Abstract
A complex system of neural pathways, collectively known as the microbiota–gut–brain (MGB) axis, interconnects the gut microbiota, the gastrointestinal system, and the brain along with its periphery. Previous studies have demonstrated that modulation of the MGB axis can influence stress-related behaviors such as anxiety. This connection becomes apparent in scenarios like agonistic behavior in laying hens, which is characterized by aggressive head and feather pecks, that can ultimately result in cannibalism and death. The objective was to examine the effects of a dietary synbiotic on agonistic behavior, plasma and brain monoamines, stress parameters, and cecal microbiota counts via modulation of the MGB axis. A total of 396 W36 Hy-Line laying hens were provided at random with a control (CON: basal diet) or treatment (SYN: basal diet supplemented with synbiotic) diet from 50 to 60 weeks old (nine pens/treatment, 22 birds/pen). Blood samples and video recordings (three consecutive days/week) were taken at 50 and 60 weeks. At 60 weeks, three hens/pen were euthanized for brain and cecal microbiota collection. Threatening, fighting, head, body, and feather pecking all occurred less frequently at 60 weeks in the SYN group (p < 0.05). Plasma corticosterone, adrenocorticotropic hormone, dopamine, and serotonin were significantly lower while tryptophan and 5-hydroxyindoleacetic acid were significantly higher in birds from the SYN group (p < 0.05). Significant differences in serotonin, 5-hydroxyindoleacetic acid, dopamine, homovanillic acid, and 3,4-dihydroxyphenylacetic acid were observed in the hypothalamus, hippocampus, and amygdala of the brain. Serotonin and dopamine turnover rates were significantly different in all three regions of the brain (p < 0.05). Cecal counts of Lactobacillus and Bifidobacterium were significantly higher in the SYN group (p < 0.05). Synbiotic supplementation resulted in many significant differences, indicating activation of the serotonergic systems and modulation of both the MGB axis and HPA axis with positive effects on welfare and stress.
1. Introduction
There exists a complex system of neural pathways that interconnect the gut microbiota and gastrointestinal system with the brain and its periphery, collectively called the microbiota–gut–brain (MGB) axis [1,2]. The overview of the pathway begins with external factors like disease, nutrition, environment, and genetics acting on the gut microbiota. These external factors may influence the composition of the microbiota, which then can directly influence cell structure or indirectly synthesize neurotransmitters and induce the synthesis of neurotransmitters [1,3]. They can be carried via the bloodstream to the brain where effects such as neurogenesis or activation of the hypothalamic–pituitary–adrenal (HPA) axis can occur [3]. This system includes many specific nervous system groups like the autonomic nervous system (ANS) and the hypothalamic–pituitary–adrenal (HPA) axis [2]. Stress hormones like cortisol can be synthesized and released by activation of the HPA axis. Synthesis of short-chain fatty acids and modulation of the neuroendocrine system are among several ways that the nervous system can communicate [1]. These complex interactions with the brain can ultimately influence factors like memory, stress behavior, and feeding behavior [3].
Previous studies have shown that stress-related behaviors like anxiety and cognition can be affected by MGB axis modulation [1]. In humans, the MGB axis contains mechanisms that impact disorders like Alzheimer’s disease and major depressive disorder but are not fully understood [4]. In animal models, conditions like obesity and anxiety behavior are affected by the MGB axis [3].
Prebiotics and probiotics are two classes of alternative feed additives that provide nutrients to the gut microbiota and specific microorganisms to the gut microbiota, respectively [5]. Synbiotics, carefully curated combinations of prebiotics and probiotics, are chosen for their capacity to collaborate synergistically, thereby potentially augmenting their efficacy for the host organism [6]. Prebiotics are typically oligosaccharides, while probiotics, also known as direct-fed microbials, are commonly sourced from the genera Lactobacillus, Streptococcus, Bacillus, Bifidobacterium, Enterococcus, Aspergillus, Candida, and Saccharomyces [7]. One study found supplementing Bacillus amyloliquefaciens to turkey poults increased feeding behavior and duration while decreasing agonistic behavior like fighting and biting [8]. Another study found changes in serotonin, norepinephrine, and dopamine levels in different parts of the broiler brain when supplemented with Bacillus subtilis [9]. As recently as 2023, a previous study found differences in the cecal microbiota profile, serotonin metabolism, and immune response, which influence low and high feather-pecking genetic lines [10]. However, no studies to our knowledge have looked at the effect of a synbiotic on agonistic behavior, brain monoamine levels, and cecal microbial profiles simultaneously in laying hens.
The objective of this study was to examine the effects of a dietary synbiotic on agonistic behavior via modulation of the MGB axis in laying hens. We hypothesize that the group administered the synbiotic will demonstrate a decrease in the frequency of agonistic behavior, lower levels of brain monoamines, and the highest counts of cecal-beneficial microbiota.
2. Materials and Methods
2.1. Ethics
This project was given approval under protocol #AUP2021-0068 by Clemson University’s IACUC (Institutional Animal Care and Use Committee).
2.2. Environment
At the Morgan Poultry Center (Clemson, SC, USA), a poultry house with ventilation and temperature control was utilized for this experiment. A total of 396 W36 Hy-Line laying hens (50 to 60 weeks of age) were randomly allocated across 18 pens (22 birds/pen) from 50 to 60 weeks of age. Each pen was 5.04 m2, with approximately 7.6 cm of clean pine wood shavings covering the floor. Feed was given in moveable circular hanging feeders ad libitum, and water was available in automatic cup drinkers ad libitum. Nest boxes were provided at the back of each pen, and the ambient temperature was set to 23.8 °C, with an additional ceiling fan to provide air circulation. Following the standard breed guidelines, the lighting schedule was set to 16 h of light to 8 h of no light. A commercial layer feed product was used as the basal diet composed of a mainly ground corn crumble with guaranteed analysis in Table 1 (16% Layer Crumbles, Tucker Milling, LLC, Guntersville, AL, USA).
Table 1.
Guaranteed analysis of layer crumble.
2.3. Treatments
A commercial product was mixed thoroughly with the basal diet as the synbiotic supplementation called PoultryStar® meus (product code 5016924, DSM Nutritional Products Ltd., Kaiseraugst, Switzerland). The strains within the synbiotic were Enterococcus faecium, Pediococcus acidilacticii, Bifidobacterium animalis, and Lactobacillus reuteri, with a minimum guaranteed analysis is 2.0 × 1011 CFU/kg. This resulted in 2 treatment groups (8 pens/treatment): the control (CON; receives basal diet only) and a treatment group (TRT; receives basal diet with the synbiotic supplementation 1 kg/metric ton, as per the manufacturer’s recommendation)
2.4. Behavior
Each pen was equipped with a single camera on a closed-circuit system. The computer was programmed for the corresponding date and time. Recordings were set for continuous 24 h intervals for 3 days at 50 and 60 weeks of age. Data were stored within the hard drive of the system and transferred to external hard drives for storage.
Instantaneous scan sampling occurred at 50 and 60 weeks old using BORIS event-logging software v. 8.25 [11]. Scans occurred for a period of 5 s every five minutes in a 2 h time period. Observations were conducted for 3 time periods/day (morning, midday, and evening) over 3 consecutive days (n = 648 observations/timepoint/treatment). The morning observation started immediately after the lights went on, excluding the 30 min sunrise (gradual increase in the lighting to mimic sunrise). The evening observation was conducted two hours before the light went off, excluding the 30 min sunset (dimming light to mimic sunset before complete darkness). Midday observation was around the midpoint of the light period, approximately 14:00 to 16:00. The frequency of agonistic behaviors was recorded, and detailed descriptions of each behavior are listed in the ethogram in Table 2. Any observation points that contained a person or people in the pen were excluded from the totals.
Table 2.
Behavior ethogram of agonistic behaviors. Adapted from [12,13,14,15].
