicken breeds such as Black Australorps, Kuroillers, Boschvelds, Brahma, Sussex, and Orpington. Overall, IC breeds were predominant at 77.4% compared to exotic breeds at 22.6%.
Figure 3.
Indigenous and exotic chicken breeds reared by farmers in the three livelihood zones. Note: Percentages based on the total zone responses on breeds owned by the farmers. Under multiple-response questions, farmers selected one or more breeds that they owned; N = number of cases, where eastern (305), central (225), and southern (148).
3.4. Introduction of New Chicken Breeds
We asked the farmers about the introduction of new or exotic chicken breeds to their communities in the past decade. Figure 4 shows the extent to which farmers potentially adopted new breeds of chickens during the period in question. The southern livelihood zone had the lowest proportion of farmers at 18% who said yes; new chicken breeds were introduced in their communities, compared to 44.3% and 38% in eastern and central livelihood zones, respectively. Between 2 and 10% of respondents in eastern and central zones were unsure whether new breeds were introduced or not in the past decade. The results in Figure 4 are consistent with those shown in Figure 3, where a majority of households in the southern zone concentrated on IC breeds.
Figure 4.
Responses of the farmers when asked if new or exotic chicken breeds were introduced to their communities in the past decade. Note: N = number of respondents in eastern (i), central (ii), and southern (iii) livelihood zones, and the totals (iv) were 158, 100, 100, and 358, respectively.
3.5. Sources of Chicken Breeding Stock
Sources of breeding stock for chickens are a crucial part of the poultry value chain and IC-AnGR conservation strategies. Figure 5 shows various sources of chicken breeds reared by SSFs. The frequency for sourcing breeds from within the local community was the highest at 295 counts (45%), followed by family and friends at 187 (28.6%), with the lowest being imported and others at 8 (1.2%). The Government and private breeders were nearly at the same level at 57 (8.7%) and 53 (8.1%).
Figure 5.
Sources of chicken breeding stock. Note: N = number of counts; Govt = Government; NGOs = Non-Governmental Organisations; others included Hybrid Poultry, a private breeder of commercial chickens and unspecified sources.
3.6. Reasons for Trying New or Exotic Breeds
Although a majority of farmers reared ICs, they also reared breeds perceived as new or exotic. The results in Figure 6 show some of the reasons farmers gave when asked why they adopted new or exotic chicken breeds. Fast growth and bigger sizes at maturity were similarly important and selected by (207) 21.7% and (206) (21.7%), respectively. In total, 182 (19.1%) indicated disease resistance, and 145 (15.2%) said exotic breeds lay more eggs per cycle. Some stated the easiness of keeping, 128 (13.5%), consumer preference, 67 (7.2%), while cultural–religious use and other reasons totalled 16 (1.7%) combined.
Figure 6.
Reasons for adopting new or exotic chicken breeds. Note: N = Number of counts, others were prestige and restocking.
3.7. Farmers’ View on the Loss of Some Indigenous Chicken Breeds
When asked what their perspectives were on the statement that some of the IC breeds have disappeared in the past decade, we recorded diverse farmers’ views. Figure 7 shows results from across the three livelihood zones, where 32–38.6% strongly agreed and 53–60% agreed that some of the IC breeds had disappeared during the period in question. In contrast, 3.2% to less than a quarter of farmers disagreed or strongly disagreed with the statement. The overall perspectives of the farmers, shown in (iv) on the disappearance of some IC breeds in the past decade, are relatively similar to those of the three livelihood zones.
Figure 7.
Perspectives of farmers on the disappearance of some indigenous chicken breeds in the past decade. Note: N = numbers of respondents in eastern (i), central (ii), and southern (iii) livelihood zones, and the total (iv), were 158, 100, 100, and 358, respectively.
3.8. Farmers’ Concern about the Loss of Some Indigenous Chicken Breeds
To explore the farmers’ position on the loss of IC-AnGR, we asked the farmers whether they were concerned or not about the losses of IC breeds reported in their communities. The results in Figure 8 show that (82–97.5%) across the eastern, central, and southern livelihood zones expressed concern, whereas 2.5–18%, mostly in the southern zone, expressed no concern about the loss of IC breeds in their communities. Overall, a majority of farmers (89.6%) were concerned about the loss of IC breeds.
Figure 8.
