Mechanochemical Synthesis and DC Electrical Conductivity of PANI-Based MWCNT Containing Nanocomposites with Te0 and Bi2Te3 Thermoelectric Nanophase
Abstract
1. Introduction
2. Experimental Section
2.1. Materials
2.2. Synthesis Techniques
2.2.1. Synthesis of ES-PANI
2.2.2. Synthesis of PEG-Stabilized Te0 Nanoparticles
2.2.3. Synthesis of PEG-Stabilized Bi2Te3 Nanoparticles
2.2.4. Mechanochemical Synthesis of PANI-Te0 Nanocomposite
2.2.5. Mechanochemical Synthesis of PANI-Bi2Te3 Nanocomposite
2.2.6. MWCNT-Doping of ES-PANI-Based Nanocomposites
2.3. Characterization Methods and Equipment
2.3.1. Elemental Analysis
2.3.2. IR Spectroscopy
2.3.3. X-ray Diffractometry
2.3.4. UV-Vis Spectroscopy
2.3.5. Direct Current Electrical Conductivity Measurement
3. Results and Discussion
3.1. Synthesis of ES-PANI
3.2. Synthesis of ES-PANI-Based Nanocomposites with Te0 and Bi2Te3 Nanoparticles
3.3. IR Spectroscopy
3.4. XRD Analysis
3.5. UV-Vis Spectroscopy
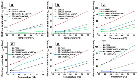
3.6. DC Electrical Conductivity
4. Conclusions
Author Contributions
Funding
Institutional Review Board Statement
Informed Consent Statement
Data Availability Statement
Acknowledgments
Conflicts of Interest
Abbreviations
| DC | direct current |
| ES-PANI | polyaniline emeraldine salt |
| MWCNT | multi-walled carbon nanotube |
| PANI | polyaniline |
| PEG | poly(ethylene glycol) |
| PPy | polypyrrole |
| VRH model | Mott’s Variable range hopping model |
| ZT | thermoelectric figure of merit |
References
- Li, J.; Huckleby, A.B.; Zhang, M. Polymer-based thermoelectric materials: A review of power factor improving strategies. J. Mater. 2022, 8, 204–220. [Google Scholar] [CrossRef]
- Wang, Y.; Liu, G.; Ming, S.; Yu, C.; Deng, Y. Flexible thermopower generation over broad temperature range by PANI/nanorod hybrid-based p-n couples. J. Mater. Chem. A 2019, 7, 1718–1724. [Google Scholar] [CrossRef]
- Nandihalli, N.; Liu, C.J.; Mori, T. Polymer based thermoelectric nanocomposite materials and devices: Fabrication and characteristics. Nano Energy. 2020, 78, 105186. [Google Scholar] [CrossRef]
- Liu, S.; Li, H.; Li, P.; Liu, Y.; He, C. Recent Advances in Polyaniline-Based Thermoelectric Composites. CCS Chem. 2021, 3, 2547–2560. [Google Scholar] [CrossRef]
- Beygisangchin, M.; Rashid, S.A.; Shafie, S.; Sadrolhosseini, A.R.; Lim, H.N. Preparations, Properties, and Applications of Polyaniline and Polyaniline Thin Films—A Review. Polymers 2021, 13, 2003. [Google Scholar] [CrossRef] [PubMed]
- Chulkin, P.; Lapkowski, M. An Insight into Ionic Conductivity of Polyaniline Thin Films. Materials 2020, 13, 2877. [Google Scholar] [CrossRef] [PubMed]
- Al-Haidary, N.; Al-Mokaram, A.M.; Hussein, F.M.; Ismail, A.H. Development of polyaniline for sensor applications: A review. J. Phys. Conf. Ser. 2021, 1853, 012062. [Google Scholar] [CrossRef]