2.5. Blood
At 50 and 60 weeks of age, laying hens (n = 54) were randomly selected. Samples at 50 weeks were taken approximately 12 h after the synbiotic treatment began to establish the baseline levels of all measurements. The brachial wing vein was used for blood sampling and collected immediately into tubes treated with EDTA and transported on ice to the lab. Samples were spun in a centrifuge (for 10 min at 5590 rcf and 4 °C) and the top layer of plasma was separated. Plasma was analyzed for corticosterone (CORT), adrenocorticotropic hormone (ACTH), tryptophan (TRP), serotonin (5-HT), 5-hydroxyindoleacetic acid (5-HIAA), homovanillic acid (HVA), and 3,4-dihydroxyphenylacetic acid (DOPAC) using commercial ELISA kits (My BioSource, San Diego, CA, USA; Shanghai Jianglai Biotechnology CO., Ltd., Shanghai, China; YLA0020CH, YLA0011QU, YLA1546RA, YLA0248RA, YLA0337RA, YLC0076GE, YLC0378MO) and following the respective kit instructions.
2.6. Brain and Cecal Collection
Adapted from [16], laying hens (n = 54) were euthanized via CO2 chamber to reduce the risk of brain-stem damage. The birds were transported immediately on ice to the lab. The birds were first weighed on a calibrated scale. Heads were first removed intact with approximately 5 cm of neck attached. The remaining body was used for dissection of the cecal collection.
2.6.1. Brain Sample Preparation
Feathers and skin around the neck and head were first removed. Using a sharp Metzenbaum Scissor, the beak was cut along the frontal plane, and the periorbital tissue was dissected to successfully extirpate the eyeballs and access the top of the skull. The brain cavity was opened from the optic nerve connection and the top of the skull was removed using Iris Scissors. The neck was separated at the C1–C2 connection, so the brainstem was visible at the foramen magnum. Using a small, sharp tip, curved Mayo Scissor, with the tip pointed in the superior direction into the foramen magnum to remove the fascia surrounding the brain, the skull was slowly cut into and removed in pieces. Whole brain samples were separated, removed, placed in 10 mL plastic tubes with n-heptane, and deep frozen at −80 °C until analyzed. Following [17], brain slices at a thickness of 400 μm were prepared using a cryostat at −10 °C. The amygdala, hippocampus, and hypothalamus were identified using diagrams from [16,18].
2.6.2. Determination of Brain Monoamines
Brain monoamine levels were determined using the HPLC (high-performance liquid chromatography) method described by [18]. An amount of five μM of clorgyline, 5 μg/mL glutathione, and 1.2 μM of N-methylserotonin were added to the sample and homogenized in ice-cold conditions using a sonicator. Then, 20 μL 2 M HClO4 was stirred into the sample to create 80 μL homogenate and placed in ice water for 15 min. The solution was centrifuged at 15,000× g for 15 min at 4 °C and diluted 10 times with water. Along with electrochemical detection, HPLC was used to determine the levels of serotonin (5-HT), dopamine (DA), the metabolite of serotonin called 5-hydroxyindoleacetic acid (5-HIAA), and metabolites of dopamine called homovanillic acid (HVA) and 3,4-dihydroxyphenylacetic acid (DOPAC). Turnover of serotonin was determined as (5-HIAA/5-HT) and turnover of dopamine was measured as (HVA + DOPAC)/DA). The HPLC was conducted with an AS300 autosampler with a P100 pump, and the Atlas 2003 data-acquisition program was used (Thermo Separation Products, Waltham, MA, USA). A solution of 45 μL/L dibutylamine, 10% methanol, 50 mM citric acid, 0.1 mM EDTA, 50 mM phosphoric acid, and 77 mg/L 1-octanesulfonic acid sodium salt were added to the mobile phase. Sodium hydroxide was used to buffer the pH to 3.4. The flow rate was 0.8 mL/min, and separation occurred at 45 °C. Concentrations were calculated by a comparison of standards, both internal and external, with the protein of each sample determined by the DC protein Assay (Bio-Rad, Hercules, CA, USA). Concentrations of monoamines were expressed as nmol/g of protein.
2.6.3. Cecal Contents
Using poultry shears, the abdominal cavity was exposed. Once the digestive tract was located, the lower half, which included the ileum, ileocecal junction, and ceca, was gently removed from the peritoneal membranes. Then, a second person assisted the primary person in equipping sterile gloves. Using autoclaved scissors and a spatula, one cecum was opened, and the contents were placed into a sterile Eppendorf tube. A solution of sterile 0.9% sodium chloride solution was added at an approximately 1:1 ratio of sample. New gloves, scissors, pipette, and spatula were used for every sample.
Following the methods by [19], the contents were emptied into a sterile bag and further diluted 10 fold with sterile 0.9% sodium chloride. The mixture was homogenized for 3 min via a bag mixer. A serial dilution occurred from 10−1 to 10−7. One-tenth of each sample was coated in the appropriate agar media. Rogosa agar was used for Lactobacillus spp., Beerens agar was used for Bifidobacterium spp., reinforced clostridial agar was used for Clostridium spp., and MacConkey agar was used for Coliforms spp. Samples for Coliforms spp. were incubated aerobically for 24 h at 37 °C, while the other three media were incubated in sealed anaerobic jars for 48 h at 37 °C. The number of colonies was expressed as log 10 CFU per gram fresh sample.
3. Statistical Analysis
Statistics were conducted using the R software s‘tats’ package (version 4.3.2, R Core Team, 2023). The “psych” package was used for descriptive statistics. To assess the normality of data, the Shapiro–Wilk test (p > 0.05), using the “shapiro.test” package, and a visual inspection of the histograms, using the “hist.” package, were conducted, and the data were concluded to have a normal distribution. With the family set to “Poisson”, a generalized linear mixed model using the “lme4” package was used to describe the influence of symbiotic supplementation on behaviors; blood, brain, and cecal metabolites; and across ages (in weeks) and all interactions. The main effects were dietary treatment and week of age, with unit and individual birds where possible, as random effects; p ≤ 0.05 was set as the level of significance using the following model:
where Yijkl is the dependent variable, µ is the overall mean, Bi is the effect of the diet, Tj is the effect of age in weeks, BTij is the interaction between Bi and Tj (diet and age, respectively), Ckl is the effect of individual bird within Bi, and across Tj, and eijkl is the residual error.
Tukey’s honestly significant difference (HSD) multiple comparison procedure using the “multcomp” package was used to further analyze statistically significant results. Statistically significant results from Tukey’s HSD tests are indicated in figures or tables by different superscript letters. The results are shown as mean ± standard error of the mean (SEM) with p values of pairwise comparisons.