How concerned are farmers about the loss of indigenous chicken breeds? Note: N = numbers of respondents in eastern (i), central (ii), and southern (iii) livelihood zones, and in total (iv), were 158, 100, 100, and 358, respectively.
3.9. Production System, Season, and Prevalence of Poultry Diseases
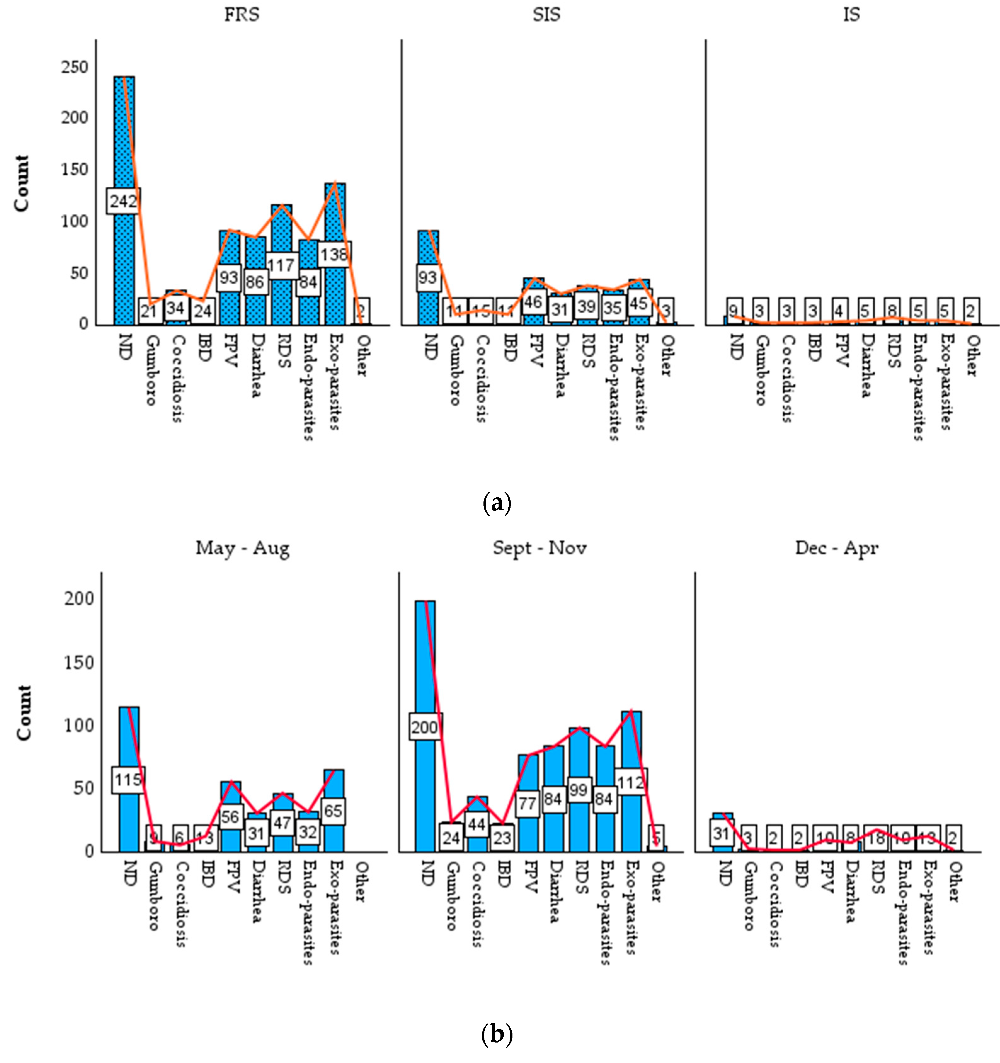
Poultry diseases are a major limiting challenge affecting IC farming in Zambia. Figure 9a,b show the number of respondents, the production system, and the relationship between seasons and the prevalence of poultry diseases. Newcastle disease (ND) is one the most devastating infectious ailments affecting all production systems. However, FRS is the most affected by ND, as observed by the count of 242 compared to 93 and 9 in the Semi-Intensive (SIS) and Intensive System (IS), respectively. A majority of farmers practising FRS also experienced most outbreaks of other poultry diseases including respiratory disease (RDS) and exo-parasites. Further, the results in Figure 9b show that during the production cycles, ND, RDS, endo- and exo-parasites, and infectious bursal disease (IBD) were more prevalent from September to November, followed by May to August, while from December to April, farmers indicated that there were fewer cases of poultry diseases.
