Influence of Metal Wall Materials and Process Parameters on the Adhesion Behavior of Airborne Powder Particles
Abstract
1. Introduction
2. Materials and Methods
2.1. Materials
2.2. Powder Preparation
2.3. Test Rig
2.4. Experimental Procedure
2.5. Statistical Analysis
2.6. Contact Angle
2.7. Roughness and Surface Acquisition
2.8. Air and Particle Swarm Velocity
3. Results
3.1. Roughness of the Wall Materials
3.2. Surface Energy of Wall Materials
3.3. Influence of Process Parameters
3.3.1. Influence of Rolling or Drawing Lines on the Plates and the Plate Thickness
3.3.2. Effect of Grounding and the Application of the Deionizing Air Gun
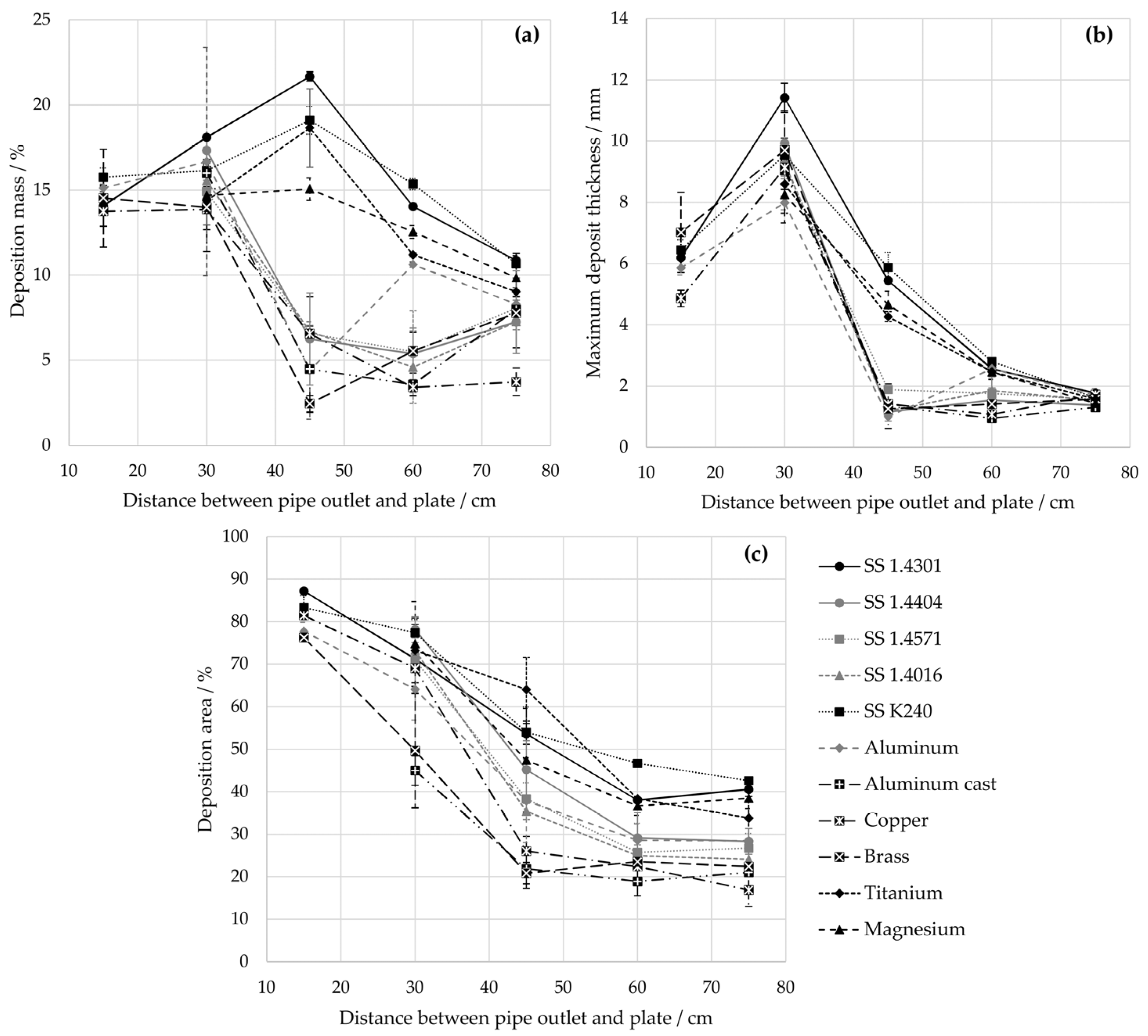
3.4. Influence of Wall Materials with Lactose B
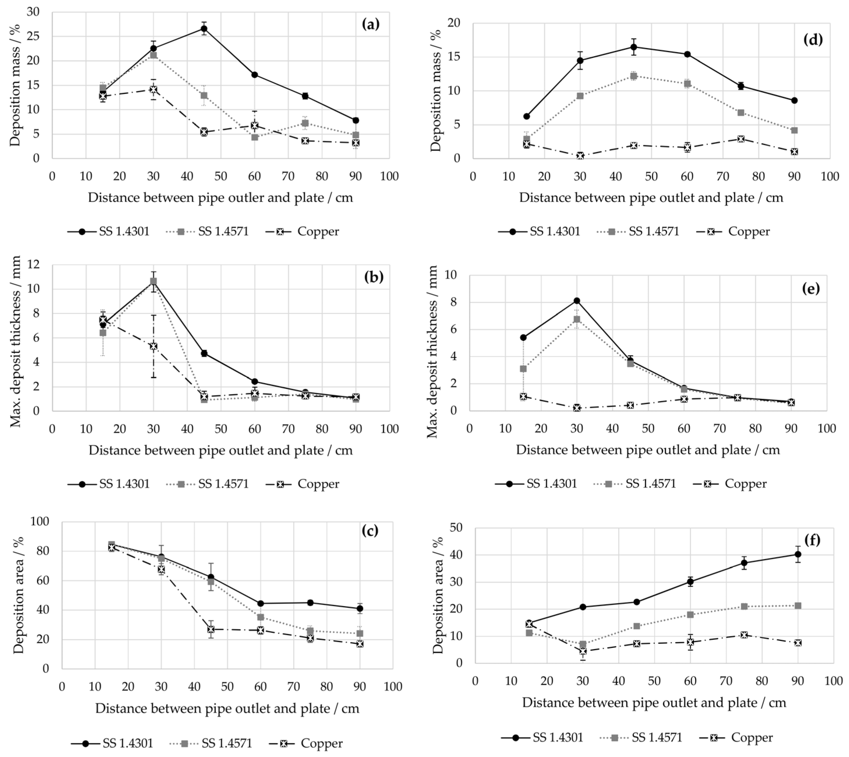
3.5. Influence of Wall Materials with Other Powders
4. Discussion
4.1. Influence of Large-Scale Plate Structures and Grounding
4.2. Analysis of the Influence of Surface Energy and Plate Roughness
5. Conclusions
Author Contributions
Funding
Data Availability Statement
Acknowledgments
Conflicts of Interest
Appendix A
| Substance | SS 1.4301 | SS 1.4404 | SS 1.4571 | SS 1.4016 | SS K240 x-Axis | |||||
|---|---|---|---|---|---|---|---|---|---|---|
| CA/° | SD/° | CA/° | SD/° | CA/° | SD/° | CA/° | SD/° | CA/° | SD/° | |
| Water | 76.23 | 0.53 | 81.44 | 1.64 | 80.83 | 0.47 | 73.29 | 0.71 | 90.77 | 1.33 |
| Ethylene glycol | 63.85 | 0.64 | 68.71 | 0.67 | 71.33 | 0.28 | 58.14 | 0.41 | 83.81 | 1.26 |
| Dimethyl sulfoxide | 50.10 | 0.33 | 55.93 | 1.47 | 55.07 | 0.51 | 40.50 | 0.86 | 62.93 | 0.41 |
| Diiodo-methane | 63.82 | 0.65 | 65.83 | 0.87 | 65.65 | 0.41 | 48.15 | 0.82 | 74.56 | 0.96 |
| Glycerol | 63.76 | 0.88 | 85.99 | 1.31 | - | - | 69.34 | 0.76 | 89.32 | 0.87 |