4. Results
4.1. Behavior
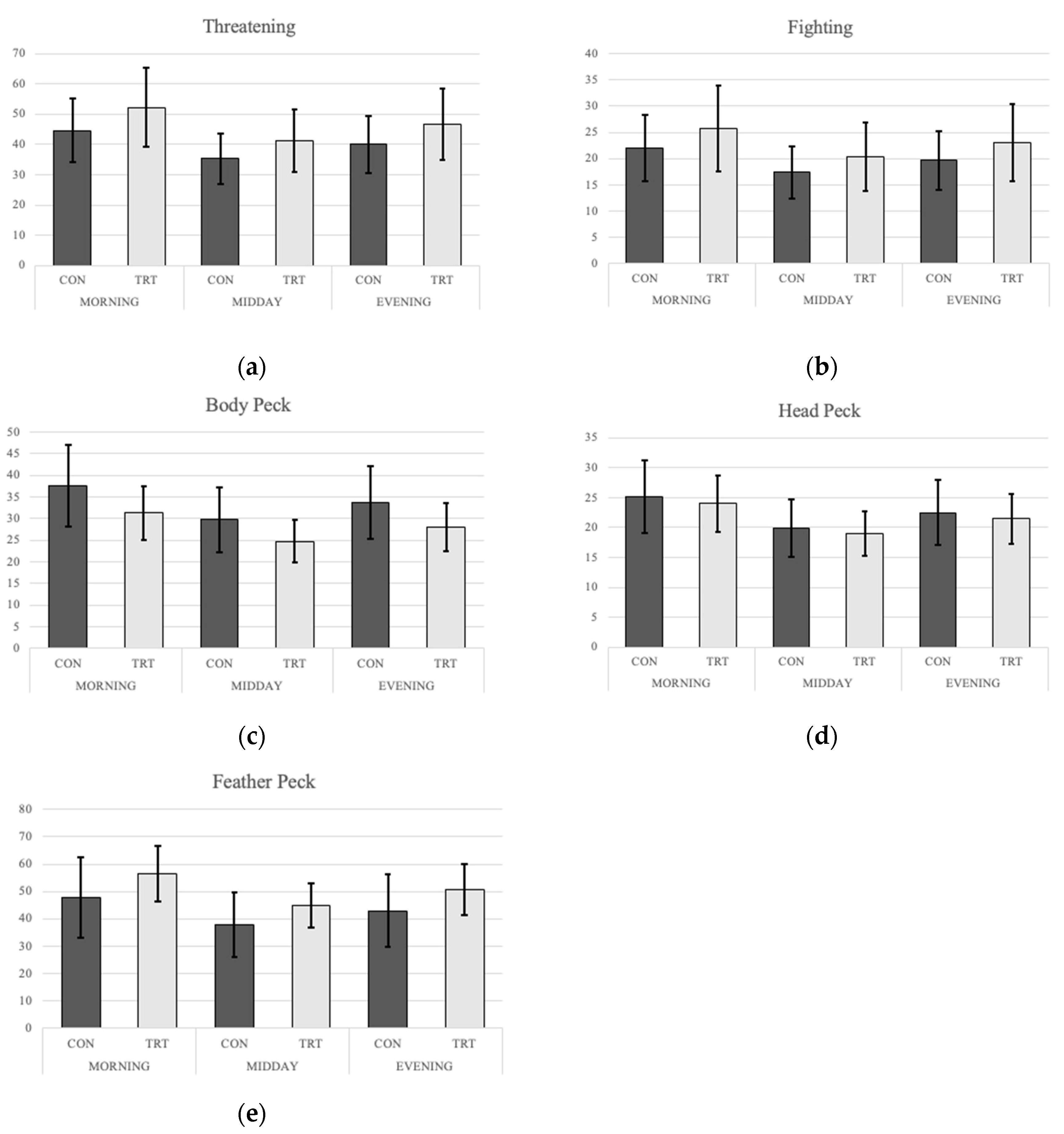
Our findings of agonistic behavior are presented in Figure 1a–e and Figure 2a–e. No significant difference between treatments was observed at 50 weeks (p > 0.05). At 60 weeks, all behaviors occurred significantly more often in the CON group compared to the SYN. Threatening occurred more frequently in the CON group in relation to the SYN group in the morning (p = 0.036), midday (p = 0.022), and evening (p = 0.043) periods. The SYN group had less frequency of fighting compared to the CON group during the morning (p = 0.031), midday (p = 0.035), and evening (p = 0.038). Pecking occurred more frequently in the CON group in comparison to the SYN group in the morning (p = 0.029), midday (p = 0.043), and evening (p = 0.039) periods. Birds in the SYN group head-pecked less frequently than birds in the CON group during the morning (p = 0.033), midday (p = 0.036), and evening (p = 0.036) times. Feather pecking occurred less frequently in the SYN group versus the CON group in the morning (p = 0.041), midday (p = 0.039), and evening (p = 0.029) times.
Figure 1.
Frequencies of agonistic behaviors at 50 weeks of age (n = 648/timepoint/treatment). Data presented as average frequency of the behavior observed in the 2 h period. (a) Frequency of threatening at 3 timepoints; (b) frequency of fighting at 3 timepoints; (c) frequency of body pecks at 3 timepoints; (d) average occurrences of head pecks at 3 points during the light period; and (e) average occurrences of feather pecks at 3 points during the light.
Figure 2.
Frequencies of agonistic behaviors at 60 weeks of age (n = 648/timepoint/treatment). Data presented as average frequency of the behavior observed in the 2 h period. (a) Average occurrences of threatening at 3 timepoints; (b) average occurrences of fighting at 3 timepoints; (c) frequency of body pecks at 3 timepoints; (d) frequency of head pecks at 3 points during the light period; and (e) frequency of feather pecks at 3 points during the light. a,b Means with different superscripts differ at p < 0.05.
4.2. Blood
The results of plasma samples are presented in Table 3. No significant differences were seen at 50 weeks of age (p > 0.05). All values at 60 weeks of age were significantly different (p < 0.05), while there were no statistically significant results due to the treatment effect at week 50. The levels of corticosterone were significantly lower in the SYN group compared to the CON group at 60 weeks of age (p = 0.026). The concentration of ACTH was significantly lower in the SYN group relative to the CON group at 60 weeks (p = 0.006). The levels of tryptophan were significantly higher in SYN birds versus CON birds at 60 weeks (p = 0.001). The concentrations of DA were significantly higher in the CON group compared to the SYN group at 60 weeks (p = 0.016). The CON group had a significantly higher level of 5-HT versus the SYN group at 60 weeks (p = 0.003; Table 3). The levels of 5-HIAA were significantly lower in the SYN group in relation to the CON group at 60 weeks (p = 0.012; Table 3). The turnover rate of 5-HT was significantly higher in the SYN group compared to the CON group at 60 weeks (p = 0.019).
Table 3.
Blood plasma sample results at 50 and 60 weeks of age.
4.3. Brain Monoamines
The results for serotonin and 5-HIAA levels are presented in Figure 3a–c. The concentrations of serotonin in the hippocampus were significantly higher in the SYN group compared to the CON group (p = 0.013, Figure 3a). The concentrations of serotonin were significantly lower in the SYN group compared to the CON group in the amygdala (p = 0.039, Figure 3b) and the hypothalamus (p = 0.026, Figure 3c). The levels of 5-HIAA were significantly higher in the SYN group compared to the control group in the hippocampus (p = 0.021). Concentrations of 5-HIAA were significantly lower in the SYN group compared to the CON group in the amygdala (p = 0.032) and hypothalamus (p = 0.001).

Figure 3.
Serotonin and 5-HIAA levels in three parts of the brain. Concentrations are in units of nmol per gram of brain tissue. (a) Levels of 5-HT and 5-HIAA in the hippocampus; (b) levels of 5-HT and 5-HIAA in the amygdala; and (c) levels of 5-HT and 5-HIAA in the hypothalamus. a,b Means with different superscripts differ at p < 0.05.
The levels of dopamine, DOPAC, and HVA are presented in Figure 4a–c. Concentrations of dopamine were significantly lower in the SYN group in comparison to the CON group in the hippocampus (p = 0.032, Figure 4a) and amygdala (p = 0.021, Figure 4b). No differences were found in the DA levels in the hypothalamus across treatments (p = 0.052, Figure 4c). The concentration of DOPAC was significantly lower in the SYN group versus the CON group in the hippocampus (p = 0.032). No differences were observed in the DOPAC levels in the amygdala (p = 0.053) or the hypothalamus (p = 0.052) across treatments. The concentrations of HVA were significantly lower in the SYN group compared to the CON group in the hippocampus (p = 0.022), amygdala (p = 0.042), and hypothalamus (p = 0.041).

Figure 4.
Dopamine, DOPAC, and HVA levels in three parts of the brain. Concentrations are in units of nmol per gram of brain tissue. (a) Levels of DA, DOPAC, and HVA in the hippocampus; (b) levels of DA, DOPAC, and HVA HIAA in the amygdala; and (c) levels of DA, DOPAC, and HVA in the hypothalamus. a,b Means with different superscripts differ at p < 0.05.
Rates of turnover for serotonin and dopamine are presented in Table 4. The turnover rate of 5-HT was significantly higher in the CON group compared to the SYN group in the hippocampus (p = 0.001) and hypothalamus (p = 0.032). The turnover rate of 5-HT was significantly higher in the SYN group compared to the CON group in the amygdala (p = 0.026). The turnover of dopamine was significantly higher in the CON group compared to the SYN group in the hippocampus (p = 0.033) and amygdala (p = 0.036; Table 4). The dopamine turnover rate was significantly lower in the CON group compared to the SYN group in the hypothalamus (p = 0.029).
Table 4.
Turnover rate of serotonin and dopamine in 3 parts of the brain.