Figure 9.
(a) Relationship between the production systems and the prevalence of diseases. (b) Season with the highest prevalence of poultry diseases. Note: the counts of responses represent the number of farmers, ND = Newcastle disease, IBD = infectious Bursal disease, FPV = Fowlpox Virus, FRS, SIS, and IS are Free Range, Semi-Intensive, and Intensive Systems, respectively.
4. Discussion
4.1. Household Type and Access to Agricultural Resources
Our study found that a majority of respondents were from MHHs. This is a global trend, especially in low-income countries. Generally, the participation of FHHs in development programs is lower in comparison to MHHs [22,23]. The unbalanced nature of participation among gender is concerning. In IC farming, the low balance influences the decision making regarding the use of income from chickens and the control of resources at the household level. Previous studies have highlighted that in rural communities, a majority of male farmers own and control more agricultural land with higher levels of land security tenure compared to females [23,24,25,26]. Despite these challenges, women and children generally manage most IC farming, while males decide on use and concentrate on larger livestock such as cattle [5,7,9]. Such challenges require supportive policies to encourage FHHs to venture into IC rearing, make their own decisions, and secure their households’ food and nutritional security.
4.2. Common Chicken Breeds among Small-Scale Farmers
The farming of ICs is an essential component of Zambia’s agricultural sector and contributes to the country’s food and nutritional security and socioeconomic development. There are diverse IC breeds owned by rural communities that are highly adapted to the local environment and in harmony with agriculture and socio-cultural practices. There are also exotic chicken breeds owned by rural farmers in Zambia with relatively similar uses. Our study found that nearly all households in eastern, central, and southern livelihood zones reared chickens. Most of the chickens were IC breeds, including the Zambi, Naked Neck, Dwarf, Frizzled Feathers, and Feather Shanked. Among the IC breeds, a majority of farmers owned the Zambi, whose reproduction indicators are shown in Table 1 and Figure 1a.
The state of IC breeds has significantly reduced in the past decade. The MFL has documented most of the IC breeds found among SSFs in the country (Table 1, Figure 1a). However, fewer studies provide a detailed characterisation and population structure of IC breeds in the country, which is concerning. Our study shows that some IC breeds owned by SSFs are at risk of further erosion if not mitigated. Recent decades have seen an increased adoption of exotic chicken breeds among SSFs, as observed in this study, where the number of farmers keeping exotic breeds has been increasing. Some exotic breeds comprised a relatively high proportion of chicken breeds that households said they owned in the three zones compared to some IC breeds. For instance, Black Australorps have become more common (up to 13.4%) compared to Feathered Shanks, Frizzled Feathers, and Dwarfs (Figure 3). Other exotic breeds found among surveyed households include Kruoillers, Brahma, and Boschvelds. Our study found that a relatively higher number of officially documented exotic breeds in the country were also found in the survey area (Table 1, Figure 1a). The current trajectory provides strong evidence that some rural communities increasingly adopted exotic chicken breeds during the review period, a situation motivated by socioeconomic gains.
4.3. Sourcing Breeding Stock
In Zambia, there are several sources of chicken breeding stock influencing the breeding activities among rural poultry farmers. The traditional production and breeding approaches, practised by SSFs for many generations, are being significantly affected [6,7,9]. Normally, under traditional systems, farmers select and breed their chickens based on desired traits, including resistance to diseases, hatchability, brooding capacity, and meat yields and taste [5,27,28]. The traditional method has been at the centre of the continued preservation of locally adapted IC breeds in most parts of SSA. A majority of farmers depend on the IC natural breeding capacity to access chicks for sustainable rural poultry farming. Our study found that up to 45% of the sources of breeding stock were the local communities and over 28% were family and friends (Figure 5). The sharing of breeding stock among local communities is a very common practice in rural poultry farming. Therefore, this signifies why interventions such as community-based breeding approaches can achieve more by targeting these groups in the community [29]. This would positively influence the status of IC breeds by promoting their sustainable use and conservation in the local environment [29,30,31].