- Zhang, L.; Wang, B.; Li, L.; Xu, G.; Dou, S.; Zhang, X.; Chen, X.; Zhao, J.; Zhang, K.; Li, Y. Further understanding of the mechanisms of electrochromic devices with variable infrared emissivity based on polyaniline conducting polymers. J. Mater. Chem. C 2019, 7, 9878–9891. [Google Scholar] [CrossRef]
- Canales, M.; Torras, J.; Fabregat, G.; Meneguzzi, A.; Aleman, C. Polyaniline emeraldine salt in the amorphous solid state: Polaron versus bipolaron. J. Phys. Chem. B 2014, 118, 11552–11562. [Google Scholar] [CrossRef]
- Sanches, E.A.; Soares, J.C.; Iost, R.M.; Marangoni, V.S.; Trovati, G.; Batista, T.; Mafud, A.C.; Zucolotto, V.; Mascarenhas, Y.P. Structural Characterization of Emeraldine-Salt Polyaniline/Gold Nanoparticles Complexes. J. Nanomater. 2011, 2011, 697071. [Google Scholar] [CrossRef]
- Gilhotra, C.; Chander, M. A review: Conducting polyaniline polymer. AIP Conf. Proc. 2019, 2142, 150008. [Google Scholar] [CrossRef]
- Wang, Y.; Zhang, S.M.; Deng, Y. Flexible low-grade energy utilization devices based on high-performance thermoelectric polyaniline/tellurium nanorod hybrid films. J. Mater. Chem. A. 2016, 4, 3554–3559. [Google Scholar] [CrossRef]
- Nandihalli, N. Imprints of interfaces in thermoelectric materials. Crit. Rev. Solid State 2023, 48, 361–410. [Google Scholar] [CrossRef]
- Wang, L.; Yao, Q.; Shi, W.; Qu, S.; Chen, L. Engineering Carrier Scattering at the Interfaces in Polyaniline Based Nanocomposites for High Thermoelectric Performances. Mater. Chem. Front. 2017, 1, 741–748. [Google Scholar] [CrossRef]
- Wang, Y.; Yu, C.; Sheng, M.; Song, S.; Deng, Y. Individual Adjustment of Electrical Conductivity and Thermopower Enabled by Multiple Interfaces in Polyaniline-Based Ternary Hybrid Nanomaterials for High Thermoelectric Performances. Adv. Mater. Interfaces 2018, 5, 1701168. [Google Scholar] [CrossRef]
- Wang, Y.Y.; Cai, K.F.; Yin, J.L.; An, B.J.; Du, Y.; Yao, X. In situ fabrication and thermoelectric properties of PbTe—Polyaniline composite nanostructures. J. Nanopart. Res. 2011, 13, 533–539. [Google Scholar] [CrossRef]
- Mitra, M.; Kulsi, C.; Kargupta, K.; Ganguly, S.; Banerjee, D. Composite of polyaniline-bismuth selenide with enhanced thermoelectric performance. J. Appl. Polym. Sci. 2019, 135, 46887. [Google Scholar] [CrossRef]
- Li, Y.; Zhao, Q.; Wang, Y.-G.; Bi, K. Synthesis and characterization of Bi2Te3/polyaniline composites. Mat. Sci. Semiconduct. Proc. 2011, 14, 219–222. [Google Scholar] [CrossRef]
- Chatterjee, K.; Mitra, M.; Kargupta, K.; Ganguly, S.; Banerjee, D. Synthesis, characterization and enhanced thermoelectric performance of structurally ordered cable-like novel polyaniline-bismuth telluride nanocomposite. Nanotechnology 2013, 24, 215703. [Google Scholar] [CrossRef]
- Lesnichaya, M.V.; Zhmurova, A.V.; Sapozhnikov, A.N. Synthesis and Characterization of Water-Soluble Arabinogalactan-Stabilized Bismuth Telluride Nanoparticles. Russ. J. Gen. Chem. 2021, 91, 1379–1386. [Google Scholar] [CrossRef]
