Interspecific Variation in Methane Emissions Under Wind Exposure from Two Cultivated Species of Brassicaceae
Abstract
1. Introduction
2. Results
2.1. Methane Emission
2.2. Plant Growth
2.3. Plant Dry Mass
2.4. Growth Index
2.5. Chlorophyll Fluorescence
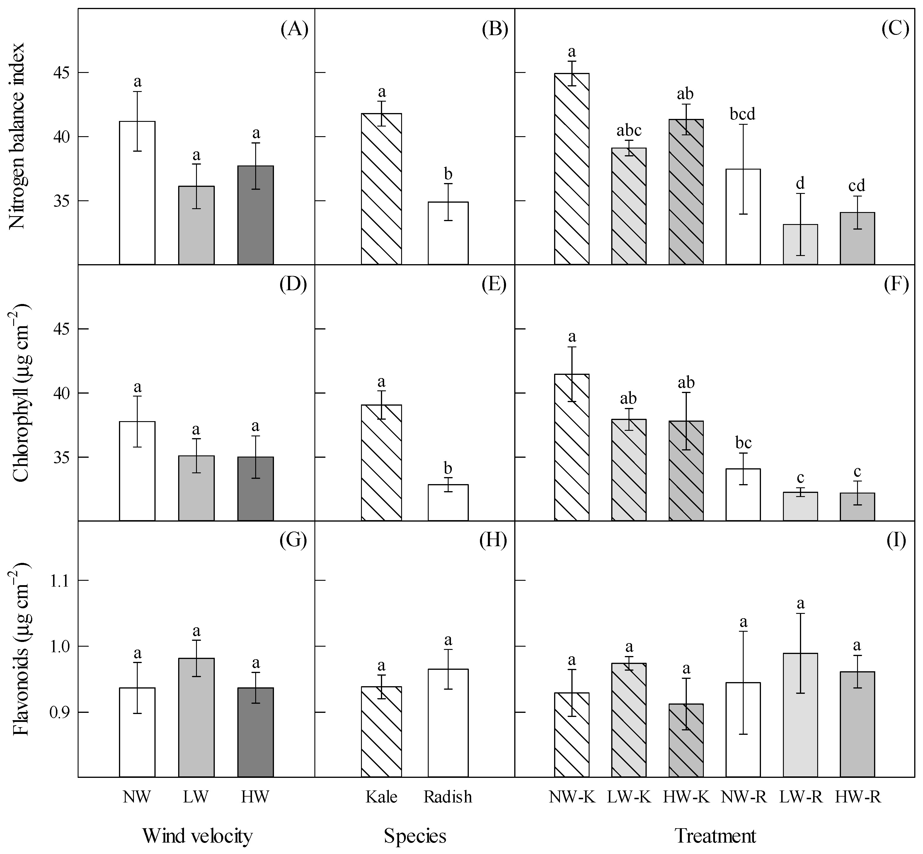
2.6. Nitrogen Balance Index, Chlorophyll, and Flavonoids
2.7. Leaf Water Potential and Moisture Content
2.8. Relationships Between Methane Emission and Other Plant Traits
3. Discussion
3.1. Effects of Species on Plant Traits
3.2. Effects of Wind Velocity on Plant Traits
3.3. Interactive Effects of Species and Wind Velocity on Plant Traits
4. Materials and Methods
4.1. Plant Material and Growth Conditions
4.2. Measurement of Methane Emissions
4.3. Measurement of Plant Growth and Dry Mass Accumulation
4.4. Measurement of Nitrogen Balance Index, Chlorophyll, and Flavonoids
4.5. Measurement of Chlorophyll Fluorescence
4.6. Measurement of Leaf Water Potential and Moisture Content
4.7. Data Analysis
5. Conclusions
Author Contributions
Funding
Institutional Review Board Statement
Informed Consent Statement
Data Availability Statement
Acknowledgments
Conflicts of Interest
References
- Masson-Delmotte, V.; Zhai, P.; Pirani, A.; Connors, S.L.; Péan, C.; Berger, S.; Caud, N.; Chen, Y.; Goldfarb, L.; Gomis, M.I.; et al. (Eds.) Climate Change 2021: The Physical Science Basis. Contribution of Working Group I to the Sixth Assessment Report of the Intergovernmental Panel on Climate Change; Cambridge University Press: Cambridge, UK; New York, NY, USA, 2021; 2391p. [Google Scholar]
- Reay, D.; Smith, P.; van Amstel, A. (Eds.) Methane and Climate Change; Earthscan Ltd.: London, UK, 2010; 261p. [Google Scholar]
- Karakurt, I.; Aydin, G.; Aydiner, K. Sources and Mitigation of Methane Emissions by Sectors: A Critical Review. Renew. Energy 2012, 39, 40–48. [Google Scholar] [CrossRef]
- Jackson, R.B.; Saunois, M.; Bousquet, P.; Canadell, J.G.; Poulter, B.; Stavert, A.R.; Bergamaschi, P.; Niwa, Y.; Segers, A.; Tsurusta, A. Increasing Anthropogenic Methane Emissions Arise Equally from Agricultural and Fossil Fuel Sources. Environ. Res. Lett. 2020, 15, 071002. [Google Scholar] [CrossRef]
- Keppler, F.; Hamilton, J.T.G.; Braß, M.; Röckmann, T. Methane Emissions from Terrestrial Plants under Aerobic Conditions. Nature 2006, 439, 187–191. [Google Scholar] [CrossRef]
- Dueck, T.A.; de Visser, R.; Poorter, H.; Persijn, S.; Gorissen, A.; de Visser, W.; Schapendonk, A.; Verhagen, J.; Snel, J.; Harren, F.J.M.; et al. No Evidence for Substantial Aerobic Methane Emission by Terrestrial Plants: A 13C-Labelling Approach. New Phytol. 2007, 175, 29–35. [Google Scholar] [CrossRef]