| 1-octanol | 19.72 | 0.35 | 19.49 | 0.94 | 18.03 | 1.13 | - | - | 12.86 | 0.79 |
| 1-decanol | 23.34 | 0.27 | 19.40 | 1.33 | 19.91 | 0.55 | 14.44 | 0.28 | 20.19 | 1.16 |
| Substance | SS K240 y-Axis | Aluminum x-Axis | Aluminum y-Axis | Aluminum Cast | Copper | |||||
|---|---|---|---|---|---|---|---|---|---|---|
| CA/° | SD/° | CA/° | SD/° | CA/° | SD/° | CA/° | SD/° | CA/° | SD/° | |
| Water | 75.01 | 1.29 | 84.12 | 0.44 | 84.58 | 1.19 | 90.65 | 0.61 | 96.34 | 0.18 |
| Ethylene glycol | 57.36 | 1.35 | 64.77 | 0.81 | 63.03 | 0.27 | 66.88 | 0.8 | 76.71 | 0.66 |
| Dimethyl sulfoxide | 41.84 | 0.28 | 51.94 | 1.07 | 58.43 | 1.13 | 54.97 | 0.61 | 67.97 | 0.53 |
| Diiodo-methane | 64.69 | 0.68 | 57.04 | 0.61 | 63.95 | 1.24 | 57.08 | 0.98 | 64.34 | 0.38 |
| Glycerol | 67.65 | 0.23 | 77.15 | 0.35 | 73.26 | 0.78 | 79.77 | 1.17 | 80.09 | 1.94 |
| 1-octanol | - | - | 8.10 | 0.96 | 14.33 | 1.02 | - | - | 20.35 | 0.82 |
| 1-decanol | - | - | 12.93 | 1.71 | 12.66 | 0.71 | - | - | - | - |
| Substance | Brass | Titanium | Magnesium x-Axis | Magnesium y-Axis | ||||
|---|---|---|---|---|---|---|---|---|
| CA/° | SD/° | CA/° | SD/° | CA/° | SD/° | CA/° | SD/° | |
| Water | 87.53 | 0.85 | 74.50 | 0.51 | 99.52 | 1.12 | 57.77 | 0.96 |
| Ethylene glycol | 77.84 | 0.52 | 61.50 | 1.20 | 96.93 | 0.61 | 65.51 | 0.33 |
| Dimethyl sulfoxide | 64.02 | 0.45 | 50.12 | 0.50 | 72.88 | 1.29 | 48.61 | 0.55 |
| Diiodo-methane | 70.25 | 0.44 | 56.16 | 0.49 | 85.30 | 1.14 | 58.59 | 0.69 |
| Glycerol | 81.48 | 0.84 | 74.42 | 1.20 | 105.77 | 1.84 | 80.88 | 0.31 |
| 1-octanol | 30.16 | 0.96 | 16.82 | 0.17 | - | - | - | - |
| 1-decanol | 31.03 | 0.57 | 20.42 | 0.40 | - | - | - | - |
References