4.4. Cecal Microbiota Contents
The results of the cecal microbiota count are presented in Figure 5. The counts of Lactobacillus species were significantly higher in the SYN group compared to the CON group (p = 0.036). The counts of the Bifidobacterium were significantly higher in the synbiotic group compared to the control group (p = 0.039). No statistical differences were observed for the Clostridium species (p = 0.262) or Coliforms species (p = 0.109) counts.
Figure 5.
Microbiota counts of selected species from the ceca of laying hens at 60 weeks old. a,b Means with different superscripts differ at p < 0.05.
5. Discussion
5.1. Behavior
Our study found a significant decrease in the frequency of threatening and fighting behaviors after dietary synbiotic addition. Threatening and fighting are used in groups of birds to establish pecking orders and a dominance hierarchy [20,21]. Agonistic behavior is also used to communicate with others over limited resources like feed and territory [22]. One study found significant differences in the frequency of agonistic behaviors—pecking, fighting, threatening, and chasing—between age, housing system, and genotype [23]. It has been shown in other animals, like germ-free rats [24] and mice [25], that the MGB axis is involved in these complex social behaviors [3]. We hypothesize that the inclusion of the synbiotic was able to modulate negative social interactions like threatening and fighting in laying hens via the MGB axis.
Feather pecking, head pecking, and body pecking were all significantly decreased from supplementation of the synbiotic. One study found that supplementation of β- mannanase and probiotics separately and together had significantly less frequency of aggressive pecks and concluded that dietary probiotics could be an effective strategy to improve welfare [26]. One tenant that is commonly used to study and assess the welfare of animals is the ability to express natural behaviors [27,28]. External factors like management, beak trimming, and housing system can influence laying-hen behavior [29]. Feather pecking is a redirected foraging behavior and may be one way that the laying hen can cope with stressors as well [30,31]. It has been shown in the past with the combination of heavy genetic selection and a barren environment [32], with genetics as a strong influence, as seen in a previous study that found more frequent severe FP and total pecks in a high FP genetic strain [10]. The source of FP behavior may be due to fearfulness or other physiological deficiencies like serotonin and tryptophan [31]. The current poultry industry is transitioning from barren cages to alternate group-housing systems; however, previous studies found continued feather pecking and other agonistic behaviors [33,34]. Influences of agonistic behaviors can be concluded to be multifaceted, and therefore, different strategies to prevent or reduce this behavior must be investigated. Based on our study’s results, dietary synbiotic supplementation may have influenced agonistic FP behavior via modulation of the MGB axis and, thus, increased the welfare of laying hens.
5.2. Blood
Our study resulted in a significant decrease in CORT-concentration values at 60 weeks; one study agrees with our finding, with numerically lower levels of CORT in birds supplemented with a probiotic with Bacillus subtilis [9]. Corticosterone has been widely accepted as a marker of stress and a welfare indicator [35]. The primary pathway of the stress response in humans and animals is the hypothalamus–pituitary–adrenal (HPA) axis, and glucocorticoids like CORT are the result of activation of this axis [36]. CORT also provides negative feedback on the HPA axis and stops stimulation of the HPA axis [36]. In the same pathway, circulating ACTH targets the adrenal cortex and stimulates glucocorticoid release [36]. Our results show a significant decrease in circulating ACTH levels in laying hens supplemented with the synbiotic. The microbiota–gut–brain axis can also stimulate the HPA axis and the stress response [37,38]. We hypothesize that the interplay of the gut microbiota and the stimulated synbiotic lowers ACTH and CORT concentrations via the MGB and HPA axes, thus improving the welfare of these laying hens.
In this study, the concentrations of tryptophan were significantly higher in hens from the SYN group compared to the CON group at 60 weeks. One study is in agreement with our findings, as they found an increase of plasma TRP in birds supplemented with a probiotic of Lactobacillus rhamnosus [39]. Tryptophan is a precursor to serotonin and has many functions, such as feeding and aggressive behaviors [40,41]. A delicate balance of TRP levels exists, as a deficiency may lead to aggressive behaviors and lower levels of 5-HT. But, excess tryptophan may decrease gentle pecking behavior and CORT levels [40,42,43]. The gut microbiota and tryptophan metabolism have an interconnected relationship, as stress and inflammation in the gut can disrupt TRP metabolism [44]. We hypothesize that the synbiotic positively influenced the gut microbiota and TRP metabolism.
Dopamine levels were significantly lower in laying hens supplemented with a synbiotic at 60 weeks. Dopamine is one neurotransmitter that contributes to cognition and motivation, with the MGB axis playing a role in maintaining DA levels through many interactions [45]. The gut microbiota also contains many species that play a key role with enzymes in the reaction pathway of dopamine [45]. One review found dopamine levels play a role in the frequency of feather pecking [31]. We hypothesize that the impact of the synbiotic on the gut microbiota affects the dopaminergic system via the MGB axis.
The results of the study showed significantly lower levels of plasma 5-HT at 60 weeks of age. Previous studies found a significant increase in circulating 5-HT levels in birds from high feathering pecking genetic lines [10,46]. Enterocromaffin cells in the GIT are responsible for 5-HT storage and release [47]. High stress hormones may be correlated with lower serotonergic energy [48]. In our study, the reverse relationship also exists, with lower CORT levels and high 5-HT levels, supporting our hypothesis of an influence of the serotonergic system via stimulation of the MGB axis. Our study also found a significant increase in 5-HIAA levels in the SYN group at both ages. One study found similar findings to ours, as there was a significant increase in 5-HIAA in HFP laying hens [10]. 5-HIAA is the major metabolite of 5-HT [49]. Our study found an increase in serotonin turnover in birds supplemented with the synbiotic compared to the control at 60 weeks. High and low turnover rates can affect behavior differently. High serotonin turnover is related to depression and panic disorder in humans [50,51]. However, low serotonin turnover can also be related to impulsive violence in humans [52]. 5-HT turnover can reflect the peripheral 5-HT availability, which is in agreement with our results of circulatory 5-HT levels [10].
5.3. Brain Monoamines
The avian brain and its regions have only recently been examined and explored for similarities to the mammalian brain. There is limited research on the connections of the brain to poultry behavior [9,16,53].
5.3.1. Serotonin
Serotonin levels were significantly higher in the hippocampus, while they were significantly lower in the hypothalamus in birds supplemented with the synbiotic. The metabolite of serotonin, 5-HIAA, was significantly higher in the hippocampus but was significantly lower in the amygdala and hypothalamus in the SYN group. The turnover rate of serotonin was significantly higher in the amygdala but was significantly lower in the hypothalamus and the hippocampus.
Previous studies found no differences in serotonin levels in the hippocampus; however, they were examining different genetic lines with different feather-pecking tendencies [16,18,54]. The hippocampus is mainly in control of spatial awareness [54]. The avian hippocampus may also assist with emotional and cognitive processing like the mammalian hippocampus, where serotonin assists in this regulation [55,56]. Serotonin is synthesized in the brainstem—specifically the raphe nuclei—and then projected out into many regions of the brain including the hippocampus [57]. One study also found similar serotonin genes and receptors in the hippocampus to those of mammals that are related to fear-related behaviors [56,58]. Supplementation of a synbiotic may assist with the modulation of these fear centers via the MGB axis through the regulation of 5-HT and 5-HIAA, but more work is needed.
One study found a significant decrease in 5-HIAA but no differences in the 5-HT levels in the amygdala of birds from an HFP line [16]. The amygdala, which contains the arcopallium, leads to a pathway to the brainstem, is responsible for motor function, and may be involved in anxiety and fear in avian species [59,60]. Serotonin is also important for the regulation of this area in the brain [31]. In humans, low levels of 5-HIAA have been observed in subjects with depression and impulsive tendencies [61]. Because 5-HIAA can also reflect 5-HT bioavailability [10], it seems that synbiotic supplementation may have prevented unnecessary 5-HT from being metabolized to 5-HIAA via inactivation of the serotonergic system through the MGB axis.