Some crossbreeding activities have also contributed to the chicken breed diversity observed in Zambia. However, uncontrolled crossbreeding may result in the loss of highly adapted IC breeds in the country. Sources of exotic breeds from the private sector, NGOs, and agricultural shows require a clear policy guide on importation, breeding, and distribution to mitigate the rapid loss of IC breeds in the country. In Zambia, the National Strategic Action Plan of 2018 (NSAP) is a critical piece of policy framework under the MFL and supported by the African Union Inter-African Bureau for Animal Resources (AU-IBAR). The NSAP seeks to promote the multiplication, sustainable use, and conservation of indigenous livestock breeds in the country.
4.4. What Farmers Consider When Selecting Chicken Breeds
Our study found an increased number of farmers adopting exotic chicken breeds. The results were indicative of an increase in these exotic breeds at the cost of some previously popular IC breeds among rural communities, including Frizzled, Feathered Shanks, and Dwarfs (Figure 3). Mostly, the adoption of new breeds by SSFs is motivated by the socioeconomic gains expected sales and consumer preferences for farmers who may be selling chickens directly to buyers (Figure 6). The farmers’ actions have the potential to shift the IC genetic resource dynamics. The large size of chickens at maturity, short growth periods, disease resistance, easy management, consumer preferences, and cultural and religious purposes are critical for farmers’ decision making on the adoption of breeds [6,7,31]. These factors require multifaceted socioeconomic analysis, as they have the potential to negatively or positively impact the status of chicken breeds in the country. The desire for traits such as large mature sizes, fast growth, and higher quantities of eggs laid may increase the adoption of exotic chicken breeds among SSFs and may require changes to production practices.
If not properly transitioned, unguided breed adoption among SSFs may prove unsustainable in the future. Previous studies have demonstrated that although exotic chicken breeds may have attributes mostly desired by farmers, the management and nutritional challenges increase with increased flock size [14]. In contrast, despite the slow growth, IC flocks managed under FRS are much easier to rear regardless of the changes in flock sizes [6,7,14,28]. Farmers need adequate information and a ready market before adopting exotic chicken breeds, and extension services and community engagements are crucial in this respect [30,31]. However, where farmers have the capacity relative to infrastructure, management, and a ready market, the adoption of exotic chicken breeds may still make economic sense and contribute to their livelihoods [30].
Generally, the changing consumer demands and preferences can influence the conservation and use of IC breeds in Zambia. Recent studies show that the increased consumer preferences for IC meat and eggs have motivated SSFs to increase productivity [9,27,28]. Most consumers perceive ICs as being tasty and healthy because of the low use of chemicals and drugs. Analysis of market information in parts of the country has also demonstrated that prices for ICs were nearly twice or more than those of broilers and ex-layers [16,32]. Previous studies show that consumers are willing and able to pay for a live and authentic IC as long as they are sold in places consumers are familiar with [9,28].
4.5. Impact of Losing Locally Adapted Chicken Breeds
Most farmers are aware of the risks of losing IC breeds, for which they have expressed concern. Our study found that up to 92% of the respondents shared a consensus that most of the IC breeds have disappeared in recent decades (Figure 7), and up to 98% expressed their concern on this matter (Figure 8). The loss of IC breeds implies losing the most desired traits with significant biodiversity, and socioeconomic and cultural consequences. Over several generations, the IC breeds became highly adapted and conditioned to the country’s varying AERs. Thus, losing these IC breeds entails a significant loss of valuable BFA. Most IC breeds have higher traits of resilience to poultry diseases, and heat, and survive in uncontrolled environments through scavenging. Previous studies in parts of SSA have shown that some IC breeds exhibit higher levels of resistance to ND and other respiratory infections [5,33,34,35]. Some breeds, such as Frizzled Feathers, have adapted to environmental heat by shedding feathers during the hot season [11]. Other consequences include the loss of the deeply rooted cultural role of IC breeds among rural communities, and their loss implies the erosion of cultural heritage and traditional farming methods [6,7,26,31]. Rural communities make sacrifices or share gifts with their guests during funerals, weddings, and traditional healing activities [5,7].