- Shekunov, B.Y.; Chattopadhyay, P.; Tong, H.H.Y.; Chow, A.H.L. Particle Size Analysis in Pharmaceutics: Principles, Methods and Applications. Pharm. Res. 2007, 24, 203–227. [Google Scholar] [CrossRef] [PubMed]
- Ainurofiq, A.; Suryanto, A.A.; Beltiartono, B.S.; Merdekawati, N.A.; Ardiyani, N.P.; Farohma, Q.Y.C.; Budiman, A.; Wardhana, Y.W.; Nugraha, Y.P. Literature Review: The Role of Particle Size Distribution in Drug Delivery. Multidiscip. Rev. 2025, 8, 2025269. [Google Scholar] [CrossRef]
- Nijhu, R.S.; Khatun, A.; Hossen, M.F. A Comprehensive Review of Particle Size Analysis Techniques. Int. J. Pharm. Res. Dev. 2024, 6, 01–05. [Google Scholar] [CrossRef]
- Muehlenfeld, C.; Kann, B.; Windbergs, M.; Thommes, M. Solid Dispersions Prepared by Continuous Cogrinding in an Air Jet Mill. J. Pharm. Sci. 2023, 102, 4132–4139. [Google Scholar] [CrossRef]
- Murdande, S.B.; Shah, D.A.; Dave, R.H. Impact of Nanosizing on Solubility and Dissolution Rate of Poorly Soluble Pharmaceuticals. J. Pharm. Sci. 2015, 104, 2094–2102. [Google Scholar] [CrossRef]
- Silva, D.G.E.; Sarruf, F.D.; Oliveira, L.C.D.D.; Arêas, E.P.G.; Kaneko, T.M.; Consiglieri, V.O.; Velasco, M.V.R.; Baby, A.R. Influence of Particle Size on Appearance and in Vitro Efficacy of Sunscreens. Braz. J. Pharm. Sci. 2013, 49, 251–261. [Google Scholar] [CrossRef]
- Venkataramani, D.; Tsulaia, A.; Amin, S. Fundamentals and Applications of Particle Stabilized Emulsions in Cosmetic Formulations. Adv. Colloid. Interface Sci. 2020, 283, 102234. [Google Scholar] [CrossRef]
- Guinard, J.-X.; Mazzucchelli, R. The Sensory Perception of Texture and Mouthfeel. Trends Food Sci. Technol. 1996, 7, 213–219. [Google Scholar] [CrossRef]
- Analytical Characterization of Mouthfeel in Chocolate; White Paper; NETZSCH-Gerätebau GmbH: Selb, Germany, 2022.