The hypothalamus plays a key role in not only welfare status via the HPA axis but also in feeding behavior [62,63]. Weight regulation is especially important for laying hens, as it can negatively affect reproduction and, thus, profit for producers [64]. It also has been observed that intestinal infection can increase both 5-HIAA and 5-HT concentrations in the hypothalamus through serotonergic system stimulation [65]. The interaction of the synbiotic with the MGB axis may have influenced serotonergic system activation and, therefore, lower 5-HT and 5-HIAA levels in the hypothalamus, but further research is needed to validate this.
5.3.2. Dopamine
The levels of dopamine were significantly lower in the hippocampus and amygdala in birds from the SYN group compared to the CON group. One metabolite of dopamine, DOPAC, was significantly lower in the hypothalamus, while another metabolite, HVA, was significantly lower in all three sampled parts of the brain in the SYN group. Dopamine turnover was significantly lower in all three regions of the brain.
Dopamine is a key component to agonistic behavior, especially feather pecking, in laying hens [66]. Dopamine has also been shown to assist with memory formation in humans [67]. Dopamine levels can also reflect the welfare status of laying hens, as it can improve the animal’s ability to cope with fear and stress [68,69]. In addition, it has been observed in rats that elevated DOPAC levels may be associated with a stressful environment [70]. One previous study found significantly lower DA levels in the hypothalamus [9]. While our study found lower levels in different regions of the brain, one author suggests that the activity of central noradrenergic neurons is inhibited by serotonergic neurons [9,71]. With similar significant findings between treatments in both serotonergic and dopaminergic molecules, it is safe to assume these two systems are interconnected, with the serotonergic system modulating the dopaminergic systems [72,73].
One previous study found DA turnover to be significantly reduced in the hippocampus and attributed this to fast uptake by dopamine transporters [18,74]. Lower dopamine turnover along with increased CORT may also represent higher stress levels [68], which is the opposite of what we observed in DA turnover levels in the hypothalamus of SYN birds. This may indicate that supplementation of the synbiotic may increase the physiological welfare status of laying hens.
5.4. Cecal Microbiota
The results of our study found a significant increase in Lactobacillus and Bifidobacterium spp. counts in laying hens supplemented with the synbiotic. Previous studies agree with our findings of Bifidobacterium counts [19,75] while other studies agree with our findings of the Lactobacillus counts [76,77]. To reiterate, a synbiotic is essentially a combination of a prebiotic and a probiotic [6], and its supplementation has been shown to change the gut microbiota [78]. Previous studies have used both Bifidobacterium and Lactobacillus species as probiotics with positive results [79,80]. The supplementation of the synbiotic positively affected the species of these two bacteria, most likely due to the synbiotic containing two Bifidobacterium and Lactobacillus species. Further research would include further sequencing of the cecal contents.
6. Conclusions
Based on our results, dietary supplementation of a synbiotic blend to late-lay hens exhibits positive findings on physiological measures of behavior, stress, selected brain monoamines, and cecal microbiota counts via modulation of the microbiota–gut–brain axis. Birds in the synbiotic group performed agnostic behaviors less frequently. The dietary synbiotic prolonged lower plasma stress, serotonin, and dopamine measures. Supplementation also showed significant differences in brain monoamines; however, the mechanisms and full pathways need to be elucidated. Cecal microbiota counts of similar bacteria species to the synbiotic were increased. Further sequencing and analysis of specific species are needed. Follow-up studies can include different inclusion rates of the synbiotic, a longer experimental period, and further investigation of the effects of the synbiotic on the gut-microbiota population. Overall, modulation of the microbiota-gut–brain axis via a dietary synbiotic has promising effects on increasing welfare in laying hens.
Author Contributions
Conceptualization, A.M.J., M.A.-R. and A.B.A.A.; methodology, A.M.J. and A.B.A.A.; formal analysis, A.B.A.A., M.A.-R.; investigation, A.M.J., M.G.A., A.C., E.C., and A.B.A.A.; data curation, A.M.J. and A.C.; writing—original draft preparation, A.M.J.; writing—review and editing, A.M.J., M.A.-R. and A.B.A.A.; visualization, A.M.J.; supervision, A.B.A.A., M.A.-R.; project administration, A.M.J.; funding acquisition, A.M.J. and A.B.A.A. All authors have read and agreed to the published version of the manuscript.
Funding
This study was funded by the United Sorghum Checkoff Program (project # RG002-21). Technical Contribution No. 7288 of the Clemson University Experiment Station. This material is based upon work supported by NIFA/USDA under project number SC-1029. Any opinions, findings, conclusions, or recommendations expressed in this publication are those of the authors and do not necessarily reflect the views of the USDA.
Institutional Review Board Statement
This project was approved by Clemson University’s Institutional Animal Care and Use Committee (protocol #AUP2021-0068).
Informed Consent Statement
Not applicable.
Data Availability Statement
For access to data from the study, please contact the corresponding author.
Acknowledgments
We would like to thank Chasity Pender at DSM-firmenich for the donation of the synbiotic product. We would also like to thank all the staff and student workers at the Morgan Poultry Center for their support. Special thanks to the undergraduates with the Animal Behavior and Welfare group for assistance with behavior decoding.
Conflicts of Interest
The authors declare no conflicts of interest.
References
- Morais, L.H.; Schreiber, H.L.; Mazmanian, S.K. The Gut Microbiota–Brain Axis in Behaviour and Brain Disorders. Nat. Rev. Microbiol. 2021, 19, 241–255. [Google Scholar] [CrossRef] [PubMed]
- Carabotti, M.; Scirocco, A.; Maselli, M.A.; Severi, C. The Gut-Brain Axis: Interactions between Enteric Microbiota, Central and Enteric Nervous Systems. Ann. Gastroenterol. 2015, 28, 203–209. [Google Scholar] [PubMed]