- Beerling, D.J.; Gardiner, T.; Leggett, G.; McLeod, A.; Quick, W.P. Missing Methane Emissions from Leaves of Terrestrial Plants. Glob. Change Biol. 2008, 14, 1821–1826. [Google Scholar] [CrossRef]
- Kepper, F.; Hamilton, J.T.G.; McRoberts, W.C.; Vigano, I.; Braß, M.; Röckmann, T. Methoxyl Groups of Plant Pectin as a Precursor of Atmospheric Methane: Evidence from Deuterium Labelling Studies. New Phytol. 2008, 178, 808–814. [Google Scholar] [CrossRef] [PubMed]
- Brüggemann, N.; Meier, R.; Steigner, D.; Zimmer, I.; Louis, S.; Schnitzler, J.-P. Nonmicrobial Aerobic Methane Emission from Poplar Shoot Cultures under Low-Light Conditions. New Phytol. 2009, 182, 912–918. [Google Scholar] [CrossRef] [PubMed]
- Vigano, I.; Röckmann, T.; Holzinger, R.; Van Dijk, A.; Keppler, F.; Greule, M.; Brand, W.A.; Geilmann, H.; Van Weelden, H. The Stable Isotope Signature of Methane Emitted from Plant Material under UV Irradiation. Atmos. Environ. 2009, 43, 5637–5646. [Google Scholar] [CrossRef]
- Wishkerman, A.; Greiner, S.; Ghyczy, M.; Boros, M.; Rausch, T.; Lenhart, K.; Kepper, F. Enhanced Formation of Methane in Plant Cell Cultures by Inhibition of Cytochrome c Oxidase. Plant Cell Environ. 2010, 34, 457–464. [Google Scholar] [CrossRef]
- Lenhart, K.; Althoff, F.; Greule, M.; Keppler, F. Technical Note: Methionine, a Precursor of Methane in Living Plants. Biogeosciences 2015, 12, 1907–1914. [Google Scholar] [CrossRef]
- Vigano, I.; van Weelden, H.; Holzinger, R.; Keppler, F.; McLeod, A.; Röckmann, T. Effect of UV Radiation and Temperature on the Emission of Methane from Plant Biomass and Structural Components. Biogeosciences 2008, 5, 937–947. [Google Scholar] [CrossRef]
- Qaderi, M.M.; Reid, D.M. Methane Emissions from Six Crop Species Exposed to Three Components of Global Climate Change: Temperature, Ultraviolet-B Radiation and Water Stress. Physiol. Plant. 2009, 137, 139–147. [Google Scholar] [CrossRef]
- Bruhn, D.; Mikkelsen, T.N.; Øbro, J.; Willats, W.G.T.; Ambus, P. Effects of Temperature, Ultraviolet Radiation and Pectin Methyl Esterase on Aerobic Methane Release from Plant Material. Plant Biol. 2009, 11, 43–48. [Google Scholar] [CrossRef]
- McLeod, A.R.; Fry, S.C.; Loake, G.J.; Messenger, D.J.; Reay, D.S.; Smith, K.A.; Yun, B.-W. Ultraviolet Radiation Drives Methane Emissions from Terrestrial Plant Pectins. New Phytol. 2008, 180, 124–132. [Google Scholar] [CrossRef] [PubMed]
- Messenger, D.J.; McLeod, A.R.; Fry, S.C. The Role of Ultraviolet Radiation, Photosensitizers, Reactive Oxygen Species and Ester Groups in Mechanisms of Methane Formation from Pectin. Plant Cell Environ. 2009, 32, 1–9. [Google Scholar] [CrossRef] [PubMed]