- Lesnichaya, M.V.; Zhmurova, A.V. Synthesis, structure, and spectral properties of ZnTe-containing nanocomposites based on arabinogalactan. Russ. J. Gen. Chem. 2022, 92, 1995–2004. [Google Scholar] [CrossRef]
- Sosedova, L.M.; Rukavishnikov, V.S.; Sukhov, B.G.; Borovskii, G.B.; Titov, E.A.; Novikov, M.A.; Vokina, V.A.; Yakimova, N.L.; Lesnichaya, M.V.; Kon’kova, T.V.; et al. Synthesis of Chalcogen-Containing Nanocomposites of Selenium and Tellurium with Arabinogalactan and a Study of Their Toxic and Antimicrobial Properties. Nanotechnol. Russ. 2018, 13, 290–294. [Google Scholar] [CrossRef]
- Cuccu, F.; De Luca, L.; Delogu, F.; Colacino, E.; Solin, N.; Mocci, R.; Porcheddu, A. Mechanochemistry: New Tools to Navigate the Uncharted Territory of “Impossible” Reactions. ChemSusChem 2022, 15, e202200362. [Google Scholar] [CrossRef] [PubMed]
- Nandihalli, N.; Gregory, D.H.; Mori, T. Energy-Saving Pathways for Thermoelectric Nanomaterial Synthesis: Hydrothermal/Solvothermal, Microwave-Assisted, Solution-Based, and Powder Processing. Adv. Sci. 2022, 9, 2106052. [Google Scholar] [CrossRef]
- Krusenbaum, A.; Grätz, S.; Tigineh, G.T.; Borchardt, L.; Kim, J.G. The mechanochemical synthesis of polymers. Chem. Soc. Rev. 2022, 51, 2873–2905. [Google Scholar] [CrossRef]
- Liu, X.; Li, Y.; Zeng, L.; Li, X.; Chen, N.; Bai, S.; He, H.; Wang, Q.; Zhang, C. A Review on Mechanochemistry: Approaching Advanced Energy Materials with Greener Force. Adv. Mater. 2022, in press. [CrossRef]
- Joy, J.; Krishnamoorthy, A.; Tanna, A.; Kamathe, V.; Nagar, R.; Srinivasan, S. Recent Developments on the Synthesis of Nanocomposite Materials via Ball Milling Approach for Energy Storage Applications. Appl. Sci. 2022, 12, 9312. [Google Scholar] [CrossRef]
- Zhao, X.B.; Hu, S.H.; Zhao, M.J.; Zhu, T.J. Thermoelectric properties of Bi0.5Sb1.5Te3/polyaniline hybrids prepared by mechanical blending. Mater. Lett. 2002, 52, 147–149. [Google Scholar] [CrossRef]
- Mott, N.F.; Davis, E.A. Electronic Process in Non-Crystalline Materials, 2nd ed.; Clarendon Press: Oxford, UK, 1979. [Google Scholar]
- Reda, S.M.; Al-Ghannam, S.M. Synthesis and Electrical Properties of Polyaniline Composite with Silver Nanoparticles. Adv. Mater. Phys. Chem. 2012, 2, 75–81. [Google Scholar] [CrossRef]
- Sutar, R.A.; Kumari, L.; Murugendrappa, M.V. Investigation of temperature-dependent conduction mechanism in MnCo2O4/polypyrrole nanocomposites by three-dimensional variable range hopping (3D-VRH) and band-conduction model. J. Appl. Phys. 2021, 130, 015112. [Google Scholar] [CrossRef]
- Bibi, A.; Shakoor, A.; Niaz, N.A.; Haider, S.; Akhtar, M.S. Electrical transport properties and thermoelectric power studies of polyaniline-CaTiO3 composites. Polym. Bull. 2022, in press. [CrossRef]
- Sutar, R.A.; Kumari, L.; Malalkere, M.V. Three-Dimensional Variable Range Hopping and Thermally Activated Conduction Mechanism of Polypyrrole/Zinc Cobalt Oxide Nanocomposites. J. Phys. Chem. C 2020, 124, 21772–21781. [Google Scholar] [CrossRef]