- Kraimi, N.; Dawkins, M.; Gebhardt-Henrich, S.G.; Velge, P.; Rychlik, I.; Volf, J.; Creach, P.; Smith, A.; Colles, F.; Leterrier, C. Influence of the Microbiota-Gut-Brain Axis on Behavior and Welfare in Farm Animals: A Review. Physiol. Behav. 2019, 210, 112658. [Google Scholar] [CrossRef] [PubMed]
- Liu, T.; Du, D.; Zhao, R.; Xie, Q.; Dong, Z. Gut Microbes Influence the Development of Central Nervous System Disorders through Epigenetic Inheritance. Microbiol. Res. 2023, 274, 127440. [Google Scholar] [CrossRef] [PubMed]
- Ayalew, H.; Zhang, H.; Wang, J.; Wu, S.; Qiu, K.; Qi, G.; Tekeste, A.; Wassie, T.; Chanie, D. Potential Feed Additives as Antibiotic Alternatives in Broiler Production. Front. Vet. Sci. 2022, 9, 916473. [Google Scholar] [CrossRef] [PubMed]
- Gibson, G.R.; Roberfroid, M.B. Dietary Modulation of the Human Colonic Microbiota: Introducing the Concept of Prebiotics. J. Nutr. 1995, 125, 1401–1412. [Google Scholar] [CrossRef] [PubMed]
- Abd El-Hack, M.E.; El-Saadony, M.T.; Salem, H.M.; El-Tahan, A.M.; Soliman, M.M.; Youssef, G.B.A.; Taha, A.E.; Soliman, S.M.; Ahmed, A.E.; El-kott, A.F.; et al. Alternatives to Antibiotics for Organic Poultry Production: Types, Modes of Action and Impacts on Bird’s Health and Production. Poult. Sci. 2022, 101, 101696. [Google Scholar] [CrossRef] [PubMed]
- Naglaa; Azeem, M. Do Probiotics Affect the Behavior of Turkey Poults. J. Vet. Med. Anim. Health 2013, 5, 144–148. [Google Scholar]
- Yan, F.F.; Wang, W.C.; Cheng, H.W. Bacillus Subtilis Based Probiotic Improved Bone Mass and Altered Brain Serotoninergic and Dopaminergic Systems in Broiler Chickens. J. Funct. Foods 2018, 49, 501–509. [Google Scholar] [CrossRef]
- Huang, C.; Hao, E.; Yue, Q.; Liu, M.; Wang, D.; Chen, Y.; Shi, L.; Zeng, D.; Zhao, G.; Chen, H. Malfunctioned Inflammatory Response and Serotonin Metabolism at the Microbiota-Gut-Brain Axis Drive Feather Pecking Behavior in Laying Hens. Poult. Sci. 2023, 102, 102686. [Google Scholar] [CrossRef]
- Friard, O.; Gamba, M. A Free, Versatile Open-source Event-logging Software for Video/Audio Coding and Live Observations. Methods Ecol. Evol. 2016, 7, 1325–1330. [Google Scholar] [CrossRef]
- Hughes, B.O.; Wood-Gush, D.G.M. Agonistic Behaviour in Domestic Hens: The Influence of Housing Method and Group Size. Anim. Behav. 1977, 25, 1056–1062. [Google Scholar] [CrossRef] [PubMed]
- Mench, J.A. The Development of Aggressive Behavior in Male Broiler Chicks: A Comparison with Laying-Type Males and the Effects of Feed Restriction. Appl. Anim. Behav. Sci. 1988, 21, 233–242. [Google Scholar] [CrossRef]
- Girard, M.T.E.; Zuidhof, M.J.; Bench, C.J. Feeding, Foraging, and Feather Pecking Behaviours in Precision-Fed and Skip-a-Day-Fed Broiler Breeder Pullets. Appl. Anim. Behav. Sci. 2017, 188, 42–49. [Google Scholar] [CrossRef]
- Savory, C.J. Feather Pecking and Cannibalism. Worlds Poult. Sci. J. 1995, 51, 215–219. [Google Scholar] [CrossRef]
- Kops, M.S.; Kjaer, J.B.; Güntürkün, O.; Westphal, K.G.C.; Korte-Bouws, G.A.H.; Olivier, B.; Korte, S.M.; Bolhuis, J.E. Brain Monoamine Levels and Behaviour of Young and Adult Chickens Genetically Selected on Feather Pecking. Behav. Brain Res. 2017, 327, 11–20. [Google Scholar] [CrossRef] [PubMed]
- van Hierden, Y.M.; Korte, S.M.; Ruesink, E.W.; van Reenen, C.G.; Engel, B.; Korte-Bouws, G.A.H.; Koolhaas, J.M.; Blokhuis, H.J. Adrenocortical Reactivity and Central Serotonin and Dopamine Turnover in Young Chicks from a High and Low Feather-Pecking Line of Laying Hens. Physiol. Behav. 2002, 75, 653–659. [Google Scholar] [CrossRef] [PubMed]
- Kops, M.S.; de Haas, E.N.; Rodenburg, T.B.; Ellen, E.D.; Korte-Bouws, G.A.H.; Olivier, B.; Güntürkün, O.; Korte, S.M.; Bolhuis, J.E. Selection for Low Mortality in Laying Hens Affects Catecholamine Levels in the Arcopallium, a Brain Area Involved in Fear and Motor Regulation. Behav. Brain Res. 2013, 257, 54–61. [Google Scholar] [CrossRef] [PubMed]
- Abdelqader, A.; Al-Fataftah, A.-R.; Daş, G. Effects of Dietary Bacillus Subtilis and Inulin Supplementation on Performance, Eggshell Quality, Intestinal Morphology and Microflora Composition of Laying Hens in the Late Phase of Production. Anim. Feed Sci. Technol. 2013, 179, 103–111. [Google Scholar] [CrossRef]
- Rushen, J. The Peck Orders of Chickens: How Do They Develop and Why Are They Linear? Anim. Behav. 1982, 30, 1129–1137. [Google Scholar] [CrossRef]
- Guhl, A.M. Social Inertia and Social Stability in Chickens. Anim. Behav. 1968, 16, 219–232. [Google Scholar] [CrossRef] [PubMed]
- Blanchard, D.C.; Blanchard, R.J. What Can Animal Aggression Research Tell Us about Human Aggression? Horm. Behav. 2003, 44, 171–177. [Google Scholar] [CrossRef] [PubMed]
- Sokołowicz, Z.; Dykiel, M.; Topczewska, J.; Krawczyk, J.; Augustyńska-Prejsnar, A. The Effect of the Type of Non-Caged Housing System, Genotype and Age on the Behaviour of Laying Hens. Animals 2020, 10, 2450. [Google Scholar] [CrossRef] [PubMed]
- Buffington, S.A.; Di Prisco, G.V.; Auchtung, T.A.; Ajami, N.J.; Petrosino, J.F.; Costa-Mattioli, M. Microbial Reconstitution Reverses Maternal Diet-Induced Social and Synaptic Deficits in Offspring. Cell 2016, 165, 1762–1775. [Google Scholar] [CrossRef] [PubMed]
- Arentsen, T.; Raith, H.; Qian, Y.; Forssberg, H.; Heijtz, R.D. Host Microbiota Modulates Development of Social Preference in Mice. Microb. Ecol. Health Dis. 2015, 26, 29719. [Google Scholar] [CrossRef] [PubMed]
- Carvalho, C.L.; Andretta, I.; Galli, G.M.; Martins, G.B.; Camargo, N.d.O.T.; Stefanello, T.B.; Melchior, R.; da Silva, M.K. Dietary Supplementation with β-Mannanase and Probiotics as a Strategy to Improve Laying Hen’s Welfare. Front. Vet. Sci. 2022, 9, 985947. [Google Scholar] [CrossRef] [PubMed]
- Tinbergen, N. On Aims and Methods of Ethology. Z. Tierpsychol. 1963, 20, 410–433. [Google Scholar] [CrossRef]
- Dawkins, M.S. Natural Behaviour Is Not Enough: Farm Animal Welfare Needs Modern Answers to Tinbergen’s Four Questions. Animals 2023, 13, 988. [Google Scholar] [CrossRef]
- Cronin, G.M.; Hopcroft, R.L.; Groves, P.J.; Hall, E.J.S.; Phalen, D.N.; Hemsworth, P.H. Why Did Severe Feather Pecking and Cannibalism Outbreaks Occur? An Unintended Case Study While Investigating the Effects of Forage and Stress on Pullets during Rearing. Poult. Sci. 2018, 97, 1484–1502. [Google Scholar] [CrossRef]
- Rodenburg, T.B.; Van Krimpen, M.M.; De Jong, I.C.; De Haas, E.N.; Kops, M.S.; Riedstra, B.J.; Nordquist, R.E.; Wagenaar, J.P.; Bestman, M.; Nicol, C.J. The Prevention and Control of Feather Pecking in Laying Hens: Identifying the Underlying Principles. Worlds Poult. Sci. J. 2013, 69, 361–374. [Google Scholar] [CrossRef]