- Bruhn, D.; Mikkelsen, T.N.; Rolsted, M.M.M.; Egsgaard, H.; Ambus, P. Leaf Surface Wax is a Source of Plant Methane Formation under UV Radiation and in the Presence of Oxygen. Plant Biol. 2014, 16, 512–516. [Google Scholar] [CrossRef]
- Dauphinee, B.T.; Qaderi, M.M. Individual and Interactive Effects of Temperature and Blue Light on Canola Growth, Lignin Biosynthesis and Methane Emissions. J. Plant Physiol. 2025, 304, 154402. [Google Scholar] [CrossRef] [PubMed]
- Martel, A.B.; Qaderi, M.M. Light Quality and Quantity Regulate Aerobic Methane Emissions from Plants. Physiol. Plant. 2017, 159, 313–328. [Google Scholar] [CrossRef]
- Qaderi, M.M.; Burton, K. Photoperiod Regulates Aerobic Methane Emissions by Altering Plant Growth and Physiological Processes. Methane 2024, 3, 380–396. [Google Scholar] [CrossRef]
- Wang, Z.-P.; Gulledge, J.; Zheng, J.-Q.; Liu, W.; Li, L.-H.; Han, X.-G. Physical Injury Stimulates Aerobic Methane Emissions from Terrestrial Plants. Biogeosciences 2009, 6, 615–621. [Google Scholar] [CrossRef]
- Wang, Z.-P.; Keppler, F.; Greule, M.; Hamilton, J.T.G. Non-Microbial Methane Emissions from Fresh Leaves: Effects of Physical Wounding and Anoxia. Atmos. Environ. 2011, 45, 4915–4921. [Google Scholar] [CrossRef]
- Abdul Majeed, A.M.; Derby, S.R.; Strickland, S.K.; Qaderi, M.M. Interactive Effects of Temperature and UVB Radiation on Methane Emissions from Different Organs of Pea Plants Grown in Hydroponic System. J. Photochem. Photobiol. B Biol. 2017, 166, 193–201. [Google Scholar] [CrossRef]
- Qaderi, M.M.; Reid, D.M. Aerobic Methane Emissions from Stinkweed (Thlaspi arvense) Capsules. Plant Signal. Behav. 2014, 9, e970095. [Google Scholar] [CrossRef] [PubMed]
- Qaderi, M.M.; Reid, D.M. Stressed Crops Emit More Methane Despite Mitigating Effects of Elevated Carbon Dioxide. Funct. Plant Biol. 2011, 38, 97–105. [Google Scholar] [CrossRef]
- Schroll, M.; Lenhart, K.; Greiner, S.; Keppler, F. Making Plant Methane Formation Visible–Insights from Application of 13C-Labeled Dimethyl Sulfoxide. Plant-Environ. Interact. 2022, 3, 104–117. [Google Scholar] [CrossRef]
- Lenhart, K.; Bunge, M.; Ratering, S.; Neu, T.R.; Schüttmann, I.; Greule, M.; Kammann, C.; Schnell, S.; Müller, C.; Zorn, H.; et al. Evidence for Methane Production by Saprotrophic Fungi. Nat. Commun. 2012, 3, 1046. [Google Scholar] [CrossRef] [PubMed]