- Emorine, M.; Septier, C.; Thomas-Danguin, T.; Salles, C. Ham Particle Size Influences Saltiness Perception in Flans. J. Food Sci. 2014, 79, S693–S696. [Google Scholar] [CrossRef]
- Song, J.; Qin, J.; Qu, J.; Song, Z.; Zhang, W.; Xue, X.; Shi, Y.; Zhang, T.; Ji, W.; Zhang, R.; et al. The Effects of Particle Size Distribution on the Optical Properties of Titanium Dioxide Rutile Pigments and Their Applications in Cool Non-White Coatings. Sol. Energy Mater. Sol. Cells 2014, 130, 42–50. [Google Scholar] [CrossRef]
- Gueli, A.M.; Bonfiglio, G.; Pasquale, S.; Troja, S.O. Effect of Particle Size on Pigments Colour. Color Res. Appl. 2017, 42, 236–243. [Google Scholar] [CrossRef]
- Zong, S.; Chang, C.; Rem, P.; Gebremariam, A.T.; Di Maio, F.; Lu, Y. Research on the Influence of Particle Size Distribution of High-Quality Recycled Coarse Aggregates on the Mechanical Properties of Recycled Concrete. Constr. Build. Mater. 2025, 465, 140253. [Google Scholar] [CrossRef]
- Ding, D.; Li, J.; Li, R.; Zhang, L.; Hou, C.; Xiao, G.; Chong, X.; Luo, J.; Deng, P. Effects of Particle Size in Silica Sol on the Mechanical and Thermal Properties of SiO2f/SiO2 Composites. Int. J. Appl. Ceram. Technol. 2023, 20, 1865–1874. [Google Scholar] [CrossRef]
- Rajpoot, S.; Ha, J.-H.; Kim, Y.-W. Effects of Initial Particle Size on Mechanical, Thermal, and Electrical Properties of Porous SiC Ceramics. Ceram. Int. 2021, 47, 8668–8676. [Google Scholar] [CrossRef]
- Bakil, S.N.A.; Dibrova, S.; Breitung-Faes, S.; Mucsi, G. Optimizing coal gangue reactivity for geopolymer applications: A comprehensive study on high-energy grinding parameters. Powder Technol. 2025, 466, 121441. [Google Scholar] [CrossRef]
- Calvert, G.; Lawson, S.; Bilton, M. Let Them Beat Cake. Innovations in Pharmaceutical Technology. 2013, pp. 42–45. Available online: https://www.iptonline.com/ (accessed on 15 March 2026).
- Kota, K.; Langrish, T.A.G. Fluxes and Patterns of Wall Deposits for Skim Milk in a Pilot-Scale Spray Dryer. Dry. Technol. 2006, 24, 993–1001. [Google Scholar] [CrossRef]
- Ozmen, L.; Langrish, T.A.G. An Experimental Investigation of the Wall Deposition of Milk Powder in a Pilot-Scale Spray Dryer. Dry. Technol. 2003, 21, 1253–1272. [Google Scholar] [CrossRef]
- Murti, R.A.; Paterson, A.T.H.J.; Pearce, D.; Bronlund, J.E. The Influence of Particle Velocity on the Stickiness of Milk Powder. Int. Dairy J. 2010, 20, 121–127. [Google Scholar] [CrossRef]
- Rennie, P.R.; Chen, X.D.; Mackereth, A.R. Adhesion Characteristics of Whole Milk Powder to a Stainless Steel Surface. Powder Technol. 1998, 97, 191–199. [Google Scholar] [CrossRef]
- Sundararajan, P.; Moser, J.; Williams, L.; Chiang, T.; Riordan, C.; Metzger, M.; Zhang-Plasket, F.; Wang, F.; Collins, J.; Williams, J. Driving Spray Drying towards Better Yield: Tackling a Problem That Sticks Around. Pharmaceutics 2023, 15, 2137. [Google Scholar] [CrossRef]
- Krupp, H. Particle adhesion theory and experiment. Adv. Colloid Interface Sci. 1967, 1, 111–239. [Google Scholar] [CrossRef]
- Salazar-Banda, G.R.; Felicetti, M.A.; Gonçalves, J.A.S.; Coury, J.R.; Aguiar, M.L. Determination of the Adhesion Force between Particles and a Flat Surface, Using the Centrifuge Technique. Powder Technol. 2007, 173, 107–117. [Google Scholar] [CrossRef]
- Ozmen, L.; Langrish, T.A.G. Experimental Investigation into Wall Deposition of Milk Powder in Spray Dryers. Dev. Chem. Eng. Miner. Process. 2005, 13, 91–108. [Google Scholar] [CrossRef]
- Zuo, J.Y.; Paterson, A.H.; Bronlund, J.E.; Chatterjee, R. Using a Particle-Gun to Measure Initiation of Stickiness of Dairy Powders. Int. Dairy J. 2007, 17, 268–273. [Google Scholar] [CrossRef]