- Majeed, A.H.; Mohammed, L.A.; Hammoodi, O.G.; Sehgal, S.; Alheety, M.A.; Saxena, K.K.; Dadoosh, S.A.; Mohammed, I.K.; Jasim, M.M.; Salmaan, N.U. A Review on Polyaniline: Synthesis, Properties, Nanocomposites, and Electrochemical Applications. Int. J. Polym. Sci. 2022, 2022, 9047554. [Google Scholar] [CrossRef]
- Babel, V.; Hiran, B.L. A review on polyaniline composites: Synthesis, characterization, and applications. Polym. Compos. 2021, 42, 3142–3157. [Google Scholar] [CrossRef]
- Trchova, M.; Stejskal, J. Polyaniline: The infrared spectroscopy of conducting polymer nanotubes (IUPAC Technical Report). Pure App. Chem. 2011, 83, 1803–1817. [Google Scholar] [CrossRef]
- Manikandan, M.; Dhanuskodi, S.; Maheswari, N.; Muralidharan, G.; Revathi, C.; Rajendra Kumar, R.T.; Mohan Rao, G. High performance supercapacitor and non-enzymatic hydrogen peroxide sensor based on tellurium nanoparticles. Sens. Bio-Sens. Res. 2017, 13, 40–48. [Google Scholar] [CrossRef]
- Mamur, M.; Bhuiyan, M.R.A.; Korkmaz, F.; Nil, M. A review on bismuth telluride (Bi2Te3) nanostructure for thermoelectric applications. Renew. Sustain. Energy Rev. 2018, 82, 4159–4169. [Google Scholar] [CrossRef]
- Mandal, G.; Choudhary, R.B. MnO2 integrated emeraldine polyaniline (PANI-MnO2) nanocomposites with inflated opto-electricaltraitsas ETLs for OLED applications. Mater. Sci. Semiconduct. Proc. 2020, 151, 107000. [Google Scholar] [CrossRef]
- Rahim, M.; Shah, A.-U.-H.A.; Bilal, S.; Rahim, I.; Ullah, R. Highly Efficient Humidity Sensor Based on Sulfuric Acid Doped Polyaniline-Copper Oxide Composites. Iran. J. Sci. Technol. A. 2021, 45, 1981–1991. [Google Scholar] [CrossRef]
- Suk, J.S.; Xu, Q.; Kim, N.; Hanes, J.; Ensign, L.M. PEGylation as a strategy for improving nanoparticle-based drug and gene delivery. Adv. Drug Delivery Rev. 2016, 99, 28–51. [Google Scholar] [CrossRef]
- Chereches, M.; Bejan, D.; Chereches, E.I.; Alexandru, A.; Minea, A.A. An experimental study on electrical conductivity of several oxide nanoparticle enhanced PEG 400 fluid. Int. J. Thermophys. 2021, 42, 104. [Google Scholar] [CrossRef]
- Ahmed, H.T.; Jalal, V.J.; Tahir, D.A.; Mohamad, A.H.; Abdullah, O.G. Effect of PEG as a plasticizer on the electrical and optical properties of polymer blend electrolyte MC-CH-LiBF4 based films. Results Phys. 2019, 15, 102735. [Google Scholar] [CrossRef]
- Huang, K.; Yu, H.; Xie, M.; Liu, S.; Wu, F. Effects of poly (ethylene glycol)-grafted graphene on the electrical properties of poly (lactic acid) nanocomposites. RSC Adv. 2019, 9, 10599–10605. [Google Scholar] [CrossRef]
- Kireev, P.S. Physics of Semiconductors; Vysshaya Shkola: Moscow, Russia, 1975. [Google Scholar]