- Klintzsch, T.; Langer, G.; Nehrke, G.; Wieland, A.; Lenhart, K.; Keppler, F. Methane Production by Three Widespread Marine Phytoplankton Species: Release Rates, Precursor Compounds, and Potential Relevance for the Environment. Biogeosciences 2019, 16, 4129–4144. [Google Scholar] [CrossRef]
- Bižić, M.; Klintzsch, T.; Ionescu, D.; Hindiyeh, M.Y.; Günthel, M.; Muro-Pastor, A.M.; Eckert, W.; Urich, T.; Keppler, F.; Grossart, H.-P. Aquatic and Terrestrial Cyanobacteria Produce Methane. Sci. Adv. 2020, 6, eaax5343. [Google Scholar] [CrossRef] [PubMed]
- Tuboly, E.; Szabó, A.; Garab, D.; Bartha, G.; Janovszky, A.; Erős, G.; Szabó, A.; Mohácsi, Á.; Szabó, G.; Kaszaki, J.; et al. Methane Biogenesis during Sodium Azide-Induced Chemical Hypoxia in Rats. Am. J. Physiol. Cell Physiol. 2013, 304, C207–C214. [Google Scholar] [CrossRef]
- Keppler, F.; Boros, M.; Polag, D. Radical-Driven Methane Formation in Humans Evidenced by Exogenous Isotope-Labeled DMSO and Methionine. Antioxidants 2023, 12, 1381. [Google Scholar] [CrossRef]
- Nisbet, R.E.R.; Fisher, R.; Nimmo, R.H.; Bendall, D.S.; Crill, P.M.; Gallego-Sala, A.V.; Hornibrook, E.R.C.; López-Juez, E.; Lowry, D.; Nisbet, P.B.R.; et al. Emission of Methane from Plants. Proc. R. Soc. Lond. B Biol. Sci. 2009, 276, 1347–1354. [Google Scholar] [CrossRef]
- Kohl, L.; Tenhovirta, S.A.M.; Koskinen, M.; Putkinen, A.; Haikarainen, I.; Polvinen, T.; Galeotti, L.; Mammarella, I.; Siljanen, H.M.P.; Robson, T.M.; et al. Radiation and Temperature Drive Diurnal Variation of Aerobic Methane Emissions from Scots Pine Canopy. Proc. Natl. Acad. Sci. USA 2023, 120, e2308516120. [Google Scholar] [CrossRef]
- Wang, Z.-P.; Xie, Z.-Q.; Zhang, B.-C.; Hou, L.-Y.; Zhou, Y.-H.; Li, L.-H.; Han, X.-G. Aerobic and Anaerobic Nonmicrobial Methane Emissions from Plant Material. Environ. Sci. Technol. 2011, 45, 9531–9537. [Google Scholar] [CrossRef]
- Tenhovirta, S.A.M.; Kohl, L.; Koskinen, M.; Polvinen, T.; Salmon, Y.; Paljakka, T.; Pihlatie, M. Aerobic Methane Production in Scots Pine Shoots is Independent of Drought or Photosynthesis. New Phytol. 2024, 242, 2440–2452. [Google Scholar] [CrossRef]
- Li, L.; Wei, S.; Shen, W. The Role of Methane in Plant Physiology: A Review. Plant Cell Rep. 2020, 39, 171–179. [Google Scholar] [CrossRef]
- Wang, N.; Huang, D.; Li, C.; Deng, Y.; Li, W.; Yao, Y.; Liao, W. Regulatory Roles of Methane in Plants. Sci. Hortic. 2020, 272, 109492. [Google Scholar] [CrossRef]
- Han, B.; Duan, X.; Wang, Y.; Zhu, K.; Zhang, J.; Wang, R.; Hu, H.; Qi, F.; Pan, J.; Yan, Y.; et al. Methane Protects Against Polyethylene Glycol-Induced Osmotic Stress in Maize by Improving Sugar and Ascorbic Acid Metabolism. Sci. Rep. 2017, 7, 46185. [Google Scholar] [CrossRef]