- Murti, R.A.; Paterson, A.T.H.J.; Pearce, D.L.; Bronlund, J.E. Stickiness of Skim Milk Powder Using the Particle Gun Technique. Int. Dairy J. 2009, 19, 137–141. [Google Scholar] [CrossRef]
- Woo, M.W.; Wan Daud, W.R.; Tasirin, S.M.; Talib, M.Z.M. Effect of Wall Surface Properties at Different Drying Kinetics on the Deposition Problem in Spray Drying. Dry. Technol. 2007, 26, 15–26. [Google Scholar] [CrossRef]
- Woo, M.W.; Daud, W.R.W.; Tasirin, S.M.; Talib, M.Z.M. Controlling Food Powder Deposition in Spray Dryers: Wall Surface Energy Manipulation as an Alternative. J. Food Eng. 2009, 94, 192–198. [Google Scholar] [CrossRef]
- Bhandari, B.; Howes, T. Relating the Stickiness Property of Foods Undergoing Drying and Dried Products to Their Surface Energetics. Dry. Technol. 2005, 23, 781–797. [Google Scholar] [CrossRef]
- Fitzpatrick, J.J.; Barry, K.; Cerqueira, P.S.M.; Iqbal, T.; O’Neill, J.; Roos, Y.H. Effect of Composition and Storage Conditions on the Flowability of Dairy Powders. Int. Dairy J. 2007, 17, 383–392. [Google Scholar] [CrossRef]
- Schwedes, J. Measurement of Powder Properties for Hopper Design. J. Eng. Ind. 1973, 95, 55–59. [Google Scholar] [CrossRef]
- Blanco, D.; Antikainen, O.; Räikkönen, H.; Mah, P.T.; Healy, A.M.; Juppo, A.M.; Yliruusi, J. Image-Based Characterization of Powder Flow to Predict the Success of Pharmaceutical Minitablet Manufacturing. Int. J. Pharm. 2020, 581, 119280. [Google Scholar] [CrossRef]
- Paterson, A.H.J.; Brooks, G.F.; Bronlund, J.E.; Foster, K.D. Development of Stickiness in Amorphous Lactose at Constant T−Tg Levels. Int. Dairy J. 2005, 15, 513–519. [Google Scholar] [CrossRef]
- Paterson, A.H.J.; Bröckel, U. Caking Development in Lemon Juice Powder. Procedia Eng. 2015, 102, 142–149. [Google Scholar] [CrossRef]
- Werner, S.R.L.; Fanshawe, R.L.; Paterson, A.T.H.J.; Jones, J.R.; Pearce, D.L. Stickiness of Corn Syrup Powders by Fluidised Bed Test. Int. J. Food Eng. 2006, 2, 1. [Google Scholar] [CrossRef]
- Intipunya, P.; Shrestha, A.; Howes, T.; Bhandari, B. A Modified Cyclone Stickiness Test for Characterizing Food Powders. J. Food Eng. 2009, 94, 300–306. [Google Scholar] [CrossRef]
- Boonyai, P.; Bhandari, B.; Howes, T. Stickiness Measurement Techniques for Food Powders: A Review. Powder Technol. 2004, 145, 34–46. [Google Scholar] [CrossRef]
- Hennigs, C.; Kockel, T.K.; Langrish, T.A.G. New measurements of the sticky behavior of skim milk powder. Dry. Technol. 2001, 19, 471–484. [Google Scholar] [CrossRef]
- Petean, P.G.C.; Aguiar, M.L. Determining the Adhesion Force between Particles and Rough Surfaces. Powder Technol. 2015, 274, 67–76. [Google Scholar] [CrossRef]
- Stevenson, C.; Monroe, J.; Vazquez, J.M.; Jones, O.; Zhang, R.; Main, E.; Upton, J.; Cheah, W.; Park, S.; Nobbe, B.; et al. The Effects of Humidity on the Adhesion of Pharmaceutical Excipients to Steel Surfaces. Powder Technol. 2024, 435, 119160. [Google Scholar] [CrossRef]
- Stevenson, C.A.; Monroe, J.E.; Norris, C.G.; Roginski, A.R.; Beaudoin, S.P. The Effects of Surface and Particle Properties on van Der Waals (VdW) Adhesion Quantified by the Enhanced Centrifuge Method. Powder Technol. 2021, 392, 514–523. [Google Scholar] [CrossRef]
- Röck, M.; Schwedes, J. Investigations on the Caking Behaviour of Bulk Solids—Macroscale Experiments. Powder Technol. 2005, 157, 121–127. [Google Scholar] [CrossRef]
- Röck, M.; Ostendorf, M.; Schwedes, J. Development of an Uniaxial Caking Tester. Chem. Eng. Technol. 2006, 29, 679–685. [Google Scholar] [CrossRef]