We may draw some lessons from crop farming where the loss of indigenous crop varieties compelled most rural farmers to use improved crop varieties that are highly commercialized. The prices for seeds of improved crop varieties have significantly increased, making farming difficult for SSFs. If not handled properly, the adoption of exotic chicken breeds may affect the future of the IC in Zambia. When farmers become over-dependent on exotic chicken breeds, productivity may decline due to the increased costs of live inputs and the prevalence of poultry diseases. Consequently, poverty levels among SSFs who depend on ICs may be exacerbated. Farmers may end up sourcing their breeding stock from profit-oriented external suppliers at higher prices as opposed to their communities (Figure 5).
4.6. Impact of Diseases on the Indigenous Chicken Sector
Poultry diseases are of great concern in the production of ICs and can significantly affect the status of IC breeds in Zambia. Our study found common poultry diseases including ND, Gumboro, Coccidiosis, IBD, FPV, diarrhoea, and RDS. Others were endo- and exo-parasites. The prevalence of poultry diseases also depends on the production system and season. A majority of SSFs produce ICs under FRS (Figure 1b) and SIS, in which outbreaks of these diseases and parasites are rampant [36,37]. Cases of poultry diseases vary with changes in seasonality. Farmers observed higher cases in September to November, followed by May to August. Understanding the prevailing disease pattern in eastern, central, and southern livelihood zones provides useful information for extension workers and policymakers to adequately plan and fund disease interventions.
ND is among the most devastating viral diseases affecting IC farming in SSA. Previous studies reported chicken mortality rates of 40–100% among SSFs in parts of SSA due to ND and FPV [9]. Some studies suggest that the spread of ND is exacerbated by variations in practices among rural farmers producing ICs [36,38]. Interventions must target SSFs whose approaches to disease control are usually minimal and lack bio-security measures. Integrating SSFs in any disease control program is key to improving the productivity of ICs in Zambia. If poultry diseases in the sector remain unchecked, the negative impact on rural livelihoods will be immeasurable. Disease outbreaks may result in the loss of valuable IC BFA, reduce productivity, and increase economic hardships for rural communities [5,39,40]. The loss of the IC breeds would weaken rural communities, compromising the food and nutritional security among SSFs, as ICs are an important component of rural agriculture in Zambia. Some potential vulnerability indicators of rural farmers due to the loss of IC-AnGR include diminished food and nutritional security, failure to purchase their day-to-day needs, and poor livelihoods.
Recent studies have highlighted the importance of understanding the chicken population structure when setting conservation priorities [3,4,19]. It was noted that the absence of conservation plans can drastically reduce the genetic diversity of indigenous breeds [19]. One study analysed genetic data of eight Chinese IC breeds, where they found that Chahua was a highly differentiated breed compared to the others. Xiaoshan greatly contributed to the gene diversity, while the three Wanan yellow chickens showed lower differentiation levels. These breeds showed essential economic and production traits and were classified as breeds of conservation priority. Similar research is important for IC-AnGR conservation strategies in Zambia. Some innovations emanating from researcher–community–stakeholder engagements may contribute to the sustainable use and conservation of IC breeds and enhance rural livelihoods in the country.
5. Conclusions
There is more work needed to achieve sustainable conservation strategies in Zambia. A starting point is to promote researcher–community–stakeholder engagements to foster a comprehensive understanding of the current state of IC-AnGR in the country. Our study provides some of the data, and our findings contribute to that cause. Policy on research and resources should be driven to conserve the existing IC breeds and, where possible, restore the eroded ones through supportive institutions. There is a significant gap regarding the characterisation and population structure for current IC breeds. It is through these research milestones that indigenous breeds that are of great economic and production potential will be identified and sustainable strategies to conserve them developed. Lessons from developed countries such as China in this area could also enhance this endeavour. Additionally, a carefully planned integration of exotic or new breeds in rural poultry production can enhance rural livelihoods without significantly affecting the local chicken breeds. These measures would ensure an overall balanced diversity in the poultry industry. Government policies, the availability of funds, the engagement of rural communities, and the building capacity of extension workers are essential in achieving the goals and reducing the risks associated with the loss of IC breeds. Strategies aimed at balancing modern commercialised approaches with the preservation of traditional methods are critical in promoting sustainable agriculture and the resilience of the IC breeds and its major stakeholders, SSFs.