- de Haas, E.N.; van der Eijk, J.A.J. Where in the Serotonergic System Does It Go Wrong? Unravelling the Route by Which the Serotonergic System Affects Feather Pecking in Chickens. Neurosci. Biobehav. Rev. 2018, 95, 170–188. [Google Scholar] [CrossRef] [PubMed]
- Michel, V.; Berk, J.; Bozakova, N.; van der Eijk, J.; Estevez, I.; Mircheva, T.; Relic, R.; Rodenburg, T.B.; Sossidou, E.N.; Guinebretière, M. The Relationships between Damaging Behaviours and Health in Laying Hens. Animals 2022, 12, 986. [Google Scholar] [CrossRef] [PubMed]
- Weeks, C.A.; Lambton, S.L.; Williams, A.G. Implications for Welfare, Productivity and Sustainability of the Variation in Reported Levels of Mortality for Laying Hen Flocks Kept in Different Housing Systems: A Meta-Analysis of Ten Studies. PLoS ONE 2016, 11, e0146394. [Google Scholar] [CrossRef] [PubMed]
- Fossum, O.; Jansson, D.S.; Etterlin, P.E.; Vågsholm, I. Causes of Mortality in Laying Hens in Different Housing Systems in 2001 to 2004. Acta Vet. Scand. 2009, 51, 3. [Google Scholar] [CrossRef] [PubMed]
- Kim, Y.-H.; Kim, J.; Yoon, H.-S.; Choi, Y.-H. Effects of Dietary Corticosterone on Yolk Colors and Eggshell Quality in Laying Hens. Asian-Australas. J. Anim. Sci. 2015, 28, 840–846. [Google Scholar] [CrossRef] [PubMed]
- Smith, S.M.; Vale, W.W. The Role of the Hypothalamic-Pituitary-Adrenal Axis in Neuroendocrine Responses to Stress. Dialogues Clin. Neurosci. 2006, 8, 383–395. [Google Scholar] [CrossRef] [PubMed]
- Appleton, J. The Gut-Brain Axis: Influence of Microbiota on Mood and Mental Health. Integr. Med. 2018, 17, 28–32. [Google Scholar]
- Rusch, J.A.; Layden, B.T.; Dugas, L.R. Signalling Cognition: The Gut Microbiota and Hypothalamic-Pituitary-Adrenal Axis. Front. Endocrinol. 2023, 14, 1130689. [Google Scholar] [CrossRef] [PubMed]
- Mindus, C.; van Staaveren, N.; Fuchs, D.; Gostner, J.M.; Kjaer, J.B.; Kunze, W.; Mian, M.F.; Shoveller, A.K.; Forsythe, P.; Harlander-Matauschek, A.L. Rhamnosus Improves the Immune Response and Tryptophan Catabolism in Laying Hen Pullets. Sci. Rep. 2021, 11, 19538. [Google Scholar] [CrossRef]
- Linh, N.T.; Guntoro, B.; Qui, N.H. Immunomodulatory, Behavioral, and Nutritional Response of Tryptophan Application on Poultry. Vet. World 2021, 8, 2244–2250. [Google Scholar] [CrossRef]
- Koopmans, S.J.; van der Staay, F.J.; Le Floc’h, N.; Dekker, R.; van Diepen, J.T.M.; Jansman, A.J.M. Effects of Surplus Dietary L-Tryptophan on Stress, Immunology, Behavior, and Nitrogen Retention in Endotoxemic Pigs1. J. Anim. Sci. 2012, 90, 241–251. [Google Scholar] [CrossRef]
- van Hierden, Y.M.; Koolhaas, J.M.; Korte, S.M. Chronic Increase of Dietary L-Tryptophan Decreases Gentle Feather Pecking Behaviour. Appl. Anim. Behav. Sci. 2004, 89, 71–84. [Google Scholar] [CrossRef]
- Bello, A.U.; Idrus, Z.; Meng, G.Y.; Narayan, E.J.; Farjam, A.S. Dose-Response Relationship of Tryptophan with Large Neutral Amino Acids, and Its Impact on Physiological Responses in the Chick Model. Gen. Comp. Endocrinol. 2018, 260, 146–150. [Google Scholar] [CrossRef]
- Gheorghe, C.E.; Martin, J.A.; Manriquez, F.V.; Dinan, T.G.; Cryan, J.F.; Clarke, G. Focus on the Essentials: Tryptophan Metabolism and the Microbiome-Gut-Brain Axis. Curr. Opin. Pharmacol. 2019, 48, 137–145. [Google Scholar] [CrossRef]
- Hamamah, S.; Aghazarian, A.; Nazaryan, A.; Hajnal, A.; Covasa, M. Role of Microbiota-Gut-Brain Axis in Regulating Dopaminergic Signaling. Biomedicines 2022, 10, 436. [Google Scholar] [CrossRef]
- Fu, Y.; Hu, J.; Erasmus, M.A.; Zhang, H.; Johnson, T.A.; Cheng, H. Cecal Microbiota Transplantation: Unique Influence of Cecal Microbiota from Divergently Selected Inbred Donor Lines on Cecal Microbial Profile, Serotonergic Activity, and Aggressive Behavior of Recipient Chickens. J. Anim. Sci. Biotechnol. 2023, 14, 66. [Google Scholar] [CrossRef]
- Reed, D. Enterochromaffin Cells: Small in Number but Big in Impact. Gastroenterology 2023, 165, 1090–1091. [Google Scholar] [CrossRef]
- Hu, J.; Johnson, T.A.; Zhang, H.; Cheng, H.-W. The Microbiota–Gut–Brain Axis: Gut Microbiota Modulates Conspecific Aggression in Diversely Selected Laying Hens. Microorganisms 2022, 10, 1081. [Google Scholar] [CrossRef]
- Jayamohananan, H.; Manoj Kumar, M.K.; Aneesh, T.P. 5-HIAA as a Potential Biological Marker for Neurological and Psychiatric Disorders. Adv. Pharm. Bull. 2019, 9, 374–381. [Google Scholar] [CrossRef]
- Zhou, M.; Tao, Y.; Lai, C.; Huang, C.; Zhou, Y.; Yong, Q. Effects of Mannanoligosaccharide Supplementation on the Growth Performance, Immunity, and Oxidative Status of Partridge Shank Chickens. Animals 2019, 9, 817. [Google Scholar] [CrossRef]
- Chenxuan, H.; Qiaoxian, Y.; Yifan, C.; Dehe, W.; Rongyan, Z.; Guoxian, Z.; Hui, C. Effects of in Ovo Injection of Serotonin on Behavior and Hypothalamic Genes Expression in Post Hatch-Chicks. Appl. Anim. Behav. Sci. 2021, 234, 105176. [Google Scholar] [CrossRef]
- Virkkunen, M.; Goldman, D.; Nielsen, D.A.; Linnoila, M. Low Brain Serotonin Turnover Rate (Low CSF 5-HIAA) and Impulsive Violence. J. Psychiatry Neurosci. 1995, 20, 271–275. [Google Scholar]
- Kops, M.S.; de Haas, E.N.; Rodenburg, T.B.; Ellen, E.D.; Korte-Bouws, G.A.H.; Olivier, B.; Güntürkün, O.; Bolhuis, J.E.; Korte, S.M. Effects of Feather Pecking Phenotype (Severe Feather Peckers, Victims and Non-Peckers) on Serotonergic and Dopaminergic Activity in Four Brain Areas of Laying Hens (Gallus Gallus Domesticus). Physiol. Behav. 2013, 120, 77–82. [Google Scholar] [CrossRef]
- Colombo, M.; Broadbent, N. Is the Avian Hippocampus a Functional Homologue of the Mammalian Hippocampus? Neurosci. Biobehav. Rev. 2000, 24, 465–484. [Google Scholar] [CrossRef]
- Fujita, T.; Aoki, N.; Mori, C.; Fujita, E.; Matsushima, T.; Homma, K.J.; Yamaguchi, S. Chick Hippocampal Formation Displays Subdivision- and Layer-Selective Expression Patterns of Serotonin Receptor Subfamily Genes. Front. Physiol. 2022, 13, 882633. [Google Scholar] [CrossRef]
- Dale, E.; Pehrson, A.L.; Jeyarajah, T.; Li, Y.; Leiser, S.C.; Smagin, G.; Olsen, C.K.; Sanchez, C. Effects of Serotonin in the Hippocampus: How SSRIs and Multimodal Antidepressants Might Regulate Pyramidal Cell Function. CNS Spectr. 2016, 21, 143–161. [Google Scholar] [CrossRef]
- Fujita, T.; Aoki, N.; Mori, C.; Homma, K.J.; Yamaguchi, S. Molecular Biology of Serotonergic Systems in Avian Brains. Front. Mol. Neurosci. 2023, 16, 1226645. [Google Scholar] [CrossRef]