- Shalini, V.; Navaneethan, M.; Harish, S.; Archana, J.; Ponnusamy, S.; Ikeda, H.; Hayakawa, Y. Design and fabrication of PANI/GO nanocomposite for enhanced room-temperature thermoelectric application. Appl. Surf. Sci. 2019, 493, 1350–1360. [Google Scholar] [CrossRef]
- Debnath, A.; Deb, K.; Sarkar, K.; Saha, B. Improved Thermoelectric Performance in TiO2 Incorporated Polyaniline: A Polymer-Based Hybrid Material for Thermoelectric Generators. J. Electron. Mater. 2020, 49, 5028–5036. [Google Scholar] [CrossRef]
- Ponnuswamy, V.; Ashokan, S.; Jayamurugan, P.; Karthikeyani, D.; Rao, S.Y.V. Optical, thermal and morphological properties of PANI/P2O5 composites. Optik 2015, 126, 19–23. [Google Scholar] [CrossRef]
- Shambharkar, B.H.; Umare, S.S.; Rathod, R.C. Synthesis and Characterization of Polyaniline–Mn3O4 Nanocomposite: Electrical Conductivity and Magnetic Studies. Trans. Indian Inst. Met. 2014, 67, 827–834. [Google Scholar] [CrossRef]
- Debnath, A.; Deb, K.; Sarkar, K.; Saha, B. Low Interfacial Energy Barrier and Improved Thermoelectric Performance in Te-Incorporated Polypyrrole. J. Phys. Chem. C 2021, 125, 168–177. [Google Scholar] [CrossRef]
- Li, C.; Jiang, F.; Liu, C.; Wang, W.; Li, X.; Wang, T.; Xu, J. A simple thermoelectric device based on inorganic/organic composite thin film for energy harvesting. Chem. Eng. J. 2017, 320, 201–210. [Google Scholar] [CrossRef]
- Tsai, J.T.H.; Chiao, Y.T.; Zhang, Y.; Milne, W.I. Electric conduction improvement of well-structured multi-walled carbon nanotubes. In Proceedings of the TENCON 2010–2010 IEEE Region 10 Conference, Fukuoka, Japan, 21–24 November 2010; pp. 963–965. [Google Scholar] [CrossRef]
- Shumaila; Lakshmi, G.B.V.S.; Alam, M.; Siddiqui, A.M.; Zulfequar, M.; Husain, M. Synthesis and characterization of Se doped polyaniline. Curr. Appl. Phys. 2011, 11, 217–222. [Google Scholar] [CrossRef]
- Madhuri, S.N.; Murugendrappa, M.V.; Rukmani, K. Conduction and relaxation mechanisms in gadolinium oxide nanoparticle doped polyvinyl alcohol films. Mater. Today Commun. 2020, 23, 100942. [Google Scholar] [CrossRef]
- Morad, I.; Ali, H.E.; Wasfy, M.H.; Mansour, A.F.; El-Desoky, M.M. Effect of the biphase TiO2 nanoparticles on the dielectric and polaronic transport properties of PVA nanocomposite: Structure analysis and conduction mechanism. Vacuum 2020, 181, 109735. [Google Scholar] [CrossRef]
- Manika, G.C.; Psarras, G.C. SrTiO3/Epoxy Nanodielectrics as Bulk Energy Storage and Harvesting Systems: The Role of Conductivity. ACS Appl. Energy Mater. 2020, 3, 831–842. [Google Scholar] [CrossRef]
- Shanthala, V.S.; Shobha Devi, S.N.; Murugendrappa, M.V. Synthesis, characterization and DC conductivity studies of polypyrrole/copper zinc iron oxide nanocomposites. J. Asian Ceram. Soc. 2017, 5, 227–234. [Google Scholar] [CrossRef]
- Abdullah, O.G.; Salman, Y.A.K.; Saleem, S.A. Electrical conductivity and dielectric characteristics of in situ prepared PVA/HgS nanocomposite films. J. Mater. Sci. Mater. El. 2016, 27, 3591–3598. [Google Scholar] [CrossRef]