Author Contributions
Conceptualization, methodology, formal analysis, writing—original draft preparation, writing—review and editing, and visualization, C.M.K.; validation, writing—review and editing, and supervision, A.F.M., M.N. and T.M.C.; project administration and funding acquisition, T.M.C. All authors have read and agreed to the published version of the manuscript.
Funding
This research received no external funding.
Institutional Review Board Statement
This study was conducted in accordance with the guidelines of human research ethics of the University of New England. The Human Research Ethics Committee granted the necessary research ethics authority with the approval number HE21-052. The Ministry of Fisheries and Livestock also authorised this study in the designated veterinary camps in Zambia.
Informed Consent Statement
Informed consent was obtained from all subjects involved in the study.
Data Availability Statement
Data are contained within the article.
Acknowledgments
The authors would like to acknowledge the administrative and financial support given through a DVCR scholarship. We also acknowledge the Ministry of Livestock and Fisheries field staff in Zambia for their assistance in conducting a Qualtrics survey for households in eastern, central, and southern livelihood zones in Zambia.
Conflicts of Interest
The authors declare no conflicts of interest.
References
- Fumihito, A.; Miyake, T.; Sumi, S.-I.; Takada, M.; Ohno, S.; Kondo, N. One subspecies of the red junglefowl (Gallus gallus gallus) suffices as the matriarchic ancestor of all domestic breeds. Proc. Natl. Acad. Sci. USA 1994, 91, 12505–12509. [Google Scholar] [CrossRef] [PubMed]
- Alders, R.; Pym, R. Village poultry: Still important to millions, eight thousand years after domestication. World’s Poult. Sci. J. 2009, 65, 181–190. [Google Scholar] [CrossRef]
- Dementieva, N.V.; Shcherbakov, Y.S.; Tyshchenko, V.I.; Terletsky, V.P.; Vakhrameev, A.B.; Nikolaeva, O.A.; Ryabova, A.E.; Azovtseva, A.I.; Mitrofanova, O.V.; Peglivanyan, G.K.; et al. Comparative analysis of molecular RFLP and SNP markers in assessing and understanding the genetic diversity of various chicken breeds. Genes 2022, 13, 1876. [Google Scholar] [CrossRef] [PubMed]
- Bélanger, J.; Pilling, D. (Eds.) The State of the World’s Biodiversity for Food and Agriculture; Food Agriculture Organisation (FAO): Rome, Italy, 2019; Available online: http://www.fao.org/3/CA3129EN/ca3129en.pdf (accessed on 20 June 2021).
- FAO. The Food and Agricultural Organisation of the United Nations. The Second Report on the State of the World’s Animal Genetic Resources for Food and Agriculture; Scherf, B.D., Pilling, D., Eds.; FAO: Rome, Italy, 2015; Available online: http://www.fao.org/3/a-i4787e.pdf (accessed on 5 February 2020).
- Guèye, E.H.F. Village egg and fowl meat production in Africa. World’s Poult. Sci. J. 1998, 54, 73–86. [Google Scholar] [CrossRef]
- Guèye, E. The Role of family poultry in poverty alleviation, food security and the promotion of gender equality in rural Africa. Outlook Agric. 2000, 29, 129–136. [Google Scholar] [CrossRef]
- Okeno, T.O.; Magothe, T.M.; Kahi, A.K.; Peters, K.J. Breeding objectives for indigenous chicken: Model development and application to different production systems. Trop. Anim. Health Prod. 2012, 45, 193–203. [Google Scholar] [CrossRef] [PubMed]
- Queenan, K.; Alders, R.; Maulaga, W.; Lumbwe, H.; Rukambile, E.; Zulu, E.; Bagnol, B.; Rushton, J. An appraisal of the indigenous chicken market in Tanzania and Zambia: Are the markets ready for improved outputs from village production systems? Livest. Res. Rural. Dev. 2016, 28. Available online: https://www.lrrd.org/lrrd28/10/cont2810.htm (accessed on 18 January 2021).
- Simainga, S.; Moreki, J.; Band, F.; Sakuya, N. Socioeconomic study of family poultry in Mongu and Kalabo Districts of Zambia. J. Livest. Res. Rur. Dev. 2011, 23. Available online: https://lrrd.cipav.org.co/lrrd23/2/sima23031.htm (accessed on 15 October 2020).