- Fujita, T.; Aoki, N.; Mori, C.; Fujita, E.; Matsushima, T.; Homma, K.J.; Yamaguchi, S. The Dorsal Arcopallium of Chicks Displays the Expression of Orthologs of Mammalian Fear Related Serotonin Receptor Subfamily Genes. Sci. Rep. 2020, 10, 21183. [Google Scholar] [CrossRef]
- Reiner, A.; Perkel, D.J.; Bruce, L.L.; Butler, A.B.; Csillag, A.; Kuenzel, W.; Medina, L.; Paxinos, G.; Shimizu, T.; Striedter, G.; et al. Revised Nomenclature for Avian Telencephalon and Some Related Brainstem Nuclei. J. Comp. Neurol. 2004, 473, 377–414. [Google Scholar] [CrossRef]
- Saint-Dizier, H.; Constantin, P.; Davies, D.C.; Leterrier, C.; Lévy, F.; Richard, S. Subdivisions of the Arcopallium/Posterior Pallial Amygdala Complex Are Differentially Involved in the Control of Fear Behaviour in the Japanese Quail. Brain Res. Bull. 2009, 79, 288–295. [Google Scholar] [CrossRef]
- Spreux-Varoquaux, O.; Alvarez, J.-C.; Berlin, I.; Batista, G.; Despierre, P.-G.; Gilton, A.; Cremniter, D. Differential Abnormalities in Plasma 5-HIAA and Platelet Serotonin Concentrations in Violent Suicide Attempters Relationships with Impulsivity and Depression. Life Sci. 2001, 69, 647–657. [Google Scholar] [CrossRef]
- Mormède, P.; Andanson, S.; Aupérin, B.; Beerda, B.; Guémené, D.; Malmkvist, J.; Manteca, X.; Manteuffel, G.; Prunet, P.; van Reenen, C.G.; et al. Exploration of the Hypothalamic–Pituitary–Adrenal Function as a Tool to Evaluate Animal Welfare. Physiol. Behav. 2007, 92, 317–339. [Google Scholar] [CrossRef]
- Zhang, W.; Didehvar, D.; Wang, G.; Yi, J.; Gilbert, E.R.; Cline, M.A. Anorexigenic Effect of Serotonin Is Associated with Changes in Hypothalamic Nuclei Activity in an Avian Model. Gen. Comp. Endocrinol. 2017, 246, 81–87. [Google Scholar] [CrossRef]
- Walzem, R.L.; Chen, S. Obesity-Induced Dysfunctions in Female Reproduction: Lessons from Birds and Mammals. Adv. Nutr. 2014, 5, 199–206. [Google Scholar] [CrossRef]
- Beldowska, A.; Barszcz, M.; Dunislawska, A. State of the Art in Research on the Gut-Liver and Gut-Brain Axis in Poultry. J. Anim. Sci. Biotechnol. 2023, 14, 37. [Google Scholar] [CrossRef]
- Dennis, R.L.; Cheng, H.W. The Dopaminergic System and Aggression in Laying Hens. Poult. Sci. 2011, 90, 2440–2448. [Google Scholar] [CrossRef]
- McNamara, C.G.; Dupret, D. Two Sources of Dopamine for the Hippocampus. Trends Neurosci. 2017, 40, 383–384. [Google Scholar] [CrossRef]
- Kasperek, K.; Jaworska-Adamu, J.; Krawczyk, A.; Rycerz, K.; Buszewicz, G.; Przygodzka, D.; Wójcik, G.; Blicharska, E.; Drabik, K.; Czech, A.; et al. Investigation of Structural and Neurobiochemical Differences in Brains from High-Performance and Native Hen Breeds. Sci. Rep. 2023, 13, 224. [Google Scholar] [CrossRef]
- Boissy, A.; Manteuffel, G.; Jensen, M.B.; Moe, R.O.; Spruijt, B.; Keeling, L.J.; Winckler, C.; Forkman, B.; Dimitrov, I.; Langbein, J.; et al. Assessment of Positive Emotions in Animals to Improve Their Welfare. Physiol. Behav. 2007, 92, 375–397. [Google Scholar] [CrossRef]
- D’Angio, M.; Serrano, A.; Driscoll, P.; Scatton, B. Stressful Environmental Stimuli Increase Extracellular DOPAC Levels in the Prefrontal Cortex of Hypoemotional (Roman High-Avoidance) but Not Hyperemotional (Roman Low-Avoidance) Rats. An in Vivo Voltammetric Study. Brain Res. 1988, 451, 237–247. [Google Scholar] [CrossRef]
- Tian, Y.; Eaton, M.J.; Goudreau, J.L.; Lookingland, K.J.; Moore, K.E. Neurochemical Evidence That 5-Hydroxytryptaminergic Neurons Tonically Inhibit Noradrenergic Neurons Terminating in the Hypothalamus. Brain Res. 1993, 607, 215–221. [Google Scholar] [CrossRef]
- Palermo-Neto, J. Dopaminergic Systems. Psychiatr. Clin. North Am. 1997, 20, 705–721. [Google Scholar] [CrossRef]
- Calefi, A.S.; Fonseca, J.G.d.S.; Nunes, C.A.d.Q.; Lima, A.P.N.; Quinteiro-Filho, W.M.; Flório, J.C.; Zager, A.; Ferreira, A.J.P.; Palermo-Neto, J. Heat Stress Modulates Brain Monoamines and Their Metabolites Production in Broiler Chickens Co-Infected with Clostridium perfringens Type A and Eimeria spp. Vet. Sci. 2019, 6, 4. [Google Scholar] [CrossRef]
- Bast, T.; Diekamp, B.; Thiel, C.; Schwarting, R.K.W.; Güntürkün, O. Functional Aspects of Dopamine Metabolism in the Putative Prefrontal Cortex Analogue and Striatum of Pigeons (Columba Livia). J. Comp. Neurol. 2002, 446, 58–67. [Google Scholar] [CrossRef]
- Yan, F.F.; Murugesan, G.R.; Cheng, H.W. Effects of Probiotic supplementation on Performance Traits, Bone Mineralization, Cecal Microbial Composition, Cytokines and Corticosterone in Laying Hens. Animal 2019, 13, 33–41. [Google Scholar] [CrossRef] [PubMed]
- Pineda-Quiroga, C.; Borda-Molina, D.; Chaves-Moreno, D.; Ruiz, R.; Atxaerandio, R.; Camarinha-Silva, A.; García-Rodríguez, A. Microbial and Functional Profile of the Ceca from Laying Hens Affected by Feeding Prebiotics, Probiotics, and Synbiotics. Microorganisms 2019, 7, 123. [Google Scholar] [CrossRef]
- Abdelqader, A.; Irshaid, R.; Al-Fataftah, A.-R. Effects of Dietary Probiotic Inclusion on Performance, Eggshell Quality, Cecal Microflora Composition, and Tibia Traits of Laying Hens in the Late Phase of Production. Trop. Anim. Health Prod. 2013, 45, 1017–1024. [Google Scholar] [CrossRef] [PubMed]
- Khan, S.; Moore, R.J.; Stanley, D.; Chousalkar, K.K. The Gut Microbiota of Laying Hens and Its Manipulation with Prebiotics and Probiotics To Enhance Gut Health and Food Safety. Appl. Environ. Microbiol. 2020, 86, e00600-20. [Google Scholar] [CrossRef] [PubMed]
- Lokapirnasari, W.P.; Pribadi, T.B.; Al Arif, A.; Soeharsono, S.; Hidanah, S.; Harijani, N.; Najwan, R.; Huda, K.; Wardhani, H.C.P.; Rahman, N.F.N.; et al. Potency of Probiotics Bifidobacterium spp. and Lactobacillus casei to Improve Growth Performance and Business Analysis in Organic Laying Hens. Vet. World 2019, 12, 860–867. [Google Scholar] [CrossRef] [PubMed]
- Neal-McKinney, J.M.; Lu, X.; Duong, T.; Larson, C.L.; Call, D.R.; Shah, D.H.; Konkel, M.E. Production of Organic Acids by Probiotic Lactobacilli Can Be Used to Reduce Pathogen Load in Poultry. PLoS ONE 2012, 7, e43928. [Google Scholar] [CrossRef]
Disclaimer/Publisher’s Note: The statements, opinions and data contained in all publications are solely those of the individual author(s) and contributor(s) and not of MDPI and/or the editor(s). MDPI and/or the editor(s) disclaim responsibility for any injury to people or property resulting from any ideas, methods, instructions or products referred to in the content. |
© 2024 by the authors. Licensee MDPI, Basel, Switzerland. This article is an open access article distributed under the terms and conditions of the Creative Commons Attribution (CC BY) license (https://creativecommons.org/licenses/by/4.0/).