- Samma, M.K.; Zhou, H.; Cui, W.; Zhu, K.; Zhang, J.; Shen, W. Methane Alleviates Copper-Induced Seed Germination Inhibition and Oxidative Stress in Medicago sativa. Biometals 2017, 30, 97–111. [Google Scholar] [CrossRef] [PubMed]
- Cui, W.; Cao, H.; Yao, P.; Pan, J.; Gu, Q.; Xu, S.; Wang, R.; Ouyang, Z.; Wang, Q.; Shen, W. Methane Enhances Aluminum Resistance in Alfalfa Seedlings by Reducing Aluminum Accumulation and Reestablishing Redox Homeostasis. Biometals 2017, 30, 719–732. [Google Scholar] [CrossRef] [PubMed]
- Gu, Q.; Chen, Z.; Cui, W.; Zhang, Y.; Hu, H.; Yu, X.; Wang, Q.; Shen, W. Methane Alleviates Alfalfa Cadmium Toxicity via Decreasing Cadmium Accumulation and Reestablishing Glutathione Homeostasis. Ecotoxicol. Environ. Saf. 2018, 147, 861–871. [Google Scholar] [CrossRef] [PubMed]
- Cui, W.; Qi, F.; Zhang, Y.; Cao, H.; Zhang, J.; Wang, R.; Shen, W. Methane-Rich Water Induces Cucumber Adventitious Rooting Through Heme Oxygenase1/Carbon Monoxide and Ca2+ Pathways. Plant Cell Rep. 2015, 34, 435–445. [Google Scholar] [CrossRef]
- Kirschbaum, M.U.F.; Bruhn, D.; Etheridge, D.M.; Evans, J.R.; Farquhar, G.D.; Gifford, R.M.; Paul, K.I.; Winters, A.J. A Comment on the Quantitative Significance of Aerobic Methane Release by Plants. Funct. Plant Biol. 2006, 33, 521–530. [Google Scholar] [CrossRef]
- Houweling, S.; Röckmann, T.; Aben, I.; Keppler, F.; Krol, M.; Meirink, J.F.; Dlugokencky, E.J.; Frankenberg, C. Atmospheric Constraints on Global Emissions of Methane from Plants. Geophys. Res. Lett. 2006, 33, L15821. [Google Scholar] [CrossRef]
- Parsons, A.J.; Newton, P.C.D.; Clark, H.; Kelliher, F.M. Scaling Methane Emissions from Vegetation. Trends Ecol. Evol. 2006, 21, 423–424. [Google Scholar] [CrossRef]
- Megonigal, J.P.; Guenther, A.B. Methane Emissions from Upland Forest Soils and Vegetation. Tree Physiol. 2008, 28, 491–498. [Google Scholar] [CrossRef] [PubMed]
- Bloom, A.A.; Lee-Taylor, J.; Madronich, S.; Messenger, D.J.; Palmer, P.I.; Reay, D.S.; McLeod, A.R. Global Methane Emission Estimates from Ultraviolet Irradiation of Terrestrial Plant Foliage. New Phytol. 2010, 187, 417–425. [Google Scholar] [CrossRef] [PubMed]
- Jaffe, M.J. Thigmomorphogenesis: The Response of Plant Growth and Development to Mechanical Stimulation. Planta 1973, 114, 143–157. [Google Scholar] [CrossRef]
- Russell, G.; Grace, J. The Effect of Windspeed on the Growth of Grasses. J. Appl. Ecol. 1978, 16, 507–514. [Google Scholar] [CrossRef]
- Hunt, E.R., Jr.; Jaffe, M.J. Thigmomorphogenesis: The Interaction of Wind and Temperature in the Field on the Growth of Phaseolus vulgaris L. Ann. Bot. 1980, 45, 665–672. [Google Scholar] [CrossRef]