- Manyelo, T.G.; Selaledi, L.; Hassan, Z.M.; Mabelebele, M. Local chicken breeds of Africa: Their description, uses and conservation methods. Animals 2020, 10, 2257. [Google Scholar] [CrossRef]
- Kpomasse, C.C.; Kouame, Y.A.E.; N’nanle, O.; Houndonougbo, F.M.; Tona, K.; Oke, O.E. The productivity and resilience of the indigenous chickens in the tropical environments: Improvement and future perspectives. J. Appl. Anim. Res. 2023, 51, 456–469. [Google Scholar] [CrossRef]
- MFL. Enhanced Smallholder Agribusiness Promotion Programme: Practical Village Chicken Business Facilitation Manual for Field Extension Facilitators; IFAD: Rome, Italy, 2020. [Google Scholar]
- Rodríguez, L.C.; Herrero, M.; Baltenweck, I. Community-based interventions for the use and conservation of animal genetic resources: The case of indigenous scavenger chicken production in Benin. J. Trop. Anim. Health. Prod. 2011, 43, 961–966. [Google Scholar] [CrossRef] [PubMed]
- Swatson, H. Workshop on Smallholder Poultry Development: School of Agriculture and Agribusiness, University of Natal, Pietermaritzburg, South Africa, 29th to 30th October 2003. Br. Poult. Sci. J. 2004, 45, 294–295. [Google Scholar]
- Bwalya, R.; Kalinda, T. An analysis of the value chain for indigenous chickens in Zambia’s Lusaka and Central Provinces. J. Agric. Stud. 2014, 2, 32–51. [Google Scholar] [CrossRef]
- ZAMSTAT. Ministry of Fisheries and Livestock: The 2022 Livestock Survey Report. Information Center Publications: Agriculture and Environment Statistics; Zambia Statistics Agency: Lusaka, Zambia, 2022. Available online: https://www.zamstats.gov.zm/agriculture-environment-statistics/ (accessed on 14 January 2023).
- Lubungu, M.; Mofya-Mukuka, R. The Status of the Smallholder Livestock Sector in Zambia; IAPRI: Lusaka, Zambia, 2012. [Google Scholar]
- Gao, C.; Du, W.; Tian, K.; Wang, K.; Wang, C.; Sun, G.; Kang, X.; Li, W. Analysis of conservation priorities and runs of homozygosity patterns for Chinese indigenous chicken breeds. Animals 2023, 13, 599. [Google Scholar] [CrossRef] [PubMed]
- Nyemba, R.C.; Dakora, F.D. Evaluating N 2 fixation by food grain legumes in farmers’ fields in three agroecological zones of Zambia, using 15 N natural abundance. Biol. Fertil. Soils 2010, 46, 461–470. [Google Scholar] [CrossRef]
- Utts, J.M.; Heckard, R.F. Mind on Statistics, 3rd ed.; Cengage Learning: Boston, MA, USA, 2007. [Google Scholar]
- Yekinni, O. Women’s participation in development programs and food security status. J. Agric. Food Inform. 2020, 11, 28–35. [Google Scholar] [CrossRef]
- Mumba, B. Exploration of factors influencing men’s attitude toward women empowerment in Zambia. Afr. Geograph. Rev. 2022, 41, 108–124. [Google Scholar] [CrossRef]
- Wily, L.A. The law is to blame: The vulnerable status of common property rights in Sub-Saharan Africa. J. Dev. Change 2011, 42, 733–757. [Google Scholar] [CrossRef]
- Hasanbasri, A.; Koolwal, G.; Kilic, T.; Moylan, H. Multidimensionality of land ownership among men and women in Sub-Saharan Africa. J. Law. Econ. 2023, 66, 581–608. [Google Scholar] [CrossRef]
- Slavchevska, V.; Doss, C.R.; de la OCampos, A.P.; Brunelli, C. Beyond ownership: Women’s and men’s land rights in Sub-Saharan Africa. Oxf. Dev. Studies 2021, 49, 2–22. [Google Scholar] [CrossRef]
- Dolberg, F. Poultry production for livelihood improvement and poverty alleviation. In Poultry in the 21st Century; FAO: Rome, Italy, 2007; p. 26. [Google Scholar]
- Bett, H.K.; Peters, K.; Nwankwo, U.; Bokelmann, W. Estimating consumer preferences and willingness to pay for the underutilised indigenous chicken products. Food Pol. J. 2013, 41, 218–225. [Google Scholar] [CrossRef]