- Bibi, A.; Shakoor, A. Charge transport mechanism in dodecylbenzenesulfonic acid doped polyaniline/carbon black composites. Polym. Polym. Compos. 2021, 29 (Suppl. S9), S1044–S1051. [Google Scholar] [CrossRef]
- Imani, A.; Farzi, G. Low temperature process of electronic charge transport mechanism in PANi/MWCNT nanocomposites: Tubular morphology. J. Mater. Sci. Mater. Electron. 2017, 28, 10684–10692. [Google Scholar] [CrossRef]
- Nandapure, B.I.; Kondawar, S.B.; Salunkhe, M.Y.; Nandapure, A.I. Magnetic and transport properties of conducting polyaniline/nickel oxide nanocomposites. Adv. Mater. Lett. 2013, 4, 134–140. [Google Scholar] [CrossRef]
- Zafar, S.; Rizvi, T.Z. Study of Structural, Thermal and Electrical Properties of Functionalized Multiwalled Carbon Nanotubes-Polyaniline Composites. Polym. Sci. Ser. B 2022, 64, 573–580. [Google Scholar] [CrossRef]
- Gu, H.; Huang, Y.; Zhang, X.; Wang, Q.; Zhu, J.; Shao, L.; Haldolaarachchige, N.; Young, D.P.; Wei, S.; Guo, Z. Magnetoresistive polyaniline-magnetite nanocomposites with negative dielectrical properties. Polymer 2012, 53, 801–809. [Google Scholar] [CrossRef]
- Kshirsagar, A.S.; Hiragond, C.; Dey, A.; More, P.V.; Khanna, P.K. Band Engineered I/III/V–VI Binary Metal Selenide/MWCNT/PANI Nanocomposites for Potential Room Temperature Thermoelectric Applications. ACS Appl. Energy Mater. 2019, 2, 2680–2691. [Google Scholar] [CrossRef]









| Sample | (eV) | (S/cm) | R2 |
|---|---|---|---|
| ES-PANI | 0.239 | 92.76 | 0.9637 |
| ES-PANI/Te0 (2.1 wt% Te0) | 0.171 | 2.44 | 0.9503 |
| ES-PANI/Te0 (4.4 wt% Te0) | 0.210 | 16.28 | 0.9502 |
| ES-PANI/Te0 (10.2 wt% Te0) | 0.169 | 6.11 | 0.9691 |
| ES-PANI/Bi2Te3 (1.5 wt% Bi2Te3) | 0.220 | 5.75 | 0.9657 |
| ES-PANI/Bi2Te3 (2.9 wt% Bi2Te3) | 0.198 | 5.37 | 0.9524 |
| ES-PANI/Bi2Te3 (7.3 wt% Bi2Te3) | 0.157 | 1.77 | 0.9696 |
| Sample | (K) | (S/cm) | R2 | N(EF) (eV−1 cm−3) T = 300 K | RH (cm) T = 300 K | W (eV) T = 300 K |
|---|---|---|---|---|---|---|
| ES-PANI | 4.44 × 108 | 1.28 × 1013 | 0.9689 | 0.53 × 1018 | 10.26 × 10−7 | 0.23 |
| ES-PANI/Te0 (2.1 wt% Te0) | 1.13 × 108 | 2.14 × 108 | 0.9564 | 2.09 × 1018 | 8.93 × 10−7 | 0.16 |
| ES-PANI/Te0 (4.4 wt% Te0) | 2.63 × 108 | 9.53 × 1010 | 0.9564 | 0.90 × 1018 | 10.10 × 10−7 | 0.20 |
| ES-PANI/Te0 (10.2 wt% Te0) | 1.10 × 108 | 4.39 × 108 | 0.9740 | 2.15 × 1018 | 8.87 × 10−7 | 0.16 |
| ES-PANI/Bi2Te3 (1.5 wt% Bi2Te3) | 3.17 × 108 | 1.14 × 1011 | 0.9708 | 0.75 × 1018 | 10.16 × 10−7 | 0.21 |
| ES-PANI/Bi2Te3 (2.9 wt% Bi2Te3) | 2.07 × 108 | 8.56 × 109 | 0.9584 | 1.14 × 1018 | 10.39 × 10−7 | 0.19 |
| ES-PANI/Bi2Te3 (7.3 wt% Bi2Te3) | 0.83 × 108 | 3.75 × 107 | 0.9744 | 2.85 × 1018 | 8.27 × 10−7 | 0.15 |
| Sample | (eV) | (S/cm) | R2 |
|---|---|---|---|
| ES-PANI-MWCNT | 0.166 | 20.41 | 0.9987 |
| ES-PANI/Te0-MWCNT (2.1 wt% Te0) | 0.196 | 18.36 | 0.9648 |
| ES-PANI/Te0-MWCNT (4.4 wt% Te0) | 0.215 | 29.96 | 0.9629 |