- Cleugh, H.A.; Miller, J.M.; Böhm, M. Direct Mechanical Effects of Wind on Crops. Agrofor. Syst. 1998, 41, 85–112. [Google Scholar] [CrossRef]
- Zhang, S.; Lui, G.; Huang, Z.; Ye, X.; Cornelissen, J.H.C. New Field Wind Manipulation Methodology Reveals Adaptive Responses of Steppe Plants to Increased and Reduced Wind Speed. Plant Methods 2021, 17, 5. [Google Scholar] [CrossRef] [PubMed]
- Whitehead, F.H. Experimental Studies of the Effect of Wind on Plant Growth and Anatomy. II. Helianthus annuus. New Phytol. 1962, 61, 59–62. [Google Scholar] [CrossRef]
- Schymanski, S.J.; Or, D. Wind Effects on Leaf Transpiration Challenge the Concept of “Potential Evaporation”. Proc. Int. Assoc. Hydrol. Sci. 2015, 371, 99–107. [Google Scholar] [CrossRef]
- Schymanski, S.J.; Or, D. Wind Increases Leaf Water Use Efficiency. Plant Cell Environ. 2016, 39, 1448–1459. [Google Scholar] [CrossRef] [PubMed]
- Anten, N.P.R.; Alcalá-Herrera, R.; Schieving, F.; Onoda, Y. Wind and Mechanical Stimuli Differentially Affect Leaf Traits in Plantago major. New Phytol. 2010, 188, 554–564. [Google Scholar] [CrossRef]
- Onoda, Y.; Anten, N.P.R. Challenges to Understand Plant Responses to Wind. Plant Signal. Behav. 2011, 6, 1057–1059. [Google Scholar] [CrossRef]
- Huang, C.-W.; Chu, C.-R.; Hsieh, C.-I.; Palmroth, S.; Katul, G.G. Wind-Induced Leaf Transpiration. Adv. Water Resour. 2015, 86, 240–255. [Google Scholar] [CrossRef]
- Precheur, R.; Greig, J.K.; Armbrust, D.V. The Effects of Wind and Wind-Plus-Sand on Tomato Plants. J. Amer. Soc. Hort. Sci. 1978, 103, 351–355. [Google Scholar] [CrossRef]
- de Langre, E. Effects of Wind on Plants. Annu. Rev. Fluid Mech. 2008, 40, 141–168. [Google Scholar] [CrossRef]
- Gardiner, B.; Berry, P.; Moulia, B. Review: Wind Impacts on Plant Growth, Mechanic and Damage. Plant Sci. 2016, 245, 94–118. [Google Scholar] [CrossRef]
- Abo Gamar, M.I.; Kisiala, A.; Emery, R.J.N.; Yeung, E.C.; Stone, S.L.; Qaderi, M.M. Elevated Carbon Dioxide Decreases the Adverse Effects of Higher Temperature and Drought Stress by Mitigating Oxidative Stress and Improving Water Status in Arabidopsis thaliana. Planta 2019, 250, 1191–1214. [Google Scholar] [CrossRef] [PubMed]
- Martel, A.B.; Qaderi, M.M. Unravelling the Effects of Blue Light on Aerobic Methane Emissions from Canola. J. Plant Physiol. 2019, 233, 12–19. [Google Scholar] [CrossRef]
- Hussain, M.I.; Reigosa, M.J. Allelochemical Stress Inhibits Growth, Leaf Water Relations, PSII Photochemistry, Non-Photochemical Fluorescence Quenching, and Heat Energy Dissipation in three C3 Perennial Species. J. Exp. Bot. 2011, 62, 4533–4545. [Google Scholar] [CrossRef] [PubMed]