- Weigl, B.; Pengiran, Y.; Feise, H.J.; Röck, M.; Janssen, R. Comparative Testing of Powder Caking. Chem. Eng. Technol. 2006, 29, 686–690. [Google Scholar] [CrossRef]
- Pietsch, W.; Hoffman, E.; Rumpf, H. Tensile Strength of Moist Agglomerates. Ind. Eng. Chem. Prod. Res. Dev. 1969, 8, 58–62. [Google Scholar] [CrossRef]
- Nikolakakis, I.; Pilpel, N. Effects of Particle Shape and Size on the Tensile Strengths of Powders. Powder Technol. 1988, 56, 95–103. [Google Scholar] [CrossRef]
- Pierrat, P.; Caram, H.S. Tensile Strength of Wet Granula Materials. Powder Technol. 1997, 91, 83–93. [Google Scholar] [CrossRef]
- Walker, G.M.; Holland, C.R.; Ahmad, M.N.; Fox, J.N.; Kells, A.G. Granular Fertilizer Agglomeration in Accelerated Caking Tests. Ind. Eng. Chem. Res. 1999, 38, 4100–4103. [Google Scholar] [CrossRef]
- Knight, P.C.; Johnson, S.H. Measurement of Powder Cohesive Strength with a Penetration Test. Powder Technol. 1988, 54, 279–283. [Google Scholar] [CrossRef]
- Özkan, N.; Walisinghe, N.; Chen, X.D. Characterization of Stickiness and Cake Formation in Whole and Skim Milk Powders. J. Food Eng. 2002, 55, 293–303. [Google Scholar] [CrossRef]
- Özkan, N.; Withy, B.; Dong Chen, X. Effects of Time, Temperature, and Pressure on the Cake Formation of Milk Powders. J. Food Eng. 2003, 58, 355–361. [Google Scholar] [CrossRef]
- Hassanpour, A.; Ghadiri, M. Characterisation of Flowability of Loosely Compacted Cohesive Powders by Indentation. Part. Part. Syst. Charact. 2007, 24, 117–123. [Google Scholar] [CrossRef]
- Wang, C.; Hassanpour, A.; Ghadiri, M. Characterisation of Flowability of Cohesive Powders by Testing Small Quantities of Weak Compacts. Particuology 2008, 6, 282–285. [Google Scholar] [CrossRef]
- Pasha, M.; Hare, C.; Hassanpour, A.; Ghadiri, M. Analysis of Ball Indentation on Cohesive Powder Beds Using Distinct Element Modelling. Powder Technol. 2013, 233, 80–90. [Google Scholar] [CrossRef]
- Aguilera, J.; Del Valle, J.; Karel, M. Caking Phenomena in Amorphous Food Powders. Trends Food Sci. Technol. 1995, 6, 149–155. [Google Scholar] [CrossRef]
- Irani, R.R.; Callis, C.F.; Liu, T. Flow Conditioning Anticaking Agents. Ind. Eng. Chem. 1959, 51, 1285–1288. [Google Scholar] [CrossRef]
- Cleaver, J.A.S.; Karatzas, G.; Louis, S.; Hayati, I. Moisture-Induced Caking of Boric Acid Powder. Powder Technol. 2004, 146, 93–101. [Google Scholar] [CrossRef]
- Lockemann, C.A. A New Laboratory Method to Characterize the Sticking Properties of Free-Flowing Solids. Chem. Eng. Process. Process Intensif. 1999, 38, 301–306. [Google Scholar] [CrossRef]
- Lloyd, R.J.; Dong Chen, X.; Hargreaves, J.B. Glass Transition and Caking of Spray-Dried Lactose. Int. J. Food Sci. Technol. 1996, 31, 305–311. [Google Scholar] [CrossRef]
- Chung, M.-S.; Ruan, R.R.; Chen, P.; Chung, S.-H.; Ahn, T.-H.; Lee, K.-H. Study of Caking in Powdered Foods Using Nuclear Magnetic Resonance Spectroscopy. J. Food Sci. 2000, 65, 134–138. [Google Scholar] [CrossRef]
- Chung, M.-S.; Ruan, R.; Chen, P.; Kim, J.-H.; Ahn, T.-H.; Baik, C.-K. Predicting Caking Behaviors in Powdered Foods Using a Low-Field Nuclear Magnetic Resonance (NMR) Technique. LWT-Food Sci. Technol. 2003, 36, 751–761. [Google Scholar] [CrossRef]
- Schmitz, S. Rekristallisation von teilamorpher und amorpher Laktose: Charakterisierung von physiko-chemischen Eigenschaften und Tablettierbarkeit. Ph.D. Thesis, Rheinische Friedrich-Wilhelms-Universität Bonn, Bonn, Germany, 2011. Available online: https://nbn-resolving.org/urn:nbn:de:hbz:5N-25683 (accessed on 24 June 2025).