| ES-PANI/Te0-MWCNT (10.2 wt% Te0) | 0.193 | 28.22 | 0.9800 |
| ES-PANI/Bi2Te3-MWCNT (1.5 wt% Bi2Te3) | 0.260 | 336.37 | 0.9005 |
| ES-PANI/Bi2Te3-MWCNT (2.9 wt% Bi2Te3) | 0.204 | 37.64 | 0.9942 |
| ES-PANI/Bi2Te3-MWCNT (7.3 wt% Bi2Te3) | 0.203 | 84.77 | 0.9940 |
| Sample | (K) | (S/cm) | R2 | N(EF) (eV−1 cm−3) T = 300 K | RH (cm) T = 300 K | W (eV) T = 300 K |
|---|---|---|---|---|---|---|
| ES-PANI-MWCNT | 1.00 × 104 | 9.58 × 108 | 0.9975 | 2.36 × 1022 | 8.66 × 10−8 | 1.55 × 10−2 |
| ES-PANI/Te0-MWCNT (2.1 wt% Te0) | 1.42 × 104 | 2.52 × 1010 | 0.9699 | 1.66 × 1022 | 9.46 × 10−8 | 1.70 × 10−2 |
| ES-PANI/Te0-MWCNT (4.4 wt% Te0) | 1.71 × 104 | 3.23 × 1011 | 0.9682 | 1.38 × 1022 | 9.91 × 10−8 | 1.78 × 10−2 |
| ES-PANI/Te0-MWCNT (10.2 wt% Te0) | 1.37 × 104 | 2.65 × 1010 | 0.9838 | 1.72 × 1022 | 9.37 × 10−8 | 1.68 × 10−2 |
| ES-PANI/Bi2Te3-MWCNT (1.5 wt% Bi2Te3) | 2.44 × 104 | 3.13 × 1014 | 0.8616 | 0.97 × 1022 | 10.83 × 10−8 | 1.94 × 10−2 |
| ES-PANI/Bi2Te3-MWCNT (2.9 wt% Bi2Te3) | 1.52 × 104 | 1.07 × 1011 | 0.9918 | 1.55 × 1022 | 9.62 × 10−8 | 1.73 × 10−2 |
| ES-PANI/Bi2Te3-MWCNT (7.3 wt% Bi2Te3) | 1.50 × 104 | 2.16 × 1011 | 0.9915 | 1.57 × 1022 | 9.59 × 10−8 | 1.72 × 10−2 |
Disclaimer/Publisher’s Note: The statements, opinions and data contained in all publications are solely those of the individual author(s) and contributor(s) and not of MDPI and/or the editor(s). MDPI and/or the editor(s) disclaim responsibility for any injury to people or property resulting from any ideas, methods, instructions or products referred to in the content. |
© 2023 by the authors. Licensee MDPI, Basel, Switzerland. This article is an open access article distributed under the terms and conditions of the Creative Commons Attribution (CC BY) license (https://creativecommons.org/licenses/by/4.0/).
Share and Cite
Zhmurova, A.V.; Prozorova, G.F.; Zvereva, M.V. Mechanochemical Synthesis and DC Electrical Conductivity of PANI-Based MWCNT Containing Nanocomposites with Te0 and Bi2Te3 Thermoelectric Nanophase. Powders 2023, 2, 540-561. https://doi.org/10.3390/powders2030034
Zhmurova AV, Prozorova GF, Zvereva MV. Mechanochemical Synthesis and DC Electrical Conductivity of PANI-Based MWCNT Containing Nanocomposites with Te0 and Bi2Te3 Thermoelectric Nanophase. Powders. 2023; 2(3):540-561. https://doi.org/10.3390/powders2030034
Chicago/Turabian StyleZhmurova, Anna V., Galina F. Prozorova, and Marina V. Zvereva. 2023. "Mechanochemical Synthesis and DC Electrical Conductivity of PANI-Based MWCNT Containing Nanocomposites with Te0 and Bi2Te3 Thermoelectric Nanophase" Powders 2, no. 3: 540-561. https://doi.org/10.3390/powders2030034
APA StyleZhmurova, A. V., Prozorova, G. F., & Zvereva, M. V. (2023). Mechanochemical Synthesis and DC Electrical Conductivity of PANI-Based MWCNT Containing Nanocomposites with Te0 and Bi2Te3 Thermoelectric Nanophase. Powders, 2(3), 540-561. https://doi.org/10.3390/powders2030034