- Martel, A.B.; Qaderi, M.M. Exogenous Ethylene Increases Methane Emissions from Canola by Adversely Affecting Plant Growth and Physiological Processes. Botany 2021, 99, 421–431. [Google Scholar] [CrossRef]
- Abdulmajeed, A.M.; Abo Gamar, M.I.; Qaderi, M.M. Inter- and Intra-Varietal Variation in Aerobic Methane Emissions from Environmentally Stressed Pea Plants. Botany 2018, 96, 837–850. [Google Scholar] [CrossRef]
- Abdulmajeed, A.M.; Qaderi, M.M. Differential Effects of Environmental Stressors on Physiological Processes and Methane Emissions in Pea (Pisum sativum) Plants at Various Growth Stages. Plant Physiol. Biochem. 2019, 139, 715–723. [Google Scholar] [CrossRef]
- Creelman, C.-R.L.; Qaderi, M.M. Independent Effects of Blue Light and Abscisic Acid on Methane Emissions from Canola Plants Grown under Sterile Conditions. Theor. Exp. Plant Physiol. 2021, 33, 271–280. [Google Scholar] [CrossRef]
- Dixon, S.L.; Qaderi, M.M. Canola Responds Differently to Nitrogen Forms under Temperature and Carbon Dioxide Conditions. Theor. Exp. Plant Physiol. 2025, 37, 12. [Google Scholar] [CrossRef]
- McDormand, E.D.; Qaderi, M.M. Individual and Interactive Effects of Temperature and Watering Regime on Canola Growth and Physiological Characteristics. Plant-Environ. Interact. 2025, 6, e70030. [Google Scholar] [CrossRef]
- Abdulmajeed, A.M.; Qaderi, M.M. Intrashoot Variation in Aerobic Methane Emissions from Pea Plants Exposed to Multiple Abiotic Stresses. Acta Physiol. Plant. 2017, 39, 124. [Google Scholar] [CrossRef]
- Qaderi, M.M.; Cavers, P.B.; Hamill, A.S.; Bernards, M.A. Effects of Collection Time and After-Ripening on Chemical Constituents and Germinability of Scotch Thistle (Onopordum acanthium) Cypselas. Botany 2012, 90, 755–762. [Google Scholar] [CrossRef]
- Minitab Inc. Minitab® Release 21: Statistical Software for Windows®; Minitab Inc.: State College, PA, USA, 2023. [Google Scholar]







| Source | d.f. | Methane Emission |
|---|---|---|
| Wind (W) | 2 | 4.06 * |
| Duration (D) | 1 | 17.09 *** |
| Species (S) | 1 | 14.26 ** |
| W × D | 2 | 0.17 |
| W × S | 2 | 0.60 |
| D × S | 1 | 0.36 |
| W × D × S | 2 | 1.73 |
| Source | d.f. | Plant Growth | Water Status | ||||||
| Stem Height | Stem Diameter | Leaf Number | Leaf Area | LWP | LMC | ||||
| Wind (W) | 2 | 1.50 | 4.42 * | 0.55 | 4.61 * | 11.54 ** | 0.91 | ||
| Species (S) | 1 | 10.97 ** | 2.05 | 0.78 | 21.23 ** | 2.62 | 4.71 | ||
| W × S | 2 | 0.16 | 0.32 | 0.38 | 1.34 | 0.50 | 0.03 | ||
| Source | d.f. | Dry mass | Growth index | ||||||