- Schindelin, J.; Arganda-Carreras, I.; Frise, E.; Kaynig, V.; Longair, M.; Pietzsch, T.; Preibisch, S.; Rueden, C.; Saalfeld, S.; Schmid, B.; et al. Fiji: An Open-Source Platform for Biological-Image Analysis. Nat. Methods 2012, 9, 676–682. [Google Scholar] [CrossRef] [PubMed]
- Young, T. An Essay on the Cohesion of Fluids. Philos. Trans. R. Soc. 1805, 95, 65–87. [Google Scholar] [CrossRef]
- Owens, D.K.; Wendt, R.C. Estimation of the Surface Free Energy of Polymers. J. Appl. Polym. Sci. 1969, 13, 1741–1747. [Google Scholar] [CrossRef]
- DIN EN ISO 25178-2; Geometrische Produktspezifikation (GPS)-Oberflächenbeschaffenheit: Flächenhaft. Teil 2, Begriffe und Kenngrößen für die Oberflächenbeschaffenheit (Geometrical Product Specifications (GPS)-Surface texture: Areal. Part 2, Terms, Definitions and Surface Texture Parameters. Beuth Verlag GmbH, DIN Deutsches Institut für Normung E.V.: Berlin, Germany, 2023.
- Carter, P.A.; Rowley, G.; Fletcher, E.J.; Hill, E.A. An Experimental Investigation of Triboelectrification in Cohesive and Non-Cohesive Pharmaceutical Powders. Drug Dev. Ind. Pharm. 1992, 18, 1505–1526. [Google Scholar] [CrossRef]
- Wünsch, I.; Finke, J.H.; John, E.; Juhnke, M.; Kwade, A. A Mathematical Approach to Consider Solid Compressibility in the Compression of Pharmaceutical Powders. Pharmaceutics 2019, 11, 121. [Google Scholar] [CrossRef]
- Wünsch, I.; Michel, S.; Finke, J.H.; John, E.; Juhnke, M.; Kwade, A. How Can Single Particle Compression and Nanoindentation Contribute to the Understanding of Pharmaceutical Powder Compression? Eur. J. Pharm. Biopharm. 2021, 165, 203–218. [Google Scholar] [CrossRef]











| Identifier | Composition/Material Number | Manufacturer |
|---|---|---|
| SS 1.4301 | X5CrNi18-10/1.4301 | Hans Abraham Metallbau GmbH, Wendelstein, Germany |
| SS K240 | X5CrNi18-10/1.4301 | Hans Abraham Metallbau GmbH |
| SS 1.4016 | X6Cr17/1.4016 | Hans-Erich Gemmel & Co. GmbH, Berlin, Germany |
| SS 1.4404 | X2CrNiMo17 12 2/1.4404 | Hans-Erich Gemmel & Co. GmbH |
| SS 1.4571 | X6CrNiMoTi17 12 2/1.4571 | Hans-Erich Gemmel & Co. GmbH |
| Titanium | Ti2/3.7035 Gr.2 | Hans-Erich Gemmel & Co. GmbH |
| Magnesium | MgAl3Zn1/AZ31B | Hans-Erich Gemmel & Co. GmbH |
| Aluminum cast | AlMg4, 5Mn/GEMPLAN 5083 Plus | Hans-Erich Gemmel & Co. GmbH |
| Copper | -/- | Modulor GmbH, Berlin, Germany |
| Brass | CuZn37/CW508L | Modulor GmbH |
| Aluminum | -/- | Modulor GmbH |
| Substance | Surface Tension γL/mN/m | Polar Component γLP/mN/m | Dispersive Component γLD/mN/m |
|---|---|---|---|
| Water | 72.8 | 51.0 | 21.8 |
| Ethylene glycol | 47.7 | 21.3 | 26.4 |
| Dimethyl sulfoxide | 43.5 | 8.6 | 34.9 |
| Diiodo-methane | 50.8 | 0.0 | 50.8 |
| Glycerol | 63.4 | 26.4 | 37.0 |
| 1-octanol | 27.6 | 6.3 | 21.3 |
| 1-decanol | 28.5 | 6.3 | 22.2 |
| Wall Material | Roughness/µm | ||
|---|---|---|---|