- Dumas, S.E.D.; Lungu, L.; Mulambya, N.; Daka, W.; Lewis, D.; Travis, A. Effect of sustainable poultry interventions on household food security and resilience in game management areas of Zambia’s Luangwa Valley: A before-and-after study. Lancet Glob. Health 2017, 5, S24. [Google Scholar] [CrossRef]
- Kanyama, C.M.; Moss, A.F.; Crowley, T.M. Strategies for promoting sustainable use and conservation of indigenous chicken breeds in Sub-Saharan Africa: Lessons from low-income countries [Version 5; peer review: 1 approved with reservation, 1 not approved]. F1000Research 2023, 11, 251. Available online: https://f1000research.com/articles/11-251 (accessed on 10 October 2023). [CrossRef]
- Mueller, J.P.; Rischkowsky, B.; Haile, A.; Philipsson, J.; Mwai, O.; Besbes, B.; Zárate, A.V.; Tibbo, M.; Mirkena, T.; Duguma, G.; et al. Community-based livestock breeding programmes: Essentials and examples. J. Anim. Breed. Genet. 2015, 132, 155–168. [Google Scholar] [CrossRef] [PubMed]
- PAZ. Poultry Association of Zambia Weekly Poultry News. Weekly Poultry News, 2023, Issue 13, 26 May 2023. Available online: http://paoz.info/articles/ (accessed on 5 June 2023).
- Adeyemo, S.; Salako, A.; Emikpe, B.; Ogie, A.; Oladele, P. Comparative disease resistance to Newcastle disease in Nigerian local ecotype chickens: Probable genetic influence. Bull. Anim. Health Prod. Afr. 2012, 60, 359–368. [Google Scholar]
- Bobbo, A.; Baba, S.; Yahaya, M.; El-Yuguda, A. Susceptibility of three phenotypes of village chickens to Newcastle disease in Adamawa State. Alexandria. J. Vet. Sci. 2013, 39, 133–140. [Google Scholar]
- Wang, Y.; Lupiani, B.; Reddy, S.; Lamont, S.J.; Zhou, H. RNA-seq analysis revealed novel genes and signaling pathways associated with disease resistance to avian influenza virus infection in chickens. Poult. Sci. J. 2014, 93, 485–493. [Google Scholar] [CrossRef] [PubMed]
- Ipara, B.O.; Otieno, D.J.; Nyikal, R.; Makokha, N.S. The contribution of extensive chicken production systems and practices to Newcastle disease outbreaks in Kenya. Trop. Anim. Health. Prod. 2021, 53, 164. [Google Scholar] [CrossRef]
- Mubamba, C.; Ramsay, G.; Abolnik, C.; Dautu, G.; Gummow, B. Combining value chain and social network analysis as a viable tool for informing targeted disease surveillance in the rural poultry sector of Zambia. Transbound. Emerg. Dis. J. 2018, 65, 1786–1796. [Google Scholar] [CrossRef] [PubMed]
- Mujyambere, V.; Adomako, K.; Olympio, S.O.; Ntawubizi, M.; Nyinawamwiza, L.; Mahoro, J.; Conroy, A. Local chickens in East African region: Their production and potential. Poult. Sci. J. 2022, 101, 101547. [Google Scholar] [CrossRef]
- Rischkowsky, B.; Pilling, D. The State of the World’s Animal Genetic Resources for Food and Agriculture; Food Agriculture Organisation: Rome, Italy, 2007. [Google Scholar]
- Hoffmann, I. The global plan of action for animal genetic resources and the conservation of poultry genetic resources. World’s Poult. Sci. J. 2009, 65, 286–297. [Google Scholar] [CrossRef]
Disclaimer/Publisher’s Note: The statements, opinions and data contained in all publications are solely those of the individual author(s) and contributor(s) and not of MDPI and/or the editor(s). MDPI and/or the editor(s) disclaim responsibility for any injury to people or property resulting from any ideas, methods, instructions or products referred to in the content. |
© 2024 by the authors. Licensee MDPI, Basel, Switzerland. This article is an open access article distributed under the terms and conditions of the Creative Commons Attribution (CC BY) license (https://creativecommons.org/licenses/by/4.0/).