| Leaf | Stem | Root | Total | SLM | LMR | LAR | SRR | ||
| Wind (W) | 2 | 2.48 | 1.44 | 2.56 | 3.21 | 0.49 | 0.01 | 0.26 | 0.22 |
| Species (S) | 1 | 0.34 | 6.57 * | 40.60 *** | 16.70 ** | 7.86 * | 115.43 *** | 4.39 | 80.30 *** |
| W × S | 2 | 0.25 | 0.81 | 0.75 | 0.61 | 0.06 | 0.81 | 0.25 | 0.34 |
| Source | d.f. | Chlorophyll fluorescence | Growth and protective indicator | ||||||
| ϕPSII | Fv/Fm | qNP | qP | NBI | Chlorophyll | Flavonoids | |||
| Wind (W) | 2 | 1.25 | 1.21 | 0.01 | 2.40 | 3.59 | 2.32 | 0.61 | |
| Species (S) | 1 | 1.67 | 0.07 | 36.16 *** | 44.78 *** | 19.03 ** | 27.20 *** | 0.48 | |
| W × S | 2 | 0.00 | 0.42 | 0.33 | 0.24 | 0.09 | 0.24 | 0.08 | |
| Parameter | Methane | Parameter | Methane |
|---|---|---|---|
| Leaf area | 0.211 | Stem height | −0.939 ** |
| Leaf number | 0.583 | Stem diameter | −0.233 |
| Root dry mass | 0.733 | Leaf dry mass | −0.079 |
| Total dry mass | 0.584 | Stem dry mass | −0.707 |
| Fv/Fm | 0.277 | SLM | −0.964 ** |
| qP | 0.691 | LMR | −0.890 * |
| Flavonoids | 0.675 | LAR | −0.702 |
| LWP | 0.719 | SRR | −0.822 * |
| LMC | 0.932 ** | ϕPSII | −0.902 * |
| qNP | 0.858 * | ||
| NBI | −0.984 *** | ||
| Chlorophyll | −0.980 ** |
Disclaimer/Publisher’s Note: The statements, opinions and data contained in all publications are solely those of the individual author(s) and contributor(s) and not of MDPI and/or the editor(s). MDPI and/or the editor(s) disclaim responsibility for any injury to people or property resulting from any ideas, methods, instructions or products referred to in the content. |
© 2026 by the authors. Licensee MDPI, Basel, Switzerland. This article is an open access article distributed under the terms and conditions of the Creative Commons Attribution (CC BY) license.
Share and Cite
Daigle, E.J.; Qaderi, M.M. Interspecific Variation in Methane Emissions Under Wind Exposure from Two Cultivated Species of Brassicaceae. Methane 2026, 5, 3. https://doi.org/10.3390/methane5010003
Daigle EJ, Qaderi MM. Interspecific Variation in Methane Emissions Under Wind Exposure from Two Cultivated Species of Brassicaceae. Methane. 2026; 5(1):3. https://doi.org/10.3390/methane5010003
Chicago/Turabian StyleDaigle, Emma J., and Mirwais M. Qaderi. 2026. "Interspecific Variation in Methane Emissions Under Wind Exposure from Two Cultivated Species of Brassicaceae" Methane 5, no. 1: 3. https://doi.org/10.3390/methane5010003
APA StyleDaigle, E. J., & Qaderi, M. M. (2026). Interspecific Variation in Methane Emissions Under Wind Exposure from Two Cultivated Species of Brassicaceae. Methane, 5(1), 3. https://doi.org/10.3390/methane5010003