| Sq | Sz | Sa | |
| SS 1.4301 | 0.60 | 8.59 | 0.43 |
| SS 1.4404 | 0.28 | 3.12 | 0.21 |
| SS 1.4571 | 0.36 | 4.35 | 0.28 |
| SS 1.4016 | 0.07 | 3.03 | 0.04 |
| SS K240 | 0.79 | 6.72 | 0.58 |
| Aluminum | 0.22 | 3.31 | 0.17 |
| Aluminum cast | 0.27 | 2.53 | 0.21 |
| Copper | 0.09 | 1.21 | 0.07 |
| Brass | 0.22 | 5.59 | 0.16 |
| Titanium | 0.26 | 2.39 | 0.20 |
| Magnesium | 0.48 | 4.22 | 0.38 |
| Wall Material | Surface Energy γS/mN/m | Polar Component γSP/mN/m | Dispersive Component γSD/mN/m | R2 |
|---|---|---|---|---|
| SS 1.4301 | 30.02 | 9.39 | 20.63 | 0.9025 |
| SS 1.4404 | 26.19 | 5.97 | 20.22 | 0.8063 |
| SS 1.4571 | 27.46 | 6.67 | 20.79 | 0.8884 |
| SS 1.4016 | 33.84 | 7.42 | 26.42 | 0.8302 |
| SS K240 -x-axis -y-axis | 27.87 23.03 32.71 | 6.05 3.04 9.07 | 21.82 20.00 23.65 | 0.8173 0.6679 0.9666 |
| Aluminum | 28.68 | 4.77 | 23.91 | 0.9245 |
| Aluminum cast | 29.44 | 2.10 | 27.34 | 0.9077 |
| Copper | 25.52 | 1.52 | 24.00 | 0.8203 |
| Brass | 23.76 | 4.48 | 19.27 | 0.8666 |
| Titanium | 30.09 | 8.43 | 21.66 | 0.8431 |
| Magnesium -x-axis -y-axis | 24.06 14.38 33.74 | 9.22 2.14 16.31 | 14.84 12.24 17.43 | 0.6230 0.5266 0.7194 |
| Adhesion Tendency | D/P/- | Material |
|---|---|---|
| Deposition area ↑ | 1.1–2.6 | Magnesium, SS 1.4301, SS K240, titanium. |
| Deposition area → | 3.1–5.0 | SS 1.4404, SS 1.4571, SS 1.4016, aluminum. |
| Deposition area ↓ | 13.0–15.8 | Aluminum cast, copper. |
Disclaimer/Publisher’s Note: The statements, opinions and data contained in all publications are solely those of the individual author(s) and contributor(s) and not of MDPI and/or the editor(s). MDPI and/or the editor(s) disclaim responsibility for any injury to people or property resulting from any ideas, methods, instructions or products referred to in the content. |
© 2026 by the authors. Licensee MDPI, Basel, Switzerland. This article is an open access article distributed under the terms and conditions of the Creative Commons Attribution (CC BY) license.
Share and Cite
Dibrova, S.; Breitung, S. Influence of Metal Wall Materials and Process Parameters on the Adhesion Behavior of Airborne Powder Particles. Powders 2026, 5, 11. https://doi.org/10.3390/powders5020011
Dibrova S, Breitung S. Influence of Metal Wall Materials and Process Parameters on the Adhesion Behavior of Airborne Powder Particles. Powders. 2026; 5(2):11. https://doi.org/10.3390/powders5020011
Chicago/Turabian StyleDibrova, Sofiia, and Sandra Breitung. 2026. "Influence of Metal Wall Materials and Process Parameters on the Adhesion Behavior of Airborne Powder Particles" Powders 5, no. 2: 11. https://doi.org/10.3390/powders5020011
APA StyleDibrova, S., & Breitung, S. (2026). Influence of Metal Wall Materials and Process Parameters on the Adhesion Behavior of Airborne Powder Particles. Powders, 5(2), 11. https://doi.org/10.3390/powders5020011
